Modeling Hyperspectral Response of Water-Stress Induced Lettuce Plants Using Artificial Neural Networks
Abstract
1. Introduction
2. Materials and Methods
2.1. Spectral Data Measurements
2.2. Biophysical Data Measurements
2.3. Statistical Data Analysis
2.4. ANN and Machine Learning Analysis
3. Results
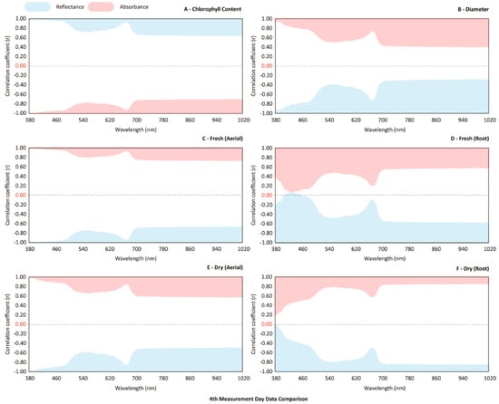
3.1. Hyperspectral and Biophysical Parameters Comparison
3.2. Modeling the Hyperspectral Wavelengths Through Artificial Neural Network
4. Discussion
5. Conclusions
Author Contributions
Funding
Conflicts of Interest
References
- Díaz-Varela, R.A.; de la Rosa, R.; León, L.; Zarco-Tejada, P.J. High-resolution airborne UAV imagery to assess olive tree crown parameters using 3D photo reconstruction: Application in breeding trials. Remote Sens. 2015, 7, 4213–4232. [Google Scholar] [CrossRef]
- Ampatzidis, Y.; Partel, V. UAV-based high throughput phenotyping in citrus utilizing multispectral imaging and artificial intelligence. Remote Sens. 2019, 11, 410. [Google Scholar] [CrossRef]
- Chen, J.; Li, F.; Wang, R.; Fan, Y.; Raza, M.A.; Liu, Q.; Yang, W. Estimation of nitrogen and carbon content from soybean leaf reflectance spectra using wavelet analysis under shade stress. Comput. Electron. Agric. 2019, 156, 482–489. [Google Scholar] [CrossRef]
- Muñoz-Huerta, R.F.; Guevara-Gonzalez, R.G.; Contreras-Medina, L.M.; Torres-Pacheco, I.; Prado-Olivarez, J.; Ocampo-Velazquez, R.V. A review of methods for sensing the nitrogen status in plants: Advantages, disadvantages and recent advances. Sensors 2013, 13, 10823–10843. [Google Scholar] [CrossRef]
- Zhai, Y.; Cui, L.; Zhou, X.; Gao, Y.; Fei, T.; Gao, W. Estimation of nitrogen, phosphorus, and potassium contents in the leaves of different plants using laboratory-based visible and near-infrared reflectance spectroscopy: Comparison of partial least-square regression and support vector machine regression methods. Int. J. Remote Sens. 2013, 34, 2502–2518. [Google Scholar] [CrossRef]
- Moharana, S.; Dutta, S. Spatial variability of chlorophyll and nitrogen content of rice from hyperspectral imagery. J. Photogramm. Remote Sens. 2016, 122, 17–29. [Google Scholar] [CrossRef]
- Osco, L.P.; Ramos, A.P.M.; Moriya, É.A.S.; de Souza, M.; Junior, J.M.; Matsubara, E.T.; Imai, N.N.; Creste, J.E. Improvement of leaf nitrogen content inference in Valencia-orange trees applying spectral analysis algorithms in UAV mounted-sensor images. Int. J. Appl. Earth Obs. Geoinf. 2019, 83, 101907. [Google Scholar] [CrossRef]
- Martins, G.D.; Galo ML, B.T.; Vieira, B.S. Detecting and mapping root-knot nematode infection in coffee crop using remote sensing measurements. IEEE J. Sel. Top. Appl. Earth Obs. Remote Sens. 2017, 10, 5395–5403. [Google Scholar] [CrossRef]
- Kross, A.; McNairn, H.; Lapen, D.; Sunohara, M.; Champagne, C. Assessment of RapidEye vegetation indices for estimation of leaf area index and biomass in corn and soybean crops. Int. J. Appl. Earth Obs. Geoinf. 2015, 34, 235–248. [Google Scholar] [CrossRef]
- Krishna, G.; Sahoo, R.N.; Singh, P.; Bajpai, V.; Patra, H.; Kumar, S.; Sahoo, P.M. Comparison of various modeling approaches for water-deficit stress monitoring in rice crop through hyperspectral remote sensing. Agric. Water Manag. 2019, 213, 231–244. [Google Scholar] [CrossRef]
- Loggenberg, K.; Strever, A.; Greyling, B.; Poona, N. Modeling water stress in a Shiraz vineyard using hyperspectral imaging and machine learning. Remote Sens. 2018, 10, 202. [Google Scholar] [CrossRef]
- Elvanidi, A.; Katsoulas, N.; Ferentinos, K.; Bartzanas, T.; Kittas, C. Hyperspectral machine vision as a tool for water stress severity assessment in soilless tomato crop. Biosyst. Eng. 2018, 165, 25–35. [Google Scholar] [CrossRef]
- Lisar, S.Y.; Motafakkerazad, R.M.M.; Rahm, I.M. Water Stress in Plants: Causes, Effects, and Responses. Water Stress 2012, 10, 1–16. [Google Scholar] [CrossRef]
- Gerhards, M.; Schlerf, M.; Rascher, U.; Udelhoven, T.; Juszczak, R.; Alberti, G.; Inoue, Y. Analysis of airborne optical and thermal imagery for detection of water stress symptoms. Remote Sens. 2018, 10, 1139. [Google Scholar] [CrossRef]
- Maimaitiyiming, M.; Ghulam, A.; Bozzolo, A.; Wilkins, J.L.; Kwasniewski, M.T. Early detection of plant physiological responses to different levels of water stress using reflectance spectroscopy. Remote Sens. 2017, 9, 745. [Google Scholar] [CrossRef]
- Delloye, C.; Weiss, M.; Defourny, P. Retrieval of the canopy chlorophyll content from Sentinel-2 spectral bands to estimate nitrogen uptake in intensive winter wheat cropping systems. Remote Sens. Environ. 2018, 216, 245–261. [Google Scholar] [CrossRef]
- Kalacska, M.; Lalonde, M.; Moore, T.R. Estimation of foliar chlorophyll and nitrogen content in an ombrotrophic bog from hyperspectral data: Scaling from leaf to image. Remote Sens. Environ. 2015, 169, 270–279. [Google Scholar] [CrossRef]
- Min, M.; Lee, W. Determination of significant wavelengths and prediction of nitrogen content for citrus. Am. Soc. Agric. Eng. 2005, 48, 455–461. [Google Scholar] [CrossRef]
- Huang, W.; Lu, J.; Ye, H.; Kong, W.; Mortimer, A.H.; Shi, Y. Quantitative identification of crop disease and nitrogen-water stress in winter wheat using continuous wavelet analysis. Int. J. Agric. Biol. Eng. 2018, 11, 145–152. [Google Scholar] [CrossRef]
- Zarco-Tejada, P.; González-Dugo, V.; Berni, J. Fluorescence, temperature and narrow-band indices acquired from a UAV platform for water stress detection using a micro-hyperspectral imager and a thermal camera. Remote Sens. Environ. 2012, 117, 322–337. [Google Scholar] [CrossRef]
- Rocha, A.D.; Groen, T.A.; Skidmore, A.K. Spatially-explicit modelling with support of hyperspectral data can improve prediction of plant traits. Remote Sens. Environ. 2019, 231, 111200. [Google Scholar] [CrossRef]
- Ghamisi, P.; Plaza, J.; Chen, Y.; Li, J.; Plaza, A.J. Advanced spectral classifiers for hyperspectral images: A review. IEEE Geosci. Remote Sens. Mag. 2017, 5, 8–32. [Google Scholar] [CrossRef]
- Index, S.; Xu, N.; Tian, J.; Tian, Q.; Xu, K.; Tang, S. Analysis of vegetation red edge with different illuminated/shaded canopy proportions and to construct normalized difference canopy. Remote Sens. 2019, 11, 1192. [Google Scholar] [CrossRef]
- Gao, J.; Meng, B.; Liang, T.; Feng, Q.; Ge, J.; Yin, J.; Wu, C.; Cui, X.; Hou, M.; Liu, J.; et al. Modeling alpine grassland forage phosphorus based on hyperspectral remote sensing and a multi-factor machine learning algorithm in the east of Tibetan Plateau, China. ISPRS J. Photogramm. Remote Sens. 2019, 147, 104–117. [Google Scholar] [CrossRef]
- Zhang, J.; Huang, Y.; Reddy, K.N.; Wang, B. Assessing crop damage from dicamba on non-dicamba-tolerant soybean by hyperspectral imaging through machine learning. Pest Manag. Sci. 2019. [Google Scholar] [CrossRef]
- Abdulridha, J.; Batuman, O.; Ampatzidis, Y. UAV-based remote sensing technique to detect citrus canker disease utilizing hyperspectral imaging and machine learning. Remote Sens. 2019, 11, 1373. [Google Scholar] [CrossRef]
- Karadağ, K.; Tenekeci, M.E.; Taşaltın, R.A. Detection of pepper fusarium disease using machine learning algorithms based on spectral reflectance. Sustain. Comput. Inform. Syst. 2019. [Google Scholar] [CrossRef]
- Fu, P.; Meacham-Hensold, K.; Guan, K.; Bernacchi, C.J. Hyperspectral leaf reflectance as proxy for photosynthetic capacities: An ensemble approach based on multiple machine learning algorithms. Front. Plant Sci. 2019. [Google Scholar] [CrossRef]
- Enebe, M.C.; Babalola, O.O. The influence of plant growth-promoting rhizobacteria in plant tolerance to abiotic stress: A survival strategy. Appl. Microbiol. Biotechnol. 2018, 102, 7821–7835. [Google Scholar] [CrossRef]
- Wang, J.; Xu, R.; Yang, S. Estimation of plant water content by spectral absorption features centered at 1,450 nm and 1,940 nm regions. Environ. Monit. Assess. 2008, 157, 459–469. [Google Scholar] [CrossRef]
- Araujo, F.F.; Henning, A.A.; Hungria, M. Phytohormones and antibiotics produced by Bacillus subtilis and their effects on seed pathogenic fungi and on soybean root development. World J. Microbiol. Biotechnol. 2005, 21, 1639–1645. [Google Scholar] [CrossRef]
- Anderson, K.; Rossini, M.; Labrador, J.P.; Balzarolo, M.; Arthur, A.; Fava, F.; Julitta, T. Vescovo. Inter-comparison of hemispherical conical reflectance factors (HCRF) measured with four fiber-based spectrometers. Remote Sens. Sens. 2013, 21, 605–617. [Google Scholar] [CrossRef]
- FALKER. ClorofiLOGElectronic: Chlorophyll Content Meter. Available online: http://www.falker.com.br/en/product-clorofilog-chlorophyll-meter.php (accessed on 30 November 2018).
- Liang, L.; Di, L.; Huang, T.; Wang, J.; Lin, L.; Wang, L.; Yang, M. Estimation of leaf nitrogen content in wheat using new hyperspectral indices and a random forest regression algorithm. Remote Sens. 2018, 10, 1940. [Google Scholar] [CrossRef]
- Thomas, M. Mitchell. In Machine Learning, 1st ed.; McGraw-Hill, Inc.: New York, NY, USA, 1997. [Google Scholar]







| Treatment | Chlorophyll Content | Diameter (cm) | Weight (g) | |||
|---|---|---|---|---|---|---|
| Fresh (Aerial) | Fresh (Root) | Dry (Aerial) | Dry (Root) | |||
| Control Group | 12.55 b | 18.33 a | 11.04 a | 3.48 bc | 1.86 a | 0.48 b |
| Stress Group | 20.02 a | 17.17 a | 6.87 bc | 2.97 c | 1.49 ab | 0.40 c |
| Bacteria Group | 19.60 a | 16.58 ab | 7.27 b | 4.82 a | 1.43 b | 0.52 ab |
| C. V. | 29.54 | 16.15 | 28.14 | 26.48 | 22.18 | 20.07 |
| F value | 4.677 | 7.942 | 35.56 | 6.952 | 3.293 | 6.236 |
| p-value | 0.0124 | 0.0012 | <0.0001 | 0.0021 | 0.0417 | 0.0036 |
| Biophysical Parameter | Mean Correlation ± Std. Dev. | Mean Difference | R2 | RMSE | R2 | RMSE | |
|---|---|---|---|---|---|---|---|
| Reflectance (r) | Absorbance (r) | Reflectance | Absorbance | ||||
| Chlorophyll Content | 0.759 ± 0.131 | −0.803 ± 0.104 | 1.562 (1.549–1.574) | 0.43 | 0.125 | 0.70 | 0.102 |
| Diameter | −0.486 ± 0.215 | 0.540 ± 0.175 | 1.026 (1.006–1.047) | 0.11 | 0.128 | 0.38 | 0.180 |
| Fresh Weight (Aerial) | −0.779 ± 0.122 | 0.822 ± 0.097 | 1.602 (1.591–1.613) | 0.47 | 0.099 | 0.72 | 0.120 |
| Fresh Weight (Root) | −0.421 ± 0.278 | 0.377 ± 0.228 | 0.797 (0,771–0.824) | 0.36 | 0.108 | 0.17 | 0.209 |
| Dry Weight (Aerial) | −0.646 ± 0.172 | 0.695 ± 0.139 | 1.341 (1.325–1.357) | 0.27 | 0.116 | 0.56 | 0.152 |
| Dry Weight (Root) | −0.734 ± 0.226 | 0.709 ± 0.186 | 1.443 (1.422–1.465) | 0.76 | 0.065 | 0.47 | 0.166 |
| Model | AUC | Class. Acc. (%) | F1-Score (%) | Precision (%) | Recall (%) | |||||
|---|---|---|---|---|---|---|---|---|---|---|
| Day: 14th | Refl. | Abs. | Refl. | Abs. | Refl. | Abs. | Refl. | Abs. | Refl. | Abs. |
| Decision Tree | 0.620 | 0.741 | 58.5 | 63.5 | 58.6 | 63.6 | 57.8 | 63.9 | 57.6 | 63.5 |
| SVM | 0.671 | 0.767 | 59.8 | 63.8 | 58.1 | 63.2 | 55.3 | 65.4 | 58.8 | 63.8 |
| Random Forest | 0.712 | 0.822 | 56.4 | 66.5 | 56.0 | 66.5 | 56.7 | 66.5 | 59.9 | 66.5 |
| ANN | 0.794 | 0.924 | 70.3 | 79.6 | 68.2 | 79.7 | 71.2 | 80.1 | 70.4 | 79.6 |
| Naïve Bayes | 0.589 | 0.707 | 44.2 | 54.8 | 46.4 | 54.2 | 49.8 | 55.4 | 50.1 | 54.8 |
| Logistic Regression | 0.701 | 0.833 | 66.2 | 71.4 | 60.3 | 71.3 | 65.4 | 71.4 | 61.9 | 71.4 |
| Day: 19th | Refl. | Abs. | Refl. | Abs. | Refl. | Abs. | Refl. | Abs. | Refl. | Abs. |
| Decision Tree | 0.702 | 0.772 | 60.5 | 69.2 | 59.5 | 69.2 | 64.6 | 69.3 | 60.2 | 69.2 |
| SVM | 0.755 | 0.803 | 58.8 | 60.6 | 59.2 | 58.0 | 58.4 | 60.6 | 58.8 | 60.6 |
| Random Forest | 0.811 | 0.891 | 62.3 | 74.5 | 56.5 | 74.5 | 64.0 | 74.5 | 69.2 | 74.5 |
| ANN | 0.904 | 0.941 | 75.6 | 82.0 | 70.8 | 81.9 | 74.1 | 81.8 | 74.0 | 82.0 |
| Naïve Bayes | 0.677 | 0.694 | 50.0 | 50.6 | 48.2 | 47.7 | 45.4 | 48.8 | 44.3 | 50.6 |
| Logistic Regression | 0.733 | 0.858 | 65.4 | 67.3 | 59.3 | 66.0 | 62.4 | 66.2 | 59.3 | 67.3 |
| Day: 24th | Refl. | Abs. | Refl. | Abs. | Refl. | Abs. | Refl. | Abs. | Refl. | Abs. |
| Decision Tree | 0.792 | 0.869 | 78.8 | 81.2 | 74.2 | 81.2 | 75.3 | 81.2 | 74.1 | 81.2 |
| SVM | 0.813 | 0.949 | 72.6 | 83.7 | 76.6 | 83.9 | 75.2 | 84.6 | 71.6 | 83.7 |
| Random Forest | 0.899 | 0.952 | 70.5 | 84.4 | 73.5 | 84.4 | 78.6 | 84.5 | 78.5 | 84.4 |
| ANN | 0.922 | 0.985 | 82.5 | 90.5 | 85.4 | 90.4 | 84.7 | 90.5 | 83.6 | 90.5 |
| Naïve Bayes | 0.684 | 0.869 | 60.2 | 70.4 | 67.9 | 70.7 | 65.8 | 71.4 | 61.4 | 70.4 |
| Logistic Regression | 0.868 | 0.971 | 77.9 | 89.4 | 76.1 | 89.3 | 67.8 | 89.4 | 72.1 | 89.4 |
| Day: 29th | Refl. | Abs. | Refl. | Abs. | Refl. | Abs. | Refl. | Abs. | Refl. | Abs. |
| Decision Tree | 0.818 | 0.845 | 81.2 | 78.0 | 71.3 | 78.0 | 70.2 | 78.0 | 64.9 | 78.0 |
| SVM | 0.879 | 0.902 | 83.7 | 76.6 | 70.2 | 76.8 | 71.7 | 77.5 | 62.3 | 76.6 |
| Random Forest | 0.912 | 0.942 | 84.4 | 83.1 | 74.5 | 83.1 | 75.3 | 83.7 | 70.1 | 83.1 |
| ANN | 0.945 | 0.984 | 90.5 | 92.7 | 81.3 | 92.7 | 82.4 | 92.7 | 79.3 | 92.7 |
| Naïve Bayes | 0.819 | 0.719 | 70.4 | 52.4 | 38.7 | 48.0 | 60.1 | 49.3 | 46.4 | 52.4 |
| Logistic Regression | 0.901 | 0.945 | 89.4 | 75.3 | 89.3 | 80.3 | 70.8 | 80.6 | 64.3 | 80.3 |
© 2019 by the authors. Licensee MDPI, Basel, Switzerland. This article is an open access article distributed under the terms and conditions of the Creative Commons Attribution (CC BY) license (http://creativecommons.org/licenses/by/4.0/).
Share and Cite
Osco, L.P.; Ramos, A.P.M.; Moriya, É.A.S.; Bavaresco, L.G.; Lima, B.C.d.; Estrabis, N.; Pereira, D.R.; Creste, J.E.; Júnior, J.M.; Gonçalves, W.N.; et al. Modeling Hyperspectral Response of Water-Stress Induced Lettuce Plants Using Artificial Neural Networks. Remote Sens. 2019, 11, 2797. https://doi.org/10.3390/rs11232797
Osco LP, Ramos APM, Moriya ÉAS, Bavaresco LG, Lima BCd, Estrabis N, Pereira DR, Creste JE, Júnior JM, Gonçalves WN, et al. Modeling Hyperspectral Response of Water-Stress Induced Lettuce Plants Using Artificial Neural Networks. Remote Sensing. 2019; 11(23):2797. https://doi.org/10.3390/rs11232797
Chicago/Turabian StyleOsco, Lucas Prado, Ana Paula Marques Ramos, Érika Akemi Saito Moriya, Lorrayne Guimarães Bavaresco, Bruna Coelho de Lima, Nayara Estrabis, Danilo Roberto Pereira, José Eduardo Creste, José Marcato Júnior, Wesley Nunes Gonçalves, and et al. 2019. "Modeling Hyperspectral Response of Water-Stress Induced Lettuce Plants Using Artificial Neural Networks" Remote Sensing 11, no. 23: 2797. https://doi.org/10.3390/rs11232797
APA StyleOsco, L. P., Ramos, A. P. M., Moriya, É. A. S., Bavaresco, L. G., Lima, B. C. d., Estrabis, N., Pereira, D. R., Creste, J. E., Júnior, J. M., Gonçalves, W. N., Imai, N. N., Li, J., Liesenberg, V., & Araújo, F. F. d. (2019). Modeling Hyperspectral Response of Water-Stress Induced Lettuce Plants Using Artificial Neural Networks. Remote Sensing, 11(23), 2797. https://doi.org/10.3390/rs11232797

