Estimating Gravimetric Water Content of a Winter Wheat Field from L-Band Vegetation Optical Depth
Abstract
1. Introduction
2. Materials and Methods
2.1. Experiment Description, Vegetation Conditions, and Datasets
2.2. Methodology for Estimating the Gravimetric Water Content of Vegetation
2.2.1. Retrieval Algorithm
2.2.2. Modelling the Vegetation Optical Depth Including a Two-Phase Dielectric Mixing Model
2.2.3. Conversion of Vegetation Dielectric Constant into Gravimetric Vegetation Water Content
3. Results
3.1. Gravimetric Vegetation Water Content Retrieval
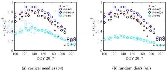
3.2. Sensitivity Analysis on the mg Retrieval for Varying δ
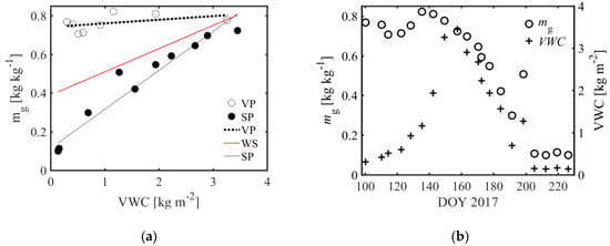
3.3. Comparison between mg and VWC
4. Discussion
5. Summary and Conclusions
Author Contributions
Funding
Conflicts of Interest
References
- Meyer, T.; Weihermüller, L.; Vereecken, H.; Jonard, F. Vegetation optical depth and soil moisture retrieved from L-band radiometry over the growth cycle of a winter wheat. Remote Sens. 2018, 10, 1637. [Google Scholar] [CrossRef]
- Schmugge, T.J.; Jackson, T.J. A dielectric model of the vegetation effects on the microwave emission from soils. IEEE Trans. Geosci. Remote Sens. 1992, 30, 757–760. [Google Scholar] [CrossRef]
- Ulaby, F.; El-Rayes, M. Microwave dielectric spectrum of vegetation—Part II: Dual-dispersion model. IEEE Trans. Geosci. Remote Sens. 1987, 5, 550–557. [Google Scholar] [CrossRef]
- Yilmaz, M.T.; Hunt, E.R.; Goins, L.D.; Ustin, S.L.; Vanderbilt, V.C.; Jackson, T.J. Vegetation water content during SMEX04 from ground data and Landsat 5 thematic mapper imagery. Remote Sens. Environ. 2008, 112, 350–362. [Google Scholar] [CrossRef]
- Fink, A.; Jagdhuber, T.; Piles, M.; Grant, J.; Baur, M.; Link, M.; Entekhabi, D. Estimating gravimetric moisture of vegetation using an attenuation-based multi-sensor approach. In Proceedings of the IEEE International Geoscience and Remote Sensing Symposium, Valencia, Spain, 22–27 July 2018; pp. 353–356. [Google Scholar]
- Jackson, T.J.; Chen, D.; Cosh, M.; Li, F.; Anderson, M.; Walthall, C.; Doriaswamy, P.; Hunt, E.R. Vegetation water content mapping using Landsat data derived normalized difference water index for corn and soybeans. Remote Sens. Environ. 2004, 92, 475–482. [Google Scholar] [CrossRef]
- Chen, D.; Huang, J.; Jackson, T.J. Vegetation water content estimation for corn and soybeans using spectral indices derived from MODIS near- and short-wave infrared bands. Remote Sens. Environ. 2005, 98, 225–236. [Google Scholar] [CrossRef]
- Anderson, M.C.; Neale, C.M.U.; Li, F.; Norman, J.M.; Kustas, W.P.; Jayanthi, H.; Chavez, J. Upscaling ground observations of vegetation water content, canopy height, and leaf area index during SMEX02 using aircraft and Landsat imagery. Remote Sens. Environ. 2004, 92, 447–464. [Google Scholar] [CrossRef]
- Saleh, K.; Wigneron, J.P.; Waldteufel, P.; de Rosnay, P.; Schwank, M.; Calvet, J.C.; Kerr, Y.H. Estimates of surface soil moisture under grass covers using L-band radiometry. Remote Sens. Environ. 2007, 109, 42–53. [Google Scholar] [CrossRef]
- Wigneron, J.-P.; Chanzy, A.; Calvet, J.-C.; Bruguier, N. A simple algorithm to retrieve soil moisture and vegetation biomass using passive microwave measurements over crop fields. Remote Sens. Environ. 1995, 51, 331–341. [Google Scholar] [CrossRef]
- Jackson, T.J.; Schmugge, T.J. Vegetation effects on the microwave emission of soils. Remote Sens. Environ. 1991, 36, 203–212. [Google Scholar] [CrossRef]
- Wigneron, J.P.; Jackson, T.J.; O’Neill, P.; De Lannoy, G.; de Rosnay, P.; Walker, J.P.; Ferrazzoli, P.; Mironov, V.; Bircher, S.; Grant, J.P. Modelling the passive microwave signature from land surfaces: A review of recent results and application to the L-band SMOS & SMAP soil moisture retrieval algorithms. Remote Sens. Environ. 2017, 192, 238–262. [Google Scholar]
- Wigneron, J.; Calvet, J.; Kerr, Y.; Chanzy, A.; Lopes, A. Microwave emission of vegetation: Sensitivity to leaf characteristics. IEEE Trans. Geosci. Remote Sens. 1993, 31, 716–726. [Google Scholar] [CrossRef]
- Ulaby, F.T.; Jedlicka, R.P. Microwave dielectric properties of plant materials. IEEE Trans. Geosci. Remote Sens. 1984, 4, 406–415. [Google Scholar] [CrossRef]
- O’Neill, P.; Chan, S.; Njoku, E.; Jackson, T.; Bindlish, R. Algorithm theoretical basis document (ATBD): Level 2 & 3 soil moisture (passive) data products. In Soil Moisture Active Passive (SMAP); Jet Propulsion Laboratory: Pesadena, CA, USA, 2015. [Google Scholar]
- Kerr, Y.H.; Waldteufel, P.; Wigneron, J.-P.; Delwart, S.; Cabot, F.; Boutin, J.; Escorihuela, M.-J.; Font, J.; Reul, N.; Gruhier, C. The SMOS mission: New tool for monitoring key elements ofthe global water cycle. Proc. IEEE 2010, 98, 666–687. [Google Scholar] [CrossRef]
- Entekhabi, D.; Njoku, E.G.; O’Neill, P.E.; Kellogg, K.H.; Crow, W.T.; Edelstein, W.N.; Entin, J.K.; Goodman, S.D.; Jackson, T.J.; Johnson, J. The soil moisture active passive (SMAP) mission. Proc. IEEE 2010, 98, 704–716. [Google Scholar] [CrossRef]
- Grant, J.; Wigneron, J.; Williams, M.; Scholze, M.; Kerr, Y. Working towards a global-scale vegetation water product from SMOS optical depth. In Proceedings of the IEEE International Geoscience and Remote Sensing Symposium, Quebec City, QC, Canada, 13–18 July 2014; pp. 286–289. [Google Scholar]
- Ulaby, F.T.; Long, D.G.; Blackwell, W.J.; Elachi, C.; Fung, A.K.; Ruf, C.; Sarabandi, K.; Zebker, H.A.; Van Zyl, J. Microwave Radar and Radiometric Remote Sensing; University of Michigan Press: Artech House, MI, USA, 2014. [Google Scholar]
- Grant, J.P.; Wigneron, J.; Drusch, M.; Williams, M.; Law, B.E.; Novello, N.; Kerr, Y. Investigating temporal variations in vegetation water content derived from SMOS optical depth. In Proceedings of the IEEE International Geoscience and Remote Sensing Symposium, Munich, Germany, 22–27 July 2012; pp. 3331–3334. [Google Scholar]
- Jonard, F.; Weihermuller, L.; Schwank, M.; Jadoon, K.Z.; Vereecken, H.; Lambot, S. Estimation of hydraulic properties of a sandy soil using ground-based active and passive microwave remote sensing. IEEE Trans. Geosci. Remote Sens. 2015, 53, 3095–3109. [Google Scholar] [CrossRef]
- Polder, D.; van Santeen, J.H. The effective permeability of mixtures of solids. Physica 1946, 12, 257–271. [Google Scholar] [CrossRef]
- Njoku, E.G.; Entekhabi, D. Passive microwave remote sensing of soil moisture. J. Hydrol. 1996, 184, 101–129. [Google Scholar] [CrossRef]
- Li, L.; Gaiser, P.W.; Bo-Cai, G.; Bevilacqua, R.M.; Jackson, T.J.; Njoku, E.G.; Rudiger, C.; Calvet, J.-C.; Bindlish, R. WindSat global soil moisture retrieval and validation. IEEE Trans. Geosci. Remote Sens. 2010, 48, 2224–2241. [Google Scholar] [CrossRef]
- Hunt, E.R.; Li, L.; Yilmaz, M.T.; Jackson, T.J. Comparison of vegetation water contents derived from shortwave-infrared and passive-microwave sensors over central Iowa. Remote Sens. Environ. 2011, 115, 2376–2383. [Google Scholar] [CrossRef]
- Ulaby, F.; Wilson, E. Microwave attenuation properties of vegetation canopies. IEEE Trans. Geosci. Remote Sens. 1985, 5, 746–753. [Google Scholar] [CrossRef]
- Brunfeldt, D.R.; Ulaby, F.T. Measured microwave emission and scattering in vegetation canopies. IEEE Trans. Geosci. Remote Sens. 1984, 6, 520–524. [Google Scholar] [CrossRef]
- Grant, J.P.; Wigneron, J.P.; De Jeu, R.A.M.; Lawrence, H.; Mialon, A.; Richaume, P.; Al Bitar, A.; Drusch, M.; van Marle, M.J.E.; Kerr, Y. Comparison of SMOS and AMSR-E vegetation optical depth to four MODIS-based vegetation indices. Remote Sens. Environ. 2016, 172, 87–100. [Google Scholar] [CrossRef]
- Kirdyashev, K.P.; Chukhlantsev, A.A.; Shutko, A.M. Microwave radiation of the earth’s surface in the presence of vegetation cover. Radio Eng. Electron. Phys. 1979, 24, 37–44. [Google Scholar]
- Dirmeyer, P.A.; Gao, X.; Zhao, M.; Guo, Z.; Oki, T.; Hanasaki, N. GSWP-2: Multimodel analysis and implications for our perception of the land surface. Bull. Am. Meteorol. Soc. 2006, 87, 1381–1398. [Google Scholar] [CrossRef]
- Shi, J.; Jackson, T.; Tao, J.; Du, J.; Bindlish, R.; Lu, L.; Chen, K.S. Microwave vegetation indices for short vegetation covers from satellite passive microwave sensor AMSR-E. Remote Sens. Environ. 2008, 112, 4285–4300. [Google Scholar] [CrossRef]
- Wigneron, J.P.; Kerr, Y.; Waldteufel, P.; Saleh, K.; Escorihuela, M.J.; Richaume, P.; Ferrazzoli, P.; de Rosnay, P.; Gurney, R.; Calvet, J.C. L-band Microwave Emission of the Biosphere (L-MEB) model: Description and calibration against experimental data sets over crop fields. Remote Sens. Environ. 2007, 107, 639–655. [Google Scholar] [CrossRef]
- Matzler, C. Microwave (1–100 GHz) dielectric model of leaves. IEEE Trans. Geosci. Remote Sens. 1994, 32, 947–949. [Google Scholar] [CrossRef]
- Huyer, W.; Neumaier, A. Global optimization by multilevel coordinate search. J. Glob. Optim. 1999, 14, 331–355. [Google Scholar] [CrossRef]
- Nelder, J.A.; Mead, R. A simplex method for function minimization. Comput. J. 1965, 7, 308–313. [Google Scholar] [CrossRef]
- De Loor, G.P. Dielectric properties of heterogeneous mixtures with a polar constituent. Appl. Sci. Res. Sect. B 1964, 11, 310–320. [Google Scholar] [CrossRef]
- Wigneron, J.-P.; Kerr, Y.; Chanzy, A.; Jin, Y.-Q. Inversion of surface parameters from passive microwave measurements over a soybean field. Remote Sens. Environ. 1993, 46, 61–72. [Google Scholar] [CrossRef]
- Kerr, Y.H.; Njoku, E.G. A semiempirical model for interpreting microwave emission from semiarid land surfaces as seen from space. IEEE Trans. Geosci. Remote Sens. 1990, 28, 384–393. [Google Scholar] [CrossRef]
- Wegmüller, U.; Mätzler, C.; Njoku, E.G. Canopy opacity models. In Passive Microwave Remote Sensing of Land-Atmosphere Interactions; VSP: Utrecht, The Netherlands, 1995. [Google Scholar]
- Matzler, C. Seasonal evolution of microwave radiation from an oat field. Remote Sens. Environ. 1990, 31, 161–173. [Google Scholar] [CrossRef]
- Tsang, L.; Choe, Y. A Mathematical Characterization of Vegetation Effect on Microwave Remote Sensing from the Earth; Texas A/M University, Remote Sensing Center: College Station, TX, USA, August 1983. [Google Scholar]
- Grant, J.P. Global-scale Dynamic Monitoring of Vegetation Water Status for Improving Carbon Flux Estimates (VEGWAC); ESA STSE Final Report; Lund University: Lund, Sweden, 2016. [Google Scholar]
- Qin, X.-L.; Weiner, J.; Qi, L.; Xiong, Y.-C.; Li, F.-M. Allometric analysis of the effects of density on reproductive allocation and harvest index in 6 varieties of wheat (Triticum). Field Crop. Res. 2013, 144, 162–166. [Google Scholar] [CrossRef]
- Meesters, A.G.C.A.; De Jeu, R.A.M.; Owe, M. Analytical derivation of the vegetation optical depth from the microwave polarization difference index. IEEE Geosci. Remote Sens. Lett. 2005, 2, 121–123. [Google Scholar] [CrossRef]
- Kurum, M.; O’Neill, P.E.; Lang, R.H.; Joseph, A.T.; Cosh, M.H.; Jackson, T.J. Effective tree scattering and opacity at L-band. Remote Sens. Environ. 2012, 118, 1–9. [Google Scholar] [CrossRef]
- Konings, A.G.; McColl, K.A.; Piles, M.; Entekhabi, D. How many parameters can be maximally estimated from a set of measurements? IEEE Geosci. Remote Sens. Lett. 2015, 12, 1081–1085. [Google Scholar] [CrossRef]
- Konings, A.G.; Piles, M.; Rötzer, K.; McColl, K.A.; Chan, S.K.; Entekhabi, D. Vegetation optical depth and scattering albedo retrieval using time series of dual-polarized L-band radiometer observations. Remote Sens. Environ. 2016, 172, 178–189. [Google Scholar] [CrossRef]






| vn | rdi | In Situ | ||||
|---|---|---|---|---|---|---|
| mean | 22.5 | 7.0 | 22.2 | 6.8 | 21.3 | 6.7 |
| STD | 10.3 | 3.0 | 12.8 | 3.9 | 9.4 | 2.8 |
| Slope | Intercept | R2 | Bias | RMSE | ||
|---|---|---|---|---|---|---|
| Modelled mg (vn) | Measured mg | 0.70 | 0.19 | 0.89 | 0.03 | 0.10 |
| Modelled mg (rdi) | Measured mg | 0.64 | 0.20 | 0.89 | 0.009 | 0.11 |
| δ-Values | Mean—mg | STD—mg | |
|---|---|---|---|
| vn | 0.004 | 0.66 | 0.22 |
| 0.0049 | 0.57 | 0.19 | |
| 0.01 | 0.34 | 0.11 | |
| rdi | 0.002 | 0.67 | 0.22 |
| 0.0026 | 0.55 | 0.18 | |
| 0.01 | 0.22 | 0.06 | |
| ref | - | 0.55 | 0.26 |
| DOY. | Slope | Intercept | R2 |
|---|---|---|---|
| Whole (100–226) | 0.12 | 0.39 | 0.26 |
| Growth (≤160) | 0.02 | 0.74 | 0.21 |
| Senescence (>160) | 0.20 | 0.11 | 0.95 |
© 2019 by the authors. Licensee MDPI, Basel, Switzerland. This article is an open access article distributed under the terms and conditions of the Creative Commons Attribution (CC BY) license (http://creativecommons.org/licenses/by/4.0/).
Share and Cite
Meyer, T.; Jagdhuber, T.; Piles, M.; Fink, A.; Grant, J.; Vereecken, H.; Jonard, F. Estimating Gravimetric Water Content of a Winter Wheat Field from L-Band Vegetation Optical Depth. Remote Sens. 2019, 11, 2353. https://doi.org/10.3390/rs11202353
Meyer T, Jagdhuber T, Piles M, Fink A, Grant J, Vereecken H, Jonard F. Estimating Gravimetric Water Content of a Winter Wheat Field from L-Band Vegetation Optical Depth. Remote Sensing. 2019; 11(20):2353. https://doi.org/10.3390/rs11202353
Chicago/Turabian StyleMeyer, Thomas, Thomas Jagdhuber, María Piles, Anita Fink, Jennifer Grant, Harry Vereecken, and François Jonard. 2019. "Estimating Gravimetric Water Content of a Winter Wheat Field from L-Band Vegetation Optical Depth" Remote Sensing 11, no. 20: 2353. https://doi.org/10.3390/rs11202353
APA StyleMeyer, T., Jagdhuber, T., Piles, M., Fink, A., Grant, J., Vereecken, H., & Jonard, F. (2019). Estimating Gravimetric Water Content of a Winter Wheat Field from L-Band Vegetation Optical Depth. Remote Sensing, 11(20), 2353. https://doi.org/10.3390/rs11202353

