Evaluating the Temperature Difference Parameter in the SSEBop Model with Satellite-Observed Land Surface Temperature Data
Abstract
1. Introduction
2. Materials
2.1. Study Area
2.2. MODIS Data
2.3. Modeled dT Data
3. Methods
3.1. Processing of MODIS Data
3.2. Calculation of Observed dT
3.3. Comparison of Observed dT and Modelled dT
4. Results
4.1. Maps of Hot and Cold Pixels
4.2. Creation of dTo and dTm Timeseries
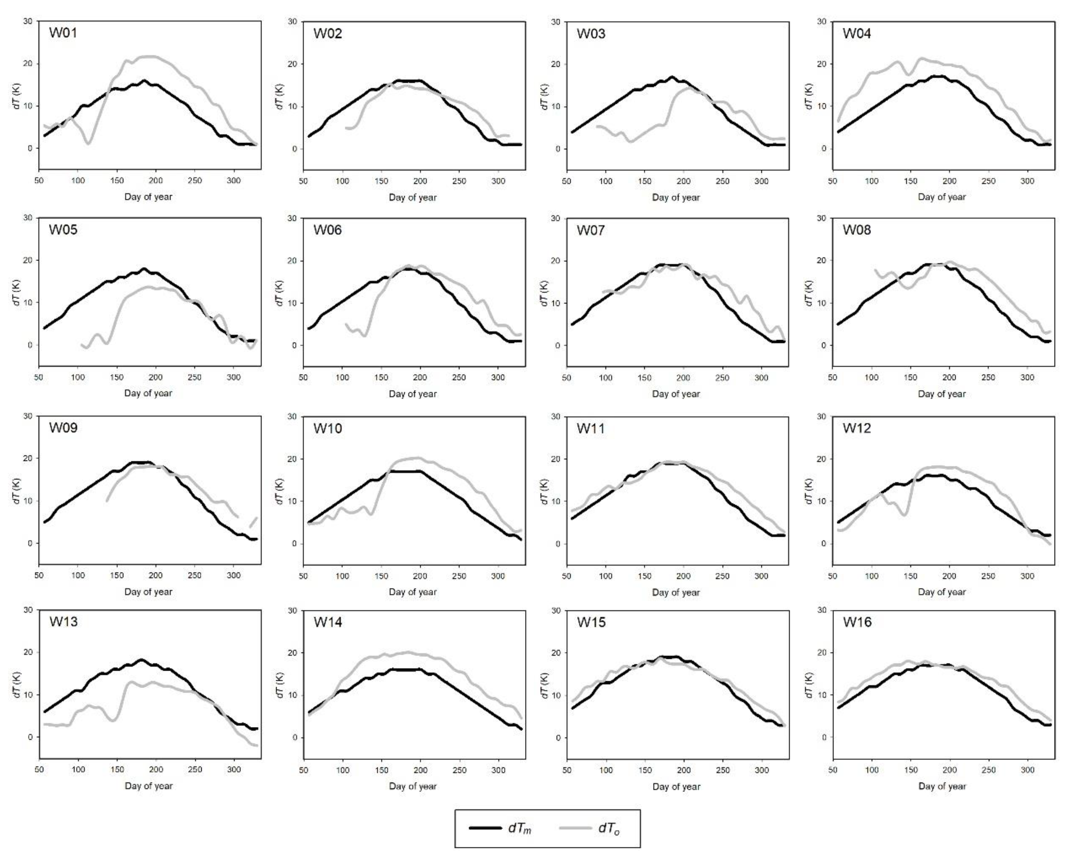
4.3. Agreement between dTo and dTm in the West Coast Region
4.4. Agreement between dTo and dTm in the South-Central Region
5. Discussion
5.1. Uncertainties of dTo Estimates
5.2. Error Sources and Ranges of dTm Estimation
6. Conclusions
Author Contributions
Funding
Acknowledgments
Conflicts of Interest
References
- Amatya, D.M.; Irmak, S.; Gowda, P.; Sun, G.; Nettles, J.E.; Douglas-Mankin, K.R. Ecosystem evapotranspiration: Challenges in measurements, estimates, and modeling. Trans. ASABE 2016, 59, 555–560. [Google Scholar]
- Gowda, P.H.; Chavez, J.L.; Colaizzi, P.D.; Evett, S.R.; Howell, T.A.; Tolk, J.A. ET mapping for agricultural water management: Present status and challenges. Irrig. Sci. 2008, 26, 223–237. [Google Scholar] [CrossRef]
- Li, Z.-L.; Tang, R.; Wan, Z.; Bi, Y.; Zhou, C.; Tang, B.; Yan, G.; Zhang, X. A review of Current methodologies for regional evapotranspiration estimation from remotely sensed Data. Sensors 2009, 9, 3801–3853. [Google Scholar] [CrossRef] [PubMed]
- Xu, C.-Y.; Singh, V.P. Evaluation of three complementary relationship evapotranspiration models by water balance approach to estimate actual regional evapotranspiration in different climatic regions. J. Hydrol. 2005, 308, 105–121. [Google Scholar] [CrossRef]
- Menenti, M.; Choudhury, B.J. Parameterization of land surface evapotranspiration using a location-dependent potential evapotranspiration and surface temperature range. In Exchange Processes at the Land Surface for a Range of Space and Time Scales, Proceedings of the Yokohama Symposium, Yokohama, Japan, 26–30 July 1993; Bolle, H.J., Feddes, R.A., Kalma, J.D., Eds.; International Association of Hydrological Sciences Publication No. 212; IAHS Press: Wallingford, Oxfordshire, UK, 1993; pp. 561–568. [Google Scholar]
- Norman, J.M.; Divakarla, M.; Goel, N.S. Algorithms for extracting information from remote thermal-IR observations of the Earth’s surface. Remote Sens. Environ. 1995, 51, 157–168. [Google Scholar] [CrossRef]
- Bastiaanssen, W.G.M.; Menenti, M.; Feddes, R.A.; Holtslag, A.A.M. A remote sensing surface energy balance algorithm for land (SEBAL) 1. Formulation. J. Hydrol. 1998, 212, 198–212. [Google Scholar] [CrossRef]
- Bastiaanssen, W.G.M.; Pelgrum, H.; Wang, J.; Ma, Y.; Moreno, J.F.; Roerink, G.J.; van der Wal, T. A remote sensing surface energy balance algorithm for land (SEBAL) 2. Validation. J. Hydrol. 1998, 212, 213–229. [Google Scholar] [CrossRef]
- Roerink, G.J.; Su, Z.; Menenti, M. S-SEBI: A simple remote sensing algorithm to estimate the surface energy balance. Phys. Chem. Earth Part B Hydrol. Oceans Atmos. 2000, 25, 147–157. [Google Scholar] [CrossRef]
- Su, Z. The Surface Energy Balance System (SEBS) for estimation of turbulent heat fluxes. Hydrol. Earth Syst. Sci. 2002, 6, 85–99. [Google Scholar] [CrossRef]
- Allen, R.G.; Tasumi, M.; Trezza, R. Satellite-based energy balance for mapping evapotranspiration at high resolution with internalized calibration (METRIC)—Model. J. Irrig. Drain. Eng. 2007, 133, 380–394. [Google Scholar] [CrossRef]
- Allen, R.G.; Tasumi, M.; Morse, A.; Trezza, R.; Wright, J.L.; Bastiaanssen, W.; Kramber, W.; Lorite, I.; Robison, C.W. Satellite-based energy balance for mapping evapotranspiration with internalized calibration (METRIC)—Applications. J. Irrig. Drain. Eng. 2007, 133, 395–406. [Google Scholar] [CrossRef]
- Senay, G.B.; Bohms, S.; Singh, R.K.; Gowda, P.H.; Velpuri, N.M.; Alemu, H.; Verdin, J.P. Operational evapotranspiration mapping using remote sensing and weather datasets: A new parameterization for the SSEB approach. J. Am. Water Resour. Assoc. 2013, 49, 577–591. [Google Scholar] [CrossRef]
- Senay, G.B. Satellite psychrometric formulation of the Operational Simplified Surface Energy Balance (SSEBop) model for quantifying and mapping evapotranspiration. Appl. Eng. Agric. 2018, 34, 555–566. [Google Scholar] [CrossRef]
- Senay, G.B.; Budde, M.; Verdin, J.P.; Melesse, A.M. A coupled remote sensing and simplified surface energy balance approach to estimate actual evapotranspiration from irrigated fields. Sensors 2007, 7, 979–1000. [Google Scholar] [CrossRef]
- Senay, G.B.; Budde, M.E.; Verdin, J.P. Enhancing the Simplified Surface Energy Balance (SSEB) approach for estimating landscape ET: Validation with the METRIC model. Agric. Water Manag. 2011, 98, 606–618. [Google Scholar] [CrossRef]
- Senay, G.B.; Leake, S.; Nagler, P.L.; Artan, G.; Dickinson, J.; Cordova, J.T.; Glenn, E.P. Estimating basin scale evapotranspiration (ET) by water balance and remote sensing methods. Hydrol. Process. 2011, 25, 4037–4049. [Google Scholar] [CrossRef]
- Senay, G.B.; Schauer, M.; Velpuri, N.M.; Singh, R.K.; Kagone, S.; Friedrichs, M.; Litvak, M.E.; Douglas-Mankin, K.R. Long-term (1986–2015) crop water use characterization over the Upper Rio Grande Basin of United States and Mexico using Landsat-based evapotranspiration. Remote Sens. 2019, 11, 1587. [Google Scholar] [CrossRef]
- Senay, G.B.; Schauer, M.; Friedrichs, M.; Velpuri, N.M.; Singh, R.K. Satellite-based water use dynamics using historical Landsat data (1984–2014) in the southwestern United States. Remote Sens. Environ. 2017, 202, 98–112. [Google Scholar] [CrossRef]
- Senay, G.B.; Friedrichs, M.; Singh, R.K.; Velpuri, N.M. Evaluating Landsat 8 evapotranspiration for water use mapping in the Colorado River Basin. Remote Sens. Environ. 2016, 185, 171–185. [Google Scholar] [CrossRef]
- Chen, M.; Senay, G.B.; Singh, R.K.; Verdin, J.P. Uncertainty analysis of the Operational Simplified Surface Energy Balance (SSEBop) model at multiple flux tower sites. J. Hydrol. 2016, 536, 384–399. [Google Scholar] [CrossRef]
- Velpuri, N.M.; Senay, G.B.; Singh, R.K.; Bohms, S.; Verdin, J.P. A comprehensive evaluation of two MODIS evapotranspiration products over the conterminous United States: Using point and gridded FLUXNET and water balance ET. Remote Sens. Environ. 2013, 139, 35–49. [Google Scholar] [CrossRef]
- Weerasinghe, I.; van Griensven, A.; Bastiaanssen, W.; Mul, M.; Jia, L. Can we trust remote sensing ET products over Africa? Hydrol. Earth Syst. Sci. 2019. under review. [Google Scholar] [CrossRef]
- Mu, Q.; Heinsch, F.A.; Zhao, M.; Running, S.W. Development of a global evapotranspiration algorithm based on MODIS and global meteorology data. Remote Sens. Environ. 2007, 111, 519–536. [Google Scholar] [CrossRef]
- Mu, Q.; Zhao, M.; Running, S.W. Improvements to a MODIS Global Terrestrial Evapotranspiration Algorithm. Remote Sens. Environ. 2011, 115, 1781–1800. [Google Scholar] [CrossRef]
- Jung, M.; Reichstein, M.; Bondeau, A. Towards global empirical upscaling of FLUXNET eddy covariance observations: Validation of a model tree ensemble approach using a biosphere model. Biogeosciences 2009, 6, 2001–2013. [Google Scholar]
- Alemayehu, T.; van Griensven, A.; Senay, G.B.; Bauwens, W. Evapotranspiration mapping in a heterogeneous landscape using remote sensing and global weather datasets: Application to the Mara Basin, East Africa. Remote Sens. 2017, 9, 390. [Google Scholar] [CrossRef]
- Bhattarai, N.; Shaw, S.B.; Quackenbush, L.J.; Im, J.; Niraula, R. Evaluating five remote sensing based single-source surface energy balance models for estimating daily evapotranspiration in a humid subtropical climate. Int. J. Appl. Earth Obs. Geoinf. 2016, 49, 75–86. [Google Scholar] [CrossRef]
- Bhattarai, N.; Mallick, K.; Stuart, J.; Vishwakarma, B.D.; Niraula, R.; Sen, S.; Jain, M. An automated multi-model evapotranspiration mapping framework using remotely sensed and reanalysis data. Remote Sens. Environ. 2019, 229, 69–92. [Google Scholar] [CrossRef]
- Senkondo, W.; Munishi, S.E.; Tumbo, M.; Nobert, J.; Lyon, S.W. Comparing remotely-sensed surface energy balance evapotranspiration estimates in heterogeneous and data-limited regions: A case study of Tanzania’s Kilombero Valley. Remote Sens. 2019, 11, 1289. [Google Scholar] [CrossRef]
- Singh, R.K.; Senay, G.B. Comparison of four different energy balance models for estimating evapotranspiration in the Midwestern United States. Water 2016, 8, 9. [Google Scholar] [CrossRef]
- MCD12Q1 v006. Available online: https://lpdaac.usgs.gov/products/mcd12q1v006/ (accessed on 11 June 2019).
- PRISM Climate Data. Available online: http://prism.oregonstate.edu (accessed on 11 June 2019).
- AppEEARS. Available online: https://lpdaac.usgs.gov/tools/appeears/ (accessed on 11 June 2019).
- Thornton, P.E.; Thornton, M.M.; Mayer, B.W.; Wei, Y.; Devarakonda, R.; Vose, R.S.; Cook, R.B. Daymet: Daily Surface Weather Data on a 1-km Grid for North America Version 3; ORNL DAAC: Oak Ridge, TN, USA, 2018. [Google Scholar] [CrossRef]
- Daymet. Available online: https://daymet.ornl.gov/ (accessed on 11 June 2019).
- Danielson, J.J.; Gesch, D.B. Global Multi-resolution Terrain Elevation Data 2010 (GMTED2010). In U.S. Geological Survey Open-File Report 2011–1073; U.S. Geological Survey: Reston, VA, USA, 2011. [Google Scholar]
- Duan, S.B.; Li, Z.L.; Wu, H.; Leng, P.; Gao, M.; Wang, C. Radiance-based validation of land surface temperature products derived from Collection 6 MODIS thermal infrared data. Int. J. Appl. Earth Obs. Geoinf. 2018, 70, 84–92. [Google Scholar] [CrossRef]
- Guillevic, P.C.; Privette, J.L.; Coudert, B.; Palecki, M.A.; Demarty, J.; Ottlé, C.; Augustine, J.A. Land Surface Temperature product validation using NOAA’s surface climate observation networks—Scaling methodology for the Visible Infrared Imager Radiometer Suite (VIIRS). Remote Sens. Environ. 2012, 124, 282–298. [Google Scholar] [CrossRef]
- Li, Z.L.; Tang, B.H.; Wu, H.; Ren, H.; Yan, G.; Wan, Z.; Trigo, I.F.; Sobrino, J.A. Satellite-derived land surface temperature: Current status and perspectives. Remote Sens. Environ. 2013, 131, 14–37. [Google Scholar] [CrossRef]
- Wan, Z.; Zhang, Y.; Zhang, Q.; Li, Z. Validation of the land-surface temperature products retrieved from Terra Moderate Resolution Imaging Spectroradiometer data. Remote Sens. Environ. 2002, 83, 163–180. [Google Scholar] [CrossRef]
- Coll, C.; Wan, Z.; Galve, J.M. Temperature-based and radiance-based validations of the V5 MODIS land surface temperature product. J. Geophys. Res. 2009, 114, D20102. [Google Scholar] [CrossRef]
- Li, H.; Sun, D.; Yu, Y.; Wang, H.; Liu, Y.; Liu, Q.; Du, Y.; Wang, H.; Cao, B. Evaluation of the VIIRS and MODIS LST products in an arid area of Northwest China. Remote Sens. Environ. 2014, 142, 111–121. [Google Scholar] [CrossRef]
- Krishnan, P.; Kochendorfer, J.; Dumas, E.J.; Guillevic, P.C.; Baker, C.B.; Meyers, T.P.; Martos, B. Comparison of in-situ, aircraft, and satellite land surface temperature measurements over a NOAA Climate Reference Network site. Remote Sens. Environ. 2015, 165, 249–264. [Google Scholar] [CrossRef]





| Product | Satellite | Attribute | Pixel Size | Compositing Interval | Output Dataset |
|---|---|---|---|---|---|
| MYD09A1 | Aqua | Land surface reflectance | 500 m | 8-day | NDVI; cloud, cloud shadow, cirrus, and snow/ice masks |
| MYD11A2 | Aqua | Land surface temperature | 1 km | 8-day | Land surface temperature |
| MYD14A2 | Aqua | Active fire | 1 km | 8-day | Fire mask |
| MCD12Q1 | Terra/Aqua combined | Land cover type | 500 m | Annual | Vegetation cover |
| Block | Mean of dTo (K) | Mean of dTm (K) | Bias (K) | RMSE (K) | r | n |
|---|---|---|---|---|---|---|
| W01 | 11.54 | 8.71 | 2.82 | 5.14 | 0.797 | 35 |
| W02 | 9.99 | 10.14 | −0.16 | 2.74 | 0.862 | 28 |
| W03 | 6.98 | 9.75 | −2.77 | 5.93 | 0.389 | 32 |
| W04 | 9.74 | 14.35 | 4.61 | 4.97 | 0.953 | 35 |
| W05 | 10.79 | 6.96 | −3.83 | 6.16 | 0.614 | 29 |
| W06 | 11.13 | 11.03 | 0.10 | 4.70 | 0.680 | 29 |
| W07 | 12.97 | 11.71 | 1.26 | 2.73 | 0.935 | 31 |
| W08 | 11.93 | 14.05 | 2.12 | 3.38 | 0.910 | 29 |
| W08 | 13.17 | 12.17 | 1.01 | 3.18 | 0.918 | 24 |
| W10 | 11.68 | 10.63 | 1.06 | 3.96 | 0.772 | 35 |
| W11 | 13.39 | 11.91 | 1.48 | 2.23 | 0.966 | 35 |
| W12 | 10.65 | 10.26 | 0.39 | 3.01 | 0.855 | 35 |
| W13 | 6.92 | 11.20 | −4.28 | 5.18 | 0.814 | 35 |
| W14 | 14.18 | 10.80 | 3.38 | 3.75 | 0.953 | 35 |
| W15 | 13.31 | 12.51 | 0.79 | 1.57 | 0.978 | 35 |
| W16 | 13.33 | 11.66 | 1.67 | 1.94 | 0.980 | 35 |
| Median for all blocks | 11.61 | 11.12 | 1.03 | 3.56 | 0.886 | 16 |
| Block | Mean of dTo (K) | Mean of dTm (K) | Bias (K) | RMSE (K) | r | n |
|---|---|---|---|---|---|---|
| SC01–SC02 | 13.91 | 14.23 | −0.31 | 2.11 | 0.469 | 20 |
| SC03–SC04 | 13.84 | 13.35 | 0.49 | 1.55 | 0.879 | 26 |
| SC05–SC06 | 12.47 | 13.29 | −0.82 | 1.62 | 0.885 | 26 |
| SC07–SC08 | 14.02 | 13.38 | 0.64 | 1.83 | 0.800 | 26 |
| SC09–SC10 | 14.24 | 11.93 | 2.31 | 2.99 | 0.878 | 34 |
| SC11–SC12 | 12.47 | 11.92 | 0.54 | 1.70 | 0.906 | 32 |
| Median for all pairs of blocks | 13.88 | 13.32 | 0.52 | 1.76 | 0.879 | 6 |
© 2019 by the authors. Licensee MDPI, Basel, Switzerland. This article is an open access article distributed under the terms and conditions of the Creative Commons Attribution (CC BY) license (http://creativecommons.org/licenses/by/4.0/).
Share and Cite
Ji, L.; Senay, G.B.; Velpuri, N.M.; Kagone, S. Evaluating the Temperature Difference Parameter in the SSEBop Model with Satellite-Observed Land Surface Temperature Data. Remote Sens. 2019, 11, 1947. https://doi.org/10.3390/rs11161947
Ji L, Senay GB, Velpuri NM, Kagone S. Evaluating the Temperature Difference Parameter in the SSEBop Model with Satellite-Observed Land Surface Temperature Data. Remote Sensing. 2019; 11(16):1947. https://doi.org/10.3390/rs11161947
Chicago/Turabian StyleJi, Lei, Gabriel B. Senay, Naga M. Velpuri, and Stefanie Kagone. 2019. "Evaluating the Temperature Difference Parameter in the SSEBop Model with Satellite-Observed Land Surface Temperature Data" Remote Sensing 11, no. 16: 1947. https://doi.org/10.3390/rs11161947
APA StyleJi, L., Senay, G. B., Velpuri, N. M., & Kagone, S. (2019). Evaluating the Temperature Difference Parameter in the SSEBop Model with Satellite-Observed Land Surface Temperature Data. Remote Sensing, 11(16), 1947. https://doi.org/10.3390/rs11161947
