Long-Term (1986–2015) Crop Water Use Characterization over the Upper Rio Grande Basin of United States and Mexico Using Landsat-Based Evapotranspiration
Abstract
1. Introduction
2. Methods
2.1. Upper Rio Grande Basin (URGB)
2.1.1. Landsat Imagery
2.1.2. Hydro-Climatic and Model Parameter Datasets
2.1.3. Preprocessing
2.2. SSEBop Model
2.3. Cropland Extent
2.4. Validation of ETa Estimates using Eddy-Covariance Flux Towers
2.5. Basin-Scale Validation of ET Estimates
2.6. Seasonality, Year-to-Year Variability, and Mann–Kendall Trend Analysis
3. Results
3.1. Point-Scale Validation of ETa Estimates
3.2. Basin-Scale Validation of ETa Estimates
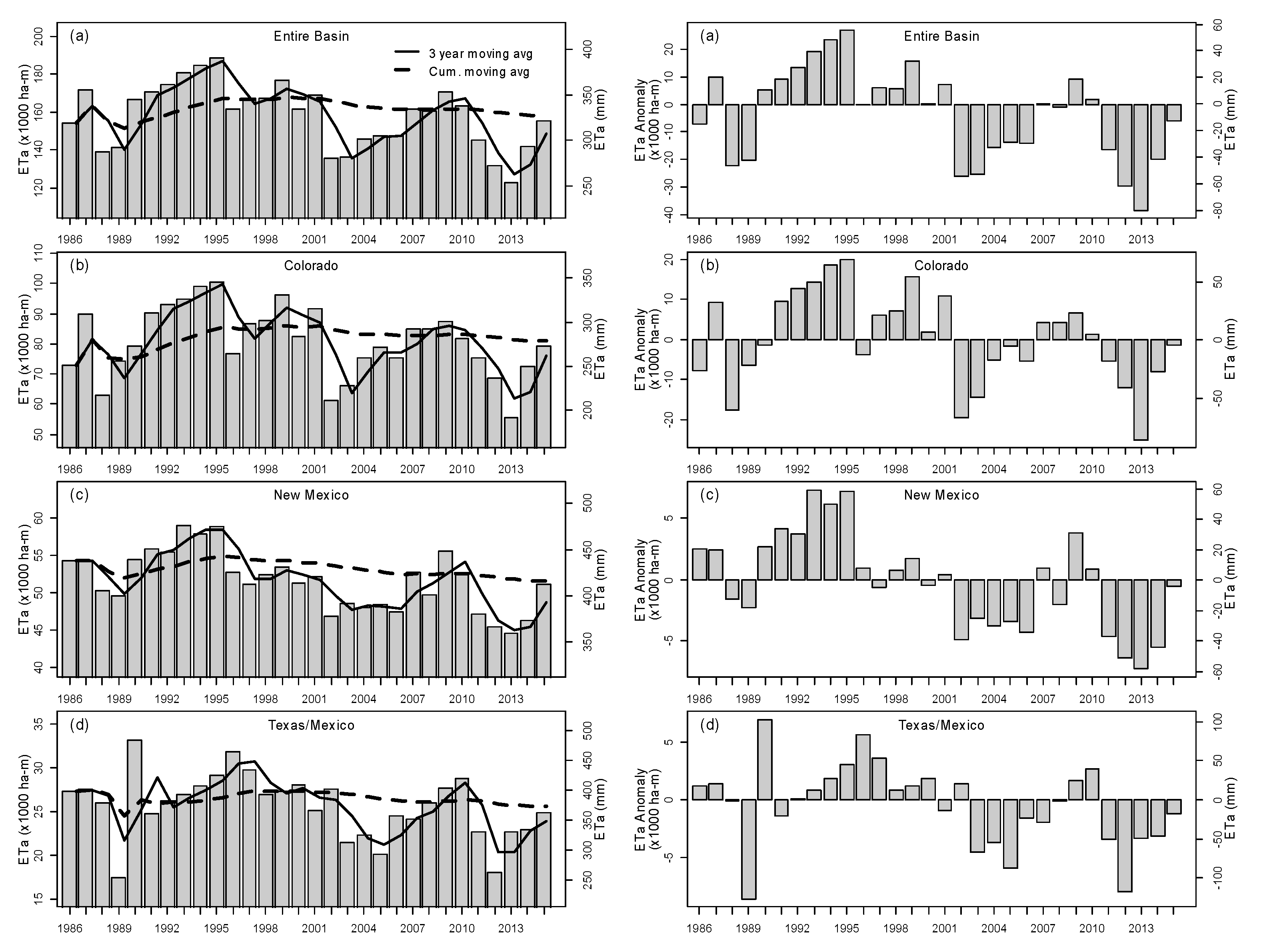
3.3. Characterizing Spatiotemporal Trends in Water Use
3.4. Characterizing Seasonality of Agro-Climatic/Hydrologic Variables within Agricultural Lands
3.5. Mann–Kendall (MK) Trend Analysis
3.5.1. Basin-Scale Mann–Kendall Trend Analysis
3.5.2. Pixel-Scale Mann–Kendall Trend and Rate of Change Analysis
4. Discussion
5. Conclusions
Supplementary Materials
Author Contributions
Funding
Acknowledgments
Conflicts of Interest
References
- Vörösmarty, C.J.; Federer, C.A.; Schloss, A.L. Potential evaporation functions compared on US watersheds: Possible implications for global-scale water balance and terrestrial ecosystem modeling. J. Hydrol. 1998, 207, 147–169. [Google Scholar] [CrossRef]
- Zhou, L.; Zhou, G.S. Measurement and modelling of evapotranspiration over a reed (Phragmites australis) marsh in Northeast China. J. Hydrol. 2009, 372, 41–47. [Google Scholar] [CrossRef]
- Sanford, W.E.; Selnick, D.L. Estimation of Evapotranspiration Across the Conterminous United States Using a Regression With Climate and Land-Cover Data 1. J. Am. Water Resour. Assoc. 2013, 49, 217–230. [Google Scholar] [CrossRef]
- Arnold, J.G.; Srinivasan, R.; Muttiah, R.S.; Williams, J.R. Large area hydrologic modeling and assessment part I: Model development 1. J. Am. Water Resour. Assoc. 1998, 34, 73–89. [Google Scholar] [CrossRef]
- Liang, J.; Guo, Z.; Wei, X. Water use efficiency of different planting pattern of spring maize. Res. Soil Water Conserv. 1996, 3, 131–135. [Google Scholar]
- Senay, G.B. Satellite Psychrometric Formulation of the Operational Simplified Surface Energy Balance (Ssebop) Model for Quantifying and Mapping Evapotranspiration. Appl. Eng. Agric. 2018, 34, 555–566. [Google Scholar] [CrossRef]
- Allen, R.G.; Tasumi, M.; Morse, A.; Trezza, R.; Wright, J.L.; Bastiaanssen, W.; Kramber, W.; Lorite, I.; Robison, C.W. Satellite-based energy balance for mapping evapotranspiration with internalized calibration (METRIC)—Applications. J. Irrig. Drain. Eng. 2007, 133, 395–406. [Google Scholar] [CrossRef]
- Anderson, M.C.; Norman, J.M.; Mecikalski, J.R.; Otkin, J.A.; Kustas, W.P. A climatological study of evapotranspiration and moisture stress across the continental United States based on thermal remote sensing: 2. Surface moisture climatology. J. Geophys. Res. Atmos. 2007, 112, 1–17. [Google Scholar] [CrossRef]
- Bastiaanssen, W.G.M.; Menenti, M.; Feddes, R.A.; Holtslag, A.A.M. A remote sensing surface energy balance algorithm for land (SEBAL)—1. Formulation. J. Hydrol. 1998, 212, 198–212. [Google Scholar] [CrossRef]
- Fisher, J.B.; DeBiase, T.A.; Qi, Y.; Xu, M.; Goldstein, A.H. Evapotranspiration models compared on a Sierra Nevada forest ecosystem. Environ. Model. Softw. 2005, 20, 783–796. [Google Scholar] [CrossRef]
- Kustas, W.P.; Norman, J.M. A two-source energy balance approach using directional radiometric temperature observations for sparse canopy covered surfaces. Agron. J. 2000, 92, 847–854. [Google Scholar] [CrossRef]
- Melton, F.S.; Johnson, L.F.; Lund, C.P.; Pierce, L.L.; Michaelis, A.R.; Hiatt, S.H.; Guzman, A.; Adhikari, D.D.; Purdy, A.J.; Rosevelt, C.; et al. Satellite Irrigation Management Support With the Terrestrial Observation and Prediction System: A Framework for Integration of Satellite and Surface Observations to Support Improvements in Agricultural Water Resource Management. IEEE J. Sel. Top. Appl. Earth Obs. Remote Sens. 2012, 5, 1709–1721. [Google Scholar] [CrossRef]
- Mu, Q.Z.; Zhao, M.S.; Running, S.W. Improvements to a MODIS global terrestrial evapotranspiration algorithm. Remote Sens. Environ. 2011, 115, 1781–1800. [Google Scholar] [CrossRef]
- Nagler, P.L.; Cleverly, J.; Glenn, E.; Lampkin, D.; Huete, A.; Wan, Z.M. Predicting riparian evapotranspiration from MODIS vegetation indices and meteorological data. Remote Sens. Environ. 2005, 94, 17–30. [Google Scholar] [CrossRef]
- Roerink, G.J.; Su, Z.; Menenti, M. S-SEBI: A simple remote sensing algorithm to estimate the surface energy balance. Phys. Chem. Earth Part B 2000, 25, 147–157. [Google Scholar] [CrossRef]
- Senay, G.B.; Bohms, S.; Singh, R.K.; Gowda, P.H.; Velpuri, N.M.; Alemu, H.; Verdin, J.P. Operational Evapotranspiration Mapping Using Remote Sensing and Weather Datasets: A New Parameterization for the SSEB Approach. J. Am. Water Resour. Assoc. 2013, 49, 577–591. [Google Scholar] [CrossRef]
- Senay, G.B.; Budde, M.; Verdin, J.P.; Melesse, A.M. A coupled remote sensing and simplified surface energy balance approach to estimate actual evapotranspiration from irrigated fields. Sensors 2007, 7, 979–1000. [Google Scholar] [CrossRef]
- Su, Z. The Surface Energy Balance System (SEBS) for estimation of turbulent heat fluxes. Hydrol. Earth Syst. Sci. 2002, 6, 85–99. [Google Scholar] [CrossRef]
- Glenn, E.P.; Huete, A.R.; Nagler, P.L.; Hirschboeck, K.K.; Brown, P. Integrating remote sensing and ground methods to estimate evapotranspiration. Crit. Rev. Plant Sci. 2007, 26, 139–168. [Google Scholar] [CrossRef]
- Glenn, E.P.; Nagler, P.L.; Huete, A.R. Vegetation Index Methods for Estimating Evapotranspiration by Remote Sensing. Surv. Geophys. 2010, 31, 531–555. [Google Scholar] [CrossRef]
- Gowda, P.H.; Chavez, J.L.; Colaizzi, P.D.; Evett, S.R.; Howell, T.A.; Tolk, J.A. Remote sensing based energy balance algorithms for mapping ET: Current status and future challenges. Trans. ASABE 2007, 50, 1639–1644. [Google Scholar] [CrossRef]
- Kalma, J.D.; McVicar, T.R.; McCabe, M.F. Estimating Land Surface Evaporation: A Review of Methods Using Remotely Sensed Surface Temperature Data. Surv. Geophys. 2008, 29, 421–469. [Google Scholar] [CrossRef]
- McShane, R.R.; Driscoll, K.P.; Sando, R. A Review of Surface Energy Balance Models for Estimating Actual Evapotranspiration with Remote Sensing at High Spatiotemporal Resolution over Large Extents; US Geological Survey: Reston, VA, USA, 2017. [Google Scholar]
- Mao, J.F.; Fu, W.T.; Shi, X.Y.; Ricciuto, D.M.; Fisher, J.B.; Dickinson, R.E.; Wei, Y.X.; Shem, W.; Piao, S.L.; Wang, K.C.; et al. Disentangling climatic and anthropogenic controls on global terrestrial evapotranspiration trends. Environ. Res. Lett. 2015, 10, 094008. [Google Scholar] [CrossRef]
- Zhang, K.; Kimball, J.S.; Nemani, R.R.; Running, S.W. A continuous satellite-derived global record of land surface evapotranspiration from 1983 to 2006. Water Resour. Res. 2010, 46, 1–21. [Google Scholar] [CrossRef]
- Jin, X.M.; Zhu, X.Q.; Xue, Y. Satellite-based analysis of regional evapotranspiration trends in a semi-arid area. Int. J. Remote Sens. 2019, 40, 3267–3288. [Google Scholar] [CrossRef]
- Irmak, S.; Kabenge, I.; Skaggs, K.E.; Mutiibwa, D. Trend and magnitude of changes in climate variables and reference evapotranspiration over 116-yr period in the Platte River Basin, central Nebraska–USA. J. Hydrol. 2012, 420–421, 228–244. [Google Scholar] [CrossRef]
- Irmak, S.; Sharma, V. Large-Scale and Long-Term Trends and Magnitudes in Irrigated and Rainfed Maize and Soybean Water Productivity: Grain Yield and Evapotranspiration Frequency, Crop Water Use Efficiency, and Production Functions. Trans. ASABE 2015, 58, 103–120. [Google Scholar] [CrossRef]
- Sharma, V.; Irmak, S.; Djaman, K.; Sharma, V. Large-Scale Spatial and Temporal Variability in Evapotranspiration, Crop Water-Use Efficiency, and Evapotranspiration Water-Use Efficiency of Irrigated and Rainfed Maize and Soybean. J. Irrig. Drain. Eng. 2016, 142, 04015063. [Google Scholar] [CrossRef]
- Szilagyi, J.; Jozsa, J. Evapotranspiration Trends (1979–2015) in the Central Valley of California, USA: Contrasting Tendencies During 1981–2007. Water Resour. Res. 2018, 54, 5620–5635. [Google Scholar] [CrossRef]
- Samani, Z.; Skaggs, R.; Longworth, J. Alfalfa Water Use and Crop Coefficients across the Watershed: From Theory to Practice. J. Irrig. Drain. Eng. 2013, 139, 341–348. [Google Scholar] [CrossRef]
- Mexicano, L.; Glenn, E.P.; Hinojosa-Huerta, O.; Garcia-Hernandez, J.; Flessa, K.; Hinojosa-Corona, A. Long-term sustainability of the hydrology and vegetation of Cienega de Santa Clara, an anthropogenic wetland created by disposal of agricultural drain water in the delta of the Colorado River, Mexico. Ecol. Eng. 2013, 59, 111–120. [Google Scholar] [CrossRef]
- Singh, R.; Senay, G.; Velpuri, N.; Bohms, S.; Scott, R.; Verdin, J. Actual Evapotranspiration (Water Use) Assessment of the Colorado River Basin at the Landsat Resolution Using the Operational Simplified Surface Energy Balance Model. Remote Sens. 2013, 6, 233–256. [Google Scholar] [CrossRef]
- Senay, G.B.; Friedrichs, M.; Singh, R.K.; Velpuri, N.M. Evaluating Landsat 8 evapotranspiration for water use mapping in the Colorado River Basin. Remote Sens. Environ. 2016, 185, 171–185. [Google Scholar] [CrossRef]
- Senay, G.B.; Schauer, M.; Friedrichs, M.; Velpuri, N.M.; Singh, R.K. Satellite-based water use dynamics using historical Landsat data (1984–2014) in the southwestern United States. Remote Sens. Environ. 2017, 202, 98–112. [Google Scholar] [CrossRef]
- Bawazir, A.S.; Luthy, R.; King, J.P.; Tanzy, B.F.; Solis, J. Assessment of the crop coefficient for saltgrass under native riparian field conditions in the desert southwest. Hydrol. Process. 2014, 28, 6163–6171. [Google Scholar] [CrossRef]
- Nagler, P.L.; Scott, R.L.; Westenburg, C.; Cleverly, J.R.; Glenn, E.P.; Huete, A.R. Evapotranspiration on western US rivers estimated using the Enhanced Vegetation Index from MODIS and data from eddy covariance and Bowen ratio flux towers. Remote Sens. Environ. 2005, 97, 337–351. [Google Scholar] [CrossRef]
- Samani, Z.; Bawazir, A.S.; Bleiweiss, M.; Skaggs, R.; Longworth, J.; Tran, V.D.; Pinon, A. Using remote sensing to evaluate the spatial variability of evapotranspiration and crop coefficient in the lower Rio Grande Valley, New Mexico. Irrig. Sci. 2009, 28, 93–100. [Google Scholar] [CrossRef]
- Samani, Z.; Bawazir, S.; Skaggs, R.; Longworth, J.; Pinon, A.; Tran, V. A simple irrigation scheduling approach for pecans. Agric. Water Manag. 2011, 98, 661–664. [Google Scholar] [CrossRef]
- Booker, J.F.; Michelsen, A.M.; Ward, F.A. Economic impact of alternative policy responses to prolonged and severe drought in the Rio Grande Basin. Water Resour. Res. 2005, 41, W02026. [Google Scholar] [CrossRef]
- Mix, K.; Lopes, V.L.; Rast, W. Annual and Growing Season Temperature Changes in the San Luis Valley, Colorado. Water Air Soil Pollut. 2011, 220, 189–203. [Google Scholar] [CrossRef]
- Dubinsky, J.; Karunanithi, A.T. Consumptive Water Use Analysis of Upper Rio Grande Basin in Southern Colorado. Environ. Sci. Technol. 2017, 51, 4452–4460. [Google Scholar] [CrossRef] [PubMed]
- Groeneveld, D.P.; Baugh, W.M.; Sanderson, J.S.; Cooper, D.J. Annual groundwater evapotranspiration mapped from single satellite scenes. J. Hydrol. 2007, 344, 146–156. [Google Scholar] [CrossRef]
- Gensler, D.; Oad, R.; Kinzli, K.D. Irrigation System Modernization: Case Study of the Middle Rio Grande Valley. J. Irrig. Drain. Eng. 2009, 135, 169–176. [Google Scholar] [CrossRef]
- Ahadi, R.; Samani, Z.; Skaggs, R. Evaluating on-farm irrigation efficiency across the watershed: A case study of New Mexico’s Lower Rio Grande Basin. Agric. Water Manag. 2013, 124, 52–57. [Google Scholar] [CrossRef]
- Skaggs, R.; Samani, Z.; Bawazir, A.S.; Bleiweiss, M. Yield Respone to Water in Irrigated New Mexico Pecan Production: Measurements and Policy Implications. In Proceedings of the Urbanization of Irrigated Land and Water Transfers: A USCID Water Management Conference, Scottsdale, AZ, USA, 28–31 May 2008. [Google Scholar]
- USDA-NASS. U.S. Census of Agriculture; National Agricultural Statistics Service: Washington, DC, USA, 2012. [Google Scholar]
- Abatzoglou, J.T. Development of gridded surface meteorological data for ecological applications and modelling. Int. J. Climatol. 2013, 33, 121–131. [Google Scholar] [CrossRef]
- Oyler, J.W.; Ballantyne, A.; Jencso, K.; Sweet, M.; Running, S.W. Creating a topoclimatic daily air temperature dataset for the conterminous United States using homogenized station data and remotely sensed land skin temperature. Int. J. Climatol. 2015, 35, 2258–2279. [Google Scholar] [CrossRef]
- Zhu, Z.; Wang, S.; Woodcock, C.E. Improvement and expansion of the Fmask algorithm: Cloud, cloud shadow, and snow detection for Landsats 4–7, 8, and Sentinel 2 images. Remote Sens. Environ. 2015, 159, 269–277. [Google Scholar] [CrossRef]
- Danielson, J.; Gesch, D. Global Multi-Resolution Terrain Elevation Data 2010 (GMTED2010); Open-File Report 2011-1073; U.S. Geological Survey: Washington, DC, USA, 2011; p. 26.
- USDA-NASS. USDA National Agricultural Statistics Service Cropland Data Layer. Available online: https://nassgeodata.gmu.edu/CropScape (accessed on 31 May 2019).
- Fry, J.; Xian, G.Z.; Jin, S.; Dewitz, J.; Homer, C.G.; Yang, L.; Barnes, C.A.; Herold, N.D.; Wickham, J.D. Completion of the 2006 national land cover database for the conterminous United States. Photogramm. Eng. Remote Sens. 2011, 77, 858–864. [Google Scholar]
- Homer, C.; Dewitz, J.; Yang, L.; Jin, S.; Danielson, P.; Xian, G.; Coulston, J.; Herold, N.; Wickham, J.; Megown, K.; et al. Completion of the 2011 National Land Cover Database for the conterminous United States–representing a decade of land cover change information. Photogramm. Eng. Remote Sens. 2015, 81, 345–354. [Google Scholar]
- Homer, C.; Huang, C.Q.; Yang, L.M.; Wylie, B.; Coan, M. Development of a 2001 National Land-Cover Database for the United States. Photogramm. Eng. Remote Sens. 2004, 70, 829–840. [Google Scholar] [CrossRef]
- Anderson-Teixeira, K.J.; Delong, J.P.; Fox, A.M.; Brese, D.A.; Litvak, M.E. Differential responses of production and respiration to temperature and moisture drive the carbon balance across a climatic gradient in New Mexico. Glob. Chang. Biol. 2011, 17, 410–424. [Google Scholar] [CrossRef]
- Senay, G. Modeling Landscape Evapotranspiration by Integrating Land Surface Phenology and a Water Balance Algorithm. Algorithms 2008, 1, 52–68. [Google Scholar] [CrossRef]
- Jung, M.; Reichstein, M.; Ciais, P.; Seneviratne, S.I.; Sheffield, J.; Goulden, M.L.; Bonan, G.; Cescatti, A.; Chen, J.; de Jeu, R.; et al. Recent decline in the global land evapotranspiration trend due to limited moisture supply. Nature 2010, 467, 951–954. [Google Scholar] [CrossRef] [PubMed]
- Senay, G.B.; Velpuri, N.M.; Bohms, S.; Demissie, Y.; Gebremichael, M. Understanding the hydrologic sources and sinks in the Nile Basin using multisource climate and remote sensing datasets. Water Resour. Res. 2014, 50, 8625–8650. [Google Scholar] [CrossRef]
- Velpuri, N.M.; Senay, G.B.; Singh, R.K.; Bohms, S.; Verdin, J.P. A comprehensive evaluation of two MODIS evapotranspiration products over the conterminous United States: Using point and gridded FLUXNET and water balance ET. Remote Sens. Environ. 2013, 139, 35–49. [Google Scholar] [CrossRef]
- Douglas, E.M.; Vogel, R.M.; Kroll, C.N. Trends in floods and low flows in the United States: Impact of spatial correlation. J. Hydrol. 2000, 240, 90–105. [Google Scholar] [CrossRef]
- Hirsch, R.M.; Slack, J.R. A Nonparametric Trend Test for Seasonal Data With Serial Dependence. Water Resour. Res. 1984, 20, 727–732. [Google Scholar] [CrossRef]
- Lettenmaier, D.P.; Wood, E.F.; Wallis, J.R. Hydro-Climatological Trends in the Continental United-States, 1948–1988. J. Clim. 1994, 7, 586–607. [Google Scholar] [CrossRef]
- Wilcox, R.R. Fundamentals of Modern Statistical Methods: Substantially Improving Power and Accuracy; Springer: New York, NY, USA, 2010. [Google Scholar]
- Yue, S.; Pilon, P.; Cavadias, G. Power of the Mann–Kendall and Spearman’s rho tests for detecting monotonic trends in hydrological series. J. Hydrol. 2002, 259, 254–271. [Google Scholar] [CrossRef]
- Senay, G.B.; Budde, M.E.; Verdin, J.P. Enhancing the Simplified Surface Energy Balance (SSEB) approach for estimating landscape ET: Validation with the METRIC model. Agric. Water Manag. 2011, 98, 606–618. [Google Scholar] [CrossRef]
- Roy, D.P.; Kovalskyy, V.; Zhang, H.K.; Vermote, E.F.; Yan, L.; Kumar, S.S.; Egorov, A. Characterization of Landsat-7 to Landsat-8 reflective wavelength and normalized difference vegetation index continuity. Remote Sens. Environ. 2016, 185, 57–70. [Google Scholar] [CrossRef]
- Ke, Y.H.; Im, J.; Lee, J.; Gong, H.L.; Ryu, Y. Characteristics of Landsat 8 OLI-derived NDVI by comparison with multiple satellite sensors and in-situ observations. Remote Sens. Environ. 2015, 164, 298–313. [Google Scholar] [CrossRef]











| Parameter | Constraint Limits | Outcome |
|---|---|---|
| c factor | NDVI > 0.7 Ts > 270 K 0 <= (Ta − Ts) <= 10 K Mean of (Ts/Ta) − 2 STD | c factor based on coldest and greenest vegetation (5th percentile) for Tc. |
| Median Ta | Median of daily Ta (1984–2015) | Climatological Ta for Tc determination |
| Tdiff Mask | (Ta − Ts) > 15 K removed | Minimize cloud contaminated pixels |
| Environmental Lapse Rate (ELR) Adjustment | (Ta_adj.) = Ta − 0.003 × (DEM − 1500) for DEM > 1500 m | Ta reduced by 0.003 K/m above 1500 m, adjusting ELR differences between Ts and Ta |
| Ameriflux | Site Name | Elev (m) | Flux Tower ETa (mm) | SSEBop ETa (mm) | Range (mm) | r (-) | RMSE (mm) | Normalized RMSE (%) | Bias (%) |
|---|---|---|---|---|---|---|---|---|---|
| US-Seg | Sevilleta grassland | 1596 | 27.6 | 28.1 | 89.7 | 0.91 | 10.7 | 11.9 | 1.7 |
| US-Ses | Sevilleta shrubland | 1604 | 27.1 | 26.9 | 146.7 | 0.96 | 7.4 | 5.0 | −0.7 |
| US-Wjs | Juniper savannah | 1931 | 26.4 | 27.2 | 121.9 | 0.98 | 5.9 | 4.8 | 3.1 |
| US-Mpj | Pinyon-Juniper | 2196 | 30.1 | 29.9 | 122.0 | 0.95 | 8.8 | 7.2 | −0.9 |
| US-Vcp | Ponderosa Pine | 2500 | 48.8 | 55.5 | 136.2 | 0.90 | 19.1 | 14.0 | 13.7 |
| US-Vcm | Mixed Conifer | 3030 | 40.3 | 36.0 | 108.6 | 0.83 | 18.3 | 16.9 | −10.6 |
| Region | Crop Area 1 (ha) | Water Use Volume 2 (ha-m) | Percent of Basin (Area/Volume) (%) | 2002–2006 Drought Reduction ha-m/ [%] | 2011–2015 Drought Reduction ha-m/ [%] |
|---|---|---|---|---|---|
| URGB | 484,493 | 158,365 | 100/100 | −15,649 [−10] | −18,732 [−12] |
| Colorado | 291,469 | 81,020 | 60/51 | −9458 [−12] | −10,644 [−13] |
| New Mexico | 124,395 | 51,741 | 26/33 | −3730 [−7] | −4706 [−9] |
| Texas/Mexico | 68,623 | 25,651 | 14/16 | −2460 [−10] | −3383 [−13] |
| Climate Parameters | Management Parameters | |||||||
|---|---|---|---|---|---|---|---|---|
| Basin/State | ETo (mm) | Ta (K) | PPT (mm) | ETa (mm) | LST (K) | NDVI (-) | Q (mm) | |
| Entire Basin | p | 0.153 | 0.000 | 0.087 | 0.030 | 0.001 | 0.775 | 0.225 |
| Slope 1 | 7.0 | 0.6 | −9.5 | −13.9 | 1.8 | 0.00 | −1.3 | |
| Trend 2 | (#) | (+) ** | (–) * | (–) ** | (+) ** | (#) | (#) | |
| Colorado | p | 0.695 | 0.001 | 0.064 | 0.125 | 0.001 | 0.943 | 0.412 |
| Slope 1 | 2.6 | 0.7 | −12.1 | −13.9 | 1.7 | 0.00 | −1.3 | |
| Trend 2 | (#) | (+) ** | (–) * | (#) | (+) ** | (#) | (#) | |
| New Mexico | p | 0.050 | 0.001 | 0.269 | 0.001 | 0.000 | 0.568 | 0.035 |
| Slope 1 | 14.1 | 0.6 | −9.8 | −23.4 | 1.8 | 0.00 | −1.6 | |
| Trend 2 | (+) ** | (+) ** | (#) | (–) ** | (+) ** | (#) | (–) ** | |
| Texas | p | 0.017 | 0.001 | 0.775 | 0.035 | 0.000 | 0.009 | 0.019 |
| Slope 1 | 18.1 | 0.5 | −3.9 | −33.4 | 3.1 | −0.03 | −0.4 | |
| Trend 2 | (+) ** | (+) ** | (#) | (–) ** | (+) ** | (–) ** | (–) ** | |
| Mexico | p | 0.035 | 0.001 | 0.643 | 0.544 | 0.029 | 0.830 | 0.038 |
| Slope 1 | 16.9 | 0.5 | −5.1 | −10.5 | 1.7 | 0.00 | −0.3 | |
| Trend 2 | (+) ** | (+) ** | (#) | (#) | (+) ** | (#) | (–) ** | |
| Basin/State | SSEBop ETa (1986–2011) | MPI ETa (1986–2011) | |
|---|---|---|---|
| Entire Basin | p | 0.001 | 0.008 |
| Slope 1 | −27.0 | −11.0 | |
| Trend 2 | (–) ** | (–) ** | |
| Colorado | p | 0.103 | 0.004 |
| Slope 1 | −9.0 | −5.7 | |
| Trend 2 | () | (–) ** | |
| New Mexico | p | 0.001 | 0.025 |
| Slope 1 | −33.0 | −12.0 | |
| Trend 2 | (–) ** | (–) ** | |
| Texas | p | 0.015 | 0.047 |
| Slope 1 | −30.0 | −15.0 | |
| Trend 2 | (–) ** | (–) ** | |
| Mexico | p | 0.022 | 0.058 |
| Slope 1 | −31.0 | −13.0 | |
| Trend 2 | (–) ** | (–) * |
© 2019 by the authors. Licensee MDPI, Basel, Switzerland. This article is an open access article distributed under the terms and conditions of the Creative Commons Attribution (CC BY) license (http://creativecommons.org/licenses/by/4.0/).
Share and Cite
Senay, G.B.; Schauer, M.; Velpuri, N.M.; Singh, R.K.; Kagone, S.; Friedrichs, M.; Litvak, M.E.; Douglas-Mankin, K.R. Long-Term (1986–2015) Crop Water Use Characterization over the Upper Rio Grande Basin of United States and Mexico Using Landsat-Based Evapotranspiration. Remote Sens. 2019, 11, 1587. https://doi.org/10.3390/rs11131587
Senay GB, Schauer M, Velpuri NM, Singh RK, Kagone S, Friedrichs M, Litvak ME, Douglas-Mankin KR. Long-Term (1986–2015) Crop Water Use Characterization over the Upper Rio Grande Basin of United States and Mexico Using Landsat-Based Evapotranspiration. Remote Sensing. 2019; 11(13):1587. https://doi.org/10.3390/rs11131587
Chicago/Turabian StyleSenay, Gabriel B., Matthew Schauer, Naga M. Velpuri, Ramesh K. Singh, Stefanie Kagone, MacKenzie Friedrichs, Marcy E. Litvak, and Kyle R. Douglas-Mankin. 2019. "Long-Term (1986–2015) Crop Water Use Characterization over the Upper Rio Grande Basin of United States and Mexico Using Landsat-Based Evapotranspiration" Remote Sensing 11, no. 13: 1587. https://doi.org/10.3390/rs11131587
APA StyleSenay, G. B., Schauer, M., Velpuri, N. M., Singh, R. K., Kagone, S., Friedrichs, M., Litvak, M. E., & Douglas-Mankin, K. R. (2019). Long-Term (1986–2015) Crop Water Use Characterization over the Upper Rio Grande Basin of United States and Mexico Using Landsat-Based Evapotranspiration. Remote Sensing, 11(13), 1587. https://doi.org/10.3390/rs11131587

