Explorative Study on Mapping Surface Facies of Selected Glaciers from Chandra Basin, Himalaya Using WorldView-2 Data
Abstract
1. Introduction
1.1. Glacier Facies via Remote Sensing
1.2. Goals of This Study
2. Study Area and Data
3. Methodology
3.1. Preprocessing
3.2. The Identification of Glacier Surface Facies
3.2.1. Visual Identification of Surface Facies
3.2.2. Spectral Characteristics of Surface Facies
3.3. Object-Based Image Analysis
3.3.1. Multiresolution Segmentation
3.3.2. Customized Spectral Index Ratios and Thresholding
3.4. Pixel-Based Classification
3.4.1. Selection of Training Data
3.4.2. Application of Supervised Classifiers
3.5. Measures of Accuracy
4. Results
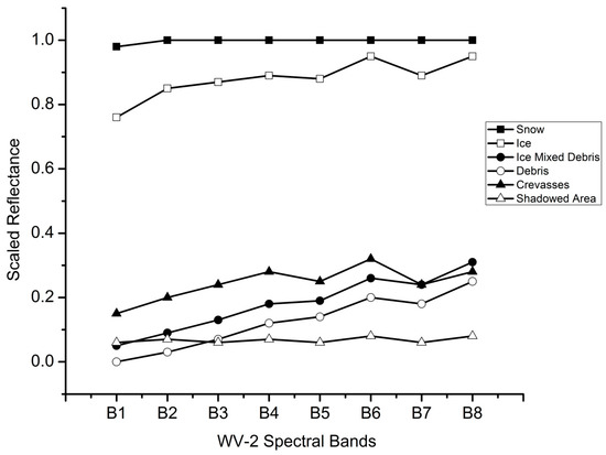
4.1. Examining the Spectra
4.2. Evaluating the Mapped Surface Facies
4.2.1. Snow and Ice
4.2.2. Ice-Mixed Debris and Debris
4.2.3. Crevasses
4.2.4. Shadowed Area
4.3. Overall Accuracy and Kappa Statistic
5. Discussion
5.1. Errors before Accuracies
5.2. Comparative Analysis
5.3. Significances
5.4. Limitations
6. Conclusions
Supplementary Materials
Author Contributions
Funding
Acknowledgments
Conflicts of Interest
References
- Benson, C. Stratigraphic Studies in the Snow and Firn of the Greenland Ice Sheet, No. RR70; Cold Regions Research and Engineering Lab: Hanover NH, USA, 1962; Available online: http://acwc.sdp.sirsi.net/client/en_US/search/asset/1001392;jsessionid=351D596A6CE87F45BAEB04E7B9ECE897.enterprise-15000 (accessed on 17 January 2018).
- Paterson, W.S.B. The Physics of Glaciers, 3rd ed.; Pergamon: Oxford, UK, 1994. [Google Scholar]
- Ali, I.; Shukla, A.; Romshoo, S. Assessing linkages between spatial facies changes and dimensional variations of glaciers in the upper Indus Basin, western Himalaya. Geomorphology 2017, 284, 115–129. [Google Scholar] [CrossRef]
- Pope, A.; Rees, G. Using in situ spectra to explore Landsat classification of glacier surfaces. Int. J. Appl. Earth Obs. Geoinf. 2014, 27, 42–52. [Google Scholar] [CrossRef]
- Bamber, J.L.; Payne, A.J.; Houghton, J. Introduction and background. In Mass Balance of the Cryosphere: Observations and Modelling of Contemporary and Future Changes; Bamber, J.L., Payne, A.J., Eds.; Cambridge University Press: Cambridge, UK, 2004; pp. 1–8. [Google Scholar]
- Jiang, X.; Wang, N.; He, J.; Wu, X.; Song, G. A distributed surface energy and mass balance model and its application to a mountain glacier in China. Chin. Sci. Bull. 2010, 55, 2079–2087. [Google Scholar] [CrossRef]
- Paul, F.; Machguth, H.; Hoelzle, M.; Salzmann, N.; Haeberli, W. Alpinewide Distributed Glacier Mass Balance Modeling. In Darkening Peaks: Glacier Retreat, Science, and Society; Orlove, B., Wiegandt, E., Luckman, B., Eds.; University of California Press: Berkeley, CA, USA, 2008. [Google Scholar]
- Machguth, H.; Paul, F.; Hoelzle, M.; Haeberli, W. Distributed glacier mass-balance modelling as an important component of modern multi-level glacier monitoring. Ann. Glaciol. 2006, 43, 335–343. [Google Scholar] [CrossRef]
- Schuler, T.; Hock, R.; Jackson, M.; Elvehøy, H.; Braun, M.; Brown, I.; Hagen, J. Distributed mass-balance and climate sensitivity modelling of Engabreen, Norway. Ann. Glaciol. 2005, 42, 395–401. [Google Scholar] [CrossRef][Green Version]
- Braun, M.; Hock, R. Spatially distributed surface energy balance and ablation modelling on the ice cap of King George Island (Antarctica). Glob. Planet. Chang. 2004, 42, 45–58. [Google Scholar] [CrossRef]
- Mölg, T.; Hardy, D. Ablation and associated energy balance of a horizontal glacier surface on Kilimanjaro. J. Geophys. Res. 2004, 109, D16104. [Google Scholar] [CrossRef]
- (Lisette) Klok, E.; Oerlemans, J. Model study of the spatial distribution of the energy and mass balance of Morteratschgletscher, Switzerland. J. Glaciol. 2002, 48, 505–518. [Google Scholar] [CrossRef]
- Blard, P.; Wagnon, P.; Lavé, J.; Soruco, A.; Sicart, J.; Francou, B. Degree-day melt models for paleoclimate reconstruction from tropical glaciers: Calibration from mass balance and meteorological data of the Zongo glacier (Bolivia, 16° S). Clim. Past Discuss. 2011, 7, 2119–2158. [Google Scholar] [CrossRef]
- Huintjes, E.; Li, H.; Sauter, T.; Li, Z.; Schneider, C. Degree-day modelling of the surface mass balance of Urumqi Glacier No. 1, Tian Shan, China. Cryosphere Discuss. 2010, 4, 207–232. [Google Scholar] [CrossRef]
- Jóhannesson, T.; Sigurdsson, O.; Laumann, T.; Kennett, M. Degree-day glacier mass-balance modelling with applications to glaciers in Iceland, Norway and Greenland. J. Glaciol. 1995, 41, 345–358. [Google Scholar] [CrossRef][Green Version]
- Braithwaite, R. Positive degree-day factors for ablation on the Greenland ice sheet studied by energy-balance modelling. J. Glaciol. 1995, 41, 153–160. [Google Scholar] [CrossRef]
- Braun, M.; Schuler, T.V.; Hock, R.; Brown, I.; Jackson, M. Comparison of remote sensing derived glacier facies maps with distributed mass balance modelling at Engabreen, northern Norway. IAHS Publ. Ser. Proc. Rep. 2007, 318, 126–134. [Google Scholar]
- Paul, F.; Winsvold, S.; Kääb, A.; Nagler, T.; Schwaizer, G. Glacier Remote Sensing Using Sentinel-2. Part II: Mapping Glacier Extents and Surface Facies, and Comparison to Landsat 8. Remote Sens. 2016, 8, 575. [Google Scholar] [CrossRef]
- Winsvold, S.; Kaab, A.; Nuth, C. Regional Glacier Mapping Using Optical Satellite Data Time Series. IEEE J. Sel. Top. Appl. Earth Obs. Remote Sens. 2016, 9, 3698–3711. [Google Scholar] [CrossRef]
- Nolin, A.; Payne, M. Classification of glacier zones in western Greenland using albedo and surface roughness from the Multi-angle Imaging SpectroRadiometer (MISR). Remote Sens. Environ. 2007, 107, 264–275. [Google Scholar] [CrossRef]
- Heiskanen, J.; Kajuutti, K.; Jackson, M.; Elvehøy, H.; Pellikka, P. Assessment of glaciological parameters using landsat sat-ellite data in svartisen, northern norway. In Proceedings of the EARSeL-LISSIG-Workshop Observing our Cryosphere from Space, Bern, Switzerland, 11–13 March 2002; Volume 35. [Google Scholar]
- Williams, R.; Hall, D.; Benson, C. Analysis of glacier facies using satellite techniques. J. Glaciol. 1991, 37, 120–128. [Google Scholar] [CrossRef]
- Hall, D.; Chang, A.; Siddalingaiah, H. Reflectances of glaciers as calculated using Landsat-5 Thematic Mapper data. Remote Sens. Environ. 1988, 25, 311–321. [Google Scholar] [CrossRef]
- Hall, D.; Ormsby, J.; Bindschadler, R.; Siddalingaiah, H. Characterization of Snow and Ice Reflectance Zones on Glaciers Using Landsat Thematic Mapper Data. Ann. Glaciol. 1987, 9, 104–108. [Google Scholar] [CrossRef]
- Huang, L.; Li, Z.; Tian, B.; Chen, Q.; Liu, J.; Zhang, R. Classification and snow line detection for glacial areas using the polarimetric SAR image. Remote Sens. Environ. 2011, 115, 1721–1732. [Google Scholar] [CrossRef]
- Arigony-Neto, J.; Saurer, H.; Simões, J.; Rau, F.; Jaña, R.; Vogt, S.; Gossmann, H. Spatial and temporal changes in dry-snow line altitude on the Antarctic Peninsula. Clim. Chang. 2009, 94, 19–33. [Google Scholar]
- Brown, I.A. Radar facies on the West Greenland ice sheet: Comparison with AVHRR albedo data. In Geoinformation for European-Wide Integration, Proceedings of the 22nd Symposium of the European Association of Remote Sensing Laboratories, Prague, Czech Republic, 4–6 June 2002; Benes, T., Ed.; Millpress: Rotterdam, The Netherlands.
- Engeset, R.; Kohler, J.; Melvold, K.; Lundén, B. Change detection and monitoring of glacier mass balance and facies using ERS SAR winter images over Svalbard. Int. J. Remote Sens. 2002, 23, 2023–2050. [Google Scholar] [CrossRef]
- Braun, M.; Rau, F. Using a multi-year data archive of ERS SAR imagery for the monitoring of firn line positions and ablation patterns on the King George Island ice cap (Antarctica). In Proceedings of the SIG-Workshop Land Ice and Snow, Dresden, Germany, 16–17 June 2000; Volume 1, pp. 281–291. [Google Scholar]
- Braun, M.; Rau, F.; Saurer, H.; Gobmann, H. Development of radar glacier zones on the King George Island ice cap, Antarctica, during austral summer 1996/97 as observed in ERS-2 SAR data. Ann. Glaciol. 2000, 31, 357–363. [Google Scholar] [CrossRef]
- Partington, K. Discrimination of glacier facies using multi-temporal SAR data. J. Glaciol. 1998, 44, 42–53. [Google Scholar] [CrossRef]
- Sidjak, R.W. Glacier mapping of the Illecillewaet icefield, British Columbia, Canada, using Landsat TM and digital elevation data. Int. J. Remote Sens. 1999, 20, 273–284. [Google Scholar] [CrossRef]
- Keshri, A.; Shukla, A.; Gupta, R. ASTER ratio indices for supraglacial terrain mapping. Int. J. Remote Sens. 2009, 30, 519–524. [Google Scholar] [CrossRef]
- Shukla, A.; Arora, M.; Gupta, R. Synergistic approach for mapping debris-covered glaciers using optical–thermal remote sensing data with inputs from geomorphometric parameters. Remote Sens. Environ. 2010, 114, 1378–1387. [Google Scholar] [CrossRef]
- Racoviteanu, A.; Williams, M. Decision Tree and Texture Analysis for Mapping Debris-Covered Glaciers in the Kangchenjunga Area, Eastern Himalaya. Remote Sens. 2012, 4, 3078–3109. [Google Scholar] [CrossRef]
- Bhardwaj, A.; Joshi, P.; Snehmani; Singh, M.; Sam, L.; Gupta, R. Mapping debris-covered glaciers and identifying factors affecting the accuracy. Cold Reg. Sci. Technol. 2014, 106–107, 161–174. [Google Scholar] [CrossRef]
- Pope, A.; Rees, W. Impact of spatial, spectral, and radiometric properties of multispectral imagers on glacier surface classification. Remote Sens. Environ. 2014, 141, 1–13. [Google Scholar] [CrossRef]
- Kundu, S.; Chakraborty, M. Delineation of glacial zones of Gangotri and other glaciers of Central Himalaya using RISAT-1 C-band dual-pol SAR. Int. J. Remote Sens. 2015, 36, 1529–1550. [Google Scholar] [CrossRef]
- Robson, B.; Nuth, C.; Dahl, S.; Hölbling, D.; Strozzi, T.; Nielsen, P. Automated classification of debris-covered glaciers combining optical, SAR and topographic data in an object-based environment. Remote Sens. Environ. 2015, 170, 372–387. [Google Scholar] [CrossRef]
- Gore, A.; Mani, S.; Shekhar, C.; Ganju, A. Glacier surface characteristics derivation and monitoring using Hyperspectral datasets: A case study of Gepang Gath glacier, Western Himalaya. Geocarto Int. 2017, 34, 23–42. [Google Scholar] [CrossRef]
- Lillesand, T.; Kiefer, R.W.; Chipman, J. Remote Sensing and Image Interpretation; John Wiley & Sons: Hoboken, NJ, USA, 2014. [Google Scholar]
- Richards, J.A. Remote Sensing Digital Image Analysis; Springer: Berlin/Heidelberg, Germany, 2013. [Google Scholar]
- Fisher, P. The pixel: A snare and a delusion. Int. J. Remote Sens. 1997, 18, 679–685. [Google Scholar] [CrossRef]
- Wei, W.; Chen, X.; Ma, A. Object-oriented information extraction and application in high-resolution remote sensing image. In Proceedings of the IEEE Geoscience and Remote Sensing Symposium, Seoul, Korea, 29 July 2005; Volume 6, pp. 3803–3806. [Google Scholar]
- Jensen, J.R.; Lulla, K. Introductory digital image processing: A remote sensing perspective. Geocarto Int. 1987, 2, 65. [Google Scholar] [CrossRef]
- Price, J. How unique are spectral signatures? Remote Sens. Environ. 1994, 49, 181–186. [Google Scholar] [CrossRef]
- Blaschke, T. Object based image analysis for remote sensing. ISPRS J. Photogramm. Remote Sens. 2010, 65, 2–16. [Google Scholar] [CrossRef]
- Li, M.; Zang, S.; Zhang, B.; Li, S.; Wu, C. A Review of Remote Sensing Image Classification Techniques: The Role of Spatio-contextual Information. Eur. J. Remote Sens. 2014, 47, 389–411. [Google Scholar] [CrossRef]
- Arbiol, R.; Zhang, Y.; i Comellas, V.P. Advanced classification techniques: A review. Rev. Catalana Geogr. 2007, 12, 31. Available online: https://www.raco.cat/index.php/RCG/article/view/79653/103912 (accessed on 29 January 2018).
- Liu, D.; Xia, F. Assessing object-based classification: Advantages and limitations. Remote Sens. Lett. 2010, 1, 187–194. [Google Scholar] [CrossRef]
- Weih, R.C.; Riggan, N.D. Object-based classification vs. pixel-based classification: Comparative importance of multi-resolution imagery. Int. Arch. Photogram. Remote Sens. Spat. Inf. Sci. 2010, 38, C7. [Google Scholar]
- Gao, Y.; Mas, J.F. A comparison of the performance of pixel-based and object-based classifications over images with various spatial resolutions. Online J. Earth Sci. 2008, 2, 27–35. [Google Scholar]
- Jawak, S.; Wankhede, S.; Luis, A. Exploration of Glacier Surface Facies Mapping Techniques Using Very High Resolution Worldview-2 Satellite Data. Proceedings 2018, 2, 339. [Google Scholar] [CrossRef]
- Jawak, S.; Wankhede, S.; Luis, A. Comparison of pixel and object-based classification techniques for glacier facies extraction. ISPRS Int. Arch. Photogram. Remote Sens. Spat. Inf. Sci. 2018, XLII-5, 543–548. [Google Scholar] [CrossRef]
- Jawak, S.D.; Wankhede, S.F.; Luis, A.J. Prospective of high resolution worldview-2 satellite data for geospatial surface facies mapping of an alpine glacier. In Proceedings of the Asian Conference on Remote Sensing 2017, New Delhi, India, 23–27 October 2017; Available online: https://a-a-r-s.org/proceeding/ACRS2017/ID_5_749/177.pdf (accessed on 2 February 2018).
- Rastner, P.; Bolch, T.; Notarnicola, C.; Paul, F. A Comparison of Pixel- and Object-Based Glacier Classification with Optical Satellite Images. IEEE J. Sel. Top. Appl. Earth Obs. Remote Sens. 2014, 7, 853–862. [Google Scholar] [CrossRef]
- Paul, F.; Hendricks, J. Optical remote sensing of glacier extent. In Remote Sensing of Glaciers: Techniques for Topographic, Spatial and Thematic Mapping of Glaciers; Taylor & Francis Group: Boca Raton, Fl, USA, 2010; pp. 137–152. [Google Scholar]
- Shaw, G.A.; Burke, H.K. Spectral imaging for remote sensing. Linc. Lab. J. 2003, 14, 3–28. [Google Scholar]
- Du, Y.; Teillet, P.; Cihlar, J. Radiometric normalization of multitemporal high-resolution satellite images with quality control for land cover change detection. Remote Sens. Environ. 2002, 82, 123–134. [Google Scholar] [CrossRef]
- Jawak, S.D.; Luis, A.J. Geospatial mapping of Antarctic coastal oasis using geographic object-based image analysis and high resolution satellite imagery. In Multispectral, Hyperspectral, and Ultraspectral Remote Sensing Technology, Techniques and Applications VI, Proceedings of International Society for Optics and Photonics 2016; SPIE: Asia-Pacific Remote Sensing, New Delhi, India, 2016; Volume 9880, p. 98801Q. [Google Scholar]
- Zhang, Z.; He, G.; Zhang, X.; Long, T.; Wang, G.; Wang, M. A coupled atmospheric and topographic correction algorithm for remotely sensed satellite imagery over mountainous terrain. Gisci. Remote Sens. 2017, 55, 400–416. [Google Scholar] [CrossRef]
- Hadjit, H.; Oukebdane, A.; Belbachir, A. Atmospheric correction of Earth-observation remote sensing images by Monte Carlo method. J. Earth Syst. Sci. 2013, 122, 1219–1235. [Google Scholar] [CrossRef]
- Module, F.L.A.A.S.H. Atmospheric correction module: Quac and flaash user’s guide. Version 2009, 4, 44. [Google Scholar]
- Guo, Y.; Zeng, F. Atmospheric Correction Comparison of Spot-5 image based on model flaash and model quac. ISPRS Int. Arch. Photogram. Remote Sens. Spat. Inf. Sci. 2012, XXXIX-B7, 7–11. [Google Scholar] [CrossRef]
- Yuan, J.; Niu, Z. Evaluation of atmospheric correction using FLAASH. In Proceedings of the 2008 International Workshop on Earth Observation and Remote Sensing Applications 2008, Beijing, China, 30 June–2 July 2008; pp. 1–6. [Google Scholar]
- Kruse, F.A. Comparison of ATREM, ACORN, and FLAASH atmospheric corrections using low-altitude AVIRIS data of Boulder, CO. In Proceedings of the Summaries of 13th JPL Airborne Geoscience Workshop 2004, Jet Propulsion Lab, Pasadena, CA, USA, 31 March–2 April 2004. [Google Scholar]
- Felde, G.W.; Anderson, G.P.; Cooley, T.W.; Matthew, M.W.; Berk, A.; Lee, J. Analysis of Hyperion data with the FLAASH atmospheric correction algorithm. In Proceedings of the IEEE Geoscience and Remote Sensing Symposium, Toulouse, France, 21–25 July 2003; Volume 1, pp. 90–92. [Google Scholar]
- Cooley, T.; Anderson, G.P.; Felde, G.W.; Hoke, M.L.; Ratkowski, A.J.; Chetwynd, J.H.; Gardner, J.A.; Adler-Golden, S.M.; Matthew, M.W.; Berk, A.; et al. FLAASH, a MODTRAN4-based atmospheric correction algorithm, its application and validation. In Proceedings of the Geoscience and Remote Sensing Symposium, Toronto, ON, Canada, 24–28 July 2002; Volume 3, pp. 1414–1418. [Google Scholar]
- Pope, E.; Willis, I.; Pope, A.; Miles, E.; Arnold, N.; Rees, W. Contrasting snow and ice albedos derived from MODIS, Landsat ETM+ and airborne data from Langjökull, Iceland. Remote Sens. Environ. 2016, 175, 183–195. [Google Scholar] [CrossRef]
- Jawak, S.; Luis, A. A spectral index ratio-based Antarctic land-cover mapping using hyperspatial 8-band WorldView-2 imagery. Pol. Sci. 2013, 7, 18–38. [Google Scholar] [CrossRef]
- Jawak, S.; Luis, A. Improved land cover mapping using high resolution multiangle 8-band WorldView-2 satellite remote sensing data. J. Appl. Remote Sens. 2013, 7, 073573. [Google Scholar] [CrossRef]
- Jawak, S.D.; Khopkar, P.S.; Jadhav, S.P.; Luis, A.J. Customization of Normalized Difference of Snow Index (NDSI) for extraction of snow and/or ice cover from cryospheric surface using WorldView-2 data. In Proceedings of the International Conference on Geospatial Momentum for Society & Environment: AGSE 2013, Ahmedabad, India, 16–19 December 2013. [Google Scholar]
- Jawak, S.D.; Luis, A.J. Applications of WorldView-2 satellite data for extraction of polar spatial information and DEM of Larsemann Hills, East Antarctica. In Proceedings of the International Conference on Fuzzy Systems and Neural Computing 2011, Hong Kong, China, 20–21 February 2011; Volume 3, p. 978-1. [Google Scholar]
- Jawak, S.D.; Luis, A.J. High Resolution 8-Band WorldView-2 Satellite Remote Sensing Data for Polar Geospatial Information Mining and Thematic Elevation Mapping of Larsemann Hills, East Antarctica. In Proceedings of the 11th ISAES 2011, Edinburgh, Scotland, 10–16 July 2011. [Google Scholar]
- Aguilar, M.; Saldaña, M.; Aguilar, F. GeoEye-1 and WorldView-2 pan-sharpened imagery for object-based classification in urban environments. Int. J. Remote Sens. 2013, 34, 2583–2606. [Google Scholar] [CrossRef]
- Mausel, P.W.; Kramber, W.J.; Lee, J.K. Optimum band selection for supervised classification of multispectral data. Photogramm. Eng. Remote Sens. 1990, 56, 55–60. [Google Scholar]
- Cracknell, A.P.; Hayes, L. Introduction to Remote Sensing; Taylor & Francis: New York, NY, USA, 1991. [Google Scholar]
- Song, C.; Woodcock, C.; Seto, K.; Lenney, M.; Macomber, S. Classification and Change Detection Using Landsat TM Data. Remote Sens. Environ. 2001, 75, 230–244. [Google Scholar] [CrossRef]
- Rott, H. Thematic studies in alpine areas by means of polarimetric SAR and optical imagery. Adv. Space Res. 1994, 14, 217–226. [Google Scholar] [CrossRef]
- Nolin, A.; Dozier, J.; Mertes, L. Mapping alpine snow using a spectral mixture modeling technique. Ann. Glaciol. 1993, 17, 121–124. [Google Scholar] [CrossRef]
- Matthew, M.W.; Adler-Golden, S.M.; Berk, A.; Felde, G.; Anderson, G.P.; Gorodetzky, D.; Paswaters, S.; Shippert, M. Atmospheric correction of spectral imagery: Evaluation of the FLAASH algorithm with AVIRIS data. In Proceedings of the IEEE Applied Imagery Pattern Recognition Workshop 2002, Washington, DC, USA, 16–18 October 2002; pp. 157–163. [Google Scholar]
- Perkins, T.; Adler-Golden, S.; Cappelaere, P.; Mandl, D. High-speed atmospheric correction for spectral image processing. In Algorithms and Technologies for Multispectral, Hyperspectral, and Ultraspectral Remote Sensing Technology, Techniques and Applications VI, Proceedings of International Society for Optics and Photonics 2012; SPIE: Bellingham, WA, USA, 2012; Volume 8390, p. 83900V. [Google Scholar]
- Kaufman, Y.; Wald, A.; Remer, L.; Gao, B.-C.; Li, R.-R.; Flynn, L. The MODIS 2.1-μm channel-correlation with visible reflectance for use in remote sensing of aerosol. IEEE Trans. Geosci. Remote Sens. 1997, 35, 1286–1298. [Google Scholar] [CrossRef]
- Harrisgeospatial.com. Available online: https://www.harrisgeospatial.com/docs/backgroundflaash.html (accessed on 21 June 2018).
- Abreu, L.W.; Anderson, G.P. The MODTRAN 2/3 report and LOWTRAN 7 model. Contract 1996, 19628, 0132. [Google Scholar]
- Kpalma, K.; El-Mezouar, M.C.; Taleb, N. Recent trends in satellite image pan-sharpening techniques. In Proceedings of the 1st International Conference on Electrical, Electronic and Computing Engineering, Vrnjačka Banja, Serbia, 2–5 June 2014. [Google Scholar]
- Laben, C.A.; Brower, B.V. Process for Enhancing the Spatial Resolution of Multispectral Imagery Using Pan-Sharpening. U.S. Patent 6,011,875, 4 January 2000. [Google Scholar]
- Maurer, T. How to pan-sharpen images using the gram-schmidt pan-sharpen method—A recipe. ISPRS Int. Arch. Photogramm. Remote Sens. Spat. Inf. Sci. 2013, XL-1/W1, 239–244. [Google Scholar] [CrossRef]
- Raup, B.H.; Andreassen, L.M.; Bolch, T.; Bevan, S. Remote sensing of glaciers. In Remote Sensing of the Cryosphere, 1st ed.; Tedesco, M., Ed.; John Wiley & Sons: Hoboken, NJ, USA, 2014; pp. 123–156. [Google Scholar]
- Shukla, A.; Gupta, R.; Arora, M. Estimation of debris cover and its temporal variation using optical satellite sensor data: A case study in Chenab basin, Himalaya. J. Glaciol. 2009, 55, 444–452. [Google Scholar] [CrossRef]
- Tempfli, K.; Huurneman, G.C.; Bakker, W.H.; Janssen, L.L.F.; Feringa, W.F.; Gieske, A.S.M.; Grabmaier, K.A.; Hecker, C.A.; van der Horn, J.A. Principles of Remote Sensing: An introductory Textbook; ITC: Enschede, The Netherlands, 2009. [Google Scholar]
- Baatz, M.; Schape, A. Multiresolution Segmentation: An Optimization Approach for High Quality Multi-Scale Image Segmentation. In Angewandte Geographische Informations-Verarbeitung XII; Strobl, J., Blaschke, T., Griesbner, G., Eds.; Wichmann Verlag: Karlsruhe, Germany, 2000; pp. 12–23. [Google Scholar]
- Pellikka, P.; Rees, G. Remote Sensing of Glaciers; CRC Press: Boca Raton, FL, USA, 2010. [Google Scholar]
- Dozier, J.; Painter, T. Multispectral and hyperspectral remote sensing of alpine snow properties. Annu. Rev. Earth Planet. Sci. 2004, 32, 465–494. [Google Scholar] [CrossRef]
- Definiens Developer 7. Reference Book; Definiens AG: Munich, Germany, 2007. [Google Scholar]
- Rott, H.; Markl, G. Improved snow and glacier monitoring by the Landsat Thematic Mapper. In Proceedings of the Workshop on the Landsat Thematic Mapper Applications, ESA SP-1102, Frascati, Italy, December 1989; pp. 3–12. Available online: https://www.researchgate.net/publication/292541417_Improved_snow_and_glacier_monitoring_by_the_Landsat_Thematic_Mapper (accessed on 12 December 2018).
- Bronge, L.; Bronge, C. Ice and snow-type classification in the Vestfold Hills, East Antarctica, using Landsat-TM data and ground radiometer measurements. Int. J. Remote Sens. 1999, 20, 225–240. [Google Scholar] [CrossRef]
- Dozier, J. Spectral signature of alpine snow cover from the landsat thematic mapper. Remote Sens. Environ. 1989, 28, 9–22. [Google Scholar] [CrossRef]
- Xiao, X.; Shen, Z.; Qin, X. Assessing the potential of VEGETATION sensor data for mapping snow and ice cover: A Normalized Difference Snow and Ice Index. Int. J. Remote Sens. 2001, 22, 2479–2487. [Google Scholar] [CrossRef]
- Shimamura, Y.; Izumi, T.; Matsuyama, H. Evaluation of a useful method to identify snow-covered areas under vegetation—Comparisons among a newly proposed snow index, normalized difference snow index, and visible reflectance. Int. J. Remote Sens. 2006, 27, 4867–4884. [Google Scholar] [CrossRef]
- Kruse, F.A. Geologic mapping using combined analysis of Airborne Visible/Infrared Imaging Spectrometer (AVIRIS) and SIR-C/X-SAR data. In Imaging Spectrometry II. Proc. SPIE 1996, 2819, 24–36. [Google Scholar]
- Boardman, J.W.; Kruse, F.A. Automated spectral analysis: A geological example using AVIRIS data, north Grapevine Mountains, Nevada. In Proceedings of the ERIM Tenth Thematic Conference on Geologic Remote Sensing, Environmental Research Institute of Michigan 1994, San Antonio, TX, USA, 9–12 May 1994; pp. I-407–I-418. [Google Scholar]
- Green, A.; Berman, M.; Switzer, P.; Craig, M. A transformation for ordering multispectral data in terms of image quality with implications for noise removal. IEEE Trans. Geosci. Remote Sens. 1988, 26, 65–74. [Google Scholar] [CrossRef]
- Jensen, R.R.; Shumway, J.M. Sampling Our World. In Research Methods in Geography; Gomez, B., Jones, J.P., III, Eds.; Wiley Blackwell: New York, NY, USA, 2010; pp. 77–90. [Google Scholar]
- Foody, G. Assessing the accuracy of land cover change with imperfect ground reference data. Remote Sens. Environ. 2010, 114, 2271–2285. [Google Scholar] [CrossRef]
- Congalton, R.; Green, K. Assessing the Accuracy of Remotely Sensed Data: Principles and Practices; CRC Press: Boca Raton, FL, USA, 2009. [Google Scholar]
- Negi, H.S.; Shekhar, C.; Singh, S.K. Snow and glacier investigations using hyperspectral data in the Himalaya. Curr. Sci. 2015, 10, 892–902. [Google Scholar]
- König, M.; Winther, J.; Isaksson, E. Measuring snow and glacier ice properties from satellite. Rev. Geophys. 2001, 39, 1–27. [Google Scholar] [CrossRef]
- Shukla, A.; Ali, I. A hierarchical knowledge-based classification for glacier terrain mapping: A case study from Kolahoi Glacier, Kashmir Himalaya. Ann. Glaciol. 2016, 57, 1–10. [Google Scholar] [CrossRef]
- Foody, G.; Mathur, A. A relative evaluation of multiclass image classification by support vector machines. IEEE Trans. Geosci. Remote Sens. 2004, 42, 1335–1343. [Google Scholar] [CrossRef]
- Foody, G. Harshness in image classification accuracy assessment. Int. J. Remote Sens. 2008, 29, 3137–3158. [Google Scholar] [CrossRef]
- Gupta, R.; Haritashya, U.; Singh, P. Mapping dry/wet snow cover in the Indian Himalayas using IRS multispectral imagery. Remote Sens. Environ. 2005, 97, 458–469. [Google Scholar] [CrossRef]
- Karimi, N.; Farokhnia, A.; Karimi, L.; Eftekhari, M.; Ghalkhani, H. Combining optical and thermal remote sensing data for mapping debris-covered glaciers (Alamkouh Glaciers, Iran). Cold Reg. Sci. Technol. 2012, 71, 73–83. [Google Scholar] [CrossRef]
- Khan, A.; Naz, B.; Bowling, L. Separating snow, clean and debris covered ice in the Upper Indus Basin, Hindukush-Karakoram-Himalayas, using Landsat images between 1998 and 2002. J. Hydrol. 2015, 521, 46–64. [Google Scholar] [CrossRef]
- Ghosh, S.; Pandey, A.; Nathawat, M. Mapping of debris-covered glaciers in parts of the Greater Himalaya Range, Ladakh, western Himalaya, using remote sensing and GIS. J. Appl. Remote Sens. 2014, 8, 083579. [Google Scholar] [CrossRef]
- Kulkarni, A.; Rathore, B.; Singh, S. Ajai Distribution of seasonal snow cover in central and western Himalaya. Ann. Glaciol. 2010, 51, 123–128. [Google Scholar] [CrossRef]
- Bhambri, R.; Bolch, T.; Chaujar, R. Mapping of debris-covered glaciers in the Garhwal Himalayas using ASTER DEMs and thermal data. Int. J. Remote Sens. 2011, 32, 8095–8119. [Google Scholar] [CrossRef]
- Bhardwaj, A.; Joshi, P.; Snehmani; Sam, L.; Singh, M.; Singh, S.; Kumar, R. Applicability of Landsat 8 data for characterizing glacier facies and supraglacial debris. Int. J. Appl. Earth Obs. Geoinf. 2015, 38, 51–64. [Google Scholar] [CrossRef]
- Zhang, J.; Jia, L.; Menenti, M.; Hu, G. Glacier Facies Mapping Using a Machine-Learning Algorithm: The Parlung Zangbo Basin Case Study. Remote Sens. 2019, 11, 452. [Google Scholar] [CrossRef]
- Gao, B.; Montes, M.; Davis, C.; Goetz, A. Atmospheric correction algorithms for hyperspectral remote sensing data of land and ocean. Remote Sens. Environ. 2009, 113, S17–S24. [Google Scholar] [CrossRef]
- Alifu, H.; Johnson, B.; Tateishi, R. Delineation of Debris-Covered Glaciers Based on a Combination of Geomorphometric Parameters and a TIR/NIR/SWIR Band Ratio. IEEE J. Sel. Top. Appl. Earth Obs. Remote Sens. 2016, 9, 781–792. [Google Scholar] [CrossRef]
- Sahu, R.; Gupta, R.D. Conceptual framework of combined pixel and object-based method for delineation of debris-covered glaciers. ISPRS Ann. Photogramm. Remote Sens. Spatial Inf. Sci. 2018, IV-5, 173–180. [Google Scholar] [CrossRef]
- Shukla, A.; Yousuf, B. Evaluation of multisource data for glacier terrain mapping: A neural net approach. Geocarto Int. 2016, 32, 569–587. [Google Scholar] [CrossRef]
- Casey, K.; Kääb, A.; Benn, D. Geochemical characterization of supraglacial debris via in situ and optical remote sensing methods: A case study in Khumbu Himalaya, Nepal. Cryosphere 2012, 6, 85–100. [Google Scholar] [CrossRef]
















| Thematic Class | Index-Wise Threshold | Glaciers | Contextual Parameter |
|---|---|---|---|
| Snow | SIR2 < 0.7 | G2 | |
| SIR2 < 0.74 | G1, G3, G4, G5 | ||
| SIR2 < 0.75 | Relative border to snow > 0.3 | ||
| Ice | SIR1 < 0.63 | G1, G2 G3, G4, G5 | |
| SIR1 < 0.7 and SIR2 < 0.79 | |||
| SIR1 < 0.68 and SIR2 < 0.8 | |||
| Debris | SIR3 < 0 | ||
| SIR3 < 0.1 | |||
| Ice-Mixed Debris | SIR3 < 0.35 | ||
| SIR3 ≤ 0.455 | |||
| Crevasses | SIR1 > 0.7 | ||
| SIR1 > 0.65 | Area < 400 pixel | ||
| SIR1 > 0.65 | Area = 300 pixel | ||
| SIR1 < 0.67 and SIR2 < 0.8 |
| Classifier | Stretch | Rule Threshold |
|---|---|---|
| MF | Square Root | 0.400 |
| CEM | Square Root | 0.800 |
| SAM | Square Root | 0.600 |
| OSP | Square Root | 0.700 |
© 2019 by the authors. Licensee MDPI, Basel, Switzerland. This article is an open access article distributed under the terms and conditions of the Creative Commons Attribution (CC BY) license (http://creativecommons.org/licenses/by/4.0/).
Share and Cite
Jawak, S.D.; Wankhede, S.F.; Luis, A.J. Explorative Study on Mapping Surface Facies of Selected Glaciers from Chandra Basin, Himalaya Using WorldView-2 Data. Remote Sens. 2019, 11, 1207. https://doi.org/10.3390/rs11101207
Jawak SD, Wankhede SF, Luis AJ. Explorative Study on Mapping Surface Facies of Selected Glaciers from Chandra Basin, Himalaya Using WorldView-2 Data. Remote Sensing. 2019; 11(10):1207. https://doi.org/10.3390/rs11101207
Chicago/Turabian StyleJawak, Shridhar D., Sagar F. Wankhede, and Alvarinho J. Luis. 2019. "Explorative Study on Mapping Surface Facies of Selected Glaciers from Chandra Basin, Himalaya Using WorldView-2 Data" Remote Sensing 11, no. 10: 1207. https://doi.org/10.3390/rs11101207
APA StyleJawak, S. D., Wankhede, S. F., & Luis, A. J. (2019). Explorative Study on Mapping Surface Facies of Selected Glaciers from Chandra Basin, Himalaya Using WorldView-2 Data. Remote Sensing, 11(10), 1207. https://doi.org/10.3390/rs11101207

