Assessing Cropland Area in West Africa for Agricultural Yield Analysis
Abstract
1. Introduction
2. Materials and Methods
2.1. Reference Data
2.2. Land Cover Products
2.2.1. GLC2000
2.2.2. GlobCover
2.2.3. ESA LC CCI
2.2.4. GlobeLand30
2.2.5. MODIS Land Cover
2.2.6. Global Land Cover SHARE
2.2.7. IIASA IFPRI Cropland Map
2.2.8. GFSAD Crop Extent for Africa
2.3. Accuracy Assessment
2.3.1. Sampling Design
2.3.2. Metrics of Accuracy
- j = 1 … J is the number of classes in the reference data,
- i = 1 … J is the number of classes in the global land cover product,
- is the sample total for class i,
- is the population total for class i
3. Results
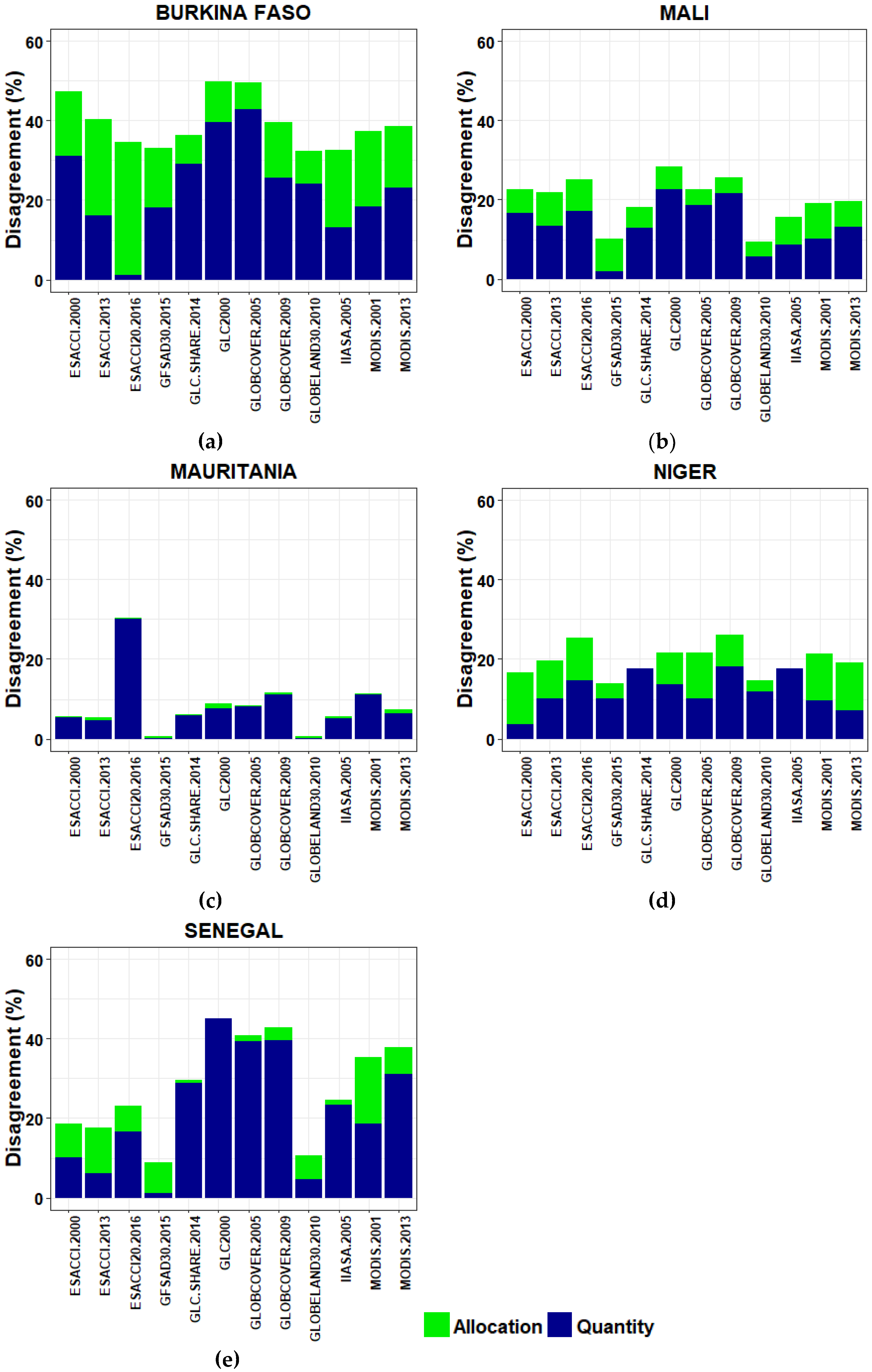
3.1. All Crop (Crop and Mixed Crop) Quantity and Allocation Disagreements
3.2. Cropland User’s Accuracy
3.2.1. All Crop (Crop and Mixed Crop) User’s Accuracy
3.2.2. User’s Accuracy for Separate Crop and Mixed Crop Classes
3.3. Cropland Area Assessment
3.3.1. All Crop Commission and Omission Disagreements
3.3.2. Cropland Area Ratio (GLC/Reference Map)
4. Discussion
5. Conclusions
Author Contributions
Funding
Acknowledgments
Conflicts of Interest
References
- Conceição, P.; Fuentes-Nieva, R.; Horn-Phathanothai, L.; Ngororano, A. Food security and human development in Africa: Strategic considerations and directions for further research. Afr. Dev. Rev. 2011, 23, 237–246. [Google Scholar] [CrossRef]
- Zhong, L.; Gong, P.; Biging, G.S. Efficient corn and soybean mapping with temporal extendability: A multi-year experiment using Landsat imagery. Remote Sens. Environ. 2014, 140, 1–13. [Google Scholar] [CrossRef]
- Hüttich, C.; Herold, M.; Wegmann, M.; Cord, A.; Strohbach, B.; Schmullius, C.; Dech, S. Assessing effects of temporal compositing and varying observation periods for large-area land-cover mapping in semi-arid ecosystems: Implications for global monitoring. Remote Sens. Environ. 2011, 115, 2445–2459. [Google Scholar] [CrossRef]
- Herold, M.; Mayaux, P.; Woodcock, C.; Baccini, A.; Schmullius, C. Some challenges in global land cover mapping: An assessment of agreement and accuracy in existing 1 km datasets. Remote Sens. Environ. 2008, 112, 2538–2556. [Google Scholar] [CrossRef]
- Arino, O.; Bicheron, P.; Achard, F.; Latham, J.; Witt, R.; Weber, J.-L. The most detailed portrait of Earth. Eur. Space Agency 2008, 136, 25–31. [Google Scholar]
- ESA-CCI. Internal Release of Global Land Cover Map with Improved Accuracy over the Existing State of the Art (75.6%). Available online: https://www.esa-landcover-cci.org/?q=node/148 (accessed on 11 January 2013).
- Friedl, M.A.; Sulla-Menashe, D.; Tan, B.; Schneider, A.; Ramankutty, N.; Sibley, A.; Huang, X. MODIS Collection 5 global land cover: Algorithm refinements and characterization of new datasets. Remote Sens. Environ. 2010, 114, 168–182. [Google Scholar] [CrossRef]
- Mayaux, P.; Eva, H.; Gallego, J.; Strahler, A.H.; Herold, M.; Agrawal, S.; Naumov, S.; De Miranda, E.E.; Di Bella, C.M.; Ordoyne, C. Validation of the global land cover 2000 map. IEEE Trans. Geosci. Remote Sens. 2006, 44, 1728–1739. [Google Scholar] [CrossRef]
- Fritz, S.; You, L.; Bun, A.; See, L.; McCallum, I.; Schill, C.; Perger, C.; Liu, J.; Hansen, M.; Obersteiner, M. Cropland for sub-Saharan Africa: A synergistic approach using five land cover data sets. Geophys. Res. Lett. 2011, 38. [Google Scholar] [CrossRef]
- Latham, J.; Cumani, R.; Rosati, I.; Bloise, M. Global Land Cover Share (GLC-SHARE) Database Beta-Release Version 1.0-2014; FAO: Rome, Italy, 2014. [Google Scholar]
- Wei, Y.; Lu, M.; Wu, W. A Comparative Analysis of Five Cropland Datasets in Africa. ISPRS Int. Arch. Photogramm. Remote Sens. Spat. Inf. Sci. 2018, XLII-3, 1863–1870. [Google Scholar] [CrossRef]
- Laso Bayas, J.C.; See, L.; Perger, C.; Justice, C.; Nakalembe, C.; Dempewolf, J.; Fritz, S. Validation of automatically generated global and regional cropland data sets: The case of Tanzania. Remote Sens. 2017, 9, 815. [Google Scholar] [CrossRef]
- Tappan, G.G.; Cushing, W.M.; Cotillon, S.E.; Mathis, M.L.; Hutchinson, J.A.; Dalsted, K. West Africa Land Use Land Cover Time Series; U.S. Geological Survey: Sioux Falls, SD, USA, 2016.
- Pontius, R.G., Jr.; Millones, M. Death to Kappa: Birth of quantity disagreement and allocation disagreement for accuracy assessment. Int. J. Remote Sens. 2011, 32, 4407–4429. [Google Scholar] [CrossRef]
- Olofsson, P.; Foody, G.M.; Herold, M.; Stehman, S.V.; Woodcock, C.E.; Wulder, M.A. Good practices for estimating area and assessing accuracy of land change. Remote Sens. Environ. 2014, 148, 42–57. [Google Scholar] [CrossRef]
- CILSS. Landscapes of West Africa—A Window on a Changing World; U.S. Geological Survey EROS: Garretson, SD, USA, 2016.
- Cotillon, S.E. West Africa Land Use and Land Cover Time Series; U.S. Geological Survey: Sioux Falls, SD, USA, 2017.
- Cotillon, S.E.; Mathis, M.L. Mapping Land Cover through Time with the Rapid Land Cover Mapper—Documentation and User Manual; U.S. Geological Survey: Sioux Falls, SD, USA, 2017.
- Bartholome, E.; Belward, A.S. GLC2000: A new approach to global land cover mapping from Earth observation data. Int. J. Remote Sens. 2005, 26, 1959–1977. [Google Scholar] [CrossRef]
- Arino, O.; Gross, D.; Ranera, F.; Leroy, M.; Bicheron, P.; Brockman, C.; Defourny, P.; Vancutsem, C.; Achard, F.; Durieux, L. GlobCover: ESA service for global land cover from MERIS. In Proceedings of the 2007 IEEE International Geoscience and Remote Sensing Symposium (IGARSS 2007), Barcelona, Spain, 23–27 July 2007. [Google Scholar]
- Arino, O. GlobCover 2009. European Space Agency. Available online: http://epic.awi.de/31046/1/Arino_et_al_GlobCover2009-a.pdf (accessed on 25 April 2018).
- UCL-Geomatics. Land Cover CCI Product User Guide Version 2.0. Available online: http://maps.elie.ucl.ac.be/CCI/viewer/download/ESACCI-LC-Ph2-PUGv2_2.0.pdf (accessed on 10 April 2017).
- Chen, J.; Chen, J.; Liao, A.; Cao, X.; Chen, L.; Chen, X.; He, C.; Han, G.; Peng, S.; Lu, M. Global land cover mapping at 30 m resolution: A POK-based operational approach. ISPRS J. Photogramm. Remote Sens. 2015, 103, 7–27. [Google Scholar] [CrossRef]
- Fritz, S.; See, L.; McCallum, I.; You, L.; Bun, A.; Moltchanova, E.; Duerauer, M.; Albrecht, F.; Schill, C.; Perger, C. Mapping global cropland and field size. Glob. Chang. Biol. 2015, 21, 1980–1992. [Google Scholar] [CrossRef] [PubMed]
- Xiong, J.; Thenkabail, P.S.; Tilton, J.C.; Gumma, M.K.; Teluguntla, P.; Oliphant, A.; Congalton, R.G.; Yadav, K.; Gorelick, N. Nominal 30-m cropland extent map of continental Africa by integrating pixel-based and object-based algorithms using sentinel-2 and Landsat-8 data on Google earth engine. Remote Sens. 2017, 9, 1065. [Google Scholar] [CrossRef]
- Chen, Y.; Zhou, Y.N.; Ge, Y.; An, R.; Chen, Y. Enhancing Land Cover Mapping through Integration of Pixel-Based and Object-Based Classifications from Remotely Sensed Imagery. Remote Sens. 2018, 10, 77. [Google Scholar] [CrossRef]
- Breiman, L. Random forests. Mach. Learn. 2001, 45, 5–32. [Google Scholar] [CrossRef]
- See, L.; Laso Bayas, J.C.; Schepaschenko, D.; Perger, C.; Dresel, C.; Maus, V.; Salk, C.; Weichselbaum, J.; Lesiv, W.; McCallum, I.; et al. LACO-Wiki: A new online land cover validation tool demonstrated using GlobeLand30 for Kenya. Remote Sens. 2017, 9, 754. [Google Scholar] [CrossRef]
- Townshend, J.R.G.; Huang, C.; Kalluri, S.N.V.; Defries, R.S.; Liang, S.; Yang, K. Beware of per-pixel characterization of land cover. Int. J. Remote Sens. 2000, 21, 839–843. [Google Scholar] [CrossRef]
- Castanedo, F. A review of data fusion techniques. Sci. World J. 2013, 2013, 1–19. [Google Scholar] [CrossRef] [PubMed]








| Product | Crop Classes | Mixed Crop Classes | Year | Resolution (m) | |
|---|---|---|---|---|---|
| Group I | GLC2000 | Croplands (>50%) (18); tree crops (21); irrigated croplands (20) | Mosaic Forest/Croplands (7); Croplands with open woody vegetation (19) | 2000 | 1000 |
| GlobCover | Post-flooding or irrigated croplands (11); rainfed croplands (14) | Mosaic cropland (50–70%)/vegetation (grassland, shrubland, and forest) (20–50%) (20); mosaic vegetation (grassland, shrubland, and forest) (50–70%)/cropland (20–50%) (30) | 2005;2009 | 300 | |
| ESA CCI LC series | Cropland rainfed (10); cropland irrigated (20) | Mosaic cropland (30) | 1992–2015 | 300 | |
| ESA CCI 20 m | Cropland (4) | 2016 | 20 | ||
| GlobeLand30 | Cultivated land (10) | 2010 | 30 | ||
| GFSAD 30 m Crop Extent | Croplands (2) | 2015 | 30 | ||
| MODIS Land Cover (MCD12Q1) | Croplands (12) | Cropland/natural vegetation mosaic (14) | 2001–2013 | 500 | |
| Group II | IIASA IFPRI Cropland | Crop intensity greater than 50% | Crop intensity less than 50% | 2005 | 1000 |
| GLC SHARE | Crop intensity greater than 50% | Crop intensity less than 50% | 2014 | 1000 | |
| Ref. | 1. Crop/Mixed Crop | 2. Non-Crop | |
| GLC | |||
| 1. Crop/Mixed Crop | |||
| 2. Non-Crop | |||
| Ref. | 1. Crop/Mixed Crop | 2. Non-Crop | |
| GLC | |||
| 1. Crop/Mixed Crop | |||
| 2. Non-Crop | |||
© 2018 by the authors. Licensee MDPI, Basel, Switzerland. This article is an open access article distributed under the terms and conditions of the Creative Commons Attribution (CC BY) license (http://creativecommons.org/licenses/by/4.0/).
Share and Cite
Samasse, K.; Hanan, N.P.; Tappan, G.; Diallo, Y. Assessing Cropland Area in West Africa for Agricultural Yield Analysis. Remote Sens. 2018, 10, 1785. https://doi.org/10.3390/rs10111785
Samasse K, Hanan NP, Tappan G, Diallo Y. Assessing Cropland Area in West Africa for Agricultural Yield Analysis. Remote Sensing. 2018; 10(11):1785. https://doi.org/10.3390/rs10111785
Chicago/Turabian StyleSamasse, Kaboro, Niall P. Hanan, Gray Tappan, and Yacouba Diallo. 2018. "Assessing Cropland Area in West Africa for Agricultural Yield Analysis" Remote Sensing 10, no. 11: 1785. https://doi.org/10.3390/rs10111785
APA StyleSamasse, K., Hanan, N. P., Tappan, G., & Diallo, Y. (2018). Assessing Cropland Area in West Africa for Agricultural Yield Analysis. Remote Sensing, 10(11), 1785. https://doi.org/10.3390/rs10111785
