Substrate Depth, Vegetation and Irrigation Affect Green Roof Thermal Performance in a Mediterranean Type Climate
Abstract
1. Introduction
2. Materials and Methods
2.1. Computer Simulations
2.2. Experimental Green Roofs
- 0.6 mm filter layer (ZinCo filter sheet SF);
- 40 mm drainage layer (ZinCo Floradrain® FD 40-E);
- 5 mm protection layer (ZinCo SSM45 protection mat); and
- 0.36 mm high-density polyethylene (HDPE) root barrier.
3. Results and Discussion
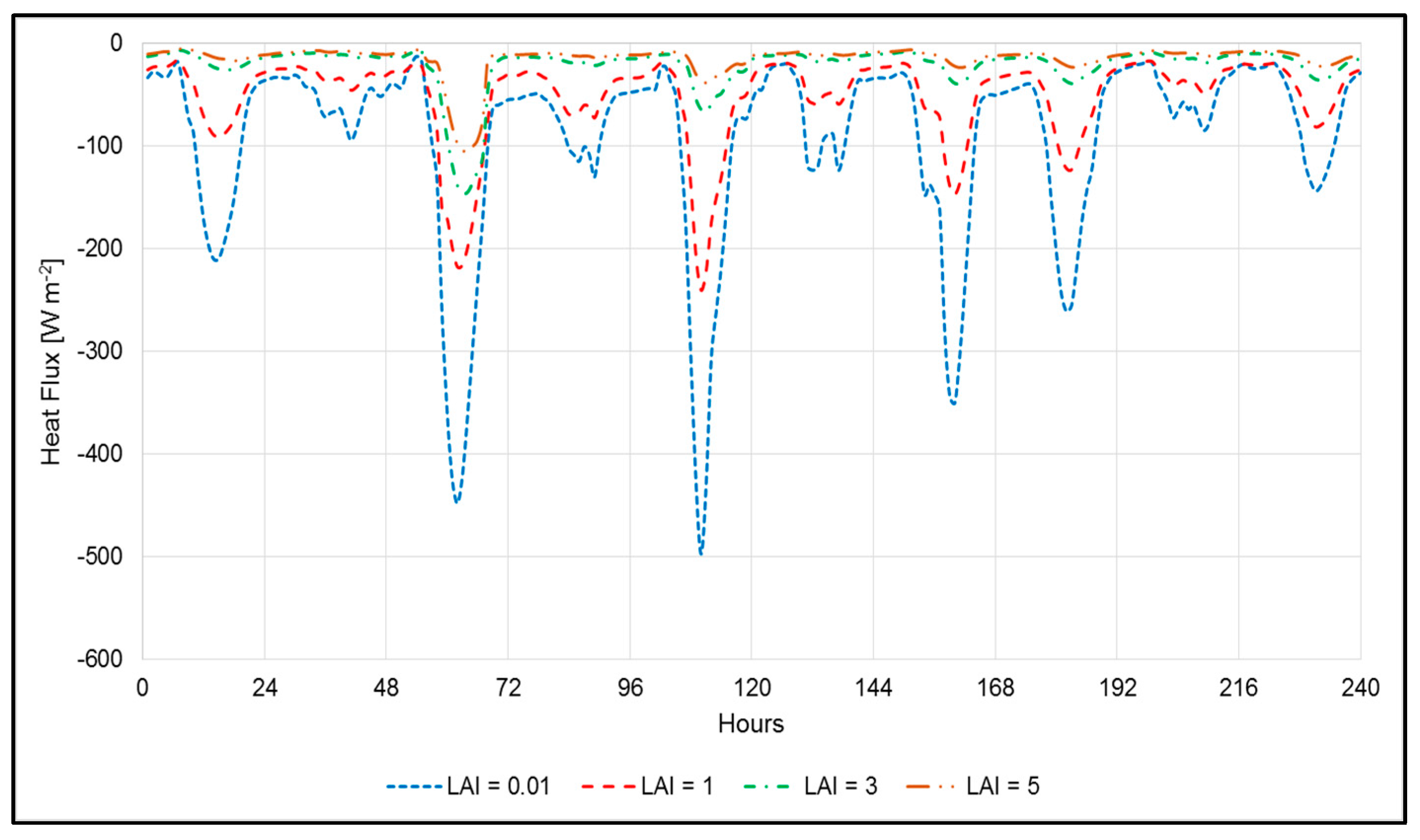
3.1. Parametric Analysis
3.2. Summer and Winter Temperatures and Heat Fluxes of Non-Vegetated Green Roofs
3.2.1. Non-Vegetated Green Roof Thermal Performance in Summer
3.2.2. Non-Vegetated Green Roof Thermal Performance in Winter
3.3. Summer Heat Fluxes of Sparsely Vegetated Green Roofs
4. Conclusions
Acknowledgments
Author Contributions
Conflicts of Interest
Nomenclature
| Ceg | bulk heat transfer coefficient for latent heat near the ground | 
| Cf | bulk heat transfer coefficient for turbulent heat in the foliage | 
| Chg | bulk heat transfer coefficient for sensible heat near the ground | 
| Cp,a | specific heat of air at constant pressure | 
| Ea | atmospheric emissivity | 
| e | vapour pressure | 
| es(Ta) | saturated vapour pressure at the air temperature | 
| Hf | sensible heat flux at the atmosphere foliage interface [J m−2] | 
| Hg | sensible heat flux at the foliage/ground interface [J m−2] | 
| Iir↓ | total incoming infrared radiation [W m−2] | 
| IS↓ | total incoming solar radiation [W m−2] | 
| K | von Karmen constant | 
| LAI | Leaf area index [m2 m−2] | 
| Lf | latent heat exchanges of the foliage [J m−2] | 
| lf | latent heat of vaporization at the foliage temperature [J kg−1] | 
| Lg | latent heat exchanges of the ground [J m−2] | 
| lg | latent heat of vaporization at the ground temperature [J kg−1] | 
| qaf | mixing ratio of the air at the foliage interface | 
| qf,sat | saturated foliage mixing ratio | 
| qg | mixing ratio of the air at the ground surface | 
| r” | surface wetness factor | 
| ra | aerodynamic resistance to transpiration [s m−1] | 
| rs | foliage leaf stomatal resistance [s m−1] | 
| Ta | air temperature [K] | 
| Taf | air temperature in the foliage [K] | 
| Tf | temperature of foliage [K] | 
| Tg | temperature of the ground surface [K] | 
| Waf | wind speed in the foliage [m s−1] | 
| z | depth of the substrate [m] | 
| αf | shortwave albedo for the foliage [0–1] | 
| αg | shortwave albedo for the ground surface [0–1] | 
| ε1 | εf + εg − εf εg | 
| εf | longwave emissivity of the foliage [0–1] | 
| εg | longwave emissivity of the ground surface [0–1] | 
| ρaf | density of air near the atmosphere/foliage interface [kg m−3] | 
| ρag | density of air at the ground temperature [kg m−3] | 
| σ | Stefan-Boltzman constant | 
References
- UNEP. The Emissions Gap Report. Are the Copenhagen Accord Pledges Sufficient to Limit Global Warming to 2° C or 1.5° C? A Preliminary Assessment. Available online: http://www.indiaenvironmentportal.org.in/files/The_EMISSIONS_GAP_REPORT.pdf (accessed on 16 August 2017).
- Broto, V.C.; Bulkeley, H. A survey of urban climate change experiments in 100 cities. Glob. Environ. Chang. 2013, 23, 92–102. [Google Scholar] [CrossRef] [PubMed]
- Doulos, L.; Santamouris, M.; Livada, I. Passive cooling of outdoor urban spaces. The role of materials. Sol. Energy 2004, 77, 231–249. [Google Scholar]
- Omer, A.M. Energy, environment and sustainable development. Renew. Sustain. Energy Rev. 2008, 12, 2265–2300. [Google Scholar] [CrossRef]
- Sadineni, S.B.; Madala, S.; Boehm, R.F. Passive building energy savings: A review of building envelope components. Renew. Sustain. Energy Rev. 2011, 15, 3617–3631. [Google Scholar] [CrossRef]
- Chwieduk, D. Towards sustainable-energy buildings. Appl. Energy 2003, 76, 211–217. [Google Scholar] [CrossRef]
- John, G.; Clements-Croome, D.; Jeronimidis, G. Sustainable building solutions: A review of lessons from the natural world. Build. Environ. 2005, 40, 319–328. [Google Scholar] [CrossRef]
- Baik, J.J.; Kwak, K.-H.; Park, S.-B.; Ryu, Y.-H. Effects of building roof greening on air quality in street canyons. Atmos. Environ. 2012, 61, 48–55. [Google Scholar] [CrossRef]
- Lee, K.E.; Williams, K.J.H.; Sargent, L.D.; Farrell, C.; Williams, N.S.G. Living roof preference is influenced by plant characteristics and diversity. Landsc. Urban Plan. 2014, 122, 152–159. [Google Scholar] [CrossRef]
- Stovin, V. The potential of green roofs to manage urban stormwater. Water Environ. J. 2010, 24, 192–199. [Google Scholar] [CrossRef]
- Gill, S.E.; Handley, J.F.; Ennos, A.R.; Pauleit, S. Adapting cities for climate change: The role of the green infrastructure. Built Environ. 2007, 33, 115–133. [Google Scholar] [CrossRef]
- Williams, N.S.G.; Lundholm, J.; Scott Macivor, J. Do green roofs help urban biodiversity conservation? J. Appl. Ecol. 2014, 51, 1643–1649. [Google Scholar] [CrossRef]
- Berardi, U.; Ghaffarian Hoseini, A.; Ghaffarian Hoseini, A. State-of-the-art analysis of the environmental benefits of green roofs. Appl. Energy 2014, 115, 411–428. [Google Scholar] [CrossRef]
- Oberndorfer, E.; Lundholm, J.; Bass, B.; Coffman, R.R.; Doshi, H.; Dunnett, N.; Gaffin, S.; Köhler, M.; Liu, K.K.Y.; Rowe, B. Green roofs as urban ecosystems: Ecological structures, functions, and services. BioScience 2007, 57, 823–833. [Google Scholar] [CrossRef]
- Wang, Y.; Berardi, U.; Akbari, H. Comparing the effects of urban heat island mitigation strategies for Toronto, Canada. Energy Build. 2016, 114, 2–19. [Google Scholar] [CrossRef]
- La Roche, P.; Berardi, U. Comfort and energy savings with active green roofs. Energy Build. 2014, 82, 492–504. [Google Scholar] [CrossRef]
- Ramesh, T.; Prakash, R.; Shukla, K.K. Life cycle energy analysis of buildings: An overview. Energy Build. 2010, 42, 1592–1600. [Google Scholar] [CrossRef]
- La Roche, P.; Carbonnier, E.; Halstead, C. Smart green roofs: Cooling with variable insulation. Proccedings of the PLEA2012-28th Conference, Opportunities, Limits & Needs towards an Environmentally Responsible Architecture, Lima, Peru, 7–9 November 2012. [Google Scholar]
- Pianella, A.; Bush, J.; Chen, Z.; Williams, N.S.G.; Aye, L. Green roofs in Australia: Review of thermal performance and associated policy development. In Proceedings of the Architectural Science Association Conference, Adelaide, Australia, 7–9 December 2016; Zuo, J., Daniel, L., Soebarto, V., Eds.; pp. 795–804. [Google Scholar]
- Bevilacqua, P.; Mazzeo, D.; Bruno, R.; Arcuri, N. Experimental investigation of the thermal performances of an extensive green roof in the Mediterranean area. Energy Build. 2016, 122, 63–79. [Google Scholar] [CrossRef]
- Olivieri, F.; Di Perna, C.; D’Orazio, M.; Olivieri, L.; Neila, J. Experimental measurements and numerical model for the summer performance assessment of extensive green roofs in a Mediterranean coastal climate. Energy Build. 2013, 63, 1–14. [Google Scholar] [CrossRef]
- Fioretti, R.; Palla, A.; Lanza, L.G.; Principi, P. Green roof energy and water related performance in the Mediterranean climate. Build. Environ. 2010, 45, 1890–1904. [Google Scholar] [CrossRef]
- Bevilacqua, P.; Mazzeo, D.; Bruno, R.; Arcuri, N. Surface temperature analysis of an extensive green roof for the mitigation of urban heat island in southern mediterranean climate. Energy Build. 2017, 150, 318–327. [Google Scholar] [CrossRef]
- Liu, K.; Baskaran, B. Thermal performance of green roofs through field evaluation. In Proceedings of the First North American Green Roof Infrastructure Conference, Awards and Trade Showm, Chicago, IL, USA, 29–30 May 2003. [Google Scholar]
- Jim, C.Y.; Tsang, S.W. Biophysical properties and thermal performance of an intensive green roof. Build. Environ. 2011, 46, 1263–1274. [Google Scholar] [CrossRef]
- Jim, C.Y. Effect of vegetation biomass structure on thermal performance of tropical green roof. Landsc. Ecol. Eng. 2012, 8, 173–187. [Google Scholar] [CrossRef]
- Schweitzer, O.; Erell, E. Evaluation of the energy performance and irrigation requirements of extensive green roofs in a water-scarce Mediterranean climate. Energy Build. 2014, 68, 25–32. [Google Scholar] [CrossRef]
- Sailor, D.J. A green roof model for building energy simulation programs. Energy Build. 2008, 40, 1466–1478. [Google Scholar] [CrossRef]
- Brown, C.; Lundholm, J. Microclimate and substrate depth influence green roof plant community dynamics. Landsc. Urban Plan. 2015, 143, 134–142. [Google Scholar] [CrossRef]
- Dunnett, N.; Nagase, A.; Hallam, A. The dynamics of planted and colonising species on a green roof over six growing seasons 2001–2006: Influence of substrate depth. Urban Ecosyst. 2008, 11, 373–384. [Google Scholar] [CrossRef]
- Lundholm, J.T. Spontaneous dynamics and wild design in green roofs. Isr. J. Ecol. Evol. 2016, 62, 23–31. [Google Scholar] [CrossRef]
- Palomo Del Barrio, E. Analysis of the green roofs cooling potential in buildings. Energy Build. 1998, 27, 179–193. [Google Scholar] [CrossRef]
- Tabares-Velasco, P.C.; Srebric, J. A heat transfer model for assessment of plant based roofing systems in summer conditions. Build. Environ. 2012, 49, 310–323. [Google Scholar] [CrossRef]
- Lazzarin, R.M.; Castellotti, F.; Busato, F. Experimental measurements and numerical modelling of a green roof. Energy Build. 2005, 37, 1260–1267. [Google Scholar] [CrossRef]
- Ouldboukhitine, S.E.; Belarbi, R.; Jaffal, I.; Trabelsi, A. Assessment of green roof thermal behavior: A coupled heat and mass transfer model. Build. Environ. 2011, 46, 2624–2631. [Google Scholar] [CrossRef]
- Frankestein, S.; Koeing, G. FASST Vegetation Models, Technical Report TR-04-25; U.S. Army Engineer Research and Development Center: Vicksburg, MS, USA, 2004. [Google Scholar]
- Bras, R.L. Hydrology: An Introduction to Hydrologic Science; Addison-Wesley: Reading, MA, USA, 1990. [Google Scholar]
- Farrell, C.; Szota, C.; Williams, N.S.G.; Arndt, S.K. High water users can be drought tolerant: Using physiological traits for green roof plant selection. Plant Soil 2013, 372, 177–193. [Google Scholar] [CrossRef]
- Vera, S.; Pinto, C.; Tabares-Velasco, P.C.; Bustamante, W.; Victorero, F.; Gironás, J.; Bonilla, C.A. Influence of vegetation, substrate, and thermal insulation of an extensive vegetated roof on the thermal performance of retail stores in semiarid and marine climates. Energy Build. 2017, 146, 312–321. [Google Scholar] [CrossRef]
- Pianella, A.; Aye, L.; Chen, Z.; Williams, N.S.G. Effects of design and operating parameters on green roof thermal performance in Melbourne. Proccedings of the 5th International Conference on Zero Energy Mass Customised Housing (ZEMCH), Kuala Lumpur, Malaysia, 20–23 December 2016; Hashemi, A., Ed.; pp. 11–31. [Google Scholar]
- Pianella, A.; Clarke, R.E.; Williams, N.S.G.; Chen, Z.; Aye, L. Steady-state and transient thermal measurements of green roof substrates. Energy Build. 2016, 131, 123–131. [Google Scholar] [CrossRef]
- Victorian Department of Environment and Primary Industries. Growing Green Guide: A Guide to Green Roofs, Walls and Facades in Melbourne and Victoria, Australia; Victorian Department of Environment and Primary Industries: Melbourne, Australia, 2014.
- Sofi, M.; Zhong, A.; Lumantarna, E.; Cameron, R. Addition of green: Re-evaluation of building structural elements. In Proceedings of the Practical Responses to Climate Change Conference, Melbourne, Australia, 25–27 November 2014; Engineers Australia: Barton ACT, Australia; pp. 100–107. [Google Scholar]
- Farrell, C.; Mitchell, R.E.; Szota, C.; Rayner, J.P.; Williams, N.S.G. Green roofs for hot and dry climates: Interacting effects of plant water use, succulence and substrate. Ecol. Eng. 2012, 49, 270–276. [Google Scholar] [CrossRef]
- Wilkinson, S.; Feitosa, R.C.; Kaga, I.T.; deFranceschi, I.H. Evaluating the Thermal Performance of Retrofitted Lightweight Green Roofs and Walls in Sydney and Rio de Janeiro. Procedia Eng. 2017, 180, 231–240. [Google Scholar] [CrossRef]




















| Input Variable/Parameter | Units | Input Values | 
|---|---|---|
| Height of plants | m | 0.20 | 
| Leaf area index | - | 0.01–1–3–5 | 
| Leaf reflectivity | - | 0.10–0.22–0.30–0.50 | 
| Leaf emissivity | - | 0.95 | 
| Minimum stomatal resistance | s m−1 | 50–150–180–30 | 
| Roughness | - | MediumRough | 
| Thickness | m | 0.07–0.10–0.15–0.30 | 
| Conductivity of dry soil | W m−1 K−1 | 0.20–0.35–0.40–0.80 | 
| Density of dry soil | kg m−3 | 1100 | 
| Specific heat of dry soil | J kg−1 K−1 | 1200 | 
| Thermal infrared absorptance | - | 0.90 | 
| Solar absorptance | - | 0.70 | 
| Visible absorptance | - | 0.75 | 
| Saturation volumetric moisture content of the soil | - | 0.20–0.30–0.40 | 
| Residual volumetric moisture content of the soil | - | 0.01 | 
| Initial volumetric moisture content of the soil | - | 0.10 | 
| Moisture diffusion calculation method | - | Advanced | 
© 2017 by the authors. Licensee MDPI, Basel, Switzerland. This article is an open access article distributed under the terms and conditions of the Creative Commons Attribution (CC BY) license (http://creativecommons.org/licenses/by/4.0/).
Share and Cite
Pianella, A.; Aye, L.; Chen, Z.; Williams, N.S.G. Substrate Depth, Vegetation and Irrigation Affect Green Roof Thermal Performance in a Mediterranean Type Climate. Sustainability 2017, 9, 1451. https://doi.org/10.3390/su9081451
Pianella A, Aye L, Chen Z, Williams NSG. Substrate Depth, Vegetation and Irrigation Affect Green Roof Thermal Performance in a Mediterranean Type Climate. Sustainability. 2017; 9(8):1451. https://doi.org/10.3390/su9081451
Chicago/Turabian StylePianella, Andrea, Lu Aye, Zhengdong Chen, and Nicholas S. G. Williams. 2017. "Substrate Depth, Vegetation and Irrigation Affect Green Roof Thermal Performance in a Mediterranean Type Climate" Sustainability 9, no. 8: 1451. https://doi.org/10.3390/su9081451
APA StylePianella, A., Aye, L., Chen, Z., & Williams, N. S. G. (2017). Substrate Depth, Vegetation and Irrigation Affect Green Roof Thermal Performance in a Mediterranean Type Climate. Sustainability, 9(8), 1451. https://doi.org/10.3390/su9081451
 
        


 
       