Performance Evaluation and Field Application of Red Clay Green Roof Vegetation Blocks for Ecological Restoration Projects
Abstract
:1. Introduction
2. Experimental Design
2.1. Materials
2.2. Mix Proportions
2.3. Test Methods
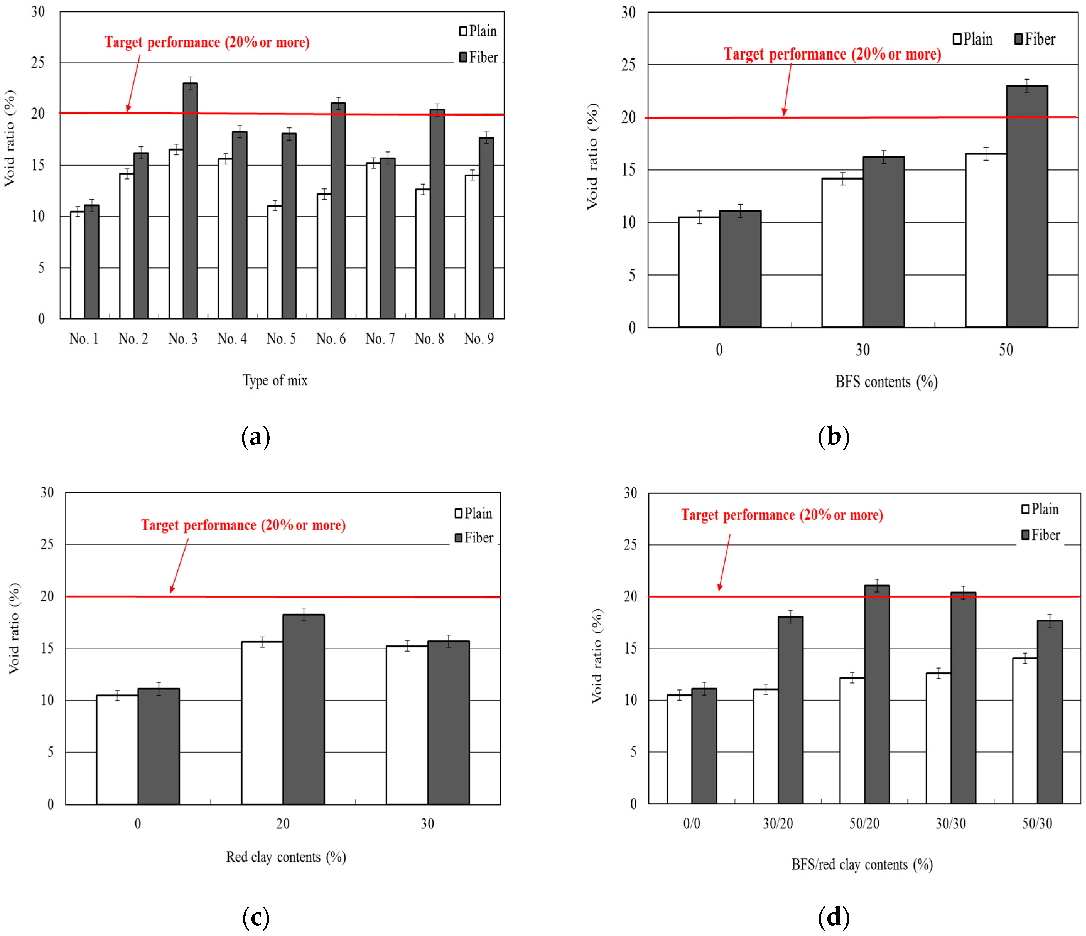
2.3.1. Void Ratio
2.3.2. Unit Mass
2.3.3. Compressive Strength
3. Results and Discussion
3.1. Void Ratio
3.2. Unit Mass
3.3. Compressive Strength
4. Field Application
4.1. Manufacturing of Green Roof Blocks
4.2. Field Application
4.3. Amount of Rainwater after Rooftop Greening
4.4. Water Quality Analysis
5. Conclusions
- (1)
- The physical and mechanical properties of the porous red clay roof vegetation blocks for roof vegetation were evaluated, and they were found to have a compressive strength above 8 MPa, void ratio above 20%, and a unit mass 2.0 kg/cm3 cm3 or below. The test results show that the mix satisfying the target performance had the following composition: cement = 128.95 kg/m3, BFS = 96.75 kg/m3, red clay = 96.75 kg/m3, water = 81.50 kg/m3, BFS agg. = 1450 kg/m3, and PVA fiber = 1.26 kg/m3.
- (2)
- To investigate the amount of water obtained through rainfall, a rainfall meter was installed after the application of roof vegetation to measure daily rainfall. The calculation results of the amount of water secured show that, in the case of rainfall of 1 mm, it is possible to secure about 0.53 L of water per 1 m2.
- (3)
- The effluent quality results after the application of roof vegetation show that the water quality satisfied Class 4 of the River-life Environmental Standard for Availability of Agricultural Water.
Acknowledgments
Author Contributions
Conflicts of Interest
References
- Ahn, G.Y.; Han, S.W.; Lee, E.H. The analysis of instantaneous uptake and evapotranspiration of herbaceous plants for artificial roof greening. Korean J. Environ. Ecol. 2011, 25, 91–100. [Google Scholar]
- Cho, H.H.; Son, H.J.; Kang, T.H. Hot tolerance assessment of sedum for extensive green roof system. J. Korean Inst. Landsc. Archit. 2012, 40, 180–189. [Google Scholar]
- Choi, H.Y.; Kim, M.H.; Hwang, H.Z.; Choi, S.W. Experimental study on the properties of concrete by the kinds of admixture and the replacement ratios of activated Hwangtoh. Korea Concr. Inst. 2001, 13, 123–129. [Google Scholar]
- Kim, H.H.; Kang, S.M.; Park, J.S.; Park, S.W.; Jeon, J.H.; Lee, J.H.; Cha, S.S.; Park, C.G. Performance evaluation of porous Hwang-toh concrete using blast furnace slag cement. J. Korean Soc. Agric. Eng. 2010, 52, 9–17. [Google Scholar] [CrossRef]
- Kim, S.C.; Lee, H.J.; Park, B.J. Heat budget analysis of light thin layer green roof planted with Zoysia japonica. J. Korean Inst. Landsc. Archit. 2012, 40, 190–197. [Google Scholar] [CrossRef]
- Korea Environment Institute. Impacts of Green Spaces on Air Quality; Korea Environment Institute: Seoul, Korea, 2007.
- Lee, C.W.; Kim, S.B.; Mun, H.S. A study on the analysis of temperature reduction effect by the types of the green roof. J. Korean Hous. Assoc. 2011, 22, 25–33. [Google Scholar] [CrossRef]
- Lee, S.T.; Kim, J.S. Temperature changes of indoor and outdoor by grass planting block in planting of roof area. Korean J. Environ. Restor. Technol. 2004, 7, 54–60. [Google Scholar]
- Oh, R.O.; Jeon, J.H.; Kim, C.S.; Kim, H.H.; Kwon, W.S. Physical Mechanical and Temperature Properties of Fiber Reinforced Porous Green Roof Hwang-toh Concrete. J. Korean Soc. Agric. Eng. 2013, 55, 65–72. [Google Scholar]
- Seoul Metropolitan Government. Manual of Management and Construction Green Roof System; Seoul Metropolitan Government: Seoul, Korea, 2007.
- Yang, B.E. Green roof technology of Korea. Korean J. Environ. Restor. Technol. 2004, 7, 1–7. [Google Scholar]
- Sung, C.Y.; Kim, Y.I. Experimental study on pH reduction by neutralization treatment and curing methods of porous concrete for planting. J. Korean Soc. Agric. Eng. 2002, 44, 99–106. [Google Scholar]
- Sung, C.Y.; Kim, Y.I. Experimental study on development of plantable concrete block using rice straw ash and application for inclined plane. J. Korean Soc. Agric. Eng. 2003, 45, 107–114. [Google Scholar]
- Youn, J.N.; Sung, C.Y.; Kim, Y.I. Physical and mechanical properties of porous concrete using waste activated carbon. J. Korean Soc. Agric. Eng. 2009, 51, 21–27. [Google Scholar] [CrossRef]
- Kim, H.H.; Kim, C.S.; Jeon, J.H.; Park, C.G. Effects on the Physical and Mechanical Properties of Porous Concrete for Plant Growth of Blast Furnace Slag, Natural Jute Fiber, and Styrene Butadiene Latex Using a Dry Mixing Manufacturing Process. Materials 2016, 9, 84. [Google Scholar] [CrossRef]
- Kim, H.H.; Park, C.G. Plant Growth and Water Purification of Porous Vegetation Concrete Formed of Blast Furnace Slag, Natural Jute Fiber and Styrene Butadiene Latex. Sustainability 2016, 8, 386. [Google Scholar] [CrossRef]
- Kim, H.H.; Park, C.G. Performance Evaluation and Field Application of Porous Vegetation Concrete Made with By-Product Materials for Ecological Restoration Projects. Sustainability 2016, 8, 294. [Google Scholar] [CrossRef]
- Lee, J.H.; Park, C.G. Effect of blast furnace slag, hwang-toh and reinforcing fibers on the physical and mechanical properties of porous concrete using blast furnace slag coarse aggregate. J. Korean Soc. Agric. Eng. 2010, 52, 53–60. [Google Scholar] [CrossRef]
- Nature and Environment Co., Ltd. Porous Vegetation Block Manufacturing Technology Using Blast Furnace Slag Cement, Hwang-toh and Recycled Aggregate; NET No. 0078; Ministry of Science and Technology: Seoul, Korea, 2006.
- Lee, J.H.; Park, J.S.; Park, C.G. Effect of Reinforcing Fiber on Mechanical Properties and Chemical Resistance of Porous Concrete with Hwang-toh. J. Korean Soc. Agric. Eng. 2011, 31, 105–113. [Google Scholar]
- Neville, A.M. Properties of Concrete; Longman: Harlow, UK, 1995. [Google Scholar]
- Standard Test Method for Unit Weight of Structural Light Weight Concrete, KS F 2462; Korea Standard Service Network: Seoul, Korea, 2016.
- Standard Test Method for Compressive Strength of Concrete, KS F 2405; Korea Standard Service Network: Seoul, Korea, 2010.
- Korea Ministry of Environment. River Living Environment Standard Enforcement Decree of the Framework Act on Environmental Policy, Environmental Standards Article 2, River and Lake Water Quality Standard; Korea Ministry of Environment: Seoul, Korea, 2013.













| SiO2 | Al2O3 | Fe2O3 | CaO | MgO | K2O | Na2O | MnO | TiO2 | F2O3 |
|---|---|---|---|---|---|---|---|---|---|
| 61.4 | 15.1 | 8.62 | 6.42 | 1.54 | 0.76 | 1.73 | 0.5 | 0.5 | 1.1 |
| SiO2 | Al2O3 | Fe2O3 | CaO | MgO | MnO | TiO | S |
|---|---|---|---|---|---|---|---|
| 33.1 | 13.9 | 0.29 | 42.4 | 6.1 | 0.4 | 0.96 | 0.66 |
| Density (g/mm3) | Absorption Ratio (%) | Fineness Modulus | 4.76 mm Sieve Passing Percentage (%) |
|---|---|---|---|
| 2.20 | 0.70 | 6.80 | - |
| Modulus of Elasticity (GPa) | Density (g/mm3) | Fiber Length (mm) | Tensile Strength (MPa) |
|---|---|---|---|
| 1.1 × 103 | 1.26 | 6 | 686 |
| Type of Mix | Unit Mass (kg/m3) | ||||||
|---|---|---|---|---|---|---|---|
| Cement | BFS | Red Clay | Water | BFS agg. | PVA Fiber | ||
| No. 1 | Plain | 322.50 | - | - | 81.50 | 1450 | 0.00 |
| Fiber | 322.50 | - | - | 81.50 | 1450 | 1.26 | |
| No. 2 | Plain | 225.75 | 96.75 | - | 81.50 | 1450 | 0.00 |
| Fiber | 225.75 | 96.75 | - | 81.50 | 1450 | 1.26 | |
| No. 3 | Plain | 161.25 | 161.25 | - | 81.50 | 1450 | 0.00 |
| Fiber | 161.25 | 161.25 | - | 81.50 | 1450 | 1.26 | |
| No. 4 | Plain | 258.00 | - | 64.50 | 81.50 | 1450 | 0.00 |
| Fiber | 258.00 | - | 64.50 | 81.50 | 1450 | 1.26 | |
| No. 5 | Plain | 161.25 | 96.75 | 64.50 | 81.50 | 1450 | 0.00 |
| Fiber | 161.25 | 96.75 | 64.50 | 81.50 | 1450 | 1.26 | |
| No. 6 | Plain | 96.75 | 161.25 | 64.50 | 81.50 | 1450 | 0.00 |
| Fiber | 96.75 | 161.25 | 64.50 | 81.50 | 1450 | 1.26 | |
| No. 7 | Plain | 225.70 | - | 96.75 | 81.50 | 1450 | 0.00 |
| Fiber | 225.70 | - | 96.75 | 81.50 | 1450 | 1.26 | |
| No. 8 | Plain | 128.95 | 96.75 | 96.75 | 81.50 | 1450 | 0.00 |
| Fiber | 128.95 | 96.75 | 96.75 | 81.50 | 1450 | 1.26 | |
| No. 9 | Plain | 64.45 | 161.25 | 96.75 | 81.50 | 1450 | 0.00 |
| Fiber | 64.45 | 161.25 | 96.75 | 81.50 | 1450 | 1.26 | |
| Properties | Values |
|---|---|
| Dimension | 250 × 20 × 80 mm |
| Weight | Less than 8 kg/ea |
| Compressive strength | More than 8 MPa |
| Void ratio | More than 20% |
| Location of Collection Tanks | Rainwater Collection Amount |
|---|---|
| A | 221.17 L |
| B | 119.24 L |
| Total | 334.41 L |
| Class Levels | Standard (Unit: mg/L) | |||||||||
|---|---|---|---|---|---|---|---|---|---|---|
| pH | Biochemical Oxygen Demand | Chemical Oxygen Demand | Total Organic Carbon | Suspended Solid | Dissolved Oxygen | Total Phosphorus | Escherichia coli (No. of Coliforms/100 mL) | |||
| Total Coliforms | Fecal Coliform | |||||||||
| Very good | Ia | 6.5~8.5 | ≤1 | ≤2 | ≤2 | ≤25 | 7.5≤ | ≤0.02 | ≤50 | ≤10 |
| Good | Ib | 6.5~8.5 | ≤2 | ≤4 | ≤3 | ≤25 | 5.0≤ | ≤0.04 | ≤500 | ≤100 |
| Slightly good | II | 6.5~8.5 | ≤3 | ≤5 | ≤4 | ≤25 | 5.0≤ | ≤0.1 | ≤1000 | ≤200 |
| Medium | III | 6.5~8.5 | ≤5 | ≤7 | ≤5 | ≤25 | 5.0≤ | ≤0.2 | ≤5000 | ≤1000 |
| Slightly bad | IV | 6.0~8.5 | ≤8 | ≤9 | ≤6 | ≤100 | 2.0≤ | ≤0.3 | ||
| Bad | V | 6.0~8.5 | ≤10 | ≤11 | ≤8 | Waste not floating on the water | 2.0≤ | ≤0.5 | ||
| Very bad | VI | 10< | 11< | 8< | 2.0> | 0.5< | ||||
| Location | SS | BOD | COD | pH | T-P | DO |
|---|---|---|---|---|---|---|
| Level IV (Agricultural water) | ≤100 | ≤8 | ≤9 | 6.0~8.5 | ≤0.3 | 2≤ |
| A | 6.00 | 1.60 | 7.60 | 7.10 | 0.065 | 8.50 |
| B | 2.40 | 4.30 | 8.70 | 6.70 | 1.664 | 8.50 |
© 2017 by the authors. Licensee MDPI, Basel, Switzerland. This article is an open access article distributed under the terms and conditions of the Creative Commons Attribution (CC BY) license ( http://creativecommons.org/licenses/by/4.0/).
Share and Cite
Kim, H.-H.; Kim, C.-S.; Jeon, J.-H.; Lee, S.-K.; Park, C.-G. Performance Evaluation and Field Application of Red Clay Green Roof Vegetation Blocks for Ecological Restoration Projects. Sustainability 2017, 9, 357. https://doi.org/10.3390/su9030357
Kim H-H, Kim C-S, Jeon J-H, Lee S-K, Park C-G. Performance Evaluation and Field Application of Red Clay Green Roof Vegetation Blocks for Ecological Restoration Projects. Sustainability. 2017; 9(3):357. https://doi.org/10.3390/su9030357
Chicago/Turabian StyleKim, Hwang-Hee, Chun-Su Kim, Ji-Hong Jeon, Seung-Kee Lee, and Chan-Gi Park. 2017. "Performance Evaluation and Field Application of Red Clay Green Roof Vegetation Blocks for Ecological Restoration Projects" Sustainability 9, no. 3: 357. https://doi.org/10.3390/su9030357
APA StyleKim, H.-H., Kim, C.-S., Jeon, J.-H., Lee, S.-K., & Park, C.-G. (2017). Performance Evaluation and Field Application of Red Clay Green Roof Vegetation Blocks for Ecological Restoration Projects. Sustainability, 9(3), 357. https://doi.org/10.3390/su9030357
