Estimating Air Particulate Matter Using MODIS Data and Analyzing Its Spatial and Temporal Pattern over the Yangtze Delta Region
Abstract
:1. Introduction
2. Data and Methods
2.1. Study Area
2.2. Data
2.2.1. MODIS Data
2.2.2. Ground-Based Observation Data
2.2.3. Meteorological Data
2.3. Method
2.3.1. Correction of Vertical Elevation
2.3.2. Correction for Relative Humidity
2.3.3. Statistical Model
2.3.4. Model Validation
3. Results and Analysis
3.1. Validation of MODIS AOT Products
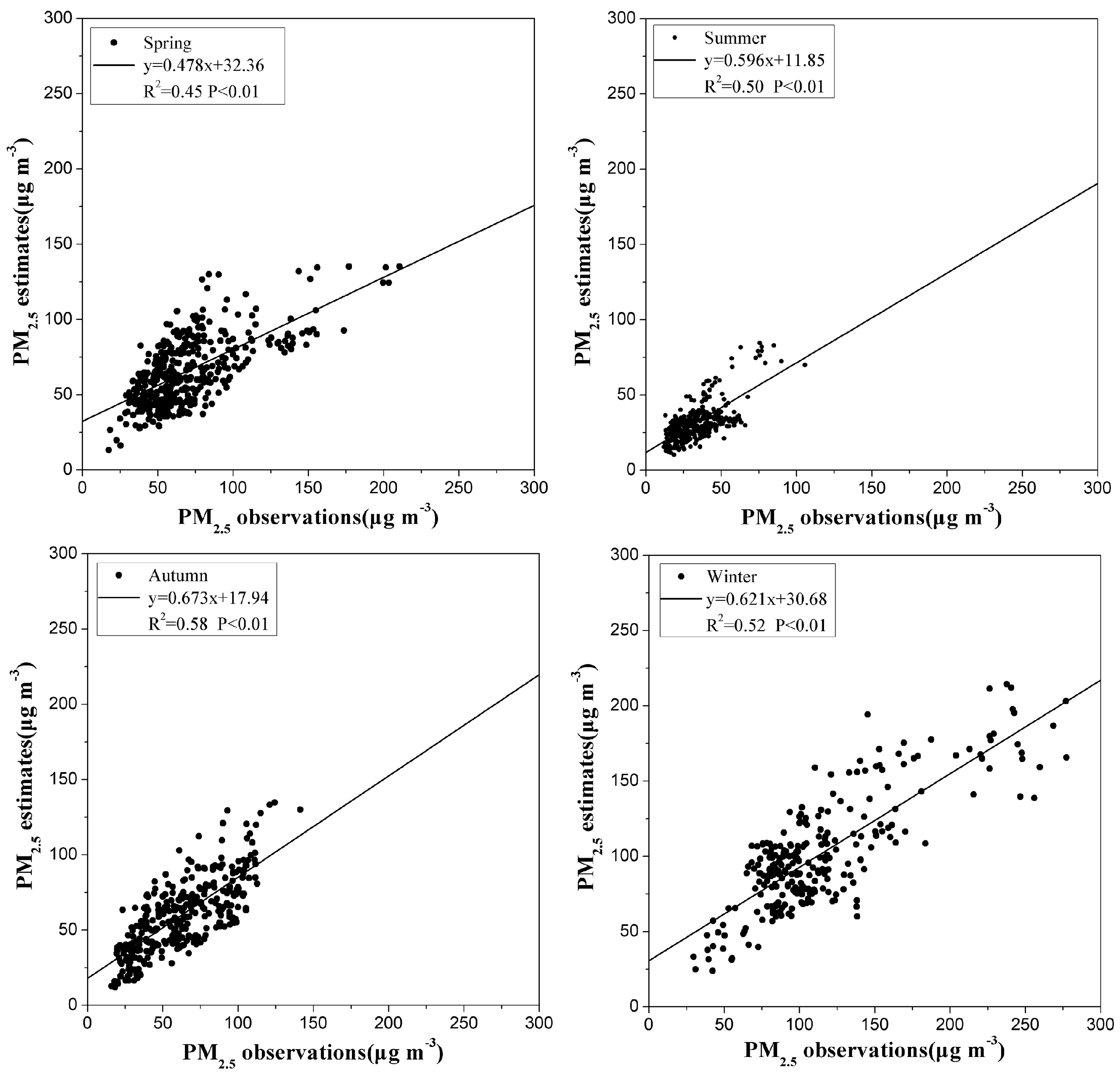
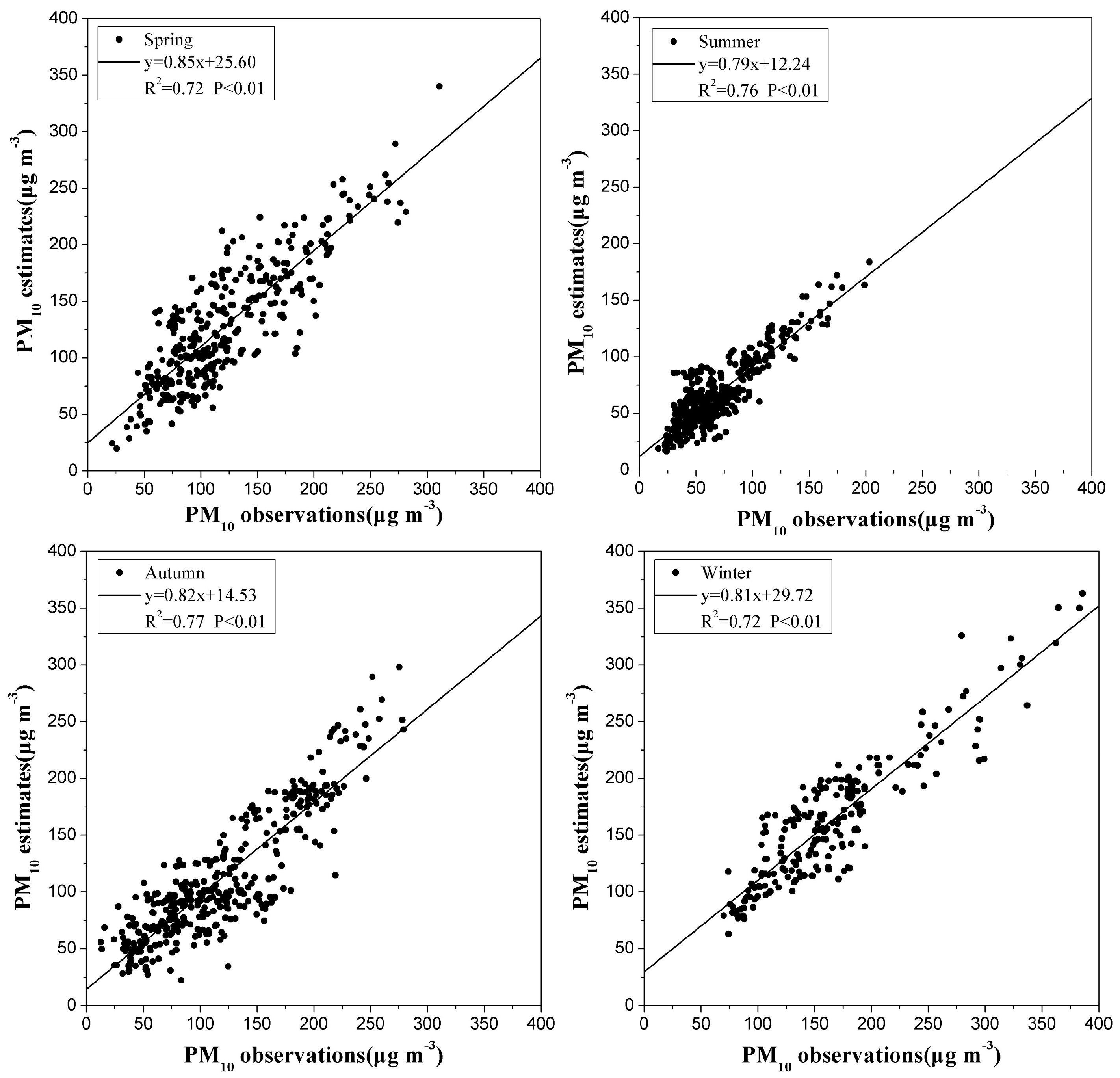
3.2. PM Estimation Model and Accuracy Validation
3.3. Spatial and Temporal Variation of Air PM Concentrations over the Yangtze Delta Region
3.3.1. Temporal Variation of Air PM Concentrations over the Yangtze Delta Region
3.3.2. Spatial Variation of Air PM over the Yangtze Delta Region
3.3.3. Variation of Atmospheric PM Concentrations over Typical Cities in the Yangtze Delta Region
4. Conclusions
- (1)
- We validated the MODIS AOT data based on ground-based monitoring AOT data; the results show that aerosol optical characteristic research and atmospheric PM concentration estimate by using satellite remote sensing retrieved MODIS AOT data has applicability over the Yangtze delta.
- (2)
- We developed seasonal estimation model of PM2.5 and PM10 mass concentration based on satellite remote sensing. The precision validation suggest that we can monitor PM2.5 and PM10 on region scale by using satellite remote sensing.
- (3)
- PM concentrations over the Yangtze delta presented an obvious one year cycle variation from 2000 to 2013. The largest value often appeared in January–February, and the smallest often appeared in July–August, but in 2013 the largest value appeared in December. The mean seasonal value of PM concentrations has the highest and lowest value in winter and summer, respectively. PM concentrations over main cities and rural areas have increased gradually year by year, and PM concentrations are increasing faster in urban areas than in rural areas.
Acknowledgments
Author Contributions
Conflicts of Interest
References
- Lohmann, U.; Lesins, G. Stronger constraints on the anthropogenic indirect aerosol effect. Science 2002, 298, l012–1015. [Google Scholar] [CrossRef] [PubMed]
- Penner, J.E.; Dong, X.Q.; Chen, Y. Observational evidence of a change in radiative forcing due to the indirect aerosol effect. Nature 2004, 427, 231–234. [Google Scholar] [CrossRef] [PubMed]
- Li, C.C.; Mao, J.T.; Liu, Q.H.; Liu, X.Y.; Liu, G.Q.; Zhu, A.H. Research on the Air Pollution in Beijing and Its Surroundings with MODIS AOD Products. Chin. J. Atmos. Sci. 2003, 27, 869–880. [Google Scholar]
- Chu, D.A.; Kaufman, Y.J.; Zibordi, G.; Chern, J.D.; Mao, J.T.; Cheng, C.C.; Holben, B.N. Global monitoring of air pollution over land from the Earth Observing System-Terra Moderate Resolution Imaging Spectroradiometer (MODIS). J. Geophys. Res. 2003, 108. [Google Scholar] [CrossRef]
- Slater, J.F.; Dibb, J.E.; Campbell, J.W.; Moore, T.S. Physical and chemical properties of surface and column aerosols at a rural New England site during MODIS overpass. Remote Sens. Environ. 2004, 92, 173–180. [Google Scholar] [CrossRef]
- Li, C.C.; Mao, J.T.; Alexis, K.H. Application of MODIS AOD Products in Research of Air Pollution in Beijing. China Sci. 2005, 35, 177–186. [Google Scholar]
- Engel-Cox, J.A.; Holloman, C.H.; Coutant, B.W. Qualitative and quantitative evaluation of MODIS satellite censor data for regional and urban scale air quality. Atoms. Environ. 2004, 38, 2495–2509. [Google Scholar] [CrossRef]
- Gupta, P.; Christopher, S.A.; Wang, J. Satellite remote sensing of PM and air qualliy assessment over global cities. Atmos. Environ. 2006, 40, 5880–5892. [Google Scholar] [CrossRef]
- Liu, Y.; Franklin, M.; Kahn, R.; Koutrakis, P. Using aerosol optical thickness to predict ground-level PM2.5 concentrarions in the St. Louis area: A comparison between MISR and MODIS. Remote Sens. Environ. 2007, 107, 33–44. [Google Scholar] [CrossRef]
- Hoff, R.M.; Christopher, S.A. Remote sensing of particulate pollution from space: Have we reached the promised land? Air Waste Manag. Assoc. 2009, 59, 645–675. [Google Scholar]
- Tao, J.H.; Zhang, M.G.; Chen, L.F.; Wang, Z.; Lin, F.S.; Han, X.; Zou, M.M. A method to estimate concentrations of surface-level particulate matter using satellite-based aerosol optical thickness. Sci. China Earth Sci. 2013, 56, 1422–1433. [Google Scholar] [CrossRef]
- Chudonvshky, A.; Tang, C.; Lyaputin, A.; Wang, Y.; Schwartz, J.; Koutrakis, P. A critical assessment of high-resolution aerosol optical depth retrievals for fine particulate matter pridictions. Atoms. Chem. Phys. 2013, 13, 10907–10917. [Google Scholar] [CrossRef]
- Gupta, P.; Christopher, S.A. Partivulate matter air quality assessment using integrated surface, satellite, and meteorological products: 2. A neural network approach. J. Geophys. Res. 2009, 114, D20205. [Google Scholar] [CrossRef]
- Emili, E.; Lyapustin, A.; Wang, Y.; Popp, C.; Korkin, S.; Zebisch, M. High spatial resolution aerosol retrieval with MAIAC: Application to mountain regions. J. Geophys. Res. 2011, 116, D23211. [Google Scholar] [CrossRef]
- Wu, D.; Lau, A.K.-H.; Leung, Y.; Bi, X.; Li, F.; Tan, H.; Liao, B.; Chen, H. Hazy weather formation and visibility deterioration resulted from fine particulate(PM2.5) populations in Guangdong and Hong Kong. Huanjing Kexue Xuebao/Acta Sci. Circumst. 2012, 32, 2660–2669. [Google Scholar]
- Kanabkaew, T.; Tanre, D.; Rmer, L.; Vermote, E.F.; Chu, A.; Holben, B.N. Operation remote sensing of troposheric aerosol over land from EOS MODerate resolution imaging spectroradiometer. J. Geophys. Res. 2013, 6, 65–70. [Google Scholar]
- Acherman, S.; Strabala, K.; Menzel, W.; Frey, R.; Moeller, C.; Gumley, L. Discriminating clear sky from clouds with MODIS. J. Geophys. Res. 1998, 103, 32141–32157. [Google Scholar] [CrossRef]
- Kloog, I.; Chudnovsky, A.A.; Just, A.C.; Nordio, F.; Koutrakis, P.; Coull, B.A.; Lyapustin, A.; Wang, Y.; Schwartz, J. A new hybrid spatio-temporal model of estimating daily multi-year PM2.5 concentration across northeastern USA using high resolution aerosol optical depth data. Atmos. Environ. 2014, 95, 581–590. [Google Scholar] [CrossRef]
- Lin, C.Q.; Li, Y.; Yuan, Z.B.; Alexis, K.H.; Deng, X.J.; Tse, T.K.L.; Fung, J.C.H.; Li, C.C.; Li, Z.Y.; Lu, X.C.; et al. Estimation of long-term population exposur to PM2.5 for dense urban areas using 1-km MODIS data. Remote Sens. Environ. 2016, 179, 13–22. [Google Scholar] [CrossRef]
- Engel-Cox, J.A.; Hoff, R.; Rogers, M.R.; Dimmick, F.; Rush, A.C.; Szykman, J.J.; Saadi, J.A.; Chu, D.A.; Zell, E.R. Integrating lidar and satellite optical depth with ambient monitoring for 3-dimensional particulate characterization. Atmos. Environ. 2006, 40, 530–543. [Google Scholar] [CrossRef]
- Tsai, T.C.; Jeng, Y.J.; Chu, D.A.; Chen, J.P.; Chang, S.C. Analysis of the relationship between MODIS aerosol optical depth and particulate matter from 2006 to 2008. Atmos. Environ. 2011, 45, 4777–4788. [Google Scholar] [CrossRef]
- Estellés, V.; Martínez-Lozano, J.A.; Pey, J.; Sicard, M.; Querol, X.; Esteve, A.R.; Utrillas, M.P.; Gangoiti, G.; Alastuey, A.; Rocadenbosch, F. Study of the correlation between columnar aerosol burden, suspended matter at ground and chemical components in a background European environment. J. Geophys. Res. Atmos. 2012, 117, D04201. [Google Scholar] [CrossRef]
- Liu, Y.; Paciorek, C.J.; Koutrakis, P. Estimating regional spatial and temporal variability of PM2.5 cncentrations using satellite data, meteorology, and land use information. Environ. Health Persp. 2009, 117, 886–892. [Google Scholar] [CrossRef] [PubMed]
- Hu, X.F.; Waller, L.A.; Al-Hamdan, M.Z.; Crosson, W.L.; Ester, M.G., Jr.; Estes, S.M.; Quattrochi, D.A.; Sarnat, J.A.; Liu, Y. Estimation ground-level PM2.5 concentrations in the southeastern U.S. using geographically weighted regression. Environ. Res. 2013, 121, 1–10. [Google Scholar] [CrossRef] [PubMed]
- Wang, Z.F.; Chen, L.F.; Tao, J.H.; Zhang, Y.; Lin, S. Satellite-based estimation of regional particulate matter (PM) in Beijing using vertical-and-RH correcting method. Remote Sens. Environ. 2010, 114, 50–63. [Google Scholar] [CrossRef]
- Tian, J.; Chen, D. A semi-empirical model for predicting hourly ground-level fine particulater matter (PM2.5) concentration in southern ontario from satellite remote sensing and ground-based meteorological measurements. Remote Sens. Environ. 2010, 114, 221–229. [Google Scholar] [CrossRef]
- Gupta, P.; Christopher, S.A. Particulate matter air quality assessment using integrated surface, satellite, and meteorological products: Multiple regression approach. J. Geophys. Res. 2009, 114, D14205. [Google Scholar] [CrossRef]
- Paciorek, C.J.; Liu, Y. HEI Health Review Committee Assessment and Statistical Modeling of the Relationship between Remotely Sensed Aerosol Optical Depth and PM2.5 in the Eastern United States. Health Eff. Inst. 2012, 167, 85–91. [Google Scholar]
- Lee, H.J.; Liu, Y.; Coull, B.; Schwartz, J.; Koutrakis, P. Anovel calibration approach of MODIS AOD data to predict PM2.5 concentrations. Atmos. Chem. Phys. 2011, 11, 7991–8002. [Google Scholar] [CrossRef]
- Chudnovsky, A.; Lee, H.J.; Kostinski, A.; Kotlov, T.; Koutrakis, P. Prediction of daily fine particulate matter concentrations using aerosol optical depth retrievals from the Geostationary Operational Environmental Satellite. J. Air Waste Manag. 2012, 62, 1022–1031. [Google Scholar] [CrossRef]
- Shen, G.F.; Yuan, S.Y.; Xie, Y.N.; Xia, S.J.; Li, L.; Yao, Y.K.; Qiao, Y.Z.; Zhang, J.; Zhao, Q.Y.; Ding, A.J.; et al. Ambient levels and temporal variations of PM2.5 and PM10 at a residential site in the mega-city, Nanjing, in the western Yangtze River delta, China. J. Environ. Sci. Health 2014, 49, 171–178. [Google Scholar] [CrossRef] [PubMed]
- Levy, R.C.; Remer, L.A.; Kleidman, R.G. Global evaluation of the Collection 5 MODIS dark-target aerosol products over land. Atmos. Chem. Phys. 2010, 10, 10399–10420. [Google Scholar] [CrossRef]
- Search for Date Products. Available online: http://ladsweb.nascom.nasa.gov/data/search.html (accessed on 11 September 2016).
- Liu, Z.H.; Li, L.T.; Tim, R.M.; Van Niel, T.G.; Yang, Q.K.; Li, R. Introduction of the professional Interpolation Sofeware for Meteorology Data: ANUSPLINN. Meteorol. Mon. 2008, 34, 92–100. [Google Scholar]
- Lin, C.Q.; Li, Y.; Yuan, Z.B.; Alexis, K.H.; Li, C.C.; Jimmy, C.H. Using satellite remote sensing data to estimate the high-resolution distribution of ground-level PM2.5. Remote Sens. Environ. 2015, 156, 117–128. [Google Scholar] [CrossRef]
- Xu, X.R. Remote Sensing Physical; Peking University Press: Beijing, China, 2005; pp. 298–299. [Google Scholar]
- He, Q.S.; Mao, J.T. Observation of Urban Mixed Layer at Beijing Using a Micropulse Lidar. Acta Meteorol. Sin. 2005, 63, 36–43. [Google Scholar]
- Pelletier, B.; Sater, R.; Vidot, J. Retrieving of particulate matter from optical measurment: A semiparametric approach. J. Geophys. Res. 2007, 112, 1–18. [Google Scholar] [CrossRef]
- Meng, Q.Z.; Feng, Y. Calculation and Analysis of the Thickness of Atmospheric Mixed Layer above Chengdu. J. Chengdu Inst. Meteorol. 1996, 11, 73–81. [Google Scholar]
- Chen, S.Y.; Xi, D.L.; Zhang, B.N.; Hao, R.X.Z.; Zheng, B.; Han, T.Y. Study on the Determingation and Calculating Method of Atmospheric Mixing Layer Height. China Environ. Sci. 1997, 17, 374–383. [Google Scholar]
- Sun, J.Q.; Zhang, H.F. A Theortical Ananlysis of Remote Measurement of Mass Concentration of Atmospheric Dust Using Lidar. Acta Sci. Circumst. 1982, 2, 36–43. [Google Scholar]
- Han, D.W.; Liu, W.Q.; Lu, Y.H.; Zhao, N.J.; Yang, H.; Zhang, Y.J. Retrieval Method for Aerosol Mass Concentration Vertical Distribution. Chin. J. Lasers 2006, 33, 1567–1573. [Google Scholar]
- Malm, W.C.; Day, D.E.; Kreidenweis, S.M. Light scattering characteristics of aerosol as a function of relative humidity: Part I—A comparison of measured scattering and aerosol concentrationss using the theoretical models. J. Air Waste Manag. Assoc. 2000, 50, 686–700. [Google Scholar] [CrossRef] [PubMed]
- White, W.H.; Roberts, P.T. On the nature and origins of visibility-reducing aerosols in the Los Angeles air basin. Atmos. Environ. 1977, 11, 803–812. [Google Scholar] [CrossRef]









| Observation Site | Longitude (°) | Latitude (°) | Slope | Intercept | R2 | p |
|---|---|---|---|---|---|---|
| SHM | 121.397 | 31.131 | 1.13 | 0.030 | 0.78 | <0.01 |
| HZC | 120.083 | 30.263 | 0.96 | 0.096 | 0.86 | <0.01 |
| HZZ | 119.745 | 30.416 | 0.98 | −0.120 | 0.77 | <0.01 |
| NB | 121.583 | 29.867 | 0.77 | 0.290 | 0.76 | <0.01 |
| QDH | 119.012 | 29.550 | 0.75 | −0.030 | 0.71 | <0.01 |
| LA | 119.442 | 30.317 | 0.62 | −0.004 | 0.62 | <0.01 |
| a0 | a1 | a2 | a3 | a4 | R2 | p | STD | ||
|---|---|---|---|---|---|---|---|---|---|
| PM2.5 | Spring | 366.69 | 179.55 | −0.51 | −0.28 | −19.72 | 0.48 | <0.01 | 17.15 |
| Summer | 0.00 | 106.4 | −4.73 | 1.23 | −15.83 | 0.62 | <0.01 | 11.80 | |
| Autumn | 0.00 | 258.74 | 3.03 | 3.73 | −50.27 | 0.61 | <0.01 | 15.21 | |
| Winter | 0.00 | 356.42 | 8.6 | 6.98 | −86.07 | 0.52 | <0.01 | 21.59 | |
| PM10 | Spring | 33.39 | 325.96 | 1.07 | 0.03 | −22.89 | 0.57 | <0.01 | 22.17 |
| Summer | 0.00 | 204.6 | −11.59 | 2.57 | −23.17 | 0.56 | <0.01 | 15.40 | |
| Autumn | 0.00 | 302.97 | 7.76 | 8.3 | −80.18 | 0.64 | <0.01 | 18.15 | |
| Winter | 0.00 | 341.07 | 20.14 | 8.2 | −93.91 | 0.68 | <0.01 | 25.50 |
| Year | PM2.5 | PM10 | ||||||
|---|---|---|---|---|---|---|---|---|
| Spring | Summer | Autumn | Winter | Spring | Summer | Autumn | Winter | |
| 2000 | 47.17 | 21.74 | 29.01 | 0.00 | 78.49 | 39.25 | 42.07 | 0.00 |
| 2001 | 47.12 | 20.75 | 38.77 | 51.85 | 78.97 | 37.68 | 41.19 | 86.77 |
| 2002 | 34.28 | 22.42 | 52.46 | 53.84 | 57.54 | 40.86 | 72.29 | 93.54 |
| 2003 | 39.40 | 34.17 | 40.64 | 58.52 | 63.16 | 52.36 | 58.11 | 99.30 |
| 2004 | 46.80 | 30.80 | 50.04 | 66.95 | 77.57 | 56.33 | 69.80 | 113.20 |
| 2005 | 47.06 | 29.79 | 46.69 | 55.28 | 77.64 | 54.38 | 65.30 | 100.60 |
| 2006 | 54.20 | 27.24 | 44.97 | 57.15 | 90.86 | 49.51 | 63.15 | 97.17 |
| 2007 | 54.93 | 30.42 | 49.68 | 59.28 | 92.16 | 56.17 | 69.07 | 101.13 |
| 2008 | 52.81 | 28.36 | 48.65 | 73.49 | 88.29 | 52.40 | 71.91 | 123.65 |
| 2009 | 49.88 | 31.73 | 44.37 | 56.81 | 82.69 | 58.98 | 62.51 | 98.71 |
| 2010 | 40.10 | 28.43 | 41.44 | 56.85 | 65.82 | 52.08 | 64.25 | 103.01 |
| 2011 | 61.27 | 25.67 | 45.19 | 73.47 | 102.44 | 47.15 | 63.62 | 125.77 |
| 2012 | 41.72 | 25.47 | 51.43 | 58.65 | 68.61 | 46.03 | 72.44 | 102.71 |
| 2013 | 47.97 | 22.85 | 41.58 | 64.55 | 79.22 | 39.53 | 61.04 | 107.61 |
© 2016 by the authors; licensee MDPI, Basel, Switzerland. This article is an open access article distributed under the terms and conditions of the Creative Commons Attribution (CC-BY) license (http://creativecommons.org/licenses/by/4.0/).
Share and Cite
Xu, J.; Jiang, H.; Xiao, Z.; Wang, B.; Wu, J.; Lv, X. Estimating Air Particulate Matter Using MODIS Data and Analyzing Its Spatial and Temporal Pattern over the Yangtze Delta Region. Sustainability 2016, 8, 932. https://doi.org/10.3390/su8090932
Xu J, Jiang H, Xiao Z, Wang B, Wu J, Lv X. Estimating Air Particulate Matter Using MODIS Data and Analyzing Its Spatial and Temporal Pattern over the Yangtze Delta Region. Sustainability. 2016; 8(9):932. https://doi.org/10.3390/su8090932
Chicago/Turabian StyleXu, Jianhui, Hong Jiang, Zhongyong Xiao, Bin Wang, Jian Wu, and Xin Lv. 2016. "Estimating Air Particulate Matter Using MODIS Data and Analyzing Its Spatial and Temporal Pattern over the Yangtze Delta Region" Sustainability 8, no. 9: 932. https://doi.org/10.3390/su8090932
APA StyleXu, J., Jiang, H., Xiao, Z., Wang, B., Wu, J., & Lv, X. (2016). Estimating Air Particulate Matter Using MODIS Data and Analyzing Its Spatial and Temporal Pattern over the Yangtze Delta Region. Sustainability, 8(9), 932. https://doi.org/10.3390/su8090932

