Analysis of Geo-Temperature Restoration Performance under Intermittent Operation of Borehole Heat Exchanger Fields
Abstract
:1. Introduction
2. Modeling
3. Model Validation
3.1. Heat Transfer Model inside the Boreholes

3.2. Experiment and Validation

| Item | Value |
|---|---|
| Borehole length, H | 100 m |
| Borehole radius, rb | 0.06 m |
| Internal pipe radius, ri | 0.014 m |
| External pipe radius, ro | 0.016 m |
| Thermal conductivity of pipe, λp | 0.6 W·m−1·K−1 |
| Thermal conductivity of soil, λs | 2.13 W·m−1·K−1 |
| Volumetric thermal capacity of soil, ρscs | 1.76 × 106 J·m−3·K−1 |
| Thermal conductivity of grout, λg | 2.4 W·m−1·K−1 |
| Thermal conductivity of water, λw | 0.6 W·m−1·K−1 |
| Volumetric thermal capacity of water, ρwcw | 4.2 × 106 J·m−3·K−1 |
| Fluid velocity inside pipe, u | 0.4 m·s−1 |


4. Results and Discussion
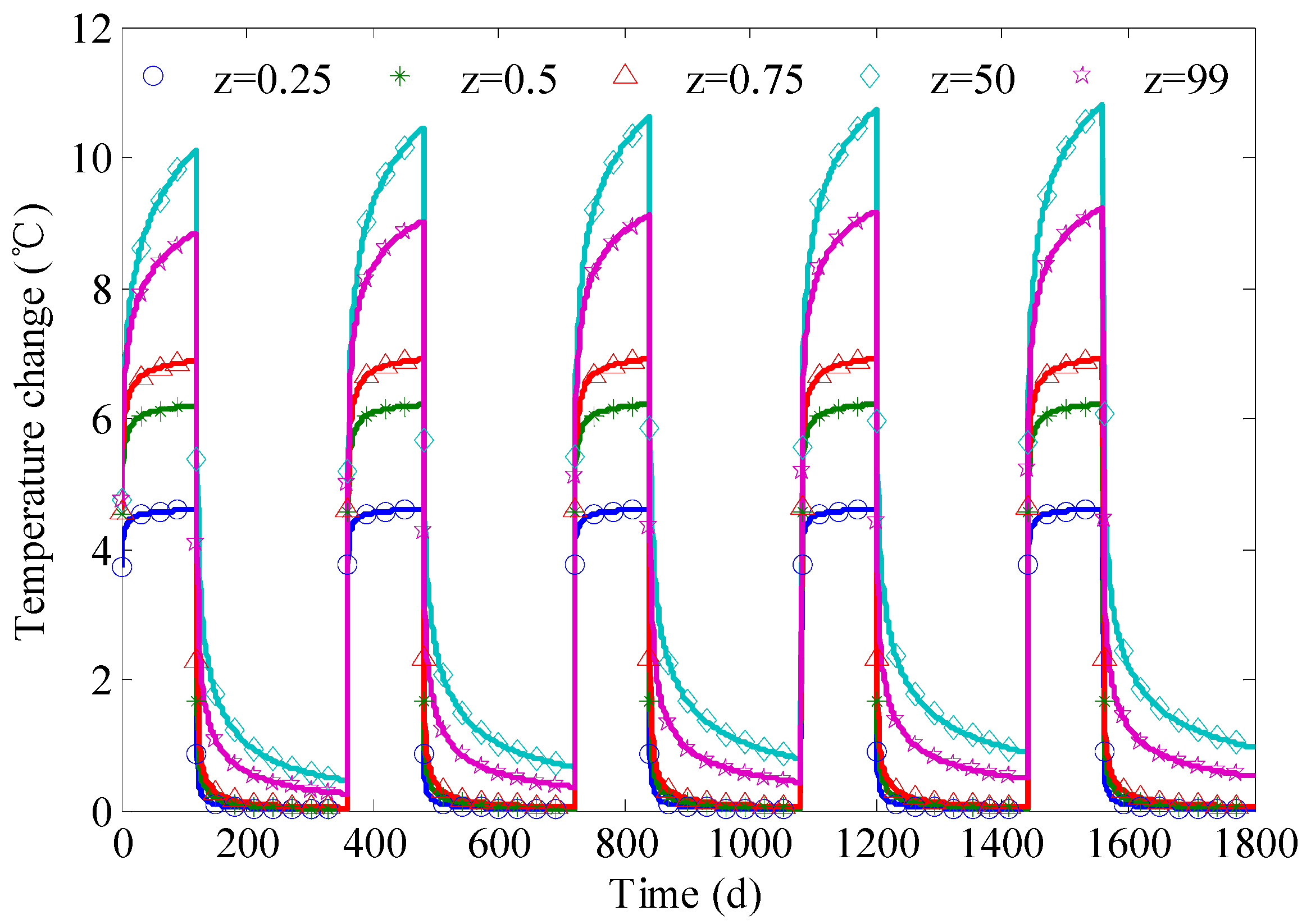
4.1. Soil Temperature Recovery at Different Depths of the BHE

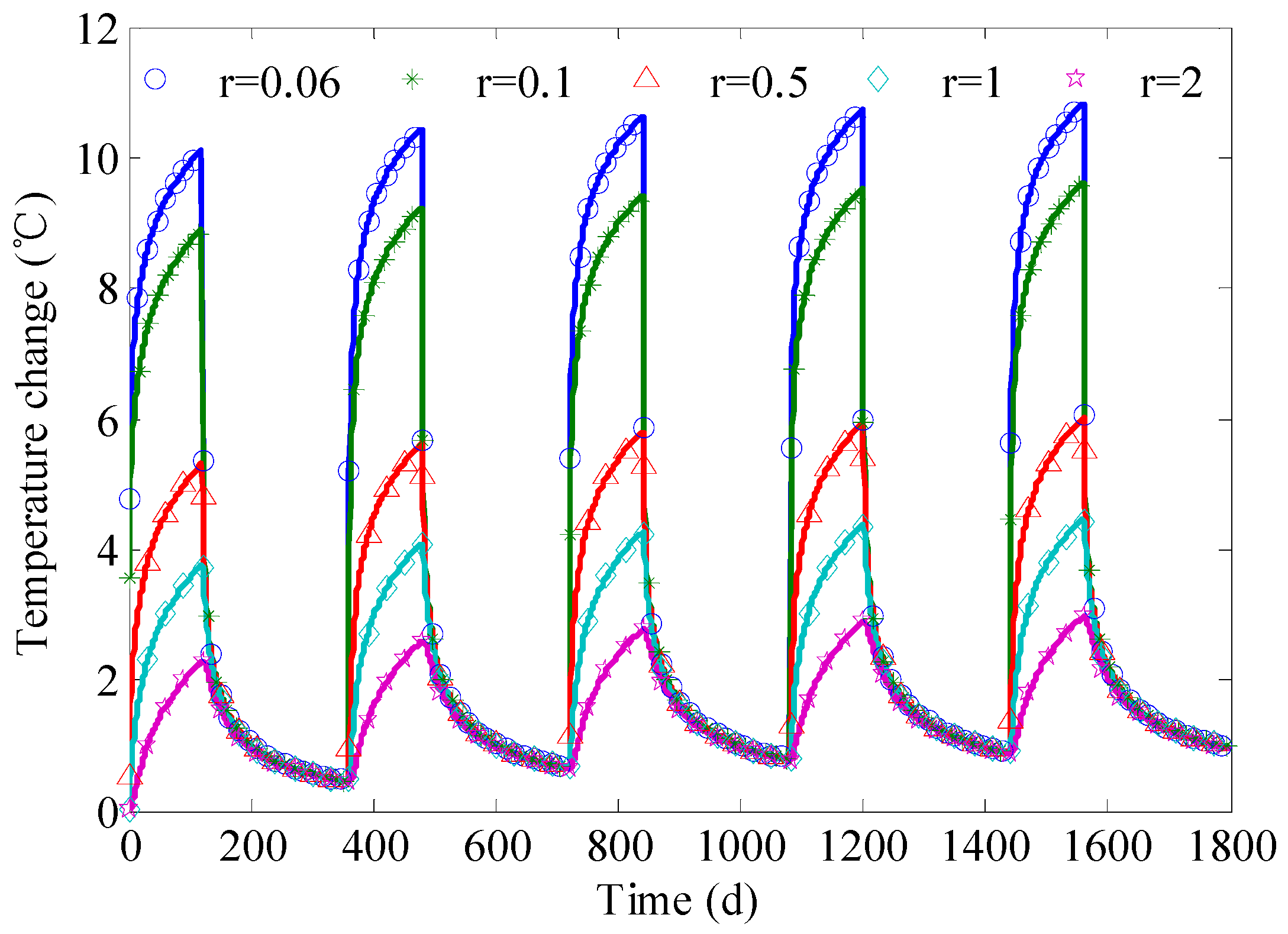
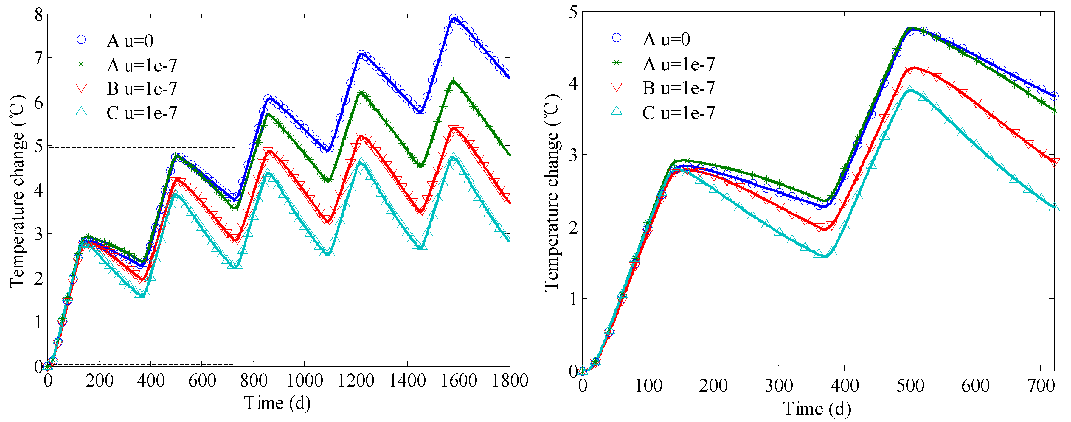
4.2. Geo-Temperature Recovery Characteristic at Different Distances from the BHE


4.3. Effect of BHE Spacing

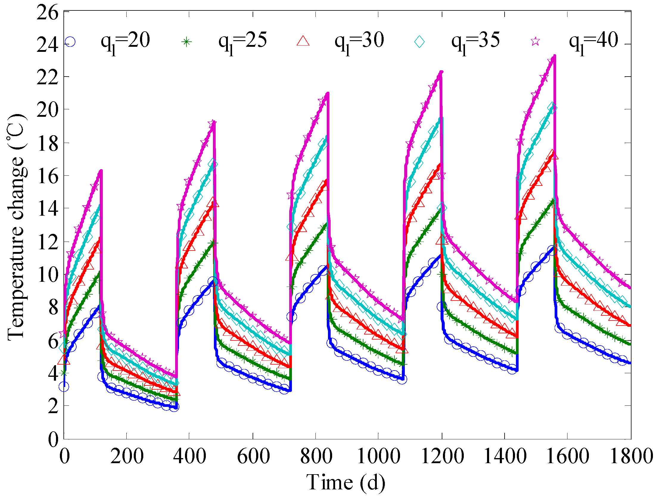
4.4. Effect of Heat Flow Rate per Unit Length

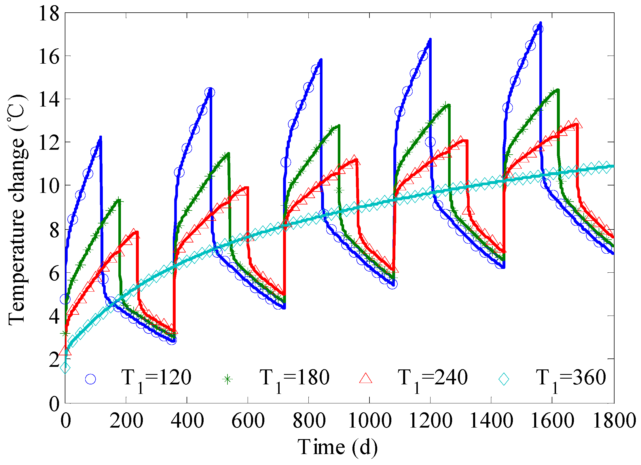
4.5. Effect of the Operation Mode

4.6. Effect of the Ground Water Flow on the Temperature Changes at Different Locations

4.7. Effect of Groundwater Flux

5. Conclusions
- (1)
- Due to the influence of the ground surface and the heat transfer along the borehole, the geo-temperature changes are smaller at the two ends of the BHE compared to the change in the middle. The heat transfer along the borehole significantly influences the geo-temperature restoration rate. Therefore, in the case of long-term operations, the axial effect should be taken into account.
- (2)
- Closer to the borehole wall, the amplitude variations of the soil temperature change are greater and the geo-temperature recovery is better.
- (3)
- With the increase of BHE spacing, the thermal interference between the BHEs decreases, the maximum soil temperature change is reduced, and the heat recovery improves. Thus, for long-term sustainability of a multiple BHE system with an unbalanced load, adequate borehole separation distance is essential.
- (4)
- The heat flow rate significantly influences the soil temperature change, but has no effect on the geo-temperature recovery rate. This rate only depends on the ground conditions, meteorological parameters, and other factors.
- (5)
- Compared to continuous operation with a low load, intermittent operation with a higher load performs better.
- (6)
- Groundwater flow accelerates the diffusion of heat to downstream. Therefore, if the BHE fields are arranged improperly, the groundwater flow can cause damage to the running of downstream BHE. For a long-term operation, the groundwater flow is beneficial to the geo-temperature recovery process even for downstream BHEs.
- (7)
- For a given point in the BHE fields, the greater the groundwater flux, the lower the temperature change and the better the geo-temperature recovery.
Acknowledgments
Author Contributions
Conflicts of Interest
References
- Capozza, A.; de Carli, M.; Zarrella, A. Design of borehole heat exchangers for ground-source heat pumps: A literature review, methodology comparison and analysis on the penalty temperature. Energy Build. 2012, 55, 369–379. [Google Scholar] [CrossRef]
- Koohi-Fayegh, S.; Rosen, M.A. On thermally interacting multiple boreholes with variable heating strength: Comparison between analytical and numerical approaches. Sustainability 2012, 4, 1848–1866. [Google Scholar] [CrossRef]
- Yang, H.; Cui, P.; Fang, Z. Vertical-borehole ground-coupled heat pumps: A review of models and systems. Appl. Energy 2010, 87, 16–27. [Google Scholar] [CrossRef]
- Yuan, Y.; Cao, X.; Sun, L.; Lei, B.; Yu, N. Ground source heat pump system: A review of simulation in China. Renew. Sustain. Energy Rev. 2012, 16, 6814–6822. [Google Scholar] [CrossRef]
- Li, S.; Yang, W.; Zhang, X. Soil temperature distribution around a U-tube heat exchanger in a multi-function ground source heat pump system. Appl. Therm. Eng. 2009, 29, 3679–3686. [Google Scholar] [CrossRef]
- Gao, J.; Zhang, X.; Liu, J.; Li, K.S.; Yang, J. Thermal performance and ground temperature of vertical pile-foundation heat exchangers: A case study. Appl. Therm. Eng. 2008, 28, 2295–2304. [Google Scholar] [CrossRef]
- Qian, H.; Wang, Y. Modeling the interactions between the performance of ground source heat pumps and soil temperature variations. Energy Sustain. Dev. 2014, 23, 115–121. [Google Scholar] [CrossRef]
- Yang, W.; Chen, Y.; Shi, M.; Spitler, J.D. Numerical investigation on the underground thermal imbalance of ground-coupled heat pump operated in cooling-dominated district. Appl. Therm. Eng. 2013, 58, 626–637. [Google Scholar] [CrossRef]
- ASHRAE. Commercial/Institutional Ground-Source Heat Pump Engineering Manual; American Society of Heating, Refrigerating and Air-Conditioning Engineerings Inc.: Atlanta, GA, USA, 1995. [Google Scholar]
- Yavuzturk, C.; Spitler, J.D. Comparative study of operating and control strategies for hybrid ground-source heat pump systems using a short time step simulation model. Ashrae Trans. 2000, 106, 192–209. [Google Scholar]
- Sayyadi, H.; Nejatolahi, M. Thermodynamic and thermoeconomic optimization of a cooling tower-assisted ground source heat pump. Geothermics 2011, 40, 221–232. [Google Scholar] [CrossRef]
- Qi, Z.; Gao, Q.; Liu, Y.; Yan, Y.Y.; Spitler, J.D. Status and development of hybrid energy systems from hybrid ground source heat pump in China and other countries. Renew. Sustain. Energy Rev. 2014, 29, 37–51. [Google Scholar] [CrossRef]
- Cao, X.; Yuan, Y.; Sun, L.; Lei, B.; Yu, N.; Yang, X. Restoration performance of vertical ground heat exchanger with various intermittent ratios. Geothermics 2015, 54, 115–121. [Google Scholar] [CrossRef]
- Ingersoll, L.R.; Plass, H.J. Theory of the ground pipe heat source for the heat pump. ASHVE Trans. 1948, 47, 339–348. [Google Scholar]
- Bernier, M.A. Ground-coupled heat pump system simulation. Ashrae Trans. 2001, 107, 605–616. [Google Scholar]
- Michopoulos, Α.; Κyriakis, Ν. Predicting the fluid temperature at the exit of the vertical ground heat exchangers. Appl. Energy 2009, 86, 2065–2070. [Google Scholar] [CrossRef]
- Lee, C.K. Effects of multiple ground layers on thermal response test analysis and ground-source heat pump simulation. Appl. Energy 2011, 88, 4405–4410. [Google Scholar] [CrossRef]
- Yavuzturk, C.; Spitler, J.D.; Rees, S.J. A transient two-dimensional finite volume model for the simulation of vertical U-tube ground heat exchangers. ASHRAE Trans. 1999, 105, 465–474. [Google Scholar]
- Javed, S.; Fahlén, P.; Claesson, J. Vertical ground heat exchangers: A review of heat flow models. In Proceedings of the Effstock 2009, Stockholm, Sweden, 14–17 June 2009.
- Cui, P.; Yang, H.; Fang, Z. Numerical analysis and experimental validation of heat transfer in ground heat exchangers in alternative operation modes. Energy Build. 2008, 40, 1060–1066. [Google Scholar] [CrossRef]
- Gao, Q.; Li, M.; Yu, M. Experiment and simulation of temperature characteristics of intermittently-controlled ground heat exchanges. Renew. Energy 2010, 35, 1169–1174. [Google Scholar] [CrossRef]
- Shang, Y.; Li, S.; Li, H. Analysis of geo-temperature recovery under intermittent operation of ground-source heat pump. Energy Build. 2011, 43, 935–943. [Google Scholar] [CrossRef]
- Signorelli, S. Geoscientific Investigations for the Use of Shallow Low-Enthalpy Systems. Ph.D. Thesis, Swiss Federal Institute of Technology Zürich, Zürich, Switzerland, 2004. [Google Scholar]
- Lazzari, S.; Priarone, A.; Zanchini, E. Long-term performance of BHE (borehole heat exchanger) fields with negligible groundwater movement. Energy 2010, 35, 4966–4974. [Google Scholar] [CrossRef]
- Zanchini, E.; Lazzari, S.; Priarone, A. Long-term performance of large borehole heat exchanger fields with unbalanced seasonal loads and groundwater flow. Energy 2012, 38, 66–77. [Google Scholar] [CrossRef]
- Dehkordi, S.E.; Schincariol, R.A. Effect of thermal-hydrogeological and borehole heat exchanger properties on performance and impact of vertical closed-loop geothermal heat pump systems. Hydrogeol. J. 2013, 22, 189–203. [Google Scholar] [CrossRef]
- Erol, S.; Hashemi, M.A.; François, B. Analytical solution of discontinuous heat extraction for sustainability and recovery aspects of borehole heat exchangers. Int. J. Therm. Sci. 2015, 88, 47–58. [Google Scholar] [CrossRef]
- Lamarche, L.; Beauchamp, B. A new contribution to the finite line-source model for geothermal boreholes. Energy Build. 2007, 39, 188–198. [Google Scholar] [CrossRef]
- Molina-Giraldo, N.; Bayer, P.; Blum, P. Evaluating the influence of thermal dispersion on temperature plumes from geothermal systems using analytical solutions. Int. J. Therm. Sci. 2011, 50, 1223–1231. [Google Scholar] [CrossRef]
- Lous, M.L.; Larroque, F.; Dupuy, A.; Moignard, A. Thermal performance of a deviated deep borehole heat exchanger: Insights from a synthetic coupled heat and flow model. Geothermics 2015, 57, 157–172. [Google Scholar] [CrossRef]
- Molina-Giraldo, N.; Blum, P.; Zhu, K.; Bayer, P.; Fang, Z. A moving finite line source model to simulate borehole heat exchangers with groundwater advection. Int. J. Therm. Sci. 2011, 50, 2506–2513. [Google Scholar] [CrossRef]
- Eskilson, P. Thermal Analysis of Heat Extraction Boreholes. Ph.D. Thesis, University of Lund, Lund, Sweden, 1987. [Google Scholar]
- Hellstrom, G. Ground Heat Storage, Thermal Analysis of Duct Storage Systems. Ph.D. Thesis, Department of Mathematical Physics, University of Lund, Sweden, 1991. [Google Scholar]
- Diao, N.R.; Fang, Z.H. Ground-Coupled Heat Pump Technology; Higher Education Press: Beijing, China, 2006. (In Chinese) [Google Scholar]
- Zeng, H.; Diao, N.; Fang, Z. Heat transfer analysis of boreholes in vertical ground heat exchangers. Int. J. Heat Mass Transf. 2003, 46, 4467–4481. [Google Scholar] [CrossRef]
- Bergman, T.L.; Incropera, F.P.; Lavine, A.S. Fundamentals of Heat and Mass Transfer; John Wiley & Sons: Hoboken, NJ, USA, 2011. [Google Scholar]
- Ozudogru, T.Y.; Olgun, C.G.; Senol, A. 3d numerical modeling of vertical geothermal heat exchangers. Geothermics 2014, 51, 312–324. [Google Scholar] [CrossRef]
© 2015 by the authors; licensee MDPI, Basel, Switzerland. This article is an open access article distributed under the terms and conditions of the Creative Commons by Attribution (CC-BY) license (http://creativecommons.org/licenses/by/4.0/).
Share and Cite
Li, C.; Mao, J.; Xing, Z.; Zhou, J.; Li, Y. Analysis of Geo-Temperature Restoration Performance under Intermittent Operation of Borehole Heat Exchanger Fields. Sustainability 2016, 8, 35. https://doi.org/10.3390/su8010035
Li C, Mao J, Xing Z, Zhou J, Li Y. Analysis of Geo-Temperature Restoration Performance under Intermittent Operation of Borehole Heat Exchanger Fields. Sustainability. 2016; 8(1):35. https://doi.org/10.3390/su8010035
Chicago/Turabian StyleLi, Chaofeng, Jinfeng Mao, Zheli Xing, Jin Zhou, and Yong Li. 2016. "Analysis of Geo-Temperature Restoration Performance under Intermittent Operation of Borehole Heat Exchanger Fields" Sustainability 8, no. 1: 35. https://doi.org/10.3390/su8010035
APA StyleLi, C., Mao, J., Xing, Z., Zhou, J., & Li, Y. (2016). Analysis of Geo-Temperature Restoration Performance under Intermittent Operation of Borehole Heat Exchanger Fields. Sustainability, 8(1), 35. https://doi.org/10.3390/su8010035

