Dynamic Changes of Water Conservation Service of Typical Ecosystems in China within a Year Based on Data from CERN
Abstract
:1. Introduction
2. Material and Methods
2.1. Study Areas

| Name | Location | Vegetation Layers | Annual Temperature | Annual Precipitation | Slope | Soil |
|---|---|---|---|---|---|---|
| Temperate broad-leaved Korean pine forest | 128°05′41″ E~128°05′46″ E, 42°24′10″ N~40°24′12″ N; in Changbai Mountains, in Liaoning Province | Tree layer, shrub layer and herb layer | 3.5 °C | 700~800 mm | Grade: 2°; direction: north | Brown coniferous forest soils |
| Subtropical monsoon evergreen broad-leaved forest | 112°30′39″ E~112°33′41″ E, 23°09′21″ N~23°11′30″ N; in Dinghu Mountains, in Guangdong Province | Tree layer, shrub layer and herb layer | 21 °C | 1956 mm | Grade: 25°~35°; direction: northeast | Lateritic red soil |
| Tropical monsoon forest | 101°12′1″ E, 21°57′40″ N; in Xishuangbanna in Yunnan Province | Tree layer, shrub layer, herb layer and inter-layer vegetation | 21.5 °C | 1557 mm | Grade: 12°~18°; direction: north | Latosol |
| Temperate grassland | 116°42′ E, 43°38′ N; in Xinlinhot in Mongolia | Herb layer | 0.96 °C | 333.5 mm | In a gentle broad valley in a hill | Dark chestnut soil |
| Alpine meadow | 101°18′37″ E~101°18′51″ E, 37°36′31″ N~37°37′8″ N; in Haibei in Qinghai Province | Herb layer | −1.7 °C | 426~860 mm | Grade < 5° | Cold frozen clay |
| Warm temperate winter wheat and summer maize farmland | 116°34′9″ E~116°34′16″ E, 36°49′39″ N~36°49′47″ N; in Yucheng in Shandong Province | Crop layer | 13.2 °C | 530 mm | In a alluvial plain | Alluvial soil |
| Subtropical winter wheat and rice farmland | 120°41′52″ E~120°41′53″ E, 31°32′55″ N~31°32′56″ N; in Changshu in Jiangsu Province | Crop layer | 15.4 °C | 1054 mm | The terrain is flat. | Paddy soil |
| Subtropical early rice and second rice farmland | 115°04′13″ E, 26°44′48″ N; in Qianyanzhou in Jiangxi Province | Crop layer | 17.8 °C | 1461 mm | The terrain is flat. | Paddy soil |
2.2. Methods
2.2.1. Methods of Physical Quantity of Water Conservation Service
(1) Forest ecosystems
(2) Grassland ecosystems
(3) Farmland ecosystems
2.2.2. Methods of Economic Value of Water Conservation Service
(1) Value of water retention
2.3. Data Sources
3. Results
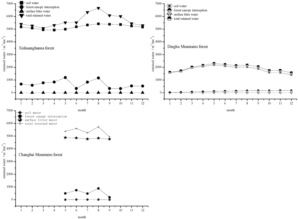
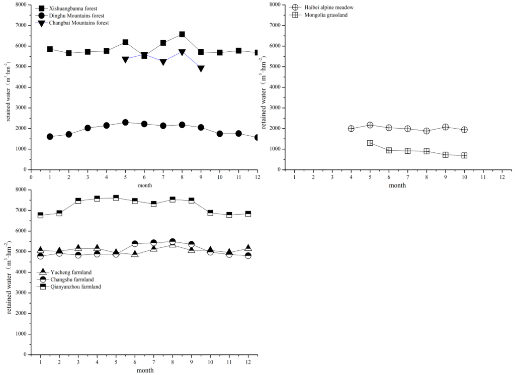
3.1. Water Retained by Ecosystems


3.2. Water Supply to Humans

| Seasons | Xishuangbanna | Dinghu Moutains | Changbai Mountains | |||
|---|---|---|---|---|---|---|
| Runoff (m3·hm−2) | Percent (%) | Runoff (m3·hm−2) | Percent (%) | Runoff (m3·hm−2) | Percent (%) | |
| Spring (March-May) | 706 | 11.30 | 2131 | 22.36 | 396 | 18.08 |
| Summer (June–August) | 2894 | 46.31 | 4872 | 51.12 | 1016 | 46.38 |
| Autumn (September–November) | 1708 | 27.33 | 2130 | 22.35 | 389 | 17.77 |
| Winter (December–February) | 941 | 15.06 | 397 | 4.17 | 389 | 17.77 |
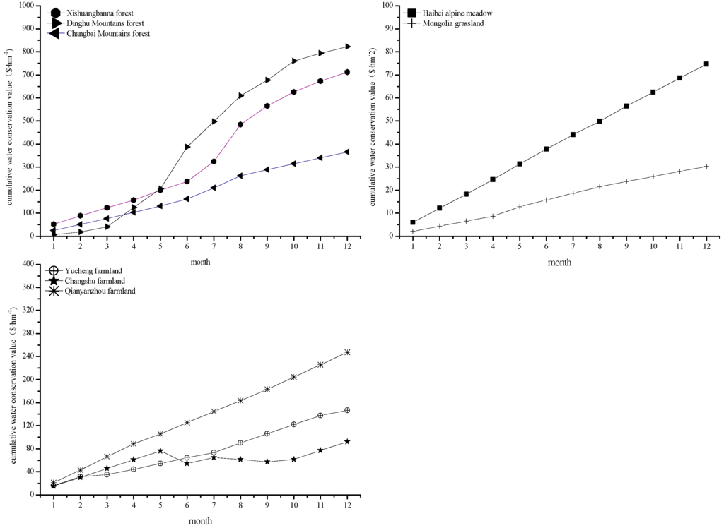
3.3. Water Conservation and Its Value
3.3.1. Water Conservation
3.3.2. Water Conservation Value

| Xishuangbanna | Dinghushan | Changbai Moutains | Haibei | |||||
| Seasons | Value ($·hm−2) | Percent (%) | Value ($·hm−2) | Percent (%) | Value ($·hm−2) | Percent (%) | Value ($·hm−2) | Percent (%) |
| Spring | 128 | 17.98 | 47 | 5.66 | 77 | 21.12 | 18 | 24.46 |
| Summer | 111 | 15.60 | 188 | 22.83 | 79 | 21.64 | 19 | 25.18 |
| Autumn | 285 | 40.00 | 404 | 49.04 | 132 | 36.12 | 19 | 25.18 |
| Winter | 188 | 26.43 | 185 | 22.47 | 77 | 21.12 | 19 | 25.18 |
| Mongolia | Yucheng | Changshu | Qianyanzhou | |||||
| Seasons | Value ($·hm−2) | Percent (%) | Value ($·hm−2) | Percent (%) | Value ($·hm−2) | Percent (%) | Value ($·hm−2) | Percent (%) |
| Spring | 7 | 21.77 | 41 | 27.84 | 46 | 50.00 | 409 | 26.01 |
| Summer | 8 | 27.89 | 23 | 15.52 | 46 | 50.00 | 400 | 25.43 |
| Autumn | 9 | 28.56 | 36 | 24.29 | −15 | −16.30 | 368 | 23.37 |
| Winter | 7 | 21.77 | 47 | 32.34 | 15 | 16.30 | 396 | 25.19 |

3.3.3. Relationship between Water Conservation Value and Precipitation
| Ecosystems | Linear Relationship Equations |
|---|---|
| Xishuangbanna forest | y = 25.30548 + 0.2702x, R2 = 0.57, p < 0.01 |
| Dinghu Mountains forest | y = 1.98645 + 0.41839x, R2 = 0.79, p < 0.01 |
| Changbai Mountains forest | y = 23.71079 + 0.1102x, R2 = 0.64, p < 0.01 |
| Mongolia grassland | y = 2.21885 + 0.01468x, R2 = 0.50, p < 0.01 |
4. Discussion
5. Conclusions
Acknowledgments
Author Contributions
Conflicts of Interest
References
- Brauman, K.A.; Daily, G.C.; Duarte, T.K.; Mooney, H.A. The nature and value of ecosystem service: An overview highlighting hydrologic services. Ann. Rev. Environ. Resour. 2007, 32, 67–98. [Google Scholar] [CrossRef]
- De Groot, R.S.; Wilson, M.A.; Boumans, R.M.J. A typology for the classification, description and valuation of ecosystem functions, goods and services. Ecol. Econ. 2002, 41, 393–408. [Google Scholar] [CrossRef]
- Cheng, G.W.; Shi, P.L. Benefits of forest water conservation and its economic value evaluation in upper reaches of yangtse river. Sci. Soil Water Conser. 2004, 2, 17–20. [Google Scholar]
- Costanza, R.; d’Arge, R.; de Groot, R.; Farber, S.; Grasso, M.; Hannon, B.; Limburg, K.; Naeem, S.; O’Nell, R.O.; Paruelo, J.; et al. The value of the world’s ecosystem services and natural capital. Nature 1997, 387, 253–260. [Google Scholar] [CrossRef]
- Ingraham, M.W.; Foster, S.G. The value of ecosystem services provided by the u.S. National wildlife refuge system in the contiguous U.S. Ecol. Econ. 2008, 67, 608–618. [Google Scholar] [CrossRef]
- Guo, Z.W.; Li, Y.M.; Xiao, X.M.; Zhang, L.; Gan, Y.L. Hydroelectricity production and forest conservation in watersheds. Ecol. Appl. 2007, 17, 1557–1562. [Google Scholar] [CrossRef] [PubMed]
- Schleyer, C.; Christoph, G.; Hauck, J.; Winkler, K.J. Opportunities and challenges for mainstreaming the ecosystem services concept in the multi-level policy-making within the eu. Ecosyst. Serv. 2015, 10, 1–8. [Google Scholar] [CrossRef]
- Jin, G.; Wang, P.; Zhao, T.; Bai, Y.P.; Zhao, C.H.; Chen, D.D. Reviews on land use change induced effects on regional hydrological ecosystem services for integrated water resources management. Phys. Chem. Earth 2015, 89–90, 33–39. [Google Scholar] [CrossRef]
- Hohenthal, J.; Owidi, E.; Minoia, P.; Pellikka, P. Local assessment of changes in water-related ecosystem services and their management: Dpaser conceptual model and its application in Taita hills, Kenya. Int. J. Biodivers. Sci. Ecosyst. Serv. Manag. 2015, 11, 225–238. [Google Scholar] [CrossRef]
- Xie, G.D.; Zhen, L.; Lu, C.X.; Xiao, Y.; Li, W.H. Applying value transfer method for eco-service valuation in China. J. Resour. Ecol. 2010, 1, 51–59. [Google Scholar]
- Xie, G.D.; Lu, C.X.; Leng, Y.F.; Zheng, D.; Li, S.C. Ecological assets valuation of the Tibetan plateau. J. Nat. Resour. 2003, 18, 189–196. [Google Scholar]
- Xie, G.D.; Zhen, L.; Lu, C.X.; Xiao, Y.; Chen, C. Expert knowledge based valutaion method of ecosystem services in China. J. Nat. Resour. 2008, 23, 911–919. [Google Scholar]
- Xie, G.D.; Zhang, C.X.; Zhang, L.M.; Chen, W.H.; Li, S.M. Improvement of the evaluation method for ecosystem services value based on per unit area. J. Nat. Resour. 2015, 30, 1243–1254. [Google Scholar]
- Chan, K.M.; Shaw, M.R.; Cameron, D.R.; Underwood, E.C.; Daily, G.C. Conservation planning for ecosystem services. PLoS Biol. 2006, 2138–2152. [Google Scholar] [CrossRef] [PubMed]
- Palomo, I.; Martín-López, B.; Zorrilla-Miras, P.; Del Amo, D.G.; Montes, C. Deliberative mapping of ecosystem services within and around doñana national park (SW Spain) in relation to land use change. Environ. Chang. 2014, 14, 237–251. [Google Scholar] [CrossRef]
- Estoque, R.C.; Murayama, Y. Landscape pattern and ecosystem service value changes: Implications for environmental sustainability planning for the rapidly urbanizing summer capital of the Philippines. Urban Plan. 2013, 116, 60–72. [Google Scholar] [CrossRef]
- Zhang, P.; He, L.; Fan, X.; Huo, P.S.; Liu, Y.H.; Zhang, T.; Pan, Y.; Yu, Z.R. Ecosystem service value assessment and contribution factoranalysis of land use change in Miyun county, China. Sustainability 2015, 7, 7333–7356. [Google Scholar] [CrossRef]
- Creedy, J.; Wurzbacher, A.D. The economic value of a forested catchment with timber, water and carbon sequestration benefits. Ecol. Econ. 2001, 38, 71–83. [Google Scholar] [CrossRef]
- Brainard, J.; Bateman, J.J.; Lovett, A.A. The social value of carbon sequestered in Great Britain’s woodlands. Ecol. Econ. 2009, 68, 1257–1267. [Google Scholar] [CrossRef]
- Maraseni, T.K.; Cockfield, G. Crops, cows or timber? Including carbon values in land use choices. Agric. Ecosyst. Environ. 2011, 140, 280–288. [Google Scholar] [CrossRef]
- Ramlal, E.Y.; Yemshanov, D.; Fox, C.; McKenney, D. A bioeconomic model of afforestation in Southern Ontario: Integration of fiber, carbon and municipal biosolids values. J. Environ. Manag. 2009, 90, 1833–1843. [Google Scholar] [CrossRef] [PubMed]
- Bunker, D.E.; DeClerck, F.; Bradford, J.C.; Colwell, R.K.; Perfecto, I.; Phillips, O.L. Species loss and aboveground carbon storage in a tropical forest. Science 2005, 310, 1029–1031. [Google Scholar] [CrossRef] [PubMed]
- Li, S.M.; Xie, G.D.; Zhang, C.X.; Ge, L.Q. Flow processes of forest ecosystem services: A case study on Qianyanzhou plantation, Jiangxi province. Resour. Sci. 2010, 32, 831–837. [Google Scholar]
- Pei, S.; Xie, G.D.; Chen, L. The process of carbon fixation value of typical ecosystems. J. Resour. Ecol. 2011, 2, 307–314. [Google Scholar]
- Li, W.H.; Zhang, B.; Xie, G.D. Research on ecosystem services in China: Progress and perspectives. J. Nat. Resour. 2009, 24, 1–10. [Google Scholar]
- Chen, Y.Y. Location Research of Ecosystems; Science Press: Beijing, China, 2009. [Google Scholar]
- Sun, H.L.; Yu, G.R.; Ouyang, Z. Data Set of Ecosystem Station Monitoring and Research in China; China Agriculture Press: Beijing, China, 2011. [Google Scholar]
- Zhang, P.; Wang, X.; Wang, Y.J.; Liu, W.J.; Liu, Y.H. Comparison research on hydrological effect of the canopy of the tropical seasonal rainforest and rubber forest in Xishuangbanna, Yunnan. Acta Ecol. Sin. 2003, 23, 2653–2665. [Google Scholar]
- Bai, J.H.; Hu, Z.H.; Guo, J.P. Study on the hydrological effect of typical forest litters and soil of natural second forest in north China mountainous region. J. Soil Water Conserv. 2009, 23, 84–89. [Google Scholar]
- Huang, Z.L.; Kong, G.H.; Yu, Q.F.; Zhang, Z.H. Hydrological function and nutrient dynamics in lower subtropical monsoon evergreen broad-leaved forest. Acta Phytoecol. Sin. 2000, 24, 157–161. [Google Scholar]
- Grygoruk, M.; Mirosław-Świątek, D.; Chrzanowska, W.; Ignar, S. How much for water? Economic assessment and mapping of floodplain water storage as a catchment-scale ecosystem service of wetlands. Water 2013, 5, 1760–1779. [Google Scholar] [CrossRef]
- State Forestry Administration, P.R.C. Specifications for Assessment of Forest Ecosystem Services in China; Standard Publisher of China: Beijing, China, 2008; p. 12.
- The Ministry of Water Resources of the People’s Republic of China. Available online: http://www.mwr.gov.cn/zwzc/tzgg/qtxx/200211/t20021125_156538.html (accessed on 7 December 2015).
- Zhou, W.J. Report on water resource and water fee in China. China Price 2010, 3, 18–23. [Google Scholar]
- Yan, J.H.; Zhou, G.Y.; Zhang, D.Q. Spatial and temporal variations of some hydrological factors in a climax forest ecosystems in the Dinghushan region. Acta Ecol. Sin. 2003, 23, 2359–2366. [Google Scholar]
- Yin, G.C.; Zhou, G.Y.; Tang, X.L.; X., W. Soil water storage of three forest types in different succession stage in Dinghushan. J. Jishou Univ. (Nat. Sci. Ed.) 2003, 24, 62–68. [Google Scholar]
- Gao, R. Water balance of major forest types in east Liaoning mountainous region. Bull. Soil Water Conserv. 2002, 22, 5–8. [Google Scholar]
- Song, L.M.; Lou, H.P. Studies on soil moisture dynamics of natural grassland in Qinghai Lake region. Chin. J. Agrometeorol. 2006, 27, 151–155. [Google Scholar]
- Li, N.; Gu, W.; Du, Z.X. Soil water content observations under different soil classification in central and east Inner Mogolia of China. Adv. Earth Sci. 2006, 21, 151–156. [Google Scholar]
- Yang, H.; Pei, T.; Guan, D.X.; Jin, C.J.; Wang, A.Z. Soil moisture dynamics under broad-leaved Korean pine forest in Changbai mountains. Chin. J. Appl. Ecol. 2006, 17, 587–591. [Google Scholar]
- Zheng, S.H.; Wang, K.; Zhao, M.L.; Han, G.D.; Feng, Y.F. Primary evaluation of the indirect value on rangeland ecosystem service in northern agro-pastoral ecotone: A case study in Taipusi banner and Guyuan league. Pratacultural Sci. 2009, 26, 18–23. [Google Scholar]
- Wang, B.; Lu, S.W. Evaluation of economic forest ecosystem services in China. Chin. J. Appl. Ecol. 2009, 20, 417–425. [Google Scholar]
- Zhang, B.; Li, W.H.; Xie, G.D.; Xiao, Y. Water conservation of forest ecosystem in Beijing and its value. Ecol. Econ. 2010, 69, 1416–1426. [Google Scholar]
- Jiang, L.P.; Qin, Z.H.; Xie, W.; Wang, R.J.; Xu, B.; Lu, G. Estimation of grassland ecosystem services value of china remote sensing data. J. Nat. Resour. 2007, 22, 161–170. [Google Scholar]
- Zhao, T.Q.; Ouyang, Z.Y.; Jia, L.Q.; Zheng, H. Ecosystem services and their valuation of china grassland. Acta Ecol. Sin. 2004, 24, 1101–1110. [Google Scholar]
- Chisholm, R.A. Trade-offs between ecosystem services: Water and carbon in a biodiversity hotspot. Econ. Econ. 2010, 69, 1973–1987. [Google Scholar] [CrossRef]
- Song, W.; Deng, X.Z.; Yuan, Y.W.; Wang, Z.; Li, Z.H. Impacts of land-use change on valued ecosystem service in rapidly urbanized north China plain. Ecol. Model. 2015, 318, 245–253. [Google Scholar] [CrossRef]
- Zorrilla-Miras, P.; Palomo, I.; Gómez-Baggethun, E.; Martín-López, B.; Lomas, P.L.; Montes, C. Effects of land-use change on wetland ecosystem services: A case study in the Doñana Marshes (SW Spain). Landsc. Urban Plan. 2014, 122, 160–174. [Google Scholar] [CrossRef]
- Zeng, J.; Li, J.F.; Yao, X.W. Spatio-temporal dynamics of ecosystem service value in Wuhan urban agglomeration. Chin. J. Appl. Ecol. 2014, 25, 883–891. [Google Scholar]
- Li, S.M.; Xie, G.D.; Zhang, C.X.; Ge, L.Q. Flow process of water conservation service of forest ecosystem. J. Nat. Resour. 2010, 25, 585–593. [Google Scholar]
- Pei, S.; Xie, G.D.; Zhang, C.S.; Liu, C.L.; Chen, L. Intra-annual change of water conservation value of tropical seasonal rain forest and secondary forest. Geogr. Geo-Inf. Sci. 2015, 31, 96–100. [Google Scholar]
- Karp, D.S.; Tallis, H.; Sachse, R.; Halpern, B.; Thonicke, K.; Cramer, W.; Mooney, H.; Polasky, S.; Tietjen, B.; Waha, K.; et al. National indicators for observing ecosystem service change. Glob. Environ. Chang. 2015, 35, 12–21. [Google Scholar] [CrossRef]
© 2015 by the authors; licensee MDPI, Basel, Switzerland. This article is an open access article distributed under the terms and conditions of the Creative Commons by Attribution (CC-BY) license (http://creativecommons.org/licenses/by/4.0/).
Share and Cite
Pei, S.; Xie, G.; Liu, C.; Zhang, C.; Li, S.; Chen, L. Dynamic Changes of Water Conservation Service of Typical Ecosystems in China within a Year Based on Data from CERN. Sustainability 2015, 7, 16513-16531. https://doi.org/10.3390/su71215827
Pei S, Xie G, Liu C, Zhang C, Li S, Chen L. Dynamic Changes of Water Conservation Service of Typical Ecosystems in China within a Year Based on Data from CERN. Sustainability. 2015; 7(12):16513-16531. https://doi.org/10.3390/su71215827
Chicago/Turabian StylePei, Sha, Gaodi Xie, Chunlan Liu, Changshun Zhang, Shimei Li, and Long Chen. 2015. "Dynamic Changes of Water Conservation Service of Typical Ecosystems in China within a Year Based on Data from CERN" Sustainability 7, no. 12: 16513-16531. https://doi.org/10.3390/su71215827
APA StylePei, S., Xie, G., Liu, C., Zhang, C., Li, S., & Chen, L. (2015). Dynamic Changes of Water Conservation Service of Typical Ecosystems in China within a Year Based on Data from CERN. Sustainability, 7(12), 16513-16531. https://doi.org/10.3390/su71215827

