Effects of Land Use and Slope Gradient on Soil Erosion in a Red Soil Hilly Watershed of Southern China
Abstract
:1. Introduction
2. Model Introduction
2.1. WEPP Model
2.2. GeoWEPP Model
3. Materials and Methods
3.1. Study Area

3.2. The Model Application
3.2.1. Model Inputs

| Soil Properties | Soil Types | |||||
|---|---|---|---|---|---|---|
| 1 | 2 | 3 | 4 | 5 | Mean | |
| Sand (%) | 45.0 | 52.3 | 69.5 | 45.9 | 53.5 | 53.2 |
| Clay (%) | 30.7 | 30.2 | 7.3 | 33.4 | 28.2 | 25.9 |
| Organic matter (%) | 0.48 | 0.36 | 3.06 | 1.40 | 1.84 | 7.14 |
| CEC (meq/100g) | 8.1 | 7.4 | 8.5 | 8.5 | 6.9 | 7.9 |
| Rock fragment (%) | 15 | 15 | 5 | 10 | 10 | 11 |
| Albedo | 0.50 | 0.58 | 0.176 | 0.342 | 0.287 | 0.377 |
| Initial saturation level (%) | 75 | 75 | 75 | 75 | 75 | 75 |
3.2.2. Model Calibration and Validation
| Time | Runoff (m3) | Sediment Yield (t) |
|---|---|---|
| Yearly data | ||
| 2010 | 2,230,000 | 5500 |
| 2011 | 1,620,000 | 5190 |
| 2012 | 2,310,000 | 5510 |
| Monthly data of 2011 | ||
| January | 49,571 | 25 |
| February | 136,821 | 577 |
| March | 128,254 | 127 |
| April | 35,694 | 21 |
| May | 382,977 | 1273 |
| June | 254,093 | 827 |
| July | 199,173 | 747 |
| August | 126,113 | 253 |
| September | 79,821 | 398 |
| October | 185,339 | 76 |
| November | 31,193 | 170 |
| December | 12,508 | 15 |
| Coefficient or Measure | Equation | Range of Variability | Optimal Value |
|---|---|---|---|
| Coefficient of residual mass | −∞ to +∞ | 0 | |
| Coefficient of determination | 0 to 1 | 1 | |
| Root mean square error | 0 to ∞ | 0 | |
| Nash–Sutcliffe efficiency | −∞ to 1 | 1 | |
| Modified Nash–Sutcliffe efficiency | −∞ to 1 | 1 |
3.3. Scenarios Analysis for Simulation
- S1 (scenario1): forest land
- S2 (scenario2): farm land
- S3 (scenario3): orchard land
- S4 (scenario4): fallow land
4. Results and Discussion
4.1. Performance of the GeoWEPP Model


| Statistical Parameter | Runoff (mm) | Sediment Yield (t/ha) | ||
|---|---|---|---|---|
| Measured | Simulated | Measured | Simulated | |
| Mean | 42.23 | 38.20 | 1.35 | 1.23 |
| Standard deviation | 33.77 | 32.97 | 1.26 | 1.28 |
| Maximum | 119.68 | 110.28 | 3.98 | 4.06 |
| Total | 506.74 | 458.37 | 16.24 | 14.82 |
| CRM | 0.095 | 0.087 | ||
| R2 | 0.98 | 0.93 | ||
| ENS | 0.96 | 0.91 | ||
| MENS | 0.86 | 0.93 | ||
| RMSE | 6.19 | 0.35 | ||
| t-calculated at 95% confidence level | 0.39 | 0.41 | ||
| t-critical (two tail) | 0.77 | 0.82 | ||
4.2. Effects of Land Use and Slope Gradient on Soil Erosion
| Result Description | Scenarios | ||||
|---|---|---|---|---|---|
| CLU | Forest | S2 Farmland | Orchard | Fallow | |
| Mean annual runoff (m^3) | 2,053,548 | 1,135,527 | 3,123,356 | 800,594 | 2,995,423 |
| Mean annual runoff depth (mm) | 642 | 355 | 976 | 250 | 936 |
| Change in runoff as compared to CLU (%) | - | −44.70 | 52.02 | −61.06 | 45.8 |
| Mean annual sediment yield (t) | 5400 | 3042 | 7714 | 1692 | 7006 |
| Mean annual Sed. rate (t∙ha−1) | 16.9 | 9.5 | 24.1 | 5.3 | 21.9 |
| Change in sediment yield as compared to CLU (%) | - | −43.67 | 42.6 | −68.64 | 29.6 |
4.2.1. Runoff and Sediment Yield in Response to Land Use Change


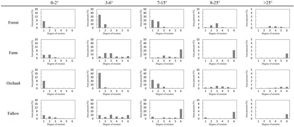
4.2.2. Soil Erosion and Slope Gradient


5. Conclusions
- (1)
- The GeoWEPP model had good performance in the study area with higher accuracy in sediment yield than in runoff predictions and provided a simple method for making decisions of selecting soil conservation practices when combined with scenario analysis.
- (2)
- The order of land use by increasing sediment yield was: farm land > fallow land > orchard land > forest land, with 42.6% > 29.6% > −43.07% > −68.04% as compared to the average annual sediment yield under the current land use. It indicated that farm land was the most important element for contributing to soil erosion, even beyond fallow land. Therefore, appropriate land use planning was important for soil conservation of a watershed.
- (3)
- The soil erosion increased with increasing slope gradient under all scenarios, and quadratic equations describing the relationships were reliable for all land use. These equations could not only be used to decide the critical slope gradient of farm, fallow and orchard land turning to forest but also to predict the sediment yield of these typical land use under different slope conditions in the study area and other similar regions.
Acknowledgments
Author Contributions
Conflicts of Interest
References
- Flanagan, D. Erosion Encyclopedia of Soil Science, 1st ed.; Marcel Dekker: New York, NY, USA, 2002; pp. 395–398. [Google Scholar]
- Kosmas, C.; Danalatos, N.; Cammeraat, L.H.; Chabart, M.; Diamantopoulos, J.; Farand, R. The effect of land use on runoff and soil erosion rates under Mediterranean conditions. Catena 1997, 29, 45–59. [Google Scholar] [CrossRef]
- Braud, I.; Vich, A.I.J.; Zuluaga, J.; Fomero, L.; Pedrani, A. Vegetation influenceon runoff and sediment yield in the Andes Region: Observation and modeling. J. Hydrol. 2001, 254, 124–144. [Google Scholar] [CrossRef]
- Fiener, P.; Auerswald, K.; van Oost, K. Spatio-temporal patterns in land use and management affecting stremflow response of agricultural catchments-a review. Earth Sci. Rev. 2011, 106, 92–104. [Google Scholar] [CrossRef]
- Ewert, F.; Rounsevell, M.D.A.; Reginster, I.; Metzger, M.J.; Leemans, R. Future scenarios of European agricultural land use I. Estimating changes in crop productivity. Agric. Ecosyst. Environ. 2005, 107, 101–116. [Google Scholar] [CrossRef]
- Bakker, M.M.; Govers, G.; van Doom, A.; Quetier, F.; Chouvardas, D.; Rounsevell, M. The response of soil erosion and sediment export to land-use change in four areas of Europe: The importance of landscape pattern. Geomorphology 2008, 98, 213–226. [Google Scholar] [CrossRef]
- Feng, X.; Wang, Y.; Chen, L.; Fu, B.; Bai, G. Modeling soil erosion and its response to land-use change in hilly catchments of the Chinese Loess Plateau. Geomorphology 2010, 118, 239–248. [Google Scholar] [CrossRef]
- Fu, B.J.; Wang, Y.F.; Lu, Y.H.; He, C.S.; Chen, L.D.; Song, C.J. The effects of landuse combinations on soil erosion: A case study in the Loess Plateau of China. Prog. Phys. Geogr. 2009, 33, 793–804. [Google Scholar] [CrossRef]
- Shi, Z.H.; Ai, L.; Fang, N.F.; Zhu, H.D. Modeling the impacts of integrated small watershed management on soil erosion and sediment delivery: A case study in the Three Gorges Area, China. J. Hydrol. 2012, 438, 156–167. [Google Scholar] [CrossRef]
- Deng, L.; Shangguan, Z.-P.; Li, R. Effects of the grain-for-green program on soil erosion in China. Int. J. Sediment. Res. 2012, 27, 120–127. [Google Scholar] [CrossRef]
- Jordan, G.; van Rompaey, A.; Szilassi, P.; Csillag, G.; Mannaerts, C.; Woldai, T. Historical land use changes and their impact on sediment fluxes in the Balaton basin (Hungary). Agric. Ecosyst. Environ. 2005, 108, 119–133. [Google Scholar] [CrossRef]
- Shi, L.R. Hillside field improvement of Yangtze valley. Yangtze River 1999, 30, 25–27. (In Chinese) [Google Scholar]
- Li, M.A.; Yao, W.Y.; Li, Z.B.; Liu, P.L.; Shen, Z.Z. Effects of landforms on the erosion rate in a small watershed by the Cs-137 tracing method. J. Environ. Radioact. 2010, 101, 380–384. [Google Scholar] [CrossRef] [PubMed]
- Zingg, A.W. Degree and length of land slope as it affects soil loss in runoff. Agric. Eng. 1940, 21, 59–64. [Google Scholar]
- Smith, D.D.; Wischmeier, W.H. Factors affecting sheet and rill erosion. Am. Geophys. Union Trans. 1958, 38, 889–896. [Google Scholar] [CrossRef]
- Chaplot, V.A.M.; le Bissonnais, Y. Runoff features for interrill erosion at different rainfall intensities, slope lengths, and gradients in an agricultural loessial hillslope. Soil Sci. Soc. Am. J. 2003, 67, 844–851. [Google Scholar] [CrossRef]
- Assouline, S.; Ben-Hur, A. Effects of rainfall intensity and slope gradient on the dynamics of interrill erosion during soil surface sealing. Catena 2006, 66, 211–220. [Google Scholar] [CrossRef]
- Zhao, X.N.; Huang, J.; Wu, P.T.; Gao, X.D. The dynamic effects of pastures and crop on runoff and sediments reduction at loess slopes under simulated rainfall conditions. Catena 2014, 119, 1–7. [Google Scholar] [CrossRef]
- Huang, M.B.; Gallichand, J.; Wang, Z.L.; Goulet, M. A modification to the Soil Conservation Service curve number method for steep slopes in the Loess Plateau of China. Hydrol. Process. 2006, 20, 579–589. [Google Scholar] [CrossRef]
- Liu, B.Y.; Nearing, M.A.; Risse, L.M. Slope gradient effects on soil loss for steep slopes. Trans. Am. Soc. Agric. Eng. 1994, 37, 1835–1840. [Google Scholar] [CrossRef]
- Jiang, F.S.; Huang, Y.H.; Wang, M.K.; Lin, J.S.; Zhao, G.; Ge, H.L. Effects of Rainfall Intensity and Slope Gradient on Steep Colluvial Deposit Erosion in Southeast China. Soil Sci. Soc. Am. J. 2014, 78, 1741–1752. [Google Scholar] [CrossRef]
- Li, M.; Li, Z.B.; Yao, W.Y. Estimating the erosion and deposition rates in a small watershed by the 137Cs tracing method. Appl. Radiat. Isot. 2009, 67, 362–366. [Google Scholar] [CrossRef] [PubMed]
- Stolt, M.H.; Baker, J.C.; Simpson, T.W. Soil-landscape relationships in Virginia: II. Reconstruction analysis and soil genesis. Soil Sci. Soc. Am. J. 1993, 57, 422–428. [Google Scholar] [CrossRef]
- Tang, K.L.; Zhang, K.L.; Lei, A.L. Critical slope gradient for compulsory abandonment of farmland on the hilly Loess Plateau. Chin. Sci. Bull. 1998, 43, 409–412. [Google Scholar] [CrossRef]
- Flanagan, D.C.; Frankenberger, J.R.; Renschler, C.S.; Laflen, J.M.; Engel, B.A. Simulating small watersheds with Water Erosion Prediction Project technology. In Proceedings of the Soil Erosion Research for the 21st Century, Honolulu, HA, USA, 3–5 January 2001; Ascough II, J.C., Flanagan, D.C., Eds.; American Society of Agricultural Engineers: St. Joseph, MI, USA, 2001; pp. 363–366. [Google Scholar]
- Renschler, C.S. Designing geo-spatial interfaces to scale process models: The GeoWEPP approach. Hydrol. Process. 2003, 17, 1005–1017. [Google Scholar] [CrossRef]
- Yu, X.; Zhang, X.; Niu, L. Simulated multi-scale watershed runoff and sediment production based on GeoWEPP model. Int. J. Sediment. Res. 2009, 24, 465–478. [Google Scholar] [CrossRef]
- Maalim, F.K.; Melesse, A.M.; Belmont, P.; Gran, K.B. Modeling the impact of land use changes on runoff and sediment yield in the Le Sueur watershed, Minnesota using GeoWEPP. Catena 2013, 107, 35–45. [Google Scholar] [CrossRef]
- Wang, X.D.; Jiang, Y.Z.; Zhao, H.L.; Liang, Y.Q. The application of distributional hydrological model of water resources management to river basins. South-to-North Water Transf. Water Sci. Technol. 2004, 2, 4–7. (In Chinese) [Google Scholar]
- Raclot, D.; Albergel, J. Runoff and water erosion modelling using WEPP on a Mediterranean cultivated catchment. Phys. Chem. Earth 2006, 31, 1038–1047. [Google Scholar] [CrossRef]
- Moore, A.D.; McLaughlin, R.A.; Mitasova, H.; Line, D.E. Calibrating WEPP model parameters for erosion prediction on construction sites. Trans. Asabe 2007, 50, 507–516. [Google Scholar] [CrossRef]
- Yadav, V.; Malanson, G.P. Modeling impacts of erosion and deposition on soil organic carbon in the Big Creek Basin of southern Illinois. Geomorphology 2009, 106, 304–314. [Google Scholar] [CrossRef]
- Miller, M.E.; MacDonald, L.H.; Robichaud, P.R.; Elliot, W.J. Predicting post-fire hillslope erosion in forest lands of the western United States. Int. J. Wildland Fire 2011, 20, 982–999. [Google Scholar] [CrossRef]
- Flanagan, D.C.; Nearing, M.A. USDA Water Erosion Prediction Project: Hillslope Profile and Watershed Model Documentation, 2nd ed.; USDA-ARSNSERL Report 10; USDA-ARS National Soil Erosion Research Laboratory: West Lafayette, IN, USA, 1995. [Google Scholar]
- Nicks, A.D.; Lane, L.J.; Gander, G.A. Weather generator. In USDA-Water Erosion Prediction Project: Hillslope PRofile and Watershed Model Documentation, 2nd ed.; Flanagan, D.C., Nearing, M.A., Eds.; NSERL Report 10; USDA-ARS National Soil Erosion Research Laboratory: West Lafayette, IN, USA, 1995. [Google Scholar]
- Lal, R. Soil Erosion Research Methods, 3rd ed.; Soil and Water Conservation Association: Ankeny, IA, USA, 1988; p. 244. [Google Scholar]
- Nearing, M.A.; Deer-Ascough, L.; Laflen, J.M. Sensitivity analysis of the WEPP Hillslope profile erosion model. Trans. ASAE 1990, 33, 839–849. [Google Scholar] [CrossRef]
- Bhuyana, S.J.; Kalita, P.K.; Janssenc, K.A.; Barnesa, P.L. Soil loss predictions with three erosion simulation models. Environ. Model. Software 2002, 17, 135–144. [Google Scholar]
- Pandey, A.; Chowdary, V.M.; Mal, B.C.; Billib, M. Runoff and sediment yield modeling from a small agricultural watershed in India using the WEPP model. J. Hydrol. 2008, 348, 305–319. [Google Scholar] [CrossRef]
- ASCE Task Committee. Criteria for evaluation of watershed models. J. Irrig. Drain. Eng. 1993, 119, 429–442. [Google Scholar]
- Haan, C.T.; Johnson, H.P.; Brakensiek, D.L. Hydrological Modeling of Small Watersheds, 4th ed.; American Society of Agricultural Engineers: St. Joseph, MI, USA, 1982. [Google Scholar]
- Bingner, R.L.; Murphee, C.E.; Mutchler, C.K. Comparison of sediment yield models on various watershed in Mississippi. Trans. ASAE 1989, 32, 529–534. [Google Scholar] [CrossRef]
- Nash, J.E.; Sutcliffe, J.V. River flow forecasting through conceptual models Part 1-A discussion of principals. J. Hydrol. 1970, 10, 282–290. [Google Scholar] [CrossRef]
- Zema, D.A.; Bingner, R.L.; Govers, G.; Licciardello, F.; Denisi, P.; Zimbone, S.M. Evaluation of runoff, peak flow and sediment yield for events simulated by the AnnAGNPS model in a Belgian agricultural watershed. Land Degrad. Dev. (Wiley Intersci.) 2012, 23, 205–215. [Google Scholar] [CrossRef]
- Yuksel, A.; Akay, A.E.; Gundogan, R.; Reis, M.; Cetiner, M. Application of GeoWEPP for determining sediment yield and runoff in the Orcan Creek watershed in Kahramanmaras, Turkey. Sensors 2008, 8, 1222–1236. [Google Scholar] [CrossRef]
- Smith, D.D.; Wischmeier, W.H. Factors affecting sheet and rill erosion. Trans. Amer. Geophys. Union 1957, 38, 889–896. [Google Scholar] [CrossRef]
- Foster, G.R. Modeling the erosion process. In Hydrologic Modeling of Small Watersheds; ASAE: St. Joseph, MI, USA, 1982. [Google Scholar]
- McCool, D.K.; Brown, L.C.; Foster, G.R. Revised slope steepness factor for the Universal Soil Loss Equation. Trans. ASAE 1987, 30, 1387–1396. [Google Scholar] [CrossRef]
© 2015 by the authors; licensee MDPI, Basel, Switzerland. This article is an open access article distributed under the terms and conditions of the Creative Commons Attribution license (http://creativecommons.org/licenses/by/4.0/).
Share and Cite
Zhang, Z.; Sheng, L.; Yang, J.; Chen, X.-A.; Kong, L.; Wagan, B. Effects of Land Use and Slope Gradient on Soil Erosion in a Red Soil Hilly Watershed of Southern China. Sustainability 2015, 7, 14309-14325. https://doi.org/10.3390/su71014309
Zhang Z, Sheng L, Yang J, Chen X-A, Kong L, Wagan B. Effects of Land Use and Slope Gradient on Soil Erosion in a Red Soil Hilly Watershed of Southern China. Sustainability. 2015; 7(10):14309-14325. https://doi.org/10.3390/su71014309
Chicago/Turabian StyleZhang, Zhanyu, Liting Sheng, Jie Yang, Xiao-An Chen, Lili Kong, and Bakhtawar Wagan. 2015. "Effects of Land Use and Slope Gradient on Soil Erosion in a Red Soil Hilly Watershed of Southern China" Sustainability 7, no. 10: 14309-14325. https://doi.org/10.3390/su71014309
APA StyleZhang, Z., Sheng, L., Yang, J., Chen, X.-A., Kong, L., & Wagan, B. (2015). Effects of Land Use and Slope Gradient on Soil Erosion in a Red Soil Hilly Watershed of Southern China. Sustainability, 7(10), 14309-14325. https://doi.org/10.3390/su71014309
