Robustness of Acoustic Scattering Cancellation to Parameter Variations
Abstract
:1. Introduction
2. Theoretical Background
Acoustic Scattering Cancellation

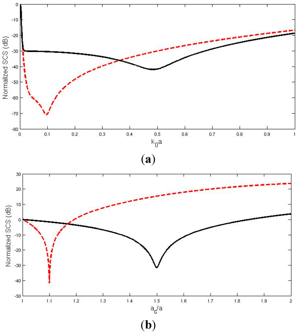
3. Results and Discussion


| k0a = 0.1
ac = 1.1a | Lower limit (%) | Upper limit (%) | k0a = 0.1
ac = 1.5a | Lower limit (%) | Upper limit (%) |
|---|---|---|---|---|---|
| density | −15.3 | 19.5 | −6.6 | 7.2 | |
| compressibility | −9.9 | 9.9 | −3.9 | 3.9 | |
| k0a = 0.5 ac = 1.1a | k0a = 0.5 ac = 1.5a | ||||
| density | −14.3 | 17.3 | −6.0 | 6.4 | |
| compressibility | −9.7 | 9.5 | −3.9 | 3.9 | |
| k0a = 1.0 ac = 1.1a | k0a = 1.0 ac = 1.5a | ||||
| density | −10.3 | 11.8 | − | − | |
| compressibility | −8.0 | 7.8 | − | − |

4. Conclusions
Author Contributions
Conflicts of Interest
References
- Bilotti, F.; Sevgi, L. Metamaterials: Definitions, Properties, Applications and FDTD-Based Modeling and Simulation. Int. J. RF Microw. Comput.-Aided Eng. 2012, 22, 422–438. [Google Scholar]
- Sihvola, A. Electromagnetic Mixing Formulas and Applications; IEEE Electromagnetic Waves Series; EEE Pub.: London, UK, 2000; p. 47. [Google Scholar]
- Bilotti, F.; Alù, A.; Engheta, N.; Vegni, L. Anomalous Properties of Scattering from Cavities Partially Loaded with Double-Negative or Single-Negative Metamaterials. Prog. Electromagn. Res. 2005, 51, 49–63. [Google Scholar] [CrossRef]
- Bilotti, F.; Nucci, L.; Vegni, L. An SRR based microwave absorber. Microw. Opt. Technol. Lett. 2006, 48, 2171–2175. [Google Scholar] [CrossRef]
- Bilotti, F.; Toscano, A.; Vegni, L.; Alici, K.B.; Aydin, K.; Ozbay, E. Equivalent circuit models for the design of metamaterials based on artificial magnetic inclusions. IEEE Trans. Microw. Theory Tech. 2007, 55, 2865–2873. [Google Scholar]
- Alù, A.; Bilotti, F.; Engheta, N.; Vegni, L. Sub-wavelength planar leaky-wave components with metamaterial bilayers. IEEE Trans. Antennas Propagat. 2007, 55, 882–891. [Google Scholar] [CrossRef]
- Bilotti, F.; Tricarico, S.; Vegni, L. Electromagnetic cloaking devices for TE and TM polarizations. New J. Phys. 2008, 10, 115035. [Google Scholar] [CrossRef]
- Bilotti, F.; Alù, A.; Vegni, L. Design of miniaturized metamaterial patch antennas with µ-negative loading. IEEE Trans. Antennas Propagat. 2008, 56, 1640–1647. [Google Scholar] [CrossRef]
- Bilotti, F.; Toscano, A.; Alici, K.B.; Ozbay, E.; Vegni, L. Design of miniaturized narrowband absorbers based on resonant magnetic inclusions. IEEE Trans. Electromag. Comp. 2011, 53, 63–72. [Google Scholar] [CrossRef]
- Tretyakov, S.A.; Maslovski, S.I.; Belov, P.A. An analytical model of metamaterials based on loaded wire dipoles. IEEE Trans. Antennas Propagat. 2003, 51, 2652–2658. [Google Scholar] [CrossRef]
- Belov, P.A.; Simovski, C.R. Subwavelength metallic waveguides loaded by uniaxial resonant scatterers. Phys. Rev. E 2005, 72, 036618. [Google Scholar] [CrossRef]
- Ramaccia, D.; Bilotti, F.; Toscano, A. Analytical model of a metasurface consisting of a regular array of sub-wavelength circular holes in a metal sheet. Prog. Electromagn. Res. M 2011, 18, 209–219. [Google Scholar]
- Ramaccia, D.; Toscano, A.; Colasante, A.; Bellaveglia, G.; lo Forti, R. Inductive tri-band double element FSS for space applications. Prog. Electromagn. Res. C 2011, 18, 87–101. [Google Scholar]
- Alù, A.; Engheta, N. Achieving Transparency with Plasmonic and Metamaterial Coatings. Phys. Rev. E 2005, 72, 016623. [Google Scholar] [CrossRef]
- Pendry, J.B.; Shuring, D.; Smith, D.R. Controlling Electromagnetic Fields. Science 2006, 312, 1780–1782. [Google Scholar] [CrossRef] [PubMed]
- Alitalo, P.; Tretyakov, S. Electromagnetic cloaking with metamaterials. Mater. Today 2009, 12, 22–29. [Google Scholar] [CrossRef]
- Alù, A.; Engheta, N. Plasmonic and metamaterial cloaking: physical mechanisms and potentials. J. Opt. A 2008, 10, 093002. [Google Scholar] [CrossRef]
- Chen, P.Y.; Soric, J.; Alù, A. Invisibility and Cloaking Based on Scattering Cancellation. Adv. Mater 2012, 24, 281–304. [Google Scholar]
- Alù, A. Mantle Cloak: Invisibility Induced by a Surface. Phys. Rev. B 2009, 80, 245115. [Google Scholar] [CrossRef]
- Monti, A.; Soric, J.; Alù, A.; Bilotti, F.; Toscano, A.; Vegni, L. Overcoming Mutual Blockage between Neighboring Dipole Antennas using a low-profile Patterned Metasurface. IEEE Antenna Wirel. Propag. Lett. 2012, 11, 1414–1417. [Google Scholar] [CrossRef]
- Monti, A.; Bilotti, F.; Toscano, A. Optical cloaking of cylindrical objects by using covers made of core-shell nano-particles. Opt. Lett. 2011, 36, 4479–4481. [Google Scholar] [CrossRef] [PubMed]
- Chen, P.Y.; Alù, A. Mantle-Cloaking Using Thin Patterned Metasurfaces. Phys. Rev. B 2011, 84, 205110. [Google Scholar] [CrossRef]
- Guild, M.D.; Haberman, M.R.; Alù, A. Plasmonic cloaking and scattering cancelation for electromagnetic and acoustic waves. Wave Motion 2011, 48, 468–482. [Google Scholar] [CrossRef]
- Norris, A.N. Acoustic Cloaking Theory. Proc. R. Soc. A: Math., Phys. Eng. Sci. 2008, 464, 2411–2434. [Google Scholar]
- Liu, Z.; Zhang, X.; Mao, Y.; Zhu, Y.Y.; Yang, Z.; Chan, C.T.; Sheng, P. Locally Resonant Sonic Materials. Science 2000, 289, 1734–1736. [Google Scholar] [CrossRef] [PubMed]
- Yang, Z.; Dai, H.M.; Chan, N.H.; Ma, C.G.; Shen, P. Acoustic Metamaterial Panels for Sound Attenuation in the 50–1000 Hz Regime. Appl. Phys. Lett. 2010, 96, 041906. [Google Scholar] [CrossRef]
- Li, J.; Chan, C.T. Double-Negative Acoustic Metamaterial. Phys. Rev. E 2004, 70, 055602. [Google Scholar] [CrossRef]
- Cummer, S.A.; Shuring, D. One path to acoustic cloaking. New J. Phys. 2007. [CrossRef]
- Papas, C.H. Theory of Electromagnetic Wave Propagation; Courier Dover Publications: Dover, UK, 1988. [Google Scholar]
© 2014 by the authors; licensee MDPI, Basel, Switzerland. This article is an open access article distributed under the terms and conditions of the Creative Commons Attribution license (http://creativecommons.org/licenses/by/3.0/).
Share and Cite
Guattari, C.; Gori, P.; De Lieto Vollaro, R.; Evangelisti, L.; Battista, G.; Basilicata, C.; Toscano, A.; Bilotti, F. Robustness of Acoustic Scattering Cancellation to Parameter Variations. Sustainability 2014, 6, 4416-4425. https://doi.org/10.3390/su6074416
Guattari C, Gori P, De Lieto Vollaro R, Evangelisti L, Battista G, Basilicata C, Toscano A, Bilotti F. Robustness of Acoustic Scattering Cancellation to Parameter Variations. Sustainability. 2014; 6(7):4416-4425. https://doi.org/10.3390/su6074416
Chicago/Turabian StyleGuattari, Claudia, Paola Gori, Roberto De Lieto Vollaro, Luca Evangelisti, Gabriele Battista, Carmine Basilicata, Alessandro Toscano, and Filiberto Bilotti. 2014. "Robustness of Acoustic Scattering Cancellation to Parameter Variations" Sustainability 6, no. 7: 4416-4425. https://doi.org/10.3390/su6074416
APA StyleGuattari, C., Gori, P., De Lieto Vollaro, R., Evangelisti, L., Battista, G., Basilicata, C., Toscano, A., & Bilotti, F. (2014). Robustness of Acoustic Scattering Cancellation to Parameter Variations. Sustainability, 6(7), 4416-4425. https://doi.org/10.3390/su6074416

