Recycled Urban Wastewater for Irrigation of Jatropha curcas L. in Abandoned Agricultural Arid Land
Abstract
:1. Introduction
2. Material and Methods
2.1. Description of Study Site

2.2. Experimental Design
2.3. Irrigation Water Sampling and Analysis
2.4. Soil Sampling and Analysis
2.5. Plant Sampling and Analysis
2.5.1. Leaf Mineral Composition
2.5.2. Stable Carbon Isotope Discrimination
2.5.3. Plant Morphometrical Characteristics
2.5.4. Seed Production
2.6. Statistical Analysis
3. Results
3.1. Irrigation Water Quality
| Variable | DBW | RWW |
|---|---|---|
| TSS mg·L−1 | 1.0 ± 1.5 | 24.0 ± 25.3 * |
| pH | 6.8 ± 0.3 | 8.0 ± 1.0 * |
| EC dS·m−1 | 0.3 ± 0.1 | 1.8 ± 0.2 * |
| SAR (meq·L−1)0.5 | 10.9 ± 3.5 | 11.4 ± 1.7 |
| Ca2+ mg·L−1 | 0.8 ± 0.4 | 21.0 ± 3.2 * |
| Mg2+ mg·L−1 | 1.3 ± 2.1 | 13.1 ± 2.6 * |
| K+ mg·L−1 | 1.1 ± 1.1 | 34.4 ± 4.0 * |
| Na+ mg·L−1 | 57.1 ± 27.1 | 270.0 ± 40.7 * |
| Cl−1 mg·L−1 | 67.9 ± 19.5 | 425.0 ± 72.0 * |
| B mg·L−1 | 1.9 ± 0.3 | 0.9 ± 0.2 * |
| N-NH4+ mg·L−1 | 0.14 ± 0.01 | 1.7 ± 3.0 |
| N-NO3− mg·L−1 | 5.0 ± 1.9 | 7.4 ± 7.1 |
| TN mg·L−1 | n.d | 16.3 ± 11.3 |
| S-SO42− mg·L−1 | 7.7 ± 2.5 | 55.3 ± 11.8 * |
| TP mg·L−1 | <1 | 5.9 ± 2.8 |
| COD mg·L−1 | n.d | 49.9 ± 22.1 |
| BOD mg·L−1 | n.d | 10.4 ± 8.9 |
3.2. Initial Soil Chemical Properties
| Variable | Soil TH | Soil TT | ||||
|---|---|---|---|---|---|---|
| Initial Soil | DBW | RWW | Initial Soil | DBW | RWW | |
| 0–20 cm | 0–20 cm | |||||
| pHs | 8.9 ± 0.1 a | 8.9 ± 0.2 a | 8.6 ± 0.0 b | 8.5 ± 0.3 a | 8.4 ± 0.1 a | 8.2 ± 0.2 a |
| ECs (dS·m−1) | 2.5 ± 0.4 a | 13.2 ± 10.3 a | 6.1 ± 1.8 a | 1.2 ± 0.2 a | 6.3 ± 5.3 ab | 24.1 ± 6.1 b |
| Exch. Na (cmolc·kg−1) | 15.0 ± 4.2 a | 14.3 ± 7.5 ab | 5.5 ± 0.9 b | 5.6 ± 1.3 a | 2.4 ± 0.4 b | 5.5 ± 2.2 a |
| Exch. K (cmolc·kg−1) | 2.7 ± 0.9 a | 1.8 ± 0.1 a | 2.8 ± 0.2 a | 2.6 ± 0.2 a | 1.2 ± 0.4 b | 2.5 ± 0.6 a |
| Exch. Ca (cmolc·kg−1) | 17.2 ± 1.4 a | 14.6 ± 6.7 a | 19.6 ± 1.3 a | 15.4 ± 2.6 a | 16.7 ± 3.7 a | 15.0 ± 0.4 a |
| Exch. Mg (cmolc·kg−1) | 7.3 ± 0.9 a | 5.5 ± 2.4 a | 7.0 ± 0.9 a | 4.1 ± 1.2 a | 3.1 ± 1.4 a | 3.9 ± 0.6 a |
| SAR (meq·L−1)0.5 | 24.3 ± 3.7 a | 40.9 ± 26.0 a | 15.2 ± 5.3 a | 14.8 ± 4.4 a | 11.3 ± 4.0 a | 29.9 ± 8.9 b |
| CaCO3 (g·kg−1) | 103.9 ± 6.4 a | 95.3 ± 25.7 a | 102 ± 2.4 a | 75.4 ± 11.0 a | 43.8 ± 25.8 a | 72.3 ± 30.3 a |
| Organic C (g·kg−1) | 4.8 ± 0.9 a | 3.7 ± 0.4 a | 5.0 ± 0.7 a | 4.4 ± 1.0 a | 3.2 ± 1.6 a | 3.8 ± 2.2 a |
| TN (g·kg−1) | 0.5 ± 0.1 a | 0.5 ± 0.0 a | 0.5 ± 0.3 a | 0.4 ± 0.1 a | 0.5 ± 0.2 a | 0.5 ± 0.1 a |
| Olsen-P (mg·kg−1) | 23.6 ± 9.4 ab | 15.2 ± 10.6 a | 43.5 ± 17.9 b | 20.8 ± 12.5 a | 16.1 ± 11.6 a | 28.6 ± 8.6 a |
| Bs (mg·L−1) | 2.1 ± 0.3 a | 3.4 ± 1.5 a | 1.9 ± 1.6 a | 0.9 ± 0.2 a | 3.4 ± 0.8 b | 3.9 ± 1.4 b |
| HWSB (mg·kg−1) | 2.3 ± 1.8 a | 6.6 ± 1.7 b | 4.5 ± 1.5 ab | 1.1 ± 0.9 a | 4.4 ± 0.2 b | 5.9 ± 2.3 b |
| 20–40 cm | 20–40 cm | |||||
| pHs | 8.5 ± 0.3 a | 9.2 ± 0.2 b | 8.5 ± 0.4 a | 8.5 ± 0.2 a | 9.0 ± 0.4 a | 8.7 ± 0.4 a |
| ECs (dS·m−1) | 7.4 ± 4.7 a | 3.3 ± 1.3 a | 3.2 ± 0.8 a | 1.5 ± 0.9 a | 1.5 ± 0.5 a | 5.5 ± 2.0 b |
| Exch. Na (cmolc·kg−1) | 13.6 ± 5.8 a | 12.0 ± 1.4 a | 4.6 ± 0.9 a | 6.8 ± 2.2 a | 1.7 ± 0.5 b | 3.7 ± 0.4 a |
| Exch. K (cmolc·kg−1) | 2.1 ± 0.7 a | 1.3 ± 0.5 a | 2.0 ± 0.3 a | 2.0 ± 0.4 a | 1.2 ± 0.3 b | 1.8 ± 0.1 ab |
| Exch. Ca (cmolc·kg−1) | 18.9 ± 2.1 a | 13.6 ± 1.6 b | 19.9 ± 1.4 a | 14.3 ± 2.2 a | 17.9 ± 3.0 a | 17.0 ± 2.2 a |
| Exch. Mg (cmolc·kg−1) | 7.9 ± 0.8 a | 6.1 ± 1.2 b | 8.5 ± 0.7 a | 3.4 ± 1.0 a | 3.7 ± 0.5 a | 4.6 ± 0.5 a |
| SAR (meq·L−1)0.5 | 41.5 ± 11.7 a | 26.3 ± 7.2 ab | 13.5 ± 2.5 b | 16.5 ± 6.4 a | 7.2 ± 0.2 a | 17.2 ± 5.1 a |
| CaCO3 (g·kg−1) | 102.2 ± 6.0 a | 100.2 ± 10.2 a | 106.1 ± 11.6 a | 74.3 ± 12.9 a | 43.6 ± 47.3 a | 69.5 ± 14.3 a |
| Organic C (g·kg−1) | 4.8 ± 1.0 a | 3.2 ± 0.7 ab | 2.3 ± 1.2 b | 2.5 ± 1.8 a | 0.9 ± 0.8 a | 1.7 ± 1.3 a |
| TN (g·kg−1) | 0.5 ± 0.1 a | 0.4 ± 0.0 a | 0.4 ± 0.0 a | 0.3 ± 0.1 a | 0.2 ± 0.0 a | 0.3 ± 0.0 a |
| Olsen-P (mg·kg−1) | 19.6 ± 9.6 a | 12.3 ± 6.3 a | 17.8 ± 6.2 a | 13.7 ± 9.7 a | 9.6 ± 4.6 a | 12.2 ± 3.2 a |
| Bs (mg·L−1) | 2.5 ± 0.4 a | 1.8 ± 1.5 a | 0.5 ± 0.3 a | 1.5 ± 0.7 a | 1.6 ± 0.4 a | 1.2 ± 0.3 a |
| HWSB (mg·kg−1) | 2.4 ± 1.9 a | 5.7 ± 3.5 a | 2.0 ± 1.0 a | 1.3 ± 1.2 a | 2.6 ± 1.2 a | 1.9 ± 0.8 a |
3.3. Effects of Irrigation on Soil Properties
3.4. Leaf Mineral Composition
| Leaf Type | Nutrient | Soil TH | Soil TT | ||
|---|---|---|---|---|---|
| DBW | RWW | DBW | RWW | ||
| Leaf ~ 1 month | N (g·kg−1) | 46.3 ± 3.0 | 56.3 ± 3.2 | 31.1 ± 4.2 | 25.9 ± 2.5 * |
| P (g·kg−1) | 6.3 ± 1.4 | 7.6 ± 0.3 | 5.4 ± 0.9 | 4.6 ± 0.8 * | |
| K (g·kg−1) | 34.0 ± 3.7 | 38.5 ± 2.0 | 48.0 ± 5.6 | 39.8 ± 12.5 | |
| Ca (g·kg−1) | 7.5 ± 1.3 | 6.7 ± 0.3 | 10.1 ± 1.6 | 10.1 ± 1.6 * | |
| Mg (g·kg−1) | 7.8 ± 1.0 | 6.4 ± 0.2 | 11.1 ± 1.2 | 10.5 ± 1.9 | |
| Na (g·kg−1) | 7.6 ± 2.8 | 4.1 ± 0.5 | 5.3 ± 0.7 | 7.7 ± 0.6 | |
| S (g·kg−1) | 2.6 ± 0.3 | 3.1 ± 0.1 | 2.4 ± 0.0 | 2.0 ± 0.0 * | |
| B (mg·kg−1) | 109.5 ± 20.8 | 68.3 ± 9.3 | 246.1 ± 16.5 | 196.5 ± 14.6 * β α | |
| Cu (mg·kg−1) | 12.6 ± 2.1 | 15.0 ± 1.3 | 9.3 ± 2.9 | 7.8 ± 2.1 * | |
| Fe (mg·kg−1) | 362.3 ± 73.7 | 357.0 ± 22.3 | 310.6 ± 8.0 | 454.8 ± 149.7 | |
| Mn (mg·kg−1) | 36.4 ± 12.6 | 48.6 ± 0.6 | 29.3 ± 4.1 | 29.3 ± 4.0 * | |
| Zn (mg·kg−1) | 34.0 ± 8.3 | 46.0 ± 1.1 | 26.4 ± 6.0 | 19.5 ± 5.4 * | |
| Leaf ~ 6 months | N (g·kg−1) | 17.0 ± 2.6 | 20.1 ± 2.5 | 17.0 ± 1.4 | 14.2 ± 0.4 * |
| P (g·kg−1) | 4.4 ± 0.6 | 5.5 ± 1.2 | 4.0 ± 0.8 | 2.5 ± 0.2 * | |
| K (g·kg−1) | 16.0 ± 2.3 | 15.4 ± 1.2 | 43.1 ± 5.9 | 34.0 ± 5.2 * | |
| Ca (g·kg−1) | 19.6 ± 4.7 | 26.2 ± 3.6 | 27.7 ± 3.6 | 24.6 ± 2.0 | |
| Mg (g·kg−1) | 11.0 ± 1.9 | 14.6 ± 1.3 | 17.4 ± 2.6 | 14.4 ± 1.3 * | |
| Na (g·kg−1) | 25.2 ± 7.0 | 19.4 ± 2.8 | 8.5 ± 2.8 | 8.5 ± 0.8 * | |
| S (g·kg−1) | 1.4 ± 0.2 | 1.5 ± 0.1 | 1.6 ± 0.2 | 1.3 ± 0.2 | |
| B (mg·kg−1) | 459.0 ± 101.0 | 279.3 ± 31.3 | 583.8 ± 165 | 369.6 ± 70.8 β | |
| Cu (mg·kg−1) | 8.8 ± 0.5 | 10.2 ± 1.3 | 6.9 ± 1.9 | 6.3 ± 1.3 * | |
| Fe (mg·kg−1) | 914.0 ± 129.3 | 921.0 ± 212.0 | 654.0 ± 265.3 | 737.7 ± 29.7 | |
| Mn (mg·kg−1) | 56.8 ± 12.7 | 70.2 ± 2.9 | 48.2 ± 5.4 | 43.9 ± 2.8 * | |
| Zn (mg·kg−1) | 14.4 ± 2.8 | 14.1 ± 0.7 | 21.8 ± 6.7 | 18.5 ± 3.7 | |
3.5. Stable Carbon Isotope Discrimination

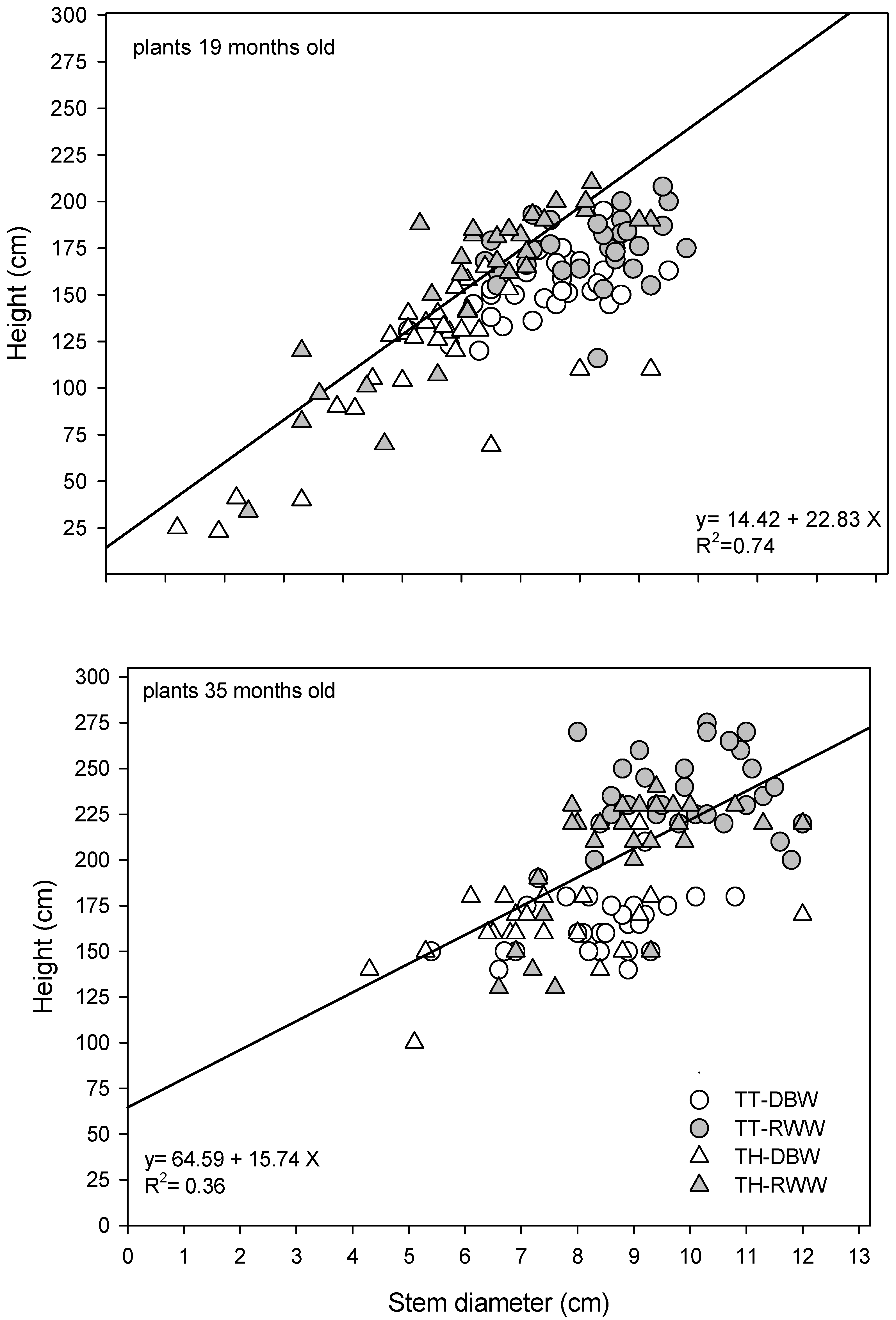
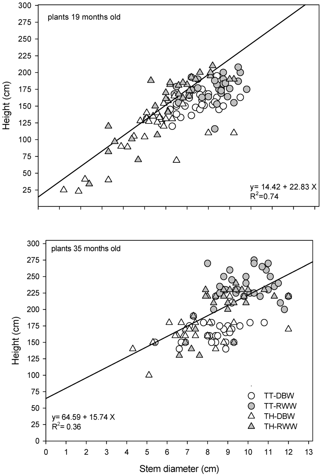
3.6. Plant Morphometrical Characteristics
3.7. Seed Production


3.8. Relationship between Productivity, Soil Properties and Mineral Plant Composition


4. Discussion
4.1. Effects of Irrigation on Soil Properties
4.2. Leaf Mineral Composition
4.3. Stable Carbon Isotope Discrimination
4.4. Plant Morphometrical Characteristics
4.5. Seed Production and Relationship with Soil Properties and Mineral Plant Composition
5. Conclusions
Acknowledgments
Author Contributions
Conflicts of Interest
References
- May, Y.K.; Tinia, I.M.G. A review of biodiesel production from Jatropha curcas L. oil. Renew. Sustain. Energy Rev. 2011, 15, 2240–2251. [Google Scholar] [CrossRef]
- Verrastro, F.; Ladislaw, S. Providing energy security in an interdependent world. Wash. Q. 2007, 30, 95–104. [Google Scholar] [CrossRef]
- Jingura, R.M. Technical options for optimization of production of Jatropha as a biofuel feedstock in arid and semi-arid areas of Zimbabwe. Biomass Bioenergy 2011, 35, 2127–2132. [Google Scholar] [CrossRef]
- Achten, W.M.J.; Verchot, L.; Franken, Y.J.; Mathijs, E.; Singh, V.P.; Aerts, R.; Muys, B. Jatropha bio-diesel production and use. Biomass Bioenergy 2008, 32, 1063–1084. [Google Scholar] [CrossRef]
- Kheira, A.A.A.; Atta, N.M.M. Response of Jatropha curcas L. to water deficits: Yield, water use efficiency and oilseed characteristics. Biomass Bioenergy 2009, 33, 1343–1350. [Google Scholar] [CrossRef]
- FAO. Food and Agriculture Organization of the United Nations Jatropha a Smallholder Bioenergy Crop. The Potential for Pro-Poor Development; FAO, Integrated Crop Management: Rome, Italy, 2010; Volume 8, pp. 1–114. [Google Scholar]
- Contran, N.; Chessa, L.; Lubino, M.; Bellavite, D.; Roggero, P.P.; Enne, G. State of the art of the Jatropha curcas productive chain, from sowing to biodiesel and by-products. Ind. Crops Prod. 2013, 42, 202–215. [Google Scholar] [CrossRef]
- Everson, C.S.; Mengistu, M.G.; Gush, M.B. A Field Assessment of the Agronomic Performance and Water Use of Jatropha curcas in South Africa. Biomass and Bioenergy. 2012. Available online: http://dx.doi.org/10.1016/j.biombioe.2012.03.013 (accessed on 30 April 2012).
- Behera, S.K.; Srivastava, P.; Tripathi, R.; Singh, J.P.; Singh, N. Evaluation of plant performance of Jatropha curcas L. under different agro-practices for optimizing biomass—A case study. Biomass Bioenergy 2010, 32, 30–41. [Google Scholar] [CrossRef]
- FACT. Position Paper on Jatropha curcas L. State of the Art, Small and Large Scale Project Development. Fuels from Agriculture in Communal Technology. 2007. Available online: http://www.fact-foundation.com/ (accessed on 10 September 2013).
- Maes, W.H.; Trabucco, A.; Achten, W.M.J.; Muys, B. Climatic growing conditions of Jatropha curcas L. Biomass Bioenergy 2009, 33, 1481–1485. [Google Scholar] [CrossRef]
- Da Fonseca, A.F.; Herpin, U.; de Paula, A.M.; Victóri, R.L.; Melfi, A.J. Agricultural use of treated sewage effluents, agronomic and environmental implications and perspectives for Brazil. Sci. Agric. 2007, 64, 194–209. [Google Scholar] [CrossRef]
- Ayers, R.S.; Westcot, D.W. Water Quality for Agriculture; FAO Irrigation and Drainage Paper 29 (Rev 1.); Food and Agriculture Organization of the United Nations: Rome, Italy, 1985. [Google Scholar]
- Dagar, J.C.; Tomar, O.S.; Kumar, Y.; Bhagwan, H.; Yadav, R.K.; Tyagi, K. Performance of some under-explored crops under saline irrigation in a semiarid climate in northwest India. Land Degrad. Dev. 2006, 17, 285–299. [Google Scholar] [CrossRef]
- FAO Ecocrop. Ecocrop Jatropha. 2010. Available online: http://ecocrop.fao.org/ecocrop/srv/en/dataSheet?id=1297 (accessed on 13 May 2013).
- Rajaona, A.M.; Sutterer, N.; Asch, F. Potential of Waste Water Use for Jatropha Cultivation in Arid Environments. Agriculture 2012, 2, 376–392. [Google Scholar] [CrossRef]
- De Miguel, A.; Martínez-Hernández, V.; Leal, M.; González-Naranjo, V.; Bustamante, I.; Lillo, J.; Martín, I.; Salas, J.J.; Palacios-Díaz, M.P. Short-term effects of reclaimed water of irrigation, Jatropha curcas L. cultivation. Ecol. Eng. 2012, 50, 44–51. [Google Scholar] [CrossRef]
- Heller, J. Physic Nut. Jatropha curcas L. Promoting the Conservation and Use of Underutilized and Neglected Crops. 1. [Internet Monograph]. Rome: International Plant Genetic Resources Institute. 1996. Available online: http://www.bioversityinternational.org/nc/publications/issue/physic_nut_emjatropha_curcasem_l.html (accessed on 15 August 2013).
- Kumar, A.; Sharma, S. An evaluation of multipurpose oil seed crop for industrial uses (Jatropha curcas L.): A review. Ind. Crops Prod. 2008, 28, 1–10. [Google Scholar] [CrossRef]
- Gour, V.K. Production practices including post-harvest management of Jatropha curcas. In Proceedings of the Biodiesel Conference toward Energy Independence—Focus of Jatropha, Hyderabad, India, 9–10 June 2006; Singh, B., Swaminathan, R., Ponraj, V., Eds.; Rashtrapati Bhawan: New Delhi, India, 2006; pp. 223–251. [Google Scholar]
- Valdés-Rodríguez, O.A.; Sánchez-Sánchez, O.; Pérez-Vázquez, A.; Ruiz-Bello, R. Soil texture effects on the development of Jatropha seedlings—Mexican variety “piñón manso”. Biomass Bioenergy 2011, 35, 3529–3536. [Google Scholar] [CrossRef]
- Tewari, D.N. Jatropha and Biodiesel, 1st ed.; Ocean Books Limited: New Delhi, India, 2007. [Google Scholar]
- FAO. Food and Agriculture Organization of the United Nations. In Crop Evapotranspiration—Guidelines for Computing Crop Water Requirements—FAO Irrigation and Drainage; Paper 56; FAO: Rome, Italy, 1998. [Google Scholar]
- Soil Survey Staff. Keys to Soil Taxonomy, 11th ed.; USDA, Natural Resources Conservation Service: Washington, DC, USA, 2010; p. 338. [Google Scholar]
- APHA. Standard Methods for the Examination of Water and Wastewater, 20th ed.; APHA Publication Office: Washington, DC, USA, 1998. [Google Scholar]
- Soil Survey Staff. Soil Survey Laboratory Methods Manual; Soil Survey Investigations Report 42; USDA-NRCS, National Soil Survey Center: Lincoln, NE, USA, 1996. [Google Scholar]
- USEPA. Method 3015-microwave assisted acid digestion of aqueous samples. In Test Methods for Evaluating Solid Waste, 3rd ed.; United States Environmental Protection Agency (USEPA): Washington, DC, USA, 1994; p. 26. [Google Scholar]
- Farquhar, G.D.; Ehleringer, J.R.; Hubick, K.T. Carbon isotope discrimination and photosynthesis. Annu. Rev. Plant Physiol. Plant Mol. Biol. 1989, 40, 503–537. [Google Scholar] [CrossRef]
- Grieve, C.M.; Grattan, S.R.; Maas, E.V. Plant salt tolerance. In ASCE Manual and Reports on Engineering Practice No. 71 Agricultural Salinity Assessment and Management, 2nd ed.; Wallender, W.W., Tanji, K.K., Eds.; ASCE: Reston, VA, USA, 2012. [Google Scholar]
- Qadir, M.; Schubert, S. Degradation processes and nutrient constraints in sodic soils. Land Degrad. Dev. 2002, 13, 275–294. [Google Scholar] [CrossRef]
- Muyen, Z.; Moore, G.A.; Wrigley, R.J. Soil salinity and sodicity effects of wastewater irrigation in South East Australia. Agric. Water Manag. 2011, 99, 33–41. [Google Scholar] [CrossRef]
- Tejedor, M.; Jiménez, C.; Hernández-Moreno, J.M.; Díaz, F. Tephra-mulched soils irrigated with reclaimed urban wastewater in former dry-farming systems of Lanzarote (Spain). Catena 2011, 84, 108–113. [Google Scholar] [CrossRef]
- Díaz, F.J.; Tejedor, M.; Jiménez, C.; Grattan, S.R.; Dorta, M.; Hernández, J.M. The imprint of desalinated seawater on recycled wastewater: Consequences for irrigation in Lanzarote Island, Spain. Agric. Water Manag. 2013, 116, 62–72. [Google Scholar] [CrossRef]
- Pereira, B.F.F.; He, Z.L.; Silva, M.S.; Herpin, U.; Nogueira, S.F.; Montes, C.R.; Melfi, A.J. Reclaimed wastewater: Impact on soil–plant system under tropical conditions. J. Hazard. Mater. 2011, 192, 54–61. [Google Scholar] [PubMed]
- Mohammad, M.J.; Mazahreh, N. Changes in soil fertility parameters in response to irrigation of forage crops with secondary treated wastewater. Commun. Soil Sci. Plant Anal. 2003, 34, 1281–1294. [Google Scholar] [CrossRef]
- Rusan, M.J.M.; Hinnawi, S.; Rousan, L. Long term effect of wastewater irrigation of forage crops on soil and plant quality parameters. Desalination 2007, 215, 143–152. [Google Scholar] [CrossRef]
- Chen, Y.; Dosoretz, C.G.; Katz, I.; Jüeschke, E.; Marschner, B.; Tarchitzky, J. Organic matter in wastewater and treated wastewater-irrigated soils, properties and effects. In Treated Wastewater in Agriculture, Use and Impacts on the Soil Environment and Crops; Levy, G., Fines, P., Bar-Tal, A., Eds.; Wiley-Blackwell Publishing Ltd.: Oxford, UK, 2011; pp. 400–414. [Google Scholar]
- Leal, R.M.P.; Firme, L.P.; Herpin, U.; da Fonseca, A.F.; Montes, C.R.; dos Santos Dias, C.T.; Melfi, A.J. Carbon and nitrogen cycling in a tropical Brazilian soil cropped with sugarcane and irrigated with wastewater. Agric. Water Manag. 2010, 97, 271–276. [Google Scholar] [CrossRef]
- Van Heerwaarden, L.M.; Toet, S.; Aerts, R. Nitrogen and phosphorus resorption efficiency and proficiency in six sub-arctic bog species after 4 years of nitrogen fertilization. J. Ecol. 2003, 91, 1060–1070. [Google Scholar] [CrossRef]
- Yermiyahu, U.; Ben-Gal, A. Boron Toxicity in Grapevine. HortScience 2006, 41, 1698–1703. [Google Scholar]
- Laviola, B.G.; Dias, L.A.D. Nutrient concentration in Jatropha curcas L., leaves and fruit and estimated extraction at harvest. Rev. Bras. Cienc. Solo 2008, 32, 1969–1975. [Google Scholar] [CrossRef]
- Chaudhary, D.R.; Ghosh, A.; Chikara, J.; Patolia, J.S. Soil characteristics and mineral nutrient in wild Jatropha population of India. Commun. Soil Sci. Plant Anal. 2008, 39, 1476–1485. [Google Scholar] [CrossRef]
- Poss, J.A.; Grattan, S.R.; Suarez, D.L.; Grieve, C.M. Stable carbon isotope discrimination, an indicator of cumulative salinity and boron stress in Eucalyptus camaldulensis. Tree Physiol. 2000, 20, 1121–1127. [Google Scholar] [CrossRef] [PubMed]
- O’Leary, M.H. Carbon isotope fractionation in plants. Phytochemistry 1981, 20, 553–567. [Google Scholar] [CrossRef]
- Ehleringer, J.R.; Hall, A.E.; Farquhar, G.D. Stable Isotopes and Plant Carbon–Water Relations; Academic Press: London, UK, 1993; p. 555. [Google Scholar]
- Communar, G.; Keren, R. Boron adsorption by soils as affected by dissolved organic matter from treated sewage effluent. Soil Sci. Soc. Am. J. 2008, 72, 492–499. [Google Scholar] [CrossRef]
- Li, K.; Yang, W.Y.; Li, Z.C.H.; Cui, Y.Z.; Sun, Y.Y. Distribution and development strategy for Jatropha curcas L. in Yunnan Province, southwest China. For. Stud. China 2007, 9, 120–126. [Google Scholar] [CrossRef]
- Nery, A.R.; Rodrigues, L.N.; Silva, M.B.R.; Fernandes, P.D.; Chaves, L.H.G.; Dantas Neto, J.; Gheyi, H.R. Crescimento do pinhão-manso irrigado com águas salinas em ambiente protegido. Rev. Bras. Eng. Agríc. Ambient. 2009, 13, 551–558. [Google Scholar] [CrossRef]
- Cavalcante-Sousa, A.E.; Gheyi, H.R.; Guedes Correia, K.; Loureiro Soares, F.A.; Gomes-Nobre, R. Growth and water consumption of physic nut under salt stress and phosphorus levels. Rev. Ciênc. Agron. 2011, 42, 310–318. [Google Scholar] [CrossRef]
- Veras, R.P.; Laime, E.M.O.; Fernandes, P.D.; Soares, F.A.L.; Freire, E.A. Altura de planta, diâmetro caulinar e produção do pinhão-manso irrigado sob diferentes níveis de salinidade. Rev. Bras. Eng. Agríc. Ambient. 2011, 15, 582–587. [Google Scholar] [CrossRef]
- Simón, I.; Díaz-López, L.; Gimeno, V.; Nieves, M.; Walter, E.; Pereira, W.E.; Martínez, V.; Lidon, V.; García-Sánchez, F. Effects of boron excess in nutrient solution on growth, mineral nutrition, and physiological parameters of Jatropha curcas seedlings. J. Plant Nutr. Soil Sci. 2013, 176, 165–174. [Google Scholar] [CrossRef]
- Openshaw, K. A review of Jatropha curcas, an oil plant of unfulfilled promise. Biomass Bioenergy 2000, 19, 1–15. [Google Scholar] [CrossRef]
- Sharma, G.D.; Gupta, S.N.; Khabiruddin, M. Cultivation of Jatropha curcas as future source of hydrocarbon and other industrial products. In Biofuels and industrial products from Jatropha curcas, Proceedings from the symposium “Jatropha 1997”, Managua, Nicaragua, 23–27 February 1997; Gubitz, G.M., Mittelbach, M., Trabi, M., Eds.; Dbv-Verlag: Graz, Austria, 1997; pp. 19–21. [Google Scholar]
- Francis, G.; Edinger, R.; Becker, K. A concept for simultaneous wasteland reclamation, fuel production, and socio-economic development in degraded areas in India: Need, potential and perspectives of Jatropha plantations. Nat. Resour. Forum 2005, 29, 12–24. [Google Scholar] [CrossRef]
- Singh, L.; Bargali, S.S.; Swamy, S.L. Production practices and post-harvest management. In Proceedings of the Biodiesel Conference toward Energy Independence-Focus of Jatropha, Hyderabad, India, 9–10 June 2006; Singh, B., Swaminathan, R., Ponraj, V., Eds.; Rashtrapati Bhawan: New Delhi, India, 2006; pp. 252–267. [Google Scholar]
- Prajapati, N.D.; Prajapati, T. A Handbook of Jatropha curcas Linn. (Physic Nut); Asian Medical Plants & Health Care Trust: Jodhpur, India, 2005. [Google Scholar]
- Jatropha World. 2013. Available online: http://www.jatrophabiodiesel.org/jatrophaPlantation.php (accessed on 15 September 2013).
- Ariza-Montobbio, P.; Lele, S. Jatropha plantations for biodiesel in Tamil Nadu, India: Viability, livelihood trade-offs, and latent conflict. Ecol. Econ. 2010, 70, 189–195. [Google Scholar] [CrossRef]
- Tikko, A.; Yadav, S.S.; Kaushik, N. Effect of irrigation, nitrogen and potassium on seed yield and oil content of Jatropha curcas in coarse textured soils of northwest India. Soil Tillage Res. 2013, 134, 142–146. [Google Scholar] [CrossRef]
- Günes, A.; Alpaslan, M. Boron uptake and toxicity in maize genotypes in relation to boron and phosphorus supply. J. Plant Nutr. 2000, 23, 541–550. [Google Scholar] [CrossRef]
- Kaya, C.; Tuna, A.; Dikilitas, M.; Ashraf, M.; Koskeroglu, S.; Guneri, M. Supplemental phosphorus can alleviate boron toxicity in tomato. Sci. Hortic. 2009, 121, 284–288. [Google Scholar] [CrossRef]
- Sotiropoulos, T.E.; Therios, I.N.; Dimassi, K.N. Calcium application as a means to improve tolerance of kiwifruit (Actinidiadeliciosa L.) to boron toxicity. Sci. Hortic. 1999, 81, 443–449. [Google Scholar] [CrossRef]
- Kumar, A.A.; Sharma, S.; Mishra, S. Effect of alkalinity on growth performance of Jatropha curcas inoculated with PGPR and AM fungi. J. Phytol. 2009, 1, 177–184. [Google Scholar]
- Díaz-López, L.; Gimeno, V.; Simón, I.; Martínez, V.; Rodríguez-Ortega, W.M.; García-Sánchez, F. Jatropha curcas seedlings show a water conservation strategy under drought conditions based on decreasing leaf growth and stomatal conductance. Agric. Water Manag. 2012, 105, 48–56. [Google Scholar] [CrossRef]
- Díaz, J.F.; Grattan, S.R. Performance of tall wheatgrass (Thinopyrumponticum, cv. “Jose”) irrigated with saline-high boron drainage water: Implications on ruminant mineral nutrition. Agric. Ecosyst. Environ. 2009, 131, 128–136. [Google Scholar] [CrossRef]
© 2014 by the authors; licensee MDPI, Basel, Switzerland. This article is an open access article distributed under the terms and conditions of the Creative Commons Attribution license (http://creativecommons.org/licenses/by/4.0/).
Share and Cite
Dorta-Santos, M.; Tejedor, M.; Jiménez, C.; Hernández-Moreno, J.M.; Palacios-Díaz, M.P.; Díaz, F.J. Recycled Urban Wastewater for Irrigation of Jatropha curcas L. in Abandoned Agricultural Arid Land. Sustainability 2014, 6, 6902-6924. https://doi.org/10.3390/su6106902
Dorta-Santos M, Tejedor M, Jiménez C, Hernández-Moreno JM, Palacios-Díaz MP, Díaz FJ. Recycled Urban Wastewater for Irrigation of Jatropha curcas L. in Abandoned Agricultural Arid Land. Sustainability. 2014; 6(10):6902-6924. https://doi.org/10.3390/su6106902
Chicago/Turabian StyleDorta-Santos, María, Marisa Tejedor, Concepción Jiménez, Jose M. Hernández-Moreno, M. Pino Palacios-Díaz, and Francisco J. Díaz. 2014. "Recycled Urban Wastewater for Irrigation of Jatropha curcas L. in Abandoned Agricultural Arid Land" Sustainability 6, no. 10: 6902-6924. https://doi.org/10.3390/su6106902
APA StyleDorta-Santos, M., Tejedor, M., Jiménez, C., Hernández-Moreno, J. M., Palacios-Díaz, M. P., & Díaz, F. J. (2014). Recycled Urban Wastewater for Irrigation of Jatropha curcas L. in Abandoned Agricultural Arid Land. Sustainability, 6(10), 6902-6924. https://doi.org/10.3390/su6106902
