Mechanistic Insights into Travertine Deposition Mediated by Submerged Macrophytes: A Comparative Study of V. natans and C. demersum
Abstract
1. Introduction
2. Materials and Methods
2.1. Cultivation of Submerged Macrophytes
2.2. Experimental Design
2.3. Determination of Water Physicochemical Parameters and Plant Growth Indicators
2.4. Morphological and Phase-Structural Analysis of Travertine
2.5. Analysis of Microbial Community
2.6. Statistical Analysis
3. Results
3.1. Effects of Submerged Macrophytes on Water Chemistry
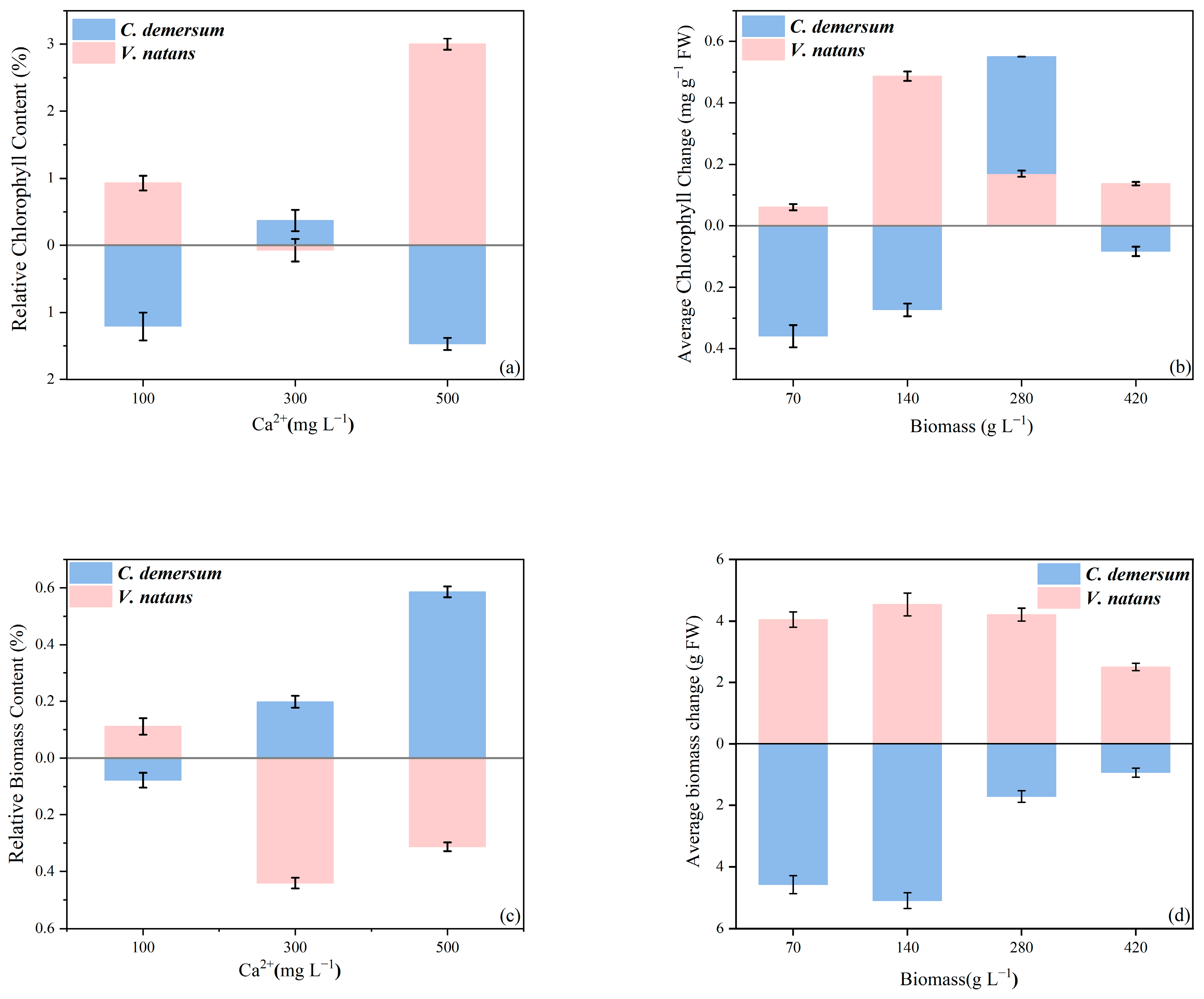
3.2. Plant Growth Under Different Experimental Conditions
3.3. Travertine Deposition Rate Analysis
3.4. Morphological and Phase-Structural Characteristics of Travertine Crystal
3.5. Microbial Diversity Analysis
4. Discussion
5. Conclusions
Supplementary Materials
Author Contributions
Funding
Institutional Review Board Statement
Informed Consent Statement
Data Availability Statement
Conflicts of Interest
References
- Li, H.; Liao, C.; Jiang, D.; Jiang, G. The status quo and prospect of research on travertine precipitation mechanism. Carsologica Sin. 2006, 1, 57–62. [Google Scholar]
- Xue, Q.; Jie, D.; Stefano, L.; Jinhai, R.; Weiyang, X.; Pan, C.; Ya, T. Are climate warming and enhanced atmospheric deposition of sulfur and nitrogen threatening tufa landscapes in Jiuzhaigou National Nature Reserve, Sichuan, China? Sci. Total Environ. 2016, 562, 724–731. [Google Scholar]
- Çiltepe, F.; Uzun, A. An Investigation of Tufa Microbialites in the Terrestrial Ecosystem of Adilcevaz (Bitlis) According to the Conservation Approach. Geoheritage 2024, 16, 23. [Google Scholar] [CrossRef]
- Liu, Z.; Dreybrodt, W. The DBL model and prediction of calcite dissolution/precipitation rates. Carsologica Sin. 1998, 17, 3–9. [Google Scholar]
- Jones, B. Review of calcium carbonate polymorph precipitation in spring systems. Sediment. Geol. 2017, 353, 64–75. [Google Scholar] [CrossRef]
- Allan, P.; Pietro, C. The role of photosynthesis and CO2 evasion in travertine formation: A quantitative investigation at an important travertine-depositing hot spring, Le Zitelle, Lazio, Italy. J. Geol. Soc. 2007, 164, 843–853. [Google Scholar]
- Busch, F.A.; Sage, T.L.; Cousins, A.B.; Sage, R.F. C3 plants enhance rates of photosynthesis by reassimilating photorespired and respired CO2. Plant Cell Environ. 2013, 36, 200–212. [Google Scholar] [CrossRef]
- Clark, I.D.; Fontes, J.-C.; Fritz, P. Stable isotope disequilibria in travertine from high pH waters: Laboratory investigations and field observations from Oman. Geochim. Cosmochim. Acta 1992, 56, 2041–2050. [Google Scholar] [CrossRef]
- Fouke, B.W.; Farmer, J.D.; Marais, D.J.D.; Pratt, L.; Sturchio, N.C.; Burns, P.C.; Discipulo, M.K. Depositional facies and aqueous-solid geochemistry of travertine-depositing hot springs (Angel Terrace, Mammoth Hot Springs, Yellowstone National Park, U.S.A.). J. Sediment. Res. 2000, 70, 565–585. [Google Scholar] [CrossRef]
- Decho, A.W. Overview of biopolymer-induced mineralization: What goes on in biofilms? Ecol. Eng. 2010, 36, 137–144. [Google Scholar] [CrossRef]
- Sugihara, C.; Yanagawa, K.; Okumura, T.; Takashima, C.; Harijoko, A.; Kano, A. Transition of microbiological and sedimentological features associated with the geochemical gradient in a travertine mound in northern Sumatra, Indonesia. Sediment. Geol. 2016, 343, 85–98. [Google Scholar] [CrossRef]
- Peng, X.; Jones, B. Patterns of biomediated CaCO3 crystal bushes in hot spring deposits. Sediment. Geol. 2013, 294, 105–117. [Google Scholar] [CrossRef]
- Li, Q.; Gu, P.; Zhang, H.; Luo, X.; Zhang, J.; Zheng, Z. Response of submerged macrophytes and leaf biofilms to the decline phase of Microcystis aeruginosa: Antioxidant response, ultrastructure, microbial properties, and potential mechanism. Sci. Total. Environ. 2020, 699, 134325. [Google Scholar] [CrossRef]
- Motoyama, M.; Nakagawa, S.; Tanoue, R.; Sato, Y.; Nomiyama, K.; Shinohara, R. Residues of pharmaceutical products in recycled organic manure produced from sewage sludge and solid waste from livestock and relationship to their fermentation level. Chemosphere 2011, 84, 432–438. [Google Scholar] [CrossRef]
- He, F.; Wu, Z. Application of aquatic plants in sewage treatment and water quality improvement. Chin. Bull. Bot. 2003, 6, 641–647. [Google Scholar]
- Wang, L.Y. Research on the Water Purification Efficacy of Two Submerged Plants in Artificial Lakes. Water Resour. Manag. 2024, 10, 48–52. [Google Scholar]
- Zhang, H.; Chen, J.X.; Cai, F. Comparison of Purification Effect of Four Submerged Plants on Eutrophic Water. J. Wuhan Polytech. Univ. 2024, 43, 34–41. [Google Scholar]
- Cheng, Q.; Wang, H. Effect of calcium addition on phosphorus enrichment capacity of two submerged plants (Potamogeton crispus L. and Ceratophyllum demersum L.) in water bodies. J. Lake Sci. 2020, 32, 406–416. [Google Scholar] [CrossRef]
- Zhang, R.; Bo, X.; Yang, Z.; Zhang, Y.; Li, S.; Yang, P.; Liu, H. Research Advances and Application Situation of Vallisneria in Water Environmental Restoration. Chin. Agric. Sci. Bull. 2016, 32, 144–154. [Google Scholar]
- Adamec, L. Ecophysiological characteristics of turions of aquatic plants: A review. Aquat. Bot. 2018, 148, 64–77. [Google Scholar] [CrossRef]
- Lowden, R.M. An approach to the taxonomy of Vallisneria L. (Hydrocharitaceae). Aquat. Bot. 1982, 13, 269–298. [Google Scholar] [CrossRef]
- Hodson, S.; Croft, M.; Deery, E.; Smith, A.; Warren, M. Algae acquire Vitamin B12 through a symbiotic relationship with bacteria. Comp. Biochem. Physiol. Part A Mol. Integr. Physiol. 2007, 146, S222. [Google Scholar] [CrossRef]
- Dittami, S.; Duboscq-Bidot, L.; Perennou, M.; Gobet, A.; Corre, E.; Boyen, C.; Tonon, T. Host-microbe interactions as a driver of acclimation to salinity gradients in brown algal cultures. ISME J. 2016, 10, 51–63. [Google Scholar] [CrossRef]
- Weigel, B.L.; Miranda, K.K.; Fogarty, E.C.; Watson, A.R.; Pfister, C.A. Functional Insights into the Kelp Microbiome from Metagenome-Assembled Genomes. mSystems 2022, 7, e0142221. [Google Scholar] [CrossRef]
- Liu, X.; Sun, D.; Gao, W.; Wang, S.; Zhang, J.; Zeng, Y.; Zhao, S.; Zhang, W.; Tan, Y.; Jiang, H.; et al. Hydrochemical Characteristics and Driving Factors of Surface Water in Nenensangcuo, Eastern Margin of Qinghai–Tibet Plateau, China. J. Water Chem. Technol. 2023, 45, 503–513. [Google Scholar] [CrossRef]
- Gao, W.; Zhang, J.; Zhang, W.; Sun, D.; Guo, J.; Zhao, S.; Zeng, Y.; Liu, X. Hydrochemical characteristics and driving factors of travertine deposition in Huanglong, Sichuan, SW, China. Water Sci Technol. 2023, 87, 1232–1249. [Google Scholar] [PubMed]
- GB11905-89; Water Quality—Determination of Calcium and Magnesium—Atomic Absorption Spectrophotometry. Ministry of Water Resources: Beijing, China, 1989.
- Lichtenthaler, H.K.; Wellburn, A.R. Determinations of total carotenoids and chlorophylls a and b of leaf extracts in different solvents. Biochem. Soc. Trans. 1983, 11, 591–592. [Google Scholar] [CrossRef]
- Zhang, D.Y.; Pan, X.L.; Zhang, J.M. Influence of environmental factors on the calcification kinetics of Synechocystis sp. Bull. Mineral. Petrol. Geochem. 2008, 38, 7. [Google Scholar]
- Chao, A. Nonparametric Estimation of the Number of Classes in a Population. Scand. J. Stat. 1984, 11, 265–270. [Google Scholar]
- Shannon, C.E. A mathematical theory of communication. Bell Syst. Tech. J. 1948, 27, 379–656. [Google Scholar]
- Simpson, E.H. Measurement of Diversity. Nature 1949, 163, 688. [Google Scholar] [CrossRef]
- Cheng, H.; Han, C.; Lin, C.; Li, J. Effect of planting density on the growth and reproduction of two submerged plants. Jiangsu Jiangda Ecol. Technol. 2021, 49, 50–54. [Google Scholar]
- Liu, X.; Zhang, Y.; Li, Y.; Dong, Y.; Yi, M.; Wen, X. Effect of different salinity on physiological features of Vallisneria natans. Ecol. Sci. 2012, 6, 606–612. [Google Scholar]
- Zhao, F.; Wang, L.; Ji, G.; Li, W. Effects of Naacl stress on plant biology indicators and mda content of 3 submerged plants. Environ. Pollut. Control 2012, 34, 40–44. [Google Scholar]
- Song, Y.; Yang, M.; Qin, B. Physiological response of Vallisneria natans to nitrogen and phosphorus contents in eutrophic waterbody. Huan Jing Ke Xue 2011, 9, 2569–2575. [Google Scholar]
- Sun, L.; Sun, Y.; Zhou, C.; An, S. Effects of plant species combination and water body nutrient level on the biomass accumulation and allocation of three kinds functional plants. Chin. J. Appl. Ecol. 2009, 10, 2370–2376. [Google Scholar]
- Li, X.; Luo, K.; He, F.; Yang, Z.; Fan, W. Influence of calcium concentration on CO2 fixation with bio-calcification of microcystis flos-aquae. Chin. J. Environ. Eng. 2017, 12, 6327–6331. [Google Scholar]
- Liu, F. Effects of calcium concentration on biocalcification of synechococcus. Adv. Environ. Prot. 2013, 1, 59–62. [Google Scholar] [CrossRef]
- Chen, J.; Wang, G.; Cheng, S. Progress about catalase function in plant stress reactions. Acta Bot. Boreali-Occident. Sin. 2008, 28, 188–193. [Google Scholar]
- Hong, W.; Xie, X.; Yu, W.; Zhang, W.; Liu, J. Nitrogen and phosphorus removal characteristics and kinetics of Pseudomonas sp. strain p1-1. Environ Sci Technol. 2012, 35, 29–33. [Google Scholar]
- Meldrum, N.U.; Roughton, F.J.W. Carbonic anhydrase. Its preparation and properties. J. Physiol. 1933, 2, 113. [Google Scholar] [CrossRef] [PubMed]
- Smith, K.S.; Ferry, J.G. Prokaryotic carbonic anhydrases. FEMS Microbiol Rev. 2000, 4, 335–366. [Google Scholar] [CrossRef]
- Tripp, B.C.; Smith, K.; Ferry, J.G. Carbonic anhydrase: New insights for an ancient enzyme. J. Biol. Chem. 2001, 276, 48615–48618. [Google Scholar] [CrossRef] [PubMed]
- Sharma, A.; Bhattacharya, A.; Pujari, R.; Shrivastava, A. Characterization of carbonic anhydrase from diversified genus for biomimetic carbon-dioxide sequestration. Indian J. Microbiol. 2008, 48, 365–371. [Google Scholar] [CrossRef] [PubMed]
- Sharma, A.; Bhattacharya, A. Enhanced biomimetic sequestration of CO2 into CaCO3 using purified carbonic anhydrase from indigenous bacterial strains. J. Mol. Catal. B Enzym. 2010, 67, 122–128. [Google Scholar] [CrossRef]








| Classify | Treatment | Macrophytes | c (Ca2+) (mg L−1) | Biomass (g L−1) |
|---|---|---|---|---|
| Different c (Ca2+) test treatments | CKa | V. natans | 0 | 420 |
| A1 | 100 | |||
| A2 | 300 | |||
| A3 | 500 | |||
| CKb | C. demersum | 0 | ||
| B1 | 100 | |||
| B2 | 300 | |||
| B3 | 500 | |||
| Different planting density test treatments | CK | 300 | 0 | |
| a1 | V. natans | 70 | ||
| a2 | 140 | |||
| a3 | 280 | |||
| a4 | 420 | |||
| b1 | C. demersum | 70 | ||
| b2 | 140 | |||
| b3 | 280 | |||
| b4 | 420 |
Disclaimer/Publisher’s Note: The statements, opinions and data contained in all publications are solely those of the individual author(s) and contributor(s) and not of MDPI and/or the editor(s). MDPI and/or the editor(s) disclaim responsibility for any injury to people or property resulting from any ideas, methods, instructions or products referred to in the content. |
© 2026 by the authors. Licensee MDPI, Basel, Switzerland. This article is an open access article distributed under the terms and conditions of the Creative Commons Attribution (CC BY) license.
Share and Cite
Feng, Y.; Zhang, J.; Li, Q.; Yu, Y.; Shi, X.; Lei, N.; Ni, W.; Zhang, W. Mechanistic Insights into Travertine Deposition Mediated by Submerged Macrophytes: A Comparative Study of V. natans and C. demersum. Sustainability 2026, 18, 2748. https://doi.org/10.3390/su18062748
Feng Y, Zhang J, Li Q, Yu Y, Shi X, Lei N, Ni W, Zhang W. Mechanistic Insights into Travertine Deposition Mediated by Submerged Macrophytes: A Comparative Study of V. natans and C. demersum. Sustainability. 2026; 18(6):2748. https://doi.org/10.3390/su18062748
Chicago/Turabian StyleFeng, Yaru, Jing Zhang, Qihui Li, Yangjinzhi Yu, Xiaohong Shi, Ningfei Lei, Weijia Ni, and Weizhen Zhang. 2026. "Mechanistic Insights into Travertine Deposition Mediated by Submerged Macrophytes: A Comparative Study of V. natans and C. demersum" Sustainability 18, no. 6: 2748. https://doi.org/10.3390/su18062748
APA StyleFeng, Y., Zhang, J., Li, Q., Yu, Y., Shi, X., Lei, N., Ni, W., & Zhang, W. (2026). Mechanistic Insights into Travertine Deposition Mediated by Submerged Macrophytes: A Comparative Study of V. natans and C. demersum. Sustainability, 18(6), 2748. https://doi.org/10.3390/su18062748

