Next Article in Journal
Human Capital Investment, Ambidextrous Innovation, and Resilience of SRDI Enterprises
Previous Article in Journal
The Path of Green Human Resource Management and Innovation to Sustainable Business Performance: The Role of Organizational Citizenship Behavior for the Environment
 
 
Font Type:
Arial Georgia Verdana
Font Size:
Aa Aa Aa
Line Spacing:
Column Width:
Background:
Article

Driving Public Support for Urban Waste-Sorting Policies: A Configuration Analysis of Policy Factors

School of Management, Anhui University, Hefei 230601, China
Sustainability 2026, 18(5), 2211; https://doi.org/10.3390/su18052211
Submission received: 15 January 2026 / Revised: 14 February 2026 / Accepted: 18 February 2026 / Published: 25 February 2026
(This article belongs to the Section Waste and Recycling)

Abstract

The Chinese government has become increasingly concerned about waste sorting and has implemented several supportive policies to promote sustainable development. Public support is critical to successful policy implementation. Hence, this study focused on increasing public support for waste-sorting policies. The complicated mechanisms underlying policy factors’ effects on public support for waste-sorting policies were investigated from a configuration perspective by employing a combination of random forest, necessary condition analysis, and fuzzy set qualitative comparative analysis methodologies. The results indicated that five policy factors, namely, perceived policy effectiveness, policy participation, policy fairness, policy preference, and government trust, have a strong predictive impact on public support outcomes. However, none could stand alone as necessary conditions for public support and their synergistic effects must be exploited. Five configurations were demonstrated as promoting public support for waste-sorting policies, in which the perceived policy effectiveness and policy preference were the core conditions for four of these configurations, playing a universal role in fostering public support. Overall, governments should be flexible in choosing acceptable paths to enhance public support based on local realities, with a focus on enhancing perceived policy effectiveness and policy preference.

1. Introduction

In 2017, China introduced the Household Waste-Sorting System Implementation Plan, demonstrating a significant development in the country’s waste-sorting efforts [1]. This policy framework establishes a mandatory waste-sorting system across major cities, making waste sorting a legal obligation rather than a voluntary choice. Residents are required to categorize household waste into four standardized types: recyclables, hazardous waste, kitchen (food) waste, and residual waste. Municipal governments have established these policies to assist with waste reduction, harmlessness, and utilization. However, policies cannot be implemented without public support (PS), which refers to the extent to which individuals are prejudiced in favor of policies based on their attitudes or behaviors [2]. Supporting a policy implies that individuals will make material sacrifices or change their behavioral patterns to achieve the policy goals. People who support waste-sorting policies tend to follow guidelines and are amenable to paying more for waste sorting, sorting their daily waste, and supporting the government’s decision to allocate more funds for waste sorting [3,4]. These behaviors are likely to favorably impact waste-sorting effectiveness, aiding in the achievement of policy objectives. Consequently, investigating the factors influencing PS for urban waste sorting is vital to boost such support.
Previous research on public support for waste sorting has largely focused on individual psychological drivers, such as attitudes, subjective norms, and habits [5,6,7,8,9]. While these psychological insights are valuable, they offer only a partial explanation [10]. More recent studies indicate that the characteristics of the policy itself, such as fairness, transparency, and trust in government, are equally critical in shaping public opinion [11,12,13,14,15].
However, a limitation in the existing literature is that most studies analyze these policy factors in isolation. They typically examine the average effect of a single variable, such as fairness, on PS without considering how it interacts with other factors. This approach overlooks the reality that policy factors rarely operate independently. In practice, PS is often driven by a combination of conditions rather than a single element. For instance, a policy might only be perceived as fair if there is also a high level of trust in the government implementing it. Therefore, analyzing policy factors separately may fail to capture the complex mechanisms that actually drive PS.
This study identified policy factors that have a high level of influence on PS, assessed the relationship between policy factors and PS levels in waste-sorting policies, and investigated the complicated mechanisms that drive PS levels. The research objectives aimed to answer the following questions: (1) which policy factors significantly contribute to the level of PS; (2) whether individual policy factors are required to constitute a high level of PS, and how the degree of necessity can be quantified; and (3) which multivariate groupings of policy conditions form a sufficient pathway to achieve a high level of PS.

2. Policy Factors

Wan et al. [2] used textual analysis to extract policy factors influencing PS behavior toward recycling policies, identifying five factors: perceived policy effectiveness (PPE), policy participation (PPC), policy fairness (PF), policy preference (PP), and government trust (GT). The first four factors characterize the policy characteristics, and the fifth describes the political environment. Our study aimed to identify policy factors based on this foundation.

2.1. Perceived Policy Effectiveness

Every public policy has a specific aim, and for the government to persuade the public to support it, the policy’s effectiveness is crucial. If a policy fails to accomplish its goals, people have no reason to support it. The PPE is the degree to which individuals believe that the policy goals can be achieved [16]. Many studies have investigated the relationship between PPE and support for transportation and energy policies, and the willingness of people to support a policy has been shown to be stronger when they perceive that policy measures contribute more to the achievement of policy goals, indicating that effective policies increase the propensity of individuals to take prescribed actions [17,18].

2.2. Policy Participation

Several earlier studies on public participation in environmental policymaking discovered that having an effective PPC process can promote legitimacy and transparency in decision-making while also increasing PS [19,20]. This is because public participation throughout the process allows the public to influence policy planning and assist in designing responsive policies that better reflect their interests [21]. However, extensive public participation can assist the government in better integrating the perspectives of diverse stakeholders and developing problem-solving concepts that balance the interests of all parties, thereby enhancing policies’ public approval [22]. Gaining such PS begins with giving the public greater opportunities to participate in the decision-making process by making policies more participatory [23].

2.3. Policy Fairness

Many environmental policies are geared toward adjusting the behavior of individual members of the public to improve the environment [24]. Consequently, in each environmental policy framework, individuals have a certain degree of responsibility, primarily in terms of the investment of finances, time, and effort. PF refers to policy outputs in which each targeted individual bears the expenses and responsibilities under equitable standards [25]. Kals and Russell [26] argued that individuals attach great importance to PF and that this concept is related to their degree of acceptance and support for environmental policies. The higher the level of satisfaction with PF, the more likely individuals are to support the government’s decisions regarding environmental issues [17].

2.4. Policy Preference

PP is the public’s preference for the government to prioritize a solution to a specific problem [27]. Because of scarce resources, environmental policies compete with other policies, including those addressing different environmental challenges. Limited resources have resulted in a preference gap between the public and government policymakers. Milon and Scrogin [28] recommend that policymakers pay close attention to public preferences to ensure that their proposed policies garner PS. Setting preferences based on public opinion is important for informing agenda-setting and policy decision-making [29], as the more a policy conforms to the preferences of a large proportion of the population, the more the policy decision aligns with the general public’s expectations, and the more likely people are to support it.

2.5. Government Trust

GT is commonly characterized as a belief or confidence in the government’s ability to create results that meet their expectations [30,31]. A reliable government can persuade the public to abide by the law, support government activities, and follow its lead [32]. It also plays a vital role in relieving public concerns regarding newly implemented environmental legislation. The higher the level of trust in the government, the more willing people are to pay for environmental protection, adhere to environmental legislation, and accept economic sacrifices for environmental protection [33,34].

3. Methods

3.1. Research Design and Data Collection

A two-part questionnaire was administered. The first component of the questionnaire contained question items for measuring the five antecedent conditions (PPE, GT, PPC, PF, and PP) and one outcome variable. The outcome variable was PS for waste-sorting policies. All items were chosen from the maturity scale and assessed using a seven-point Likert scale. Table A1 (see Appendix A) describes these items and their sources. The questionnaire’s second section included basic personal information such as gender, age, educational level, and monthly income.
Questionnaires on data collection were issued through the Chinese Professional Survey website (https://www.wjx.cn/). The survey was conducted nationwide, covering 29 provincial-level administrative regions across China’s four major economic zones (Eastern, Central, Western and Northeastern China), classified according to the National Bureau of Statistics, rather than a specific city. Due to the online distribution method, the sample primarily reflects the characteristics of urban residents. All respondents were assured that their responses would be anonymous and confidential and that the analysis would be conducted at an aggregate level, with no individuals identified. The questionnaire featured a screened question to guarantee that only individuals above the age of 18 who were familiar with the waste-sorting policies were included. Subsequently, 500 questionnaires were collected over 4 weeks from 2–30 October 2025, with 82 non-compliant questionnaires eliminated, leaving 418 valid questionnaires and an 83.6% valid return rate. The sample size exceeded 10 times the number of objects measured [35].

3.2. Reliability and Validity Tests

The reliability and validity of the questionnaire data are the basis for all subsequent analyses. To conduct the reliability test, the SPSS 23.0 software was used to calculate Cronbach’s α for each latent variable. The data demonstrated high reliability, with a total Cronbach’s α of 0.913, and each variable having a value > 0.7 [36].
To verify convergent validity, a confirmatory factor analysis (CFA) was performed using Mplus 8.3 software. The factor loadings of each measured indicator for variables ranged between 0.5 and 0.95, and the composite reliability (CR) of each variable exceeded 0.7. Except for GT, which had an AVE of 0.47, all of the average variance extracted (AVE) values exceeded 0.5. The results demonstrated that the convergent validity of variables met the research criterion. Table A2 (see Appendix A) displays the results of the reliability and convergent validity tests.
Discriminant validity was also assessed by comparing the square root of the variable AVE to the correlation coefficient between the variables [37]. The square roots of the AVE values for all variables were larger than the correlation coefficients between the variables, showing good discriminating validity. Table A3 (see Appendix A) provides the details about discriminant validity.

3.3. Analytical Methods

3.3.1. Random Forest

Random forest (RF) is an integrated learning method that enhances model accuracy and stability by generating several decision trees and mixing their output to produce predictions [38]. RF serves as a screening tool to identify the policy factors that most significantly influence PS. Its feature importance analysis determines the relative contribution of each variable to the outcome, allowing for the removal of irrelevant characteristics before conducting more complex qualitative analyses [39]. Gini importance ranking was used to exclude variables with importance values less than 0.1, ensuring that the subsequent necessity and sufficiency analyses focus on the most informative policy elements [40]. The screened variables will be applied to the necessity and sufficiency analyses.

3.3.2. Necessary Condition Analysis

Necessary condition analysis (NCA) is a method for examining necessary relationships that allows to examine how antecedent conditions form the necessary conditions for outcomes [41]. It reveals indispensable conditions that traditional linear models often overlook [42]. By employing ceiling regression-free disposal hull line (CR-FDH) and ceiling envelopment-free disposal hull line (CE-FDH), this approach quantifies the degree of necessity for each factor, providing a clearer understanding of which policy factors are essential for success [43].

3.3.3. Fuzzy-Set Qualitative Comparative Analysis

Fuzzy-set qualitative comparative analysis (fsQCA) is used to investigate how different combinations of policy factors work together to drive PS. It treats the object of study as a set of conditions that aid in analyzing causal complexity problems [44], showing how factors like fairness and trust interact rather than acting in isolation.
Before conducting fsQCA analysis, the antecedent conditions and outcome variable data were calibrated, which involved the transformation of raw data into membership ratings for each set [45]. A direct calibration method with three variable anchors was employed: 0.95, 0.5, and 0.05 for total affiliation, crossover point, and complete disaffiliation, respectively [46]. Specific calibration thresholds for each variable are detailed in Table A4 (see Appendix A). After calibration, the data values ranged from 0 to 1. To overcome the group attribution problem, in which the sample affiliation of the antecedent condition was precisely 0.50, the affiliation (0.5) was increased by a constant 0.001 [47].
The fsQCA analysis typically includes two steps: necessity analysis and sufficiency analysis. First, the necessity of single conditions was analyzed using the fsQCA package. This step serves as a prerequisite for the subsequent sufficiency analysis and also allows for cross-verification with the NCA results to enhance robustness [48,49]. Second, the sufficiency analysis identifies the specific configurations of factors that are sufficient to produce high PS. By comparing parsimonious and intermediate solutions, the study distinguishes between core conditions that are central to the outcome and peripheral conditions that play a supporting role [50].

4. Results

4.1. Demographic Characteristics

Table 1 presents the respondents’ demographic characteristics. The sample skewed slightly female (59.81%), reflecting the societal context in China where women frequently undertake daily trash classification duties and pay more attention to relevant policies than men. Based on age distribution, young people aged 26–35 comprised most of the total survey population, matching the demographic profile of Chinese Internet users. Geographically, nearly half of the respondents resided in Eastern China. This distribution aligns with the fact that waste-sorting regulations were arguably implemented earlier and more strictly in these economically developed regions. People with bachelor’s degrees accounted for 85.65% of the total survey population, with those with monthly household earnings of 5001–8000 CNY making up the majority (43.54%).

4.2. RF Results

Figure 1 shows the ROC curve for analyzing the RF model’s discriminative ability, which had an AUC value of 0.85, showing that the model was good at discriminating. The categorization performance metrics for the test set were as follows: accuracy = 0.91, precision = 0.91, recall = 0.88, and F1 score = 0.89. All metrics exceeded 0.8. In particular, the F1 score, critical for unbalanced data, approached 0.9, indicating the model’s strong predictive ability.
The findings of the feature importance ranking (Figure 2) demonstrate the important predictors of PS. Among them, PF and PPE were identified as the most influential characteristic factors, with significantly greater value than other variables. In descending order were PP, GT, and PPC. All factors had feature importance values larger than the screening threshold of 0.1, and combined, they formed the core set of features for PS, allowing all variables to be kept in the necessary analysis.

4.3. NCA Results

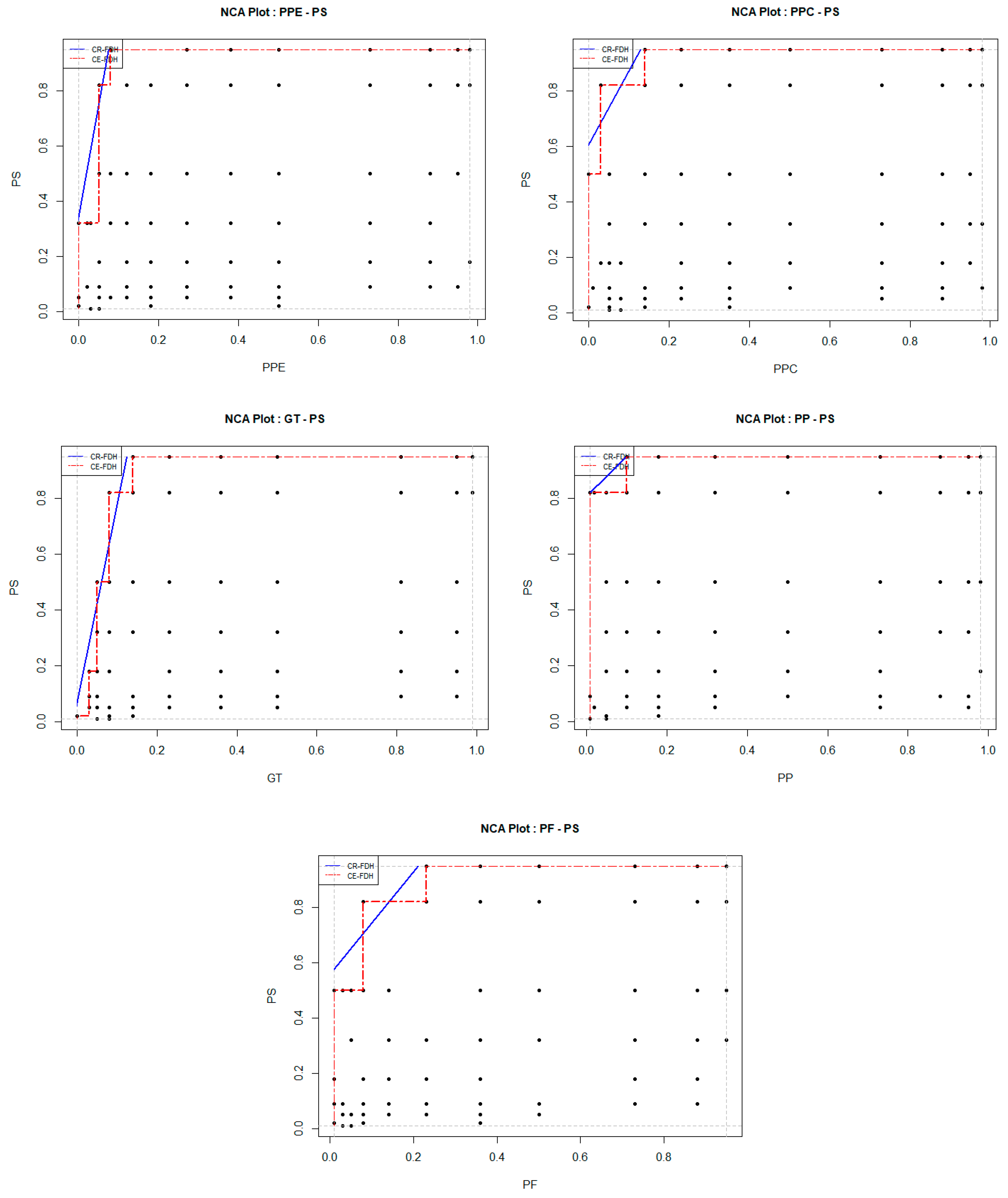
Figure 3 visualizes the NCA results, with horizontal coordinates denoting a single policy factor, vertical coordinates denoting PS, and blank and scatter zones divided by the CR-FDH and CE-FDH. The large scattered area shows that the policy factor does not fully cover the PS. Table 2 displays the NCA parameters, including the c-accuracy, ceiling zone, scope, effect size, and p-value, as determined using CR-FDH and CE-FDH. The results showed that, while all factors were significant (p-values < 0.05), the size effects were all < 0.1. In summary, they did not constitute the necessary conditions for PS.
Bottleneck levels were calculated using CR-FDH. Table 3 shows the minimum values for each policy factor needed to attain a specific level of PS. For instance, to attain 80% PS, a minimum of 5.2% PPE, 6% PPC, 10.6% PF, and 9.9% GT were required. The findings indicate that the public is unlikely to support waste-sorting policies unless certain thresholds are satisfied.

4.4. fsQCA Results

4.4.1. Necessity Analysis

The necessity of individual conditions was further analyzed using fsQCA for cross-checking [17]. Table 4 shows low consistency in the necessity of policy factors for high or low PS (all <0.9), indicating that no policy factors are necessary for generating high or low PS, which is congruent with the NCA results. This reveals that PS level is governed not by a single policy factor but rather by multiple concurrent and synergistic effects of various policy factors.

4.4.2. Sufficiency Analysis

Combining results from intermediate and parsimonious solutions, Table 5 identifies the five conditional configurations (S1a, S1b, S1c, S2, and S3) that resulted in the same outcome, namely a high level of PS. Each conditional configuration’s consistency was greater than 0.8, indicating that all five were adequate to generate high levels of PS. In addition, the overall solution consistency of the five conditional configurations was 0.756, meeting the threshold condition of >0.75 [51,52], and the solution coverage was 0.743, indicating that the antecedent conditional configurations could explain 74.3% of the samples, which was a high level of explanation. To improve theoretical clarity, this study categorizes these configurations into three distinct typologies based on their core conditions: the “Instrumental Path” (S1a–c), the “Normative Path” (S2), and the “Synergistic Path” (S3).
The first typology, labeled the “Instrumental Path,” consists of S1a, S1b, and S1c, which constitute the second-order equivalence configuration [50]. This path is primarily driven by outcome-oriented factors. Both PPE and PP are considered as core conditions in S1a, S1b and S1c. The peripheral conditions differ among the three configurations: PPC for S1a, PF for S1b, and GT for S1c. These configurations suggest from an instrumental perspective, when the public expects waste-sorting policies to be prioritized and believes that the policies will have a good effect, a high level of PS can be obtained if any of the conditions “the public can participate in policy making,” “the public perceives the policy to be fair,” or “the government can gain the public’s trust” is met.
Similarly, configuration S2 represents the “Normative Path” and is made up of the core conditions PF, PP, and GT. Distinct from the previous path, this path relies on normative drivers like fairness and trust. This configuration implies that a high level of PS can be attained when the public, which has a high degree of trust in the government, believes that waste-sorting policies should be prioritized and sees the policies as fair.
Finally, configuration S3 is termed the “Synergistic Path“. With PPE, PF, and GT as core conditions, it reflects a hybrid mechanism where instrumental effectiveness and normative values work together. This demonstrates that when the public believes waste-sorting policies are effective and fair and that the government implementing them is trustworthy, a high level of PS for the policy can be achieved.

4.4.3. Robustness Test

fsQCA is a set theory technique; therefore, when the operation is slightly adjusted, a subset relationship between the results remains unchanged in the substantive interpretation of the study findings, implying that the study is robust [41]. To confirm the results’ stability, a robustness test was implemented in two ways: (1) adjusting the consistency value. When the consistency was adjusted to 0.85, and all other variables remained constant, the four configurations did not change. (2) Adjusting the case frequency threshold. The case frequency threshold was increased from 4 to 5, and the configuration analysis results showed a clear subset link between the adjusted and original configurations, which met the criteria for robustness testing. As a consequence, the study’s findings can be regarded as robust.

5. Discussion

The key to effectively implementing waste sorting in China is increasing PS for waste-sorting policies. Unlike prior research that treats determinants as isolated drivers [17,18,20,23], this study integrates RF, NCA, and fsQCA to reveal how these factors function jointly to shape public sentiment.
PPE and PP appeared as core conditions in four configurations. This highlights a critical temporal dynamic. PP as a policy pre-implementation condition, representing the public’s preference that the policy should be prioritized for implementation, which stimulates the public’s initial policy support motivation. Moreover, PPE refers to the public’s view and assessment of the policy’s effects following its execution, being a policy post-implementation condition, directly influencing the continuity of PS for the policy. If the public perceives that the adoption of the waste-sorting policy has a bigger effect than or is equivalent to its initial anticipation, it will be able to maintain long-term behavioral compliance.
Comparing configurations S1a, S1b, and S1c, peripheral conditions PPC, PF, and GT played similar roles in the three configurations, producing mutual substitution. In policy implementation, the transparency of the policy formulation process satisfied the public’s cognitive needs (the public’s need to understand, predict, and control policy information) [52] and the fairness of the policy content met the public’s needs for belonging (the public’s need for identity in terms of their own interests being respected by the political system and being able to become a member of the community) [53], while a trustworthy government can endorse the fairness of the policy and the credibility of its effects. As a result, PPC, PF, and GT all diminished opposition to policy implementation, increasing perceived efficacy, and were equivalent in promoting the PS of waste-sorting policies.

5.1. Theoretical Implications

The first issue to be answered in this study is which policy factors have greater impact on the degree of PS. The majority of current research on the impact of policy factors on PS employs structural equation modeling or classical regression [54,55], which rely on a pre-established relationship between the dependent and independent variables, as well as the expectation of a normal data distribution, linear correlation between variables, and minimal multicollinearity [56,57]. Given these issues, machine learning emerges as a more appropriate technique to address complexities and biases. This study used an RF approach to carefully select important variables that significantly contribute to PS levels based on feature importance indicators, and the findings can be cross-validated against previous studies.
The second question addressed in this study is whether there is a relationship of necessity between policy factors and PS. Current literature is more concerned with causal relationships between policy factors and PS, without focusing on the necessary conditions that play the function of a “one-vote veto.” This study combined NCA and fsQCA to analyze whether each policy factor is a necessary condition for PS, and what the degree of necessity is, responding to the initiative of methodological integration [58]; it serves as a reference for understanding public policy support at a finer degree of granularity.
The third question addressed regards the complex mechanism that drives a high PS level. In this study, fsQCA was used to extract the five conditional configurations influencing the level of public policy support, indicating a mechanism for increasing the level of PS for waste-sorting policies. Other studies have focused on the average effect of a single policy factor on the level of PS [23,54,59]. However, this study focused on the configurational effects of support for public policy arising from the interaction of multiple antecedent conditions, helping to illuminate the “black box” of policy factors that influence the PS level.

5.2. Managerial Implications

This study derived three distinct pathways that can boost PS for waste-sorting policies, each containing several policy factors. Local governments cannot and do not need to consider all factors simultaneously under limited conditions. Instead, they should adopt a path-dependent strategy tailored to their specific governance capacity and public sentiment.
For the Synergistic Path, local government can implement measures that improve both PPE and PF, so that policies might gain support from the public with high GT. This strategy is ideal for regions aiming for comprehensive governance, where high policy effectiveness reinforces the perception of fairness among citizens with high GT.
Regarding the Normative Path, which relies heavily on value judgments, authorities should focus on fostering PF and maintaining GT. In this context, support is driven by social trust rather than utilitarian calculation, so policies should prioritize equitable enforcement to maintain moral authority.
As for the Instrumental Path, the effect of PP and PPE on PS for waste-sorting policies should be highlighted. To strengthen PP for waste-sorting policies, the urgency of waste sorting can be demonstrated by highlighting the hazards of mixed waste disposal via visual statistics or case studies that link it to public health issues. Visualizing policy implementation outcomes is critical for validating PPE. Recommended approaches include real-time broadcasting of classified waste logistics and the periodic release of pre-/post-implementation environmental metrics comparison. Such transparency mechanisms directly mitigate public skepticism regarding backend processes and confirm that residents’ sorting efforts are yielding actual results.

5.3. Limitations and Future Research

This study has certain limitations. It focused only on analyzing the static relationship between policy factors and the level of PS for waste-sorting policies. However, policy characteristics and the environment may change over time; therefore, a more dynamic analysis of the time-varying effects of changing policy determinants on the level of public policy support should be conducted.
Secondly, it is critical to recognize the sample’s geographic limitations. Since the data was collected via an online survey, the respondents are predominantly from urban areas with internet access. Although the sample covers various regions across China, it might not fully capture the distinct differences between rural and urban parts of the country, nor the heterogeneity between first-tier cities with mature infrastructure and less developed areas. Consequently, the identified configurations should be interpreted with caution regarding their generalizability to rural contexts.
Furthermore, this study only investigated the configuration effects of five antecedent conditions from a policy factor perspective. In the future, incorporating additional conditions should be considered. Configuration effects that may be constituted by antecedent conditions, such as interest and responsibility, should be investigated to broaden the study’s generalizability.

6. Conclusions

Public support is essential for the efficient implementation of waste-sorting policies in China. By shifting the analytical focus from net effects to causal complexity, this study reveals a substitution effect among policy participation, policy fairness, and government trust, indicating that specific policy attributes can compensate for deficits in others to maintain high public support.
Practically, this supports a resource-efficient, differentiated governance strategy where local governments adopt path-dependent approaches based on resource constraints rather than maximizing all attributes simultaneously. This framework offers a strategic roadmap for transitioning waste sorting from a short-term mobilization campaign to a sustainable, institutionalized social routine.

Funding

This research was funded by Anhui Office of Philosophy and Social Science, grant number AHSKY2024D025.

Institutional Review Board Statement

The study was conducted in accordance with the Declaration of Helsinki, and approved by the Institutional Review Board (or Ethics Committee) of Institutional Review Board of School of Management, Anhui University (protocol code AHU-SOM-20250920-03 and 20 September 2025).

Informed Consent Statement

Informed consent was obtained from all subjects involved in the study.

Data Availability Statement

All data generated or analyzed during this study are included in this article, and further reasonable requests can be directed to the corresponding author.

Conflicts of Interest

The author declares no conflicts of interest.

Abbreviations

The following abbreviations are used in this manuscript:
PSPublic Support
PPEPerceived Policy Effectiveness
PPCPolicy Participation
PFPolicy Fairness
PPPolicy Preference
GTGovernment Trust
RFRandom Forest
NCANecessary Condition Analysis
fsQCAfuzzy-set Qualitative Comparative Analysis
CR-FDHCeiling Regression-Free Disposal Hull Line
CE-FDHCeiling Envelopment-Free Disposal Hull Line

Appendix A

Appendix A.1

Table A1. Questionnaire items.
Table A1. Questionnaire items.
VariableItemSource
PPEWaste-sorting facilities provided by the government are sufficient to facilitate waste sorting.[23]
The government provides clear guidelines on waste sorting.
The monitoring and punishment measures of waste sorting effectively motivate me to separate waste.
The government’s publicity and education effectively teach me the importance of waste sorting.
PPCThroughout the policy decision-making process, the government provides ample avenues for public participation in waste-sorting policy development.[23]
Throughout the policy decision-making process, the government fully considers the public’s views on waste-sorting policy.
Throughout the policy decision-making process, the government has provided an open platform for the public to express their views on waste-sorting policies.
PFUnder the current policy framework, all members of the public bear a fair share of responsibility for waste sorting.[18,23]
I think the waste-sorting policy is fair to me.
I think the waste-sorting policy is fair for everyone.
PPThe government must prioritize the issue of waste sorting.[23]
The government should invest more manpower in waste-sorting management.
The government should put more effort into waste sorting.
GTI trust the government can make the right decisions.[23]
I trust the government spends the tax money we pay on what is needed.
I think most government officials can carry out their responsibilities.
PSI support the introduction of a waste-sorting policy in my city.[59]
I think the waste-sorting policy is an acceptable policy.
If there is a vote, I will vote for the waste-sorting policy.

Appendix A.2

Table A2. Reliability and convergent validity.
Table A2. Reliability and convergent validity.
VariableFactor LoadingCRAVECronbach’s α
PPE0.7710.8060.5100.803
0735
0.647
0.697
PPC0.6960.7510.5010.746
0.672
0.754
PF0.7280.7630.5180.759
0.654
0.773
PP0.6980.7550.5070.754
0.709
0.729
PT0.6990.7270.4710.729
0.685
0.674
PS0.7780.7530.5050.750
0.667
0.683

Appendix A.3

Table A3. Discriminant validity.
Table A3. Discriminant validity.
PPEPPCPFPPGTPS
PPE0.714
PPC0.6050.708
PF0.6270.5830.720
PP0.3240.4470.4410.712
GT0.6130.6680.6360.4300.686
PS0.4820.3540.5570.4180.4650.711
The value on the diagonal is the square root of the AVE value of each latent variable and the other values are the correlation coefficients between the latent variables.

Appendix A.4

Table A4. Calibration anchors for variables.
Table A4. Calibration anchors for variables.
VariableFull Membership
(0.95)
Crossover Point
(0.50)
Full Non-Membership
(0.05)
PPE6.7564.5
PPC6.675.674
PF764.33
PP6.675.674.33
GT6.6964.33
PS76.335

References

  1. Luo, D.; Li, J.; Zhang, Q. Influencing factors of municipal solid waste classification policy diffusion: Based on event history analysis of 261 prefecture- level cities in China. Resour. Sci. 2022, 44, 1476–1493. [Google Scholar] [CrossRef]
  2. Wan, C.; Shen, G.Q.; Choi, S. A review on political factors influencing public support for urban environmental policy. Environ. Sci. Policy 2017, 75, 70–80. [Google Scholar] [CrossRef]
  3. Stern, P.C. New environmental theories: Toward a coherent theory of environmentally significant behavior. J. Soc. Issues 2000, 56, 407–424. [Google Scholar] [CrossRef]
  4. Wan, C.; Shen, G.Q.; Yu, A. Key determinants of willingness to support policy measures on recycling: A case study in Hong Kong. Environ. Sci. Policy 2015, 54, 409–418. [Google Scholar] [CrossRef]
  5. Ajzen, I. The theory of planned behaviour. Organ. Behav. Hum. Decis. Process. 1991, 50, 170–211. [Google Scholar] [CrossRef]
  6. Armitage, C.J.; Conner, M. Efficacy of the theory of planned behaviour: A meta-analytic review. Br. J. Soc. Psychol. 2001, 40, 471–499. [Google Scholar] [CrossRef]
  7. Steg, L.; Van den Berg, A.E.; de Groot, J.I.M. Environmental Psychology: An Introduction; Wiley: Hoboken, NJ, USA, 2012. [Google Scholar]
  8. Loan, L.T.T.; Nomura, H.; Takahashi, Y.; Yabe, M. Psychological driving forces behind households’ behaviors toward municipal organic waste separation at source in Vietnam: A structural equation modeling approach. J. Mater. Cycles Waste Manag. 2017, 19, 1052–1060. [Google Scholar] [CrossRef]
  9. Broers, V.J.V.; Scharrenburg, M.V.; Fredix, L.; Lataster, J.; Jacobs, N. Individual and situational determinants of plastic waste sorting: An experience sampling method study protocol. BMC Psychol. 2021, 9, 92–101. [Google Scholar] [CrossRef] [PubMed]
  10. Kollmuss, A.; Agyeman, J. Mind the gap: Why do people act environmentally and what are the barriers to pro-environmental behavior? Environ. Educ. Res. 2002, 8, 239–260. [Google Scholar] [CrossRef]
  11. Jagers, S.C.; Matti, S.; Nilsson, A. How exposure to policy tools transforms the mechanisms behind public acceptability and acceptance—The case of the Gothenburg congestion tax. Int. J. Sustain. Transp. 2016, 11, 109–119. [Google Scholar] [CrossRef]
  12. Matti, S. Climate Policy Instruments; Edward Elgar Publ. Ltd.: Cheltenham, UK, 2015. [Google Scholar]
  13. Lee, E.; Chan, J.; Chan, E.; Cheung, P.T.; Lam, W.F.; Lam, W.M. Public Policymaking in Hong Kong: Civic Engagement and State-Society Relations in A Semi-Democracy; Routledge: London, UK, 2013. [Google Scholar]
  14. Bruno, J.M.; Bianchi, E.C.; Sánchez, C. Determinants of household recycling intention: The acceptance of public policy moderated by habits, social influence, and perceived time risk. Environ. Sci. Policy 2022, 136, 1–8. [Google Scholar] [CrossRef]
  15. De Groot, J.; Schuitema, G. How to make the unpopular popular? Policy characteristics; social norms and the acceptability of environmental policies. Environ. Sci. Policy 2012, 19, 100–107. [Google Scholar] [CrossRef]
  16. Lubell, M. Collaborative institutions; belief-systems; and perceived policy effectiveness. Political Res. Q. 2003, 56, 309–323. [Google Scholar] [CrossRef]
  17. Huber, R.A.; Wicki, M.L.; Bernauer, T. Public support for environmental policy depends on beliefs concerning effectiveness; intrusiveness; and fairness. Environ. Polit. 2020, 29, 649–673. [Google Scholar] [CrossRef]
  18. Kaushik, K.; Jain, N.K.; Choudhary, P. Public opinion about restrictive driving policy: Does political affiliation matter? A case study of odd-even restrictive driving policy in Delhi. Case Stud. Transp. Pol. 2023, 12, 100999. [Google Scholar] [CrossRef]
  19. Saab, F.; Bermejo, P.H.S.; Garcia, G.C.; Pereira, J.S.; Silva, S.A.M. Does public consultation encourage social participation? J. Enterp. Inf. Manag. 2018, 31, 796–814. [Google Scholar] [CrossRef]
  20. Dvir, R.; Liu, X.; Vedlitz, A. Exploring public participation modes in government: The case of infrastructure policies. Public. Manag. Rev. 2024, 26, 2754–2775. [Google Scholar] [CrossRef]
  21. Junker, B.; Buchecker, M.; Müller-Böker, U. Objectives of public participation: Which actors should be involved in the decision making for river restorations? Water Resour. Res. 2007, 43, W10438. [Google Scholar] [CrossRef]
  22. Luyet, V.; Schlaepfer, R.; Parlange, M.B.; Buttler, A. A framework to implement stakeholder participation in environmental projects. J. Environ. Manag. 2012, 111, 213–219. [Google Scholar] [CrossRef]
  23. Wan, C.; Shen, G.Q.; Choi, S. Understanding public support for recycling policy: To unveil the political side of influence and implications. Environ. Sci. Policy 2018, 82, 30–43. [Google Scholar] [CrossRef]
  24. Clayton, S. New ways of thinking about environmentalism: Models of justice in the environmental debate. J. Soc. Issues 2000, 56, 459–474. [Google Scholar] [CrossRef]
  25. Tyler, T.R. Social justice: Outcome and procedure. Int. J. Psychol. 2000, 35, 117–125. [Google Scholar] [CrossRef]
  26. Kals, E.; Russell, Y. Individual conceptions of justice and their potential for explaining pro-environmental decision making. Soc. Justice Res. 2001, 14, 367–385. [Google Scholar] [CrossRef]
  27. Konisky, D.M.; Milyo, J.; Richardson, L.E. Environmental policy attitudes: Issues; geographical scale; and political trust. Soc. Sci. Q. 2008, 89, 1066–1085. [Google Scholar] [CrossRef]
  28. Milon, J.W.; Scrogin, D. Latent preferences and valuation of wetland ecosystem restoration. Ecol. Econ. 2006, 56, 162–175. [Google Scholar] [CrossRef]
  29. Belot, C.; Guinaudeau, I. Instrumental political support: Bringing policy preferences back into explanations of EU support. West. Eur. Polit. 2017, 40, 763–790. [Google Scholar] [CrossRef]
  30. Easton, D. A re-assessment of the concept of political support. Br. J. Polit. Sci. 1975, 5, 5–457. [Google Scholar] [CrossRef]
  31. Bennett, N.J.; Whitty, T.; Finkbeiner, E.M.; Pittman, J.; Allison, E.H. Environmental stewardship: A conceptual review and analytical framework. Environ. Manag. 2018, 61, 597–614. [Google Scholar] [CrossRef]
  32. Warren, M. Democracy and Trust; Cambridge University Press: Cambridge City, UK, 1999. [Google Scholar]
  33. Zannakis, M.; Wallin, A.; Johansson, L.O. Political trust and perceptions of the quality of institutional arrangements—How do they influence the public's acceptance of environmental rules. Environ. Policy Gov. 2015, 25, 424–438. [Google Scholar] [CrossRef]
  34. McGinlay, J.; Jones, N.; Malesios, C.; Dimitrakopoulos, P.G.; Begley, A.; Berzborn, S.; Botsch, K.; Gkoumas, V.; Kontoleon, A.; Külm, S.; et al. Exploring local public support for protected areas: What social factors influence stated and active support among local people? Environ. Sci. Policy 2023, 145, 250–261. [Google Scholar] [CrossRef]
  35. Fornell, C.; Larcker, D.F. Evaluating structural equation models with unobservable variables and measurement error. J. Mark. Res. 1981, 18, 39–50. [Google Scholar] [CrossRef]
  36. Kline, R.B. Principles and Practice of Structural Equation Modeling; Guilford Press: New York, NY, USA, 1998. [Google Scholar]
  37. Chin, W.W. Commentary: Issues and opinion on structural equation modeling. MIS Q. 1998, 22, vii–xvi. Available online: https://www.jstor.org/stable/249674 (accessed on 20 October 2025).
  38. Ruiz, E.; Yushimito, W.F.; Aburto, L.; Cruz, R. Predicting passenger satisfaction in public transportation using machine learning models. Transp. Res. Part A Policy Pract. 2024, 181, 103995. [Google Scholar] [CrossRef]
  39. Ali, F.; Rasoolimanesh, S.M.; Sarstedt, M.; Ringle, C.M.; Ryu, K. An assessment of the use of partial least squares structural equation modeling (PLS-SEM) in hospitality research. Int. J. Contemp. Hosp. Manag. 2018, 30, 514–538. [Google Scholar] [CrossRef]
  40. Yao, R.; Li, J.; Hui, M.; Bai, L.; Wu, Q. Feature selection based on random forest for partial discharges characteristic set. IEEE Access 2020, 8, 159151–159161. [Google Scholar] [CrossRef]
  41. Du, Y.Z.; Liu, Q.C.; Chen, J.Q. What kind of ecosystem for doing business will contribute to city-level high entrepreneurial activity? A research based on institutional configurations. Manag. World 2020, 9, 41–154. [Google Scholar] [CrossRef]
  42. Dul, J.; Van der Laan, E.; Kuik, R. A statistical significance test for necessary condition analysis. Organ. Res. Methods 2020, 23, 385–395. [Google Scholar] [CrossRef]
  43. Dul, J. Conducting Necessary Condition Analysis for Business and Management Students; Sage: New York, NY, USA, 2019. [Google Scholar]
  44. Du, Y.Z.; Jia, L.D. Group perspective and qualitative comparative analysis (QCA): A new path for management research. Manag. World 2017, 6, 155–167. [Google Scholar] [CrossRef]
  45. Ding, H. What kinds of countries have better innovation performance?—A country-level fsQCA and NCA study. J. Innov. Knowl. 2022, 7, 100215. [Google Scholar] [CrossRef]
  46. Greckhamer, T.; Furnari, S.; Fiss, P.C.; Aguilera, R.V. Studying configurations with qualitative comparative analysis: Best practices in strategy and organization research. Strateg. Organ. 2018, 16, 482–495. [Google Scholar] [CrossRef]
  47. Crilly, D.; Zollo, M.; Hansen, M.T. Faking it or muddling through? Understanding decoupling in response to stakeholder pressures. Acad. Manag. J. 2012, 55, 1429–1448. [Google Scholar] [CrossRef]
  48. Ragin, C.C. Redesigning Social Inquiry: Fuzzy Sets and Beyond; University of Chicago Press: Chicago, IL, USA, 2009. [Google Scholar]
  49. Schneider, M.R.; Schulze-Bentrop, C.; Paunescu, M. Mapping the institutional capital of high-tech firms: A fuzzy-set analysis of capitalist variety and export performance. J. Int. Bus. Stud. 2010, 41, 246–266. [Google Scholar] [CrossRef]
  50. Fiss, P.C. Building better causal theories: A fuzzy set approach to typologies in organization research. Acad. Manag. J. 2011, 54, 393–420. [Google Scholar] [CrossRef]
  51. Dul, J. Identifying single necessary conditions with NCA and fsQCA. J. Bus. Res. 2016, 69, 1516–1523. [Google Scholar] [CrossRef]
  52. Cacioppo, J.T.; Petty, R.E. The need for cognition. J. Pers. Soc. Psychol. 1982, 42, 116–131. [Google Scholar] [CrossRef]
  53. Kural, A.I.; Kovács, M. Attachment security schemas to attenuate the appeal of benevolent sexism: The effect of the need to belong and relationship security. Acta Psychol. 2022, 229, 103671. [Google Scholar] [CrossRef] [PubMed]
  54. Ge, J.M.; Lin, B.Q. Impact of public support and government’s policy on climate change in China. J. Environ. Manag. 2021, 294, 112983. [Google Scholar] [CrossRef] [PubMed]
  55. Konc, T.; Drews, S.; Savin, I.; Van den Bergh, J.C.J.M. Co-dynamics of climate policy stringency and public support. Glob. Environ. Change 2022, 74, 102528. [Google Scholar] [CrossRef]
  56. Garrido, C.; de Oña, R.; de Oña, J. Neural networks for analyzing service quality in public transportation. Expert. Syst. Appl. 2014, 41, 6830–6838. [Google Scholar] [CrossRef]
  57. Garver, M.S. Best practices in identifying customer-driven improvement opportunities. Ind. Market. Manag. 2003, 32, 455–466. [Google Scholar] [CrossRef]
  58. Fainshmidt, S.; Witt, M.A.; Aguilera, R.V.; Verbeke, A. The contributions of qualitative comparative analysis (QCA) to international business research. J. Int. Bus. Stud. 2020, 51, 455–466. [Google Scholar] [CrossRef]
  59. Morton, C.; Mattioli, G.; Anable, J. Public acceptability towards Low Emission Zones: The role of attitudes; norms; emotions; and trust. Transp. Res. Part A Policy Pract. 2021, 150, 256–270. [Google Scholar] [CrossRef]
Figure 1. The ROC curve.
Figure 1. The ROC curve.
Sustainability 18 02211 g001
Figure 2. The feature importance for PS.
Figure 2. The feature importance for PS.
Sustainability 18 02211 g002
Figure 3. NCA results visualization.
Figure 3. NCA results visualization.
Sustainability 18 02211 g003
Table 1. Demographic characteristics.
Table 1. Demographic characteristics.
Demographics VariableCategoryFrequencyPercentage (%)
GenderMale16840.19
Female25059.81
Age18–257818.66
26–3526463.16
36–455813.88
Above 45184.31
RegionEastern China19646.89
Central China8620.57
Western China8821.05
Northwestern China4811.48
Educational levelHigh school or below61.44
College degree307.18
Bachelor’s degree35885.65
Master’s degree or above245.74
Income per month (CNY)Below 100040.96
1000–2000409.57
2001–50006214.83
5001–800018243.54
Above 800013031.10
Table 2. NCA of the necessity of a single condition.
Table 2. NCA of the necessity of a single condition.
ConditionsMethodCelling ZoneScopeEffect Sizep-Value
PPECE_FDH0.0350.920.0380.000
CR_FDH0.0230.920.0240.000
PPCCE_FDH0.0280.920.0300.001
CR_FDH0.0220.920.0240.000
PFCE_FDH0.0510.880.0580.000
CR_FDH0.0370.880.0420.000
PPCE_FDH0.0120.910.0130.009
CR_FDH0.0060.910.0060.016
GTCE_FDH0.0650.930.0690.000
CR_FDH0.0550.930.0590.000
Table 3. Bottleneck table (percentages).
Table 3. Bottleneck table (percentages).
PSPPEPPCPFPPGT
0NNNNNNNNNN
10NNNNNNNN0.5
20NNNNNNNN1.8
30NNNNNNNN3.2
400.5NNNNNN4.5
501.7NNNNNN5.9
602.9NNNNNN7.2
704.12.45.2NN8.5
805.26.010.6NN9.9
906.49.616.02.611.2
1007.613.221.49.312.6
NN = Not necessary, indicating that the condition is not a necessary condition below the specified threshold.
Table 4. fsQCA analysis of the necessity of a single condition.
Table 4. fsQCA analysis of the necessity of a single condition.
ConditionsPS~PS
ConsistencyCoverageConsistencyCoverage
PPE0.7940.7220.5570.547
~PPE0.5020.5120.7170.789
PPC0.7500.6630.6230.594
~PPC0.5410.5710.6460.736
PF0.7870.7420.5520.561
~PF0.5340.5250.7470.791
PP0.7760.6800.5890.557
~PP0.4950.5280.6620.761
GT0.7540.7030.5650.569
~GT0.5380.5340.7050.755
“~” denotes low levels (e.g., ~PPE = low perceived policy effectiveness). A variable without “~” means high (e.g., PPE = high perceived policy effectiveness).
Table 5. Configurations leading to a high level of PS.
Table 5. Configurations leading to a high level of PS.
ConditionsS1aS1bS1cS2S3
PPE
PPC
PF
PP
GT
Raw coverage0.6070.6150.6190.5880.586
Unique coverage0.0140.0180.0590.0280.007
Consistency0.8060.8410.8070.8210.808
Solution coverage0.743
Solution consistency0.756
Big black circles “⬤” indicate the presence of a core condition while the small black circles “•” indicate the presence of a peripheral condition in each configuration.
Disclaimer/Publisher’s Note: The statements, opinions and data contained in all publications are solely those of the individual author(s) and contributor(s) and not of MDPI and/or the editor(s). MDPI and/or the editor(s) disclaim responsibility for any injury to people or property resulting from any ideas, methods, instructions or products referred to in the content.

Share and Cite

MDPI and ACS Style

Zhang, B. Driving Public Support for Urban Waste-Sorting Policies: A Configuration Analysis of Policy Factors. Sustainability 2026, 18, 2211. https://doi.org/10.3390/su18052211

AMA Style

Zhang B. Driving Public Support for Urban Waste-Sorting Policies: A Configuration Analysis of Policy Factors. Sustainability. 2026; 18(5):2211. https://doi.org/10.3390/su18052211

Chicago/Turabian Style

Zhang, Beijia. 2026. "Driving Public Support for Urban Waste-Sorting Policies: A Configuration Analysis of Policy Factors" Sustainability 18, no. 5: 2211. https://doi.org/10.3390/su18052211

APA Style

Zhang, B. (2026). Driving Public Support for Urban Waste-Sorting Policies: A Configuration Analysis of Policy Factors. Sustainability, 18(5), 2211. https://doi.org/10.3390/su18052211

Note that from the first issue of 2016, this journal uses article numbers instead of page numbers. See further details here.

Article Metrics

Back to TopTop