Mapping Total and Embodied Environmental Impacts in Flemish Buildings
Abstract
1. Introduction
1.1. Whole Life-Cycle Perspective of Buildings
1.2. Main Contributors to Embodied Emissions
1.3. Benchmarking and Embodied Emission Reductions
1.4. Research Goal, Scope, and Steps
2. Materials and Methods
2.1. LCA Methodology
2.2. Case Studies
2.2.1. Single-Family Houses
Typology and Geometry
Building Elements
2.2.2. Multi-Family Houses
2.2.3. Non-Residential Buildings
3. Results
3.1. Environmental Impact Assessment
3.1.1. Environmental Impact of Building Materials and Operational Energy Use
3.1.2. Operational Impact
3.1.3. Embodied Impact
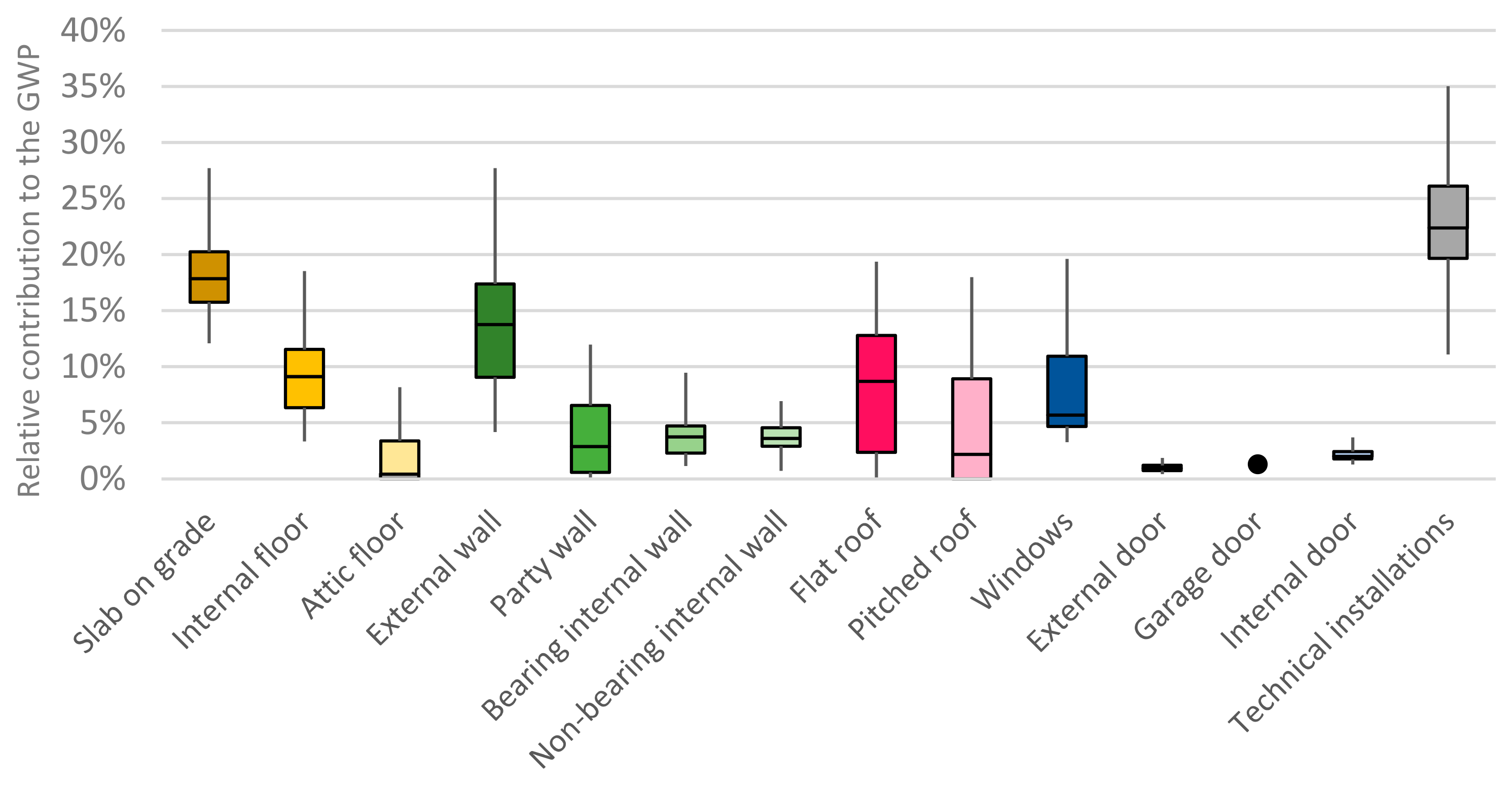
Building Elements and Technical Installations
Bill-of-Quantities Categories
Influence of Material Choice
3.2. Embodied Reduction Potential Through Circular Strategies
3.2.1. Framework for the Stepwise Reduction
3.2.2. Results of the Stepwise Reduction
3.3. Benchmarks for Total Carbon Emissions
4. Discussion
5. Conclusions
Author Contributions
Funding
Institutional Review Board Statement
Informed Consent Statement
Data Availability Statement
Acknowledgments
Conflicts of Interest
Abbreviations
| LCA | Life-cycle assessment |
| GWP | Global warming potential |
| PEF | Product environmental footprint |
| EHDDs | Equivalent heating degree days |
| EPB | Energy performance of buildings |
| EPBD | Energy performance of building directives |
| SFH | Single-family house |
| MFH | Multi-family house |
| PUR | Polyurethane |
| PS | Polystyrene |
| XPS | Extruded polystyrene |
| PVC | Polyvinyl chloride |
| MDF | Medium-density fibre board |
| CLT | Cross-laminated timber |
| DHW | Domestic hot water |
| PP | Polypropylene |
| ESB | Elka strong board |
| OSB | Oriented strand board |
Appendix A. Building Assemblies of Building Elements per Material Scenario for SFHs
| Low | Medium | High |
|---|---|---|
| External wall | ||
| - Paint, 0.1 mm - Gypsum plaster, 12 mm - Hollow concrete blocks, 140 mm - Cement mortar, 140 mm - EPS, 200 mm - External plaster, 7 mm | - Paint, 0.1 mm - Gypsum plaster, 12 mm - Hollow ceramic bricks, 140 mm - Cement mortar, 140 mm - Stone wool, 220 mm - Plaster, 7 mm - Stone strips, 20 mm - Cement mortar, 20 mm | - Paint, 0.1 mm - Gypsum plaster, 12 mm - Calcium silicate bricks, 150 mm - Cement mortar, 150 mm - PUR, 120 mm - Moderately ventilated cavity, 30 mm - Ceramic façade brick, 90 mm - Cement mortar, 90 mm |
| Party wall | ||
| - Paint, 0.1 mm - Gypsum plaster, 12 mm - Hollow concrete blocks, 140 mm - Cement mortar, 140 mm - Stone wool, 40 mm - Gypsum plaster, 12 mm - Paint, 0.1 mm | - Paint, 0.1 mm - Gypsum plaster, 12 mm - Hollow ceramic bricks, 140 mm - Cement mortar, 140 mm - Stone wool, 30 mm - Hollow ceramic bricks, 140 mm - Cement mortar, 140 mm - Gypsum plaster, 12 mm - Paint, 0.1 mm | - Paint, 0.1 mm - Gypsum plaster, 12 mm - Calcium silicate bricks, 150 mm - Cement mortar, 150 mm - Glass wool, 40 mm - Calcium silicate bricks, 150 mm - Cement mortar, 150 mm - Gypsum plaster, 12 mm - Paint, 0.1 mm |
| Bearing internal wall | ||
| - Paint, 0.1 mm - Gypsum plaster, 12 mm - Hollow concrete blocks, 140 mm - Cement mortar, 140 mm - Gypsum plaster, 12 mm - Paint, 0.1 mm | - Paint, 0.1 mm - Gypsum plaster, 12 mm - Hollow ceramic bricks, 140 mm - Cement mortar, 140 mm - Gypsum plaster, 12 mm - Paint, 0.1 mm | - Paint, 0.1 mm - Gypsum plaster, 12 mm - Calcium silicate bricks, 150 mm - Cement mortar, 150 mm - Gypsum plaster, 12 mm - Paint, 0.1 mm |
| Non-bearing internal wall | ||
| - Paint, 0.1 mm - Gypsum plaster, 12 mm - Hollow concrete blocks, 90 mm - Cement mortar, 90 mm - Gypsum plaster, 12 mm - Paint, 0.1 mm | - Paint, 0.1 mm - Gypsum plaster, 12 mm - Hollow ceramic bricks, 90 mm - Cement mortar, 90 mm - Gypsum plaster, 12 mm - Paint, 0.1 mm | - Paint, 0.1 mm - Gypsum plaster, 12 mm - Calcium silicate bricks, 90 mm - Cement mortar, 90 mm - Gypsum plaster, 12 mm - Paint, 0.1 mm |
| Flat roof | ||
| - Bitumen roofing, 9 mm - EPS, 180 mm - Vapour barrier - Cement screed, 50 mm - Concrete topping, 30 mm - Hollow concrete slab, 120 mm - Gypsum plaster, 12 mm - Paint, 0.1 mm | - EPDM, 6 mm - PUR, 120 mm - Vapour barrier - Cement screed, 50 mm - Concrete topping, 100 mm - Wide concrete slab, 50 mm - Gypsum plaster, 12 mm - Paint, 0.1 mm | - EPDM, 6 mm - Stone wool, 210 mm - Vapour barrier - Cement screed, 50 mm - Concrete slab, 150 mm - Gypsum plaster, 12 mm - Paint, 0.1 mm |
| Pitched roof | ||
| - Concrete roof tile, 12 mm - Battens, 32 mm - Counter battens, 20 mm - Roofing membrane - SLS beams, 220 mm - Stone wool, 220 mm - PE foil - Battens, 22 mm - Gypsum board, 12.5 mm - Paint, 0.1 mm | - Ceramic roof tile, 15 mm - Battens, 32 mm - Counter battens, 20 mm - Fibre board, 22 mm - FJI beams, 200 mm - Stone wool, 200 mm - PE foil - Battens, 22 mm - Gypsum board, 12.5 mm - Paint, 0.1 mm | - Fibre cement roof tiles, 4 mm - Battens, 32 mm - Counter battens, 20 mm - Fibre board, 22 mm - LVL beams, 200 mm - Glass wool, 200 mm - Battens, 22 mm - Gypsum board, 12.5 mm - Paint, 0.1 mm |
| Slab on grade | ||
| - Parquet, 23 mm - Cement screed with EPS granulates, 50 mm - PE foil - EPS, 150 mm - Cement screed, 40 mm - Concrete slab, 150 mm - PE foil - Compacted sand, 140 mm | - Laminate, 13 mm - Cement screed with EPS granulates, 50 mm - PE foil - PUR, 100 mm - Concrete slab, 150 mm - PE foil - Compacted sand, 140 mm | - Ceramic tiles, 13 mm - Cement screed, 50 mm - PE foil - Stone wool, 160 mm - Cement screed, 40 mm - Concrete slab, 150 mm - PE foil - Compacted sand, 140 mm |
| Internal floor | ||
| - Parquet, 23 mm - Cement screed, 50 mm - Concrete topping, 30 mm - Hollow concrete slab, 120 mm - Gypsum plaster, 12 mm - Paint, 0.1 mm | - Vinyl, 3 mm - Cement screed, 50 mm - Concrete topping, 100 mm - Wide concrete slab, 50 mm - Gypsum plaster, 12 mm - Paint, 0.1 mm | - Ceramic tiles, 13 mm - Cement screed, 50 mm - Concrete slab, 150 mm - Gypsum plaster, 12 mm - Paint, 0.1 mm |
| Attic floor | ||
| - Parquet, 23 mm - Particle board, 18 mm - SLS beams, 220 mm - Gypsum board, 12.5 mm - Paint, 0.1 mm | - Laminate, 13 mm - OSB, 18 mm - FJI beams, 220 mm - Particle board, 18 mm - Paint, 0.1 | - Ceramic tiles, 13 mm - Multiplex, 18 mm - LVL beams, 220 mm - Gypsum board, 12.5 mm - Paint, 0.1 |
| Low | Medium | High |
|---|---|---|
| External wall | ||
| - Paint, 0.1 mm - Gypsum board, 12.5 mm - PE foil - Particle board, 18 mm - SLS beams, 220 mm - Stone wool, 220 mm - Fibre board, 22 mm - Battens, 38 mm - Wooden cladding, 20 mm | - Paint, 0.1 mm - Gypsum board, 12.5 mm - OSB, 18 mm - FJI beams, 200 mm - Glass wool, 200 mm - Fibre board, 22 mm - Moderately ventilated cavity, 30 mm - Ceramic façade brick, 90 mm - Cement mortar, 90 mm | - Paint, 0.1 mm - Gypsum board, 12.5 mm - Multiplex, 18 mm - LVL beams, 200 mm - Glass wool, 200 mm - Fibre board, 22 mm - Battens, 38 mm - Fibre cement board, 8 mm |
| Party wall | ||
| - Paint, 0.1 mm - Gypsum board, 12.5 mm - PE foil - Particle board, 18 mm - SLS beams, 90 mm - Stone wool, 90 mm - Non-ventilated cavity, 30 mm - SLS beams, 90 mm - Stone wool, 90 mm - Particle board, 18 mm - PE foil - Gypsum board, 12.5 mm - Paint, 0.1 mm | - Paint, 0.1 mm - Gypsum board, 12.5 mm - OSB, 18 mm - FJI beams, 200 mm - Stone wool, 200 mm - Non-ventilated cavity, 30 mm - FJI beams, 200 mm - Stone wool, 200 mm - OSB, 18 mm - Gypsum board, 12.5 mm - Paint, 0.1 mm | - Paint, 0.1 mm - Gypsum board, 12.5 mm - Multiplex, 18 mm - LVL beams, 90 mm - Glass wool, 90 mm - Non-ventilated cavity, 30 mm - LVL beams, 90 mm - Glass wool, 90 mm - Multiplex, 18 mm - Gypsum board, 12.5 mm - Paint, 0.1 mm |
| Bearing internal wall | ||
| - Paint, 0.1 mm - Gypsum board, 12.5 mm - Particle board, 18 mm - SLS beams, 120 mm - Particle board, 18 mm - Gypsum board, 12.5 mm - Paint, 0.1 mm | - Paint, 0.1 mm - Gypsum board, 12.5 mm - OSB, 18 mm - FJI beams, 200 mm - Stone wool, 200 mm - OSB, 18 mm - Gypsum board, 12.5 mm - Paint, 0.1 mm | - Paint, 0.1 mm - Gypsum board, 12.5 mm - Multiplex, 18 mm - LVL beams, 120 mm - Glass wool, 120 mm - Multiplex, 18 mm - Gypsum board, 12.5 mm - Paint, 0.1 mm |
| Non-bearing internal wall | ||
| - Paint, 0.1 mm - Gypsum board, 12.5 mm - Particle board, 18 mm - SLS beams, 90 mm - Particle board, 18 mm - Gypsum board, 12.5 mm - Paint, 0.1 mm | - Paint, 0.1 mm - Gypsum board, 12.5 mm - Particle board, 18 mm - SLS beams, 90 mm - Glass wool, 90 mm - Particle board, 18 mm - Gypsum board, 12.5 mm - Paint, 0.1 mm | - Paint, 0.1 mm - Gypsum board, 12.5 mm - Multiplex, 18 mm - LVL beams, 90 mm - Glass wool, 90 mm - Multiplex, 18 mm - Gypsum board, 12.5 mm - Paint, 0.1 mm |
| Flat roof | ||
| - Bitumen roofing, 9 mm - EPS, 170 mm - Vapour barrier - Particle board, 18 mm - SLS beams, 220 mm - Battens, 22 mm - Gypsum board, 12.5 mm - Paint, 0.1 mm | - EPDM, 6 mm - PUR, 110 mm - Vapour barrier - OSB, 18 mm - FJI beams, 220 mm - Battens, 22 mm - Gypsum board, 12.5 mm - Paint, 0.1 mm | - EPDM, 6 mm - Stone wool, 200 mm - Vapour barrier - Multiplex, 18 mm - LVL beams, 220 mm - Battens, 22 mm - Gypsum board, 12.5 mm - Paint, 0.1 mm |
| Pitched roof | ||
| - Concrete roof tile, 12 mm - Battens, 32 mm - Counter battens, 20 mm - Roofing membrane - SLS beams, 220 mm - Stone wool, 220 mm - PE foil - Battens, 22 mm - Gypsum board, 12.5 mm - Paint, 0.1 mm | - Ceramic roof tile, 15 mm - Battens, 32 mm - Counter battens, 20 mm - Fibre board, 22 mm - FJI beams, 200 mm - Stone wool, 200 mm - PE foil - Battens, 22 mm - Gypsum board, 12.5 mm - Paint, 0.1 mm | - Fibre cement roof tiles, 4 mm - Battens, 32 mm - Counter battens, 20 mm - Fibre board, 22 mm - LVL beams, 200 mm - Glass wool, 200 mm - Battens, 22 mm - Gypsum board, 12.5 mm - Paint, 0.1 mm |
| Slab on grade | ||
| - Parquet, 23 mm - Cement screed with EPS granulates, 50 mm - PE foil - EPS, 150 mm - Cement screed, 40 mm - Concrete slab, 150 mm - PE foil - Compacted sand, 140 mm | - Laminate, 13 mm - Cement screed with EPS granulates, 50 mm - PE foil - PUR, 100 mm - Concrete slab, 150 mm - PE foil - Compacted sand, 140 mm | - Ceramic tiles, 13 mm - Cement screed, 50 mm - PE foil - Stone wool, 160 mm - Cement screed, 40 mm - Concrete slab, 150 mm - PE foil - Compacted sand, 140 mm |
| Internal floor | ||
| - Parquet, 23 mm - Particle board, 18 mm - SLS beams, 220 mm - Gypsum board, 12.5 mm - Paint, 0.1 mm | - Laminate, 13 mm - OSB, 18 mm - FJI beams, 220 mm - Particle board, 18 mm - Paint, 0.1 | - Ceramic tiles, 13 mm - Multiplex, 18 mm - LVL beams, 220 mm - Gypsum board, 12.5 mm - Paint, 0.1 |
| Attic floor | ||
| - Parquet, 23 mm - Particle board, 18 mm - SLS beams, 220 mm - Gypsum board, 12.5 mm - Paint, 0.1 mm | - Laminate, 13 mm - OSB, 18 mm - FJI beams, 220 mm - Particle board, 18 mm - Paint, 0.1 | - Ceramic tiles, 13 mm - Multiplex, 18 mm - LVL beams, 220 mm - Gypsum board, 12.5 mm - Paint, 0.1 |
Appendix B. Building Assemblies of Building Elements for MFHs
| AP_IDA1 | AP_IDA2 | AP_IDA3 |
|---|---|---|
| External wall 1 | ||
| - Paint, 0.1 mm - Gypsum plaster, 10 mm - Hollow ceramic bricks, 140 mm - Cement mortar, 140 mm - PUR, 120 mm - Moderately ventilated cavity, 20 mm - Ceramic façade bricks, 90 mm - Cement mortar, 90 mm | - Paint, 0.1 mm - Gypsum plaster, 10 mm - Hollow ceramic bricks, 140 mm - Cement mortar, 140 mm - EPS, 40 mm - EPS, 40 mm - EPS, 100 mm - External plaster, 7 mm | - Hollow concrete blocks, 190 mm - Cement mortar, 190 mm - Bitumen, 2 mm - Cavity membrane - Proofing sheet PP |
| External wall 2 | ||
| / | / | - Paint, 0.1 mm - Gypsum plaster, 10 mm - Hollow ceramic bricks, 140 mm - Cement mortar, 140 mm - PUR, 120 mm - Moderately ventilated cavity, 20 mm - Ceramic façade bricks, 90 mm - Cement mortar, 90 mm |
| External wall 3 | ||
| / | / | - Paint, 0.1 mm - Gypsum plaster, 10 mm - Hollow ceramic bricks, 140 mm - Cement mortar, 140 mm - PUR, 120 mm - Battens, 2 × 32 mm - Fibre cement tiles, 4 mm |
| Party wall | ||
| - Paint, 0.1 mm - Gypsum plaster, 10 mm - Hollow ceramic bricks, 140 mm - Cement mortar, 140 mm - Glass wool, 40 or 50 mm - Glass wool, 40 or 50 mm - Hollow ceramic bricks, 140 mm - Cement mortar, 140 mm - Gypsum plaster, 10 mm - Paint, 0.1 mm | - Paint, 0.1 mm - Gypsum plaster, 10 mm - Hollow ceramic bricks, 140 mm - Cement mortar, 140 mm - Glass wool, 50 mm - Hollow ceramic bricks, 140 mm - Cement mortar, 140 mm - Gypsum plaster, 10 mm - Paint, 0.1 mm | - Paint, 0.1 mm - Gypsum plaster, 10 mm - Hollow ceramic bricks, 140 mm - Cement mortar, 140 mm - Glass wool, 20 mm - Hollow ceramic bricks, 140 mm - Cement mortar, 140 mm - Gypsum plaster, 10 mm - Paint, 0.1 mm |
| Bearing internal wall 1 | ||
| - Paint, 0.1 mm - Gypsum plaster, 10 mm - Hollow ceramic bricks, 140 mm - Cement mortar, 140 mm - Gypsum plaster, 10 mm - Paint, 0.1 mm | - Paint, 0.1 mm - Gypsum plaster, 10 mm - Hollow ceramic bricks, 140 mm - Cement mortar, 140 mm - Gypsum plaster, 10 mm - Paint, 0.1 mm | - Paint, 0.1 mm - Gypsum plaster, 10 mm - Hollow ceramic bricks, 140 mm - Cement mortar, 140 mm - Gypsum plaster, 10 mm - Paint, 0.1 mm |
| Bearing internal wall 2 | ||
| / | - Paint, 0.1 mm - Gypsum plaster, 10 mm - Hollow ceramic bricks, 140 mm - Cement mortar, 140 mm - PUR, 100 mm - Ceramic brick, 90 mm - Cement mortar, 90 mm | / |
| Non-bearing internal wall | ||
| - Paint, 0.1 mm - Gypsum plaster, 10 mm - Hollow ceramic bricks, 90 mm - Cement mortar, 90 mm - Gypsum plaster, 10 mm - Paint, 0.1 mm | - Paint, 0.1 mm - Gypsum plaster, 10 mm - Hollow ceramic bricks, 90 mm - Cement mortar, 90 mm - Gypsum plaster, 10 mm - Paint, 0.1 mm | - Paint, 0.1 mm - Gypsum plaster, 10 mm - Hollow ceramic bricks, 90 mm - Cement mortar, 90 mm - Gypsum plaster, 10 mm - Paint, 0.1 mm |
| Flat roof 1 | ||
| - Bitumen roofing, 7 mm - PUR, 80 mm - PUR, 80 mm - Vapour barrier - Cement screed, 60 mm - Concrete topping, 50 mm - Hollow concrete slab, 120 mm - Gypsum plaster, 10 mm - Paint, 0.1 mm | - Bitumen roofing, 7 mm - PUR, 100 mm - Vapour barrier - OSB, 18 mm - Softwood, 50 mm - SLS beams, 180 mm - Battens, 22 mm - Paint, 0.1 mm | - Concrete tiles, 60 mm - Tile carriers, 50 mm - Bitumen roofing, 7 mm - PUR, 120 mm - Vapour barrier, 3 mm - Cement screed, 50 mm - Concrete slab, 160 mm - Gypsum plaster, 10 mm - Paint, 0.1 mm |
| Flat roof 2 | ||
| / | / | - Bitumen roofing, 7 mm - PUR, 120 mm - Vapour barrier, 3 mm - Cement screed, 50 mm - Concrete slab, 160 mm - Gypsum plaster, 10 mm - Paint, 0.1 mm |
| Pitched roof | ||
| - Ceramic roof tiles, 38 mm - Battens, 27 mm - Counter battens, 20 mm - Fibre cement board, 3 mm - SLS beams, 180 mm - Glass wool, 180 mm - PE foil - Battens, 47 mm - Gypsum board, 12.5 mm - Paint, 0.1 mm | - Fibre cement tiles, 4 mm - Battens, 27 mm - Counter battens, 20 mm - Wood fibre board, 22 mm - SLS beams, 180 mm - Glass wool, 180 mm - PE foil - Battens, 22 mm - Gypsum board, 12.5 mm - Paint, 0.1 mm | / |
| Slab on grade 1—remark: floor located above the basement is not classified as a slab on grade | ||
| / | - Ceramic tiles, 10 mm - Cement screed, 70 mm - PUR, 140 mm - PE foil - Concrete slab, 150 mm - Compacted sand, 140 mm | - Concrete slab, 150 mm - Compacted sand, 140 mm |
| Slab on grade 2—remark: floor located above the basement is not classified as a slab on grade | ||
| / | / | - Ceramic tiles, 10 mm - Cement screed, 70 mm - PUR, 80 mm - PE foil - Concrete slab, 150 mm - Compacted sand, 140 mm |
| Internal floor 1 | ||
| - Natural stone tiles, 20 mm - Cement screed, 70 or 100 mm - PUR, 80 mm - PE foil - Concrete topping, 40 or 60 mm - Hollow concrete slab, 120 mm - Gypsum plaster, 10 mm - Paint, 0.1 mm | - Ceramic tiles, 10 mm - Cement screed, 70 mm - Concrete slab, 150 mm - Gypsum plaster, 12 mm - Paint, 0.1 mm | - Ceramic tiles, 10 mm - Cement screed, 60 mm - PUR, 50 mm - PE foil - Concrete slab, 160 mm - Gypsum plaster, 10 mm - Paint, 0.1 mm |
| Internal floor 2 | ||
| - Natural stone tiles, 20 mm - Cement screed, 70 mm - Concrete topping, 40 mm - Hollow concrete slab, 120 mm - Gypsum plaster, 10 mm - Paint, 0.1 mm | - Ceramic tiles, 10 mm - Cement screed, 70 mm - PE foil - PUR, 140 mm - PE foil - Concrete slab, 150 mm | - Ceramic tiles, 10 mm - Cement screed, 60 mm - Concrete slab, 160 mm - Gypsum plaster, 10 mm - Paint, 0.1 mm |
| Internal floor 3 | ||
| - Natural stone tiles, 20 mm - Cement screed, 70 or 100 mm - PE foil - PUR, 100 or 120 mm - PE foil - Concrete topping, 60 mm - Hollow concrete slab, 120 mm | - Ceramic tiles, 10 mm - Cement screed, 70 mm - PE foil - PUR, 140 mm - PE foil - EPS, 100 mm - EPS, 40 mm - EPS, 40 mm - Mineral plaster, 7 mm | - Ceramic tiles, 10 mm - Cement screed, 50 mm - PE foil - PUR, 80 mm - PE foil - Concrete topping, 40 mm - Hollow concrete slab, 120 mm |
| Internal floor 4 | ||
| / | - Ceramic tiles, 10 mm - Concrete slab, 200 mm - EPS, 100 mm - EPS, 40 mm - EPS, 40 mm - Mineral plaster, 7 mm | / |
| AP_IDA4 | AP_IDA5 | AP_IDA6 |
|---|---|---|
| External wall 1 | ||
| - Paint, 0.1 mm - Gypsum plaster, 15 mm - Poured concrete, 140 mm - Battens, 40 mm - Glass wool, 40 mm - Fibre cement board, 8 mm | - Hollow concrete blocks, 190 mm - Cement mortar, 190 mm - Cement mortar, 190 mm - Bitumen, 2 mm - Cavity membrane - Proofing sheet PP | - Paint, 0.1 mm - Gypsum plaster, 10 mm - Insulated ceramic bricks, 140 mm - Cement mortar, 140 mm - Battens, 90 mm - Stone wool, 90 mm - Battens, 90 mm - Stone wool, 90 mm |
| External wall 2 | ||
| - Paint, 0.1 mm - Gypsum plaster, 15 mm - Poured concrete, 140 mm - PUR, 70 mm - PE foil - Battens, 40 or 60 mm - Fibre cement board, 8 mm | - Paint, 0.1 mm - Gypsum plaster, 10 mm - Steel profiles, 32 mm - PUR, 60 mm - PUR, 40 cm - PE foil - Aluminium profiles, 40 mm - Aluminium sheet, 1.8 mm | - Paint, 0.1 mm - Gypsum plaster, 10 mm - Insulated ceramic bricks, 140 mm - Cement mortar, 140 mm - PUR, 100 mm |
| External wall 3 | ||
| - Paint, 0.1 mm - Gypsum plaster, 10 mm - Hollow ceramic bricks, 140 mm - Cement mortar, 140 mm - PUR, 120 mm - Moderately ventilated cavity, 20 mm - Ceramic façade bricks, 100 mm - Cement mortar, 100 mm | - Paint, 0.1 mm - Gypsum plaster, 10 mm - Insulated ceramic bricks, 140 mm - Cement mortar, 140 mm - EPS, 130 mm - External plaster, 7 mm | - Paint, 0.1 mm - Gypsum plaster, 10 mm - Insulated ceramic bricks, 140 mm - Cement mortar, 140 mm - Stone wool, 90 mm - Stone wool, 60 mm - Moderately ventilated cavity, 20 mm - Ceramic façade bricks, 100 mm - Cement mortar, 100 mm |
| External wall 4 | ||
| / | - Paint, 0.1 mm - Gypsum plaster, 10 mm - Insulated ceramic bricks, 140 mm - Cement mortar, 140 mm - PUR, 100 mm - Moderately ventilated cavity, 20 mm - Ceramic façade brick, 90 mm - Cement mortar, 90 mm | - Paint, 0.1 mm - Gypsum board, 12.5 mm - Battens, 22 mm - PE foil - SLS beams, 220 mm - Glass wool, 220 mm - Wood fibre board, 22 mm - Battens, 20 mm - Battens, 26 mm - Ceramic tiles, 38 mm |
| External wall 5 | ||
| / | / | - PUR, 100 mm |
| Party wall 1 | ||
| - Paint, 0.1 mm - Gypsum plaster, 15 mm - Hollow ceramic bricks, 140 mm - Cement mortar, 140 mm - Glass wool, 40 mm - Hollow ceramic bricks, 140 mm - Cement mortar, 140 mm - Gypsum plaster, 15 mm - Paint, 0.1 mm | - Paint, 0.1 mm - Gypsum plaster, 10 mm - Insulated ceramic bricks, 140 mm - Cement mortar, 140 mm - Glass wool, 70 mm - Insulated ceramic bricks, 140 mm - Cement mortar, 140 mm - Gypsum plaster, 10 mm - Paint, 0.1 mm | - Paint, 0.1 mm - Gypsum plaster, 10 mm - Insulated ceramic bricks, 140 mm - Cement mortar, 140 mm - Glass wool, 20 mm - Not ventilated cavity, 20 mm - Insulated ceramic bricks, 140 mm - Cement mortar, 140 mm - Gypsum plaster, 10 mm - Paint, 0.1 mm |
| Party wall 2 | ||
| / | - Paint, 0.1 mm - Gypsum plaster, 10 mm - Hollow ceramic bricks, 100 mm - Cement mortar, 100 mm - Hollow ceramic bricks, 100 mm - Cement mortar, 100 mm - Glass wool, 20 mm - Hollow ceramic bricks, 140 mm - Cement mortar, 140 mm - Gypsum plaster, 10 mm - Paint, 0.1 mm | - Paint, 0.1 mm - Gypsum plaster, 10 mm - Insulated ceramic bricks, 140 mm - Cement mortar, 140 mm - Glass wool, 20 mm - Insulated ceramic bricks, 140 mm - Cement mortar, 140 mm - Gypsum plaster, 10 mm - Paint, 0.1 mm |
| Bearing internal wall 1 | ||
| - Paint, 0.1 mm - Gypsum plaster, 10 mm - Hollow ceramic bricks, 140 mm - Cement mortar, 140 mm - Gypsum plaster, 10 mm - Paint, 0.1 mm | - Paint, 0.1 mm - Gypsum plaster, 10 mm - Insulated ceramic bricks, 140 mm - Cement mortar, 140 mm - Stone wool, 60 mm - Gypsum board, 15 mm - Paint, 0.1 mm | - Paint, 0.1 mm - Gypsum plaster, 10 mm - Hollow ceramic bricks, 140 mm - Cement mortar, 140 mm - Gypsum plaster, 10 mm - Paint, 0.1 mm |
| Bearing internal wall 2 | ||
| - Paint, 0.1 mm - Gypsum plasterboard, 12.5 mm - PUR, 120 mm - Poured concrete, 150 mm | - Paint, 0.1 mm - Gypsum plaster, 10 mm - Hollow ceramic bricks, 140 mm - Cement mortar, 140 mm - Gypsum plaster, 10 mm - Paint, 0.1 mm | / |
| Non-bearing internal wall | ||
| - Paint, 0.1 mm - Gypsum plaster, 10 mm - Hollow ceramic bricks, 90 mm - Cement mortar, 90 mm - Gypsum plaster, 10 mm - Paint, 0.1 mm | - Paint, 0.1 mm - Gypsum plaster, 10 mm - Hollow ceramic bricks, 90 mm - Cement mortar, 90 mm - Gypsum plaster, 10 mm - Paint, 0.1 mm | - Paint, 0.1 mm - Gypsum plaster, 10 mm - Hollow ceramic bricks, 90 mm - Cement mortar, 90 mm - Gypsum plaster, 10 mm - Paint, 0.1 mm |
| Flat roof 1 | ||
| - Fibre cement board, 8 mm - Battens, 40 mm - PUR, 40 mm - Concrete slab, 140 mm - Gypsum plaster, 15 mm - Paint, 0.1 mm | - Bitumen roofing, 7 mm - PUR, 120 mm - Vapour barrier - Concrete slab, 150 mm - Gypsum plaster, 10 mm - Paint, 0.1 mm | - PUR, 100 mm |
| Flat roof 2 | ||
| - Fibre cement board, 8 mm - Battens, 60 mm - PE foil - PUR, 70 mm - Concrete slab, 140 mm - Gypsum plaster, 15 mm - Paint, 0.1 mm | / | - Fibre cement board, 8 mm - PUR, 100 - Vapour barrier - Cement screed, 20 mm - Concrete slab, 180 mm - Gypsum plaster, 10 mm - Paint, 0.1 mm |
| Flat roof 3 | ||
| - Bitumen roofing, 7 mm - PUR, 120 or 140 mm - Vapour barrier - Cement screed, 80 mm - Concrete slab, 200 mm - Gypsum plaster, 10 mm - Paint, 0.1 mm | / | / |
| Flat roof 4 | ||
| - Concrete terrace tiles, 60 mm - Tile carrier, 50 mm - Bitumen roofing, 7 mm - PUR, 140 mm - Vapour barrier - Cement screed, 80 mm - Concrete slab, 200 mm - Gypsum plaster, 10 mm - Paint, 0.1 mm | / | / |
| Pitched roof | ||
| / | / | - Ceramic roof tiles, 38 mm - Battens, 26 mm - Counter battens, 20 mm - Wood fibre board, 22 mm - SLS beams, 220 mm - Glass wool, 220 mm - Vapour barrier - Battens, 22 mm - Gypsum board, 12.5 mm - Paint, 0.1 mm |
| Slab on grade 1— remark: floor located above the basement is not classified as a slab on grade | ||
| - Ceramic tiles, 10 mm - Cement screed, 90 mm - PUR, 100 mm - PE foil - Concrete slab, 300 mm - Compacted sand, 140 mm | - Concrete slab, 150 mm - Compacted sand, 140 mm | - Ceramic tiles, 10 mm - Cement screed, 60 mm - PUR, 100 mm - Vapour barrier - Concrete slab, 300 mm - Compacted sand, 140 |
| Internal floor 1 | ||
| - Ceramic tiles, 10 mm - Cement screed, 80 mm - PUR, 40 mm - PE foil - Concrete slab, 200 mm - Gypsum plaster, 15 mm - Paint, 0.1 mm | - Ceramic tiles, 10 mm - Cement screed, 60 mm - PE foam, 6 mm - EPS, 80 or 100 mm - PE foil - Concrete slab, 150 mm - Gypsum plaster, 10 mm - Paint, 0.1 mm | - Ceramic tiles, 10 mm - Cement screed, 60 mm - Cement screed with EPS granulates, 50 mm - Concrete slab, 180 mm - Gypsum plaster, 10 mm - Paint, 0.1 mm |
| Internal floor 2 | ||
| - Ceramic tiles, 10 mm - Cement screed, 80 mm - Concrete slab, 200 mm - Gypsum plaster, 15 mm - Paint, 0.1 mm | - Ceramic tiles, 10 mm - Cement screed, 60 mm - Concrete slab, 150 mm - Gypsum plaster, 10 mm - Paint, 0.1 mm | - Ceramic tiles, 10 mm - Cement screed, 60 mm - PUR, 50 mm - PE foil - Concrete slab, 180 mm - Gypsum plaster, 10 mm - Paint, 0.1 mm |
| Internal floor 3 | ||
| - Ceramic tiles, 10 mm - Cement screed, 80 mm - PUR, 40 mm - PE foil - Concrete slab, 140 mm - Battens, 40 mm - PUR, 40 mm - Fibre cement board, 8 mm | - Ceramic tiles, 10 mm - Cement screed, 60 mm - PE foam, 6 mm - EPS, 100 mm - PE foil - Concrete slab, 150 mm - PUR, 120 mm - OSB, 18 mm | - Ceramic tiles, 10 mm - Cement screed, 60 mm - Concrete slab, 180 mm - Gypsum plaster, 10 mm - Paint, 0.1 mm |
| Internal floor 4 | ||
| - Ceramic tiles, 10 mm - Cement screed, 80 mm - PUR, 40 mm - PE foil - Concrete slab, 140 mm - PUR, 70 mm - Battens, 36 mm - Fibre cement board, 8 mm | - Ceramic tiles, 10 mm - Cement screed, 50 mm - PE foil - PUR, 60 mm - PE foil - Concrete slab, 150 mm | - PUR, 100 mm |
| AP_IDA7 | AP_IDA8 | AP_IDA9 | AP_GB |
|---|---|---|---|
| External wall 1 | |||
| - Hollow concrete blocks, 190 mm - Cement mortar, 190 mm - Cement mortar, 190 mm - Bitumen, 2 mm - Cavity membrane - Proofing sheet PP | - Hollow concrete blocks, 190 mm - Cement mortar, 190 mm - Cement mortar, 190 mm - Bitumen, 2 mm - Cavity membrane - Proofing sheet PP | - Hollow concrete blocks, 190 mm - Cement mortar, 190 mm - Cement mortar, 190 mm - Bitumen, 2 mm - Cavity membrane - Proofing sheet PP | - Paint, 0.1 mm - Gypsum plaster, 12 mm - Hollow ceramic bricks, 140 mm - Cement mortar, 140 mm - EPS, 200 mm - External plaster, 7 mm |
| External wall 2 | |||
| - Paint, 0.1 mm - Gypsum plaster, 10 mm - Insulated ceramic bricks, 140 mm - Cement mortar, 140 mm - PUR, 120 mm - Moderately ventilated cavity, 30 mm - Ceramic façade brick, 90 mm - Cement mortar, 90 mm | - Paint, 0.1 mm - Lime plaster, 10 mm - Hollow ceramic bricks, 140 mm - Cement mortar, 140 mm - PUR, 100 mm - Moderately ventilated cavity, 20 mm - Fibre cement board, 8 mm | - Paint, 0.1 mm - Gypsum plaster, 10 mm - Calcium silicate blocks, 140 mm - Cement mortar, 140 mm - PUR, 120 mm - Moderately ventilated cavity, 30 mm - Ceramic façade brick, 90 mm - Cement mortar, 90 mm | - Paint, 0.1 mm - Gypsum plaster, 12 mm - Poured concrete, 140 mm - EPS, 200 mm - External plaster, 7 mm |
| External wall 3 | |||
| / | - Paint, 0.1 mm - Lime plaster, 10 mm - Hollow ceramic bricks, 140 mm - Cement mortar, 140 mm - PUR, 100 mm - Moderately ventilated cavity, 20 mm - Ceramic façade brick, 90 mm - Cement mortar, 90 mm | / | - Paint, 0.1 mm - Gypsum plaster, 12 mm - Hollow ceramic bricks, 140 mm - Cement mortar, 140 mm - PUR, 120 mm - Prefabricated concrete panel, 100 mm |
| External wall 4 | |||
| / | - Paint, 0.1 mm - Gypsum board, 12.5 mm - Battens, 22 mm - PE foil - OSB, 18 mm - SLS beams, 220 mm - Glass wool, 180 mm - OSB, 18 mm - PE foil - Not ventilated cavity, 20 mm - Batens, 20 mm - Fibre cement board, 8 mm | / | - Poured concrete, 400 mm - PE foil |
| External wall 5 | |||
| / | - Paint, 0.1 mm - Lime plaster, 10 mm - Hollow ceramic bricks, 140 mm - Cement mortar, 140 mm - PUR, 100 mm - Battens, 26 mm - Battens, 15 mm - Zinc sheet, 0.8 mm | / | / |
| Party wall 1 | |||
| - Paint, 0.1 mm - Gypsum plaster, 10 mm - Insulated ceramic bricks, 140 mm - Cement mortar, 140 mm - PUR, 120 mm - Insulated ceramic bricks, 140 mm - Cement mortar, 140 mm - Gypsum plaster, 10 mm - Paint, 0.1 mm | - Paint, 0.1 mm - Lime plaster, 10 mm - Hollow ceramic bricks, 140 mm - Cement mortar, 140 mm - Stone wool, 30 mm - Hollow ceramic bricks, 140 mm - Cement mortar, 140 mm - Lime plaster, 10 mm - Paint, 0.1 mm | - Paint, 0.1 mm - Gypsum plaster, 10 mm - Calcium silicate blocks, 140 mm - Cement mortar, 140 mm - Stone wool, 40 mm - Calcium silicate blocks, 140 mm - Cement mortar, 140 mm - Gypsum plaster, 10 mm - Paint, 0.1 mm | - Paint, 0.1 mm - Gypsum plaster, 12 mm - Poured concrete, 250 mm - Metal stud, 60 mm - Stone wool, 60 mm - OSB, 20 mm - Gypsum board, 12.5 mm - Paint, 0.1 mm |
| Party wall 2 | |||
| - Paint, 0.1 mm - Gypsum plaster, 10 mm - Insulated ceramic bricks, 140 mm - Cement mortar, 140 mm - Stone wool, 40 mm - Insulated ceramic bricks, 140 mm - Cement mortar, 140 mm - Gypsum plaster, 10 mm - Paint, 0.1 mm | / | / | - Paint, 0.1 mm - Gypsum plaster, 12 mm - Poured concrete, 150 mm - Stone wool, 50 mm - Hollow ceramic, bricks 140 mm - Cement mortar, 140 mm - Gypsum plaster, 12 mm - Paint, 0.1 mm |
| Part wall 3 | |||
| / | / | / | - Paint, 0.1 mm - Gypsum plaster, 12 mm - Hollow ceramic bricks, 140 mm - Cement mortar, 140 mm - Stone wool, 50 mm - Hollow ceramic bricks, 140 mm - Cement mortar, 140 mm - Gypsum plaster, 12 mm - Paint, 0.1 mm |
| Bearing internal wall 1 | |||
| - Paint, 0.1 mm - Gypsum plaster, 10 mm - hollow ceramic bricks, 140 mm - Cement mortar, 140 mm - Gypsum plaster, 10 mm - Paint, 0.1 mm | - Paint, 0.1 mm - Gypsum plaster, 10 mm - hollow ceramic bricks, 140 mm - Cement mortar, 140 mm - Gypsum plaster, 10 mm - Paint, 0.1 mm | - Paint, 0.1 mm - Gypsum plaster, 12 mm - Calcium silicate blocks, 140 mm - Cement mortar, 140 mm - Gypsum plaster, 12 mm - Paint, 0.1 mm | - Paint, 0.1 mm - Gypsum plaster, 12 mm - Hollow ceramic bricks, 140 mm - Cement mortar, 140 mm - Gypsum plaster, 12 mm - Paint, 0.1 mm |
| Bearing internal wall 2 | |||
| - Paint, 0.1 mm - Gypsum plaster, 10 mm - Cellular concrete blocks, 150 mm - Cement mortar, 150 mm - Gypsum plaster, 10 mm - Paint, 0.1 mm | - Paint, 0.1 mm - Lime plaster, 10 mm - Hollow ceramic bricks, 140 mm - Cement mortar, 140 mm - PUR, 40 mm - Lime plaster, 10 mm - Paint, 0.1 mm | - Poured concrete, 150 mm - Stone wool, 40 mm - Poured concrete, 150 mm | - Paint, 0.1 mm - Gypsum plaster, 12 mm - Hollow concrete blocks, 140 or 190 mm - Cement mortar, 140 or 190 mm - Gypsum plaster, 12 mm - Paint, 0.1 mm |
| Bearing internal wall 3 | |||
| / | / | / | - Paint, 0.1 mm - Gypsum plaster, 12 mm - Poured concrete, 150 mm - Gypsum plaster, 12 mm - Paint, 0.1 mm |
| Bearing internal wall 4 | |||
| / | / | / | - Paint, 0.1 mm - Gypsum plaster, 12 mm - Poured concrete, 150 mm - XPS, 200 mm - Gypsum plaster, 12 mm - Paint, 0.1 mm |
| Bearing internal wall 5 | |||
| / | / | / | - Paint, 0.1 mm - Gypsum plaster, 12 mm - Hollow ceramic bricks, 140 mm - Cement mortar, 140 mm - XPS, 200 mm - Aerated concrete, 100 mm - Gypsum plaster, 12 mm - Paint, 0.1 mm |
| Non-bearing internal wall | |||
| - Paint, 0.1 mm - Gypsum plaster, 10 mm - hollow ceramic bricks, 90 mm - Cement mortar, 90 mm - Gypsum plaster, 10 mm - Paint, 0.1 mm | - Paint, 0.1 mm - Gypsum plaster, 10 mm - hollow ceramic bricks, 90 mm - Cement mortar, 90 mm - Gypsum plaster, 10 mm - Paint, 0.1 mm | - Paint, 0.1 mm - Gypsum plaster, 12 mm - Calcium silicate blocks, 100 mm - Cement mortar, 100 mm - Gypsum plaster, 12 mm - Paint, 0.1 mm | - Paint, 0.1 mm - Gypsum plaster, 12 mm - Hollow ceramic bricks, 90 mm - Cement mortar, 90 mm - Gypsum plaster, 12 mm - Paint, 0.1 mm |
| Flat roof 1 | |||
| - Bitumen roofing, 7 mm - EPS, 200 mm - Cement screed with EPS granulates, 60 mm - Concrete topping, 40 mm - Hollow concrete slab, 120 mm - Gypsum plaster, 10 mm - Paint, 0.1 mm | - Bitumen roofing, 7 mm - PUR, 160 mm - Vapour barrier - Cement screed, 80 mm - Concrete topping, 40 mm - Hollow concrete slab, 120 mm - Lime plaster, 10 mm - Paint, 0.1 mm | - Bitumen roofing, 7 mm - PUR, 100 mm - PUR, 100 mm - Vapour barrier - Cement screed, 50 mm - Concrete slab, 180 mm - Gypsum plaster, 10 mm - Paint, 0.1 mm | - Substrate, 50 mm - PS board, 50 mm - PE foil - PE foil - PE foil - EPDM roofing - PUR, 160 mm - Vapour barrier - Concrete topping, 50 mm - Hollow concrete slab, 150 mm - Gypsum plaster, 12 mm - Paint, 0.1 mm |
| Flat roof 2 | |||
| - Bitumen roofing, 7 mm - PUR, 160 mm - Vapour barrier - Cement screed, 40 mm - Concrete topping, 40 mm - Hollow concrete slab, 120 mm - Gypsum plaster, 10 mm - Paint, 0.1 mm | / | / | - Wooden planks, 19 mm - Tile carrier, 35 mm - EPDM roofing - PUR, 160 mm - Vapour barrier - Cement screed, 30 mm - Concrete slab, 200 mm - Gypsum plaster, 12 mm - Paint, 0.1 mm |
| Pitched roof | |||
| / | - Paint, 0.1 mm - Gypsum board, 12.5 mm - Battens, 22 mm - PE foil - SLS beams, 220 mm - Glass wool, 220 - OSB, 18 mm - Battens, 20 mm - Battens, 26 mm - Ceramic roof tiles, 38 mm | / | / |
| Slab on grade 1—remark: floor located above the basement is not classified as a slab on grade | |||
| - Concrete slab, 150 mm - Compacted sand, 140 mm | - Concrete slab, 150 mm - Compacted sand, 140 mm | - Concrete slab, 150 mm - Compacted sand, 140 mm | - Polished concrete, 350 mm - Concrete slab, 50 mm - PE foil - Compacted sand, 140 mm |
| Slab on grade 2—remark: floor located above the basement is not classified as a slab on grade | |||
| / | / | - Natural stone tiles, 20 mm - Cement screed, 70 mm - PE foil - Concrete topping, 50 mm - Concrete slab, 180 mm - XPS, 100 mm - PE foil - Compacted sand, 140 mm - PE foil | / |
| Internal floor 1 | |||
| - Ceramic tiles, 10 mm - Cement screed, 100 mm - PUR, 50 mm - PE foil - Concrete topping, 40 mm - Concrete slab, 200 mm - EPS, 60 mm - External plaster, 7 mm | - Natural stone tiles, 20 mm - Cement screed, 70 mm - PE foam, 6 mm - Cement screed with EPS granulates, 60 mm - Concrete topping, 50 mm - Hollow concrete slab, 120 mm - PUR, 100 mm - Battens, 38 mm - Softwood, 22 mm | - Natural stone tiles, 20 mm - Cement screed, 70 mm - Resol, 5 mm - PUR, 60 mm - PE foil - Concrete slab, 180 mm - Gypsum plaster, 10 mm - Paint, 0.1 mm | - Ceramic tiles, 10 mm - Cement screed, 70 mm - Cement screed with EPS granulates, 60 mm - Concrete topping, 50 mm - Hollow concrete slab, 150 or 250 mm - Gypsum plaster, 12 mm - Paint, 0.1 mm |
| Internal floor 2 | |||
| - Ceramic tiles, 10 mm - Cement screed, 60 mm - Cement screed with EPS granulates, 100 mm - Concrete topping, 40 mm - Hollow concrete slab, 120 mm - Gypsum plaster, 10 mm - Paint, 0.1 mm | - Natural stone tiles, 20 mm - Cement screed, 70 mm - PE foam, 6 mm - PE foil - Cement screed with EPS granulates, 60 mm - Concrete slab, 160 mm - Gypsum plaster, 10 mm - Paint, 0.1 mm | - Natural stone tiles, 20 mm - Cement screed, 70 mm - Resol, 5 mm - PUR, 60 mm - PE foil - Concrete slab, 180 mm - PUR, 30 mm - PUR, 90 mm - Gypsum plaster, 10 mm - Paint, 0.1 mm | / |
| Internal floor 3 | |||
| - Ceramic tiles, 10 mm - Cement screed, 60 mm - Concrete topping, 40 mm - Hollow concrete slab, 120 mm - Gypsum plaster, 10 mm - Paint, 0.1 mm | - Natural stone tiles, 20 mm - Cement screed, 70 mm - Concrete slab, 160 mm - Lime plaster, 10 mm - Paint, 0.1 mm | - Natural stone tiles, 20 mm - Cement screed, 70 mm - PE foil - PUR, 100 mm - PE foil - Concrete slab, 180 mm | / |
| Internal floor 4 | |||
| - Ceramic tiles, 10 mm - Cement screed, 60 mm - PE foil - PUR, 120 mm - PE foil - Concrete topping, 40 mm - Hollow concrete slab, 120 mm | - Natural stone tiles, 20 mm - Cement screed, 70 mm - PE foil - PUR, 100 mm - PE foil - Concrete topping, 50 mm - Hollow concrete slab, 120 mm | - Natural stone tiles, 20 mm - Cement screed, 70 mm - Concrete slab, 180 mm - Gypsum plaster, 10 mm - Paint, 0.1 mm | / |
Appendix C. Building Assemblies of Building Elements for Non-Residential Buildings
| PS | OB | ALF |
|---|---|---|
| External wall 1 | ||
| - Paint, 0.1 mm - Gypsum plaster, 12 mm - Calcium silicate bricks, 150 or 180 mm - Cement mortar, 150 or 180 mm - Stone wool, 180 mm - Moderately ventilated cavity, 30 mm - Ceramic façade brick, 90 mm - Cement mortar, 90 mm | - Paint, 0.1 mm - Gypsum plaster, 12 mm - Calcium silicate bricks, 150 mm - Cement mortar, 150 mm - PUR, 160 mm - Moderately ventilated cavity, 70 mm - Prefabricated concrete tiles, 100 mm | - Paint, 0.1 mm - Gypsum plaster, 12 mm - Calcium silicate bricks, 150 mm - Cement mortar, 150 mm - EPS, 140 mm - Ceramic façade brick, 90 mm - Cement mortar, 90 mm |
| External wall 2 | ||
| - Paint, 0.1 mm - Gypsum plaster, 12 mm - Hollow concrete blocks, 140 or 190 mm - Cement mortar, 140 or 190 mm - Stone wool, 180 mm - Moderately ventilated cavity, 30 mm - Ceramic façade brick, 90 mm - Cement mortar, 90 mm | - Paint, 0.1 mm - Gypsum plaster, 12 mm - Hollow ceramic bricks, 140 mm - Cement mortar, 140 mm - PUR, 110 mm - Moderately ventilated cavity, 70 mm - Prefabricated concrete tiles, 100 mm | / |
| Party wall 1 | ||
| / | / | - Paint, 0.1 mm - Gypsum plaster, 12 mm - Calcium silicate bricks, 150 mm - Cement mortar, 150 mm - Stone wool, 50 mm - Calcium silicate bricks, 150 mm - Cement mortar, 150 mm - Gypsum plaster, 12 mm - Paint, 0.1 mm |
| Party wall 2 | ||
| / | / | - Paint, 0.1 mm - Gypsum board, 12.5 mm - Metal stud, 80 mm - Stone wool, 75 mm - EPS, 50 mm - Stone wool, 75 mm - Metal stud, 80 mm - Gypsum board, 12.5 mm - Paint, 0.1 mm |
| Bearing internal wall 1 | ||
| - Paint, 0.1 mm - Gypsum plaster, 12 mm - Hollow concrete blocks, 140 or 190 mm - Cement mortar, 140 or 190 mm - Gypsum plaster, 12 mm - Paint, 0.1 mm | - Paint, 0.1 mm - Gypsum plaster, 12 mm - Hollow concrete blocks, 140 mm - Cement mortar, 140 mm - Gypsum plaster, 12 mm - Paint, 0.1 mm | - Paint, 0.1 mm - Gypsum plaster, 12 mm - Calcium silicate bricks, 150 or 200 mm - Cement mortar, 150 or 200 mm - Gypsum plaster, 12 mm - Paint, 0.1 mm |
| Bearing internal wall 2 | ||
| - Paint, 0.1 mm - Gypsum plaster, 12 mm - Calcium silicate brick, 150 mm - Cement mortar, 150 mm - Gypsum plaster, 12 mm - Paint, 0.1 mm | - Paint, 0.1 mm - Gypsum plaster, 12 mm - Calcium silicate brick, 150 or 215 mm - Cement mortar, 150 or 215 mm - Gypsum plaster, 12 mm - Paint, 0.1 mm | - Paint, 0.1 mm - Gypsum plaster, 12 mm - Calcium silicate bricks, 150 mm - Cement mortar, 150 mm - Metal stud, 40 mm - Stone wool, 40 mm - Gypsum board, 2 × 12.5 mm - Paint, 0.1 mm |
| Bearing internal wall 3 | ||
| - Paint, 0.1 mm - Gypsum board, 12.5 mm - OSB, 18 mm - Metal stud, 85 mm - Glass wool, 85 mm - OSB, 18 mm - Gypsum board, 12.5 mm - Paint, 0.1 mm | / | / |
| Non-bearing internal wall 1 | ||
| - Paint, 0.1 mm - Gypsum board, 12.5 mm - Metal stud, 125 mm - Glass wool, 125 mm - Gypsum board, 12.5 mm - Paint, 0.1 mm | - Paint, 0.1 mm - Gypsum board, 12.5 mm - Timber frame, 105 mm - Stone wool, 105 mm - Gypsum board, 12.5 mm - Paint, 0.1 mm | - Paint, 0.1 mm - Gypsum plaster, 12 mm - Calcium silicate bricks, 100 mm - Cement mortar, 100 mm - Gypsum plaster, 12 mm - Paint, 0.1 mm |
| Non-bearing internal wall 2 | ||
| / | / | - Paint, 0.1 mm - Gypsum board, 2 × 12.5 mm - Metal stud, 50 mm - Stone wool, 50 mm - Gypsum board, 2 × 12.5 mm - Paint, 0.1 mm |
| Flat roof 1 | ||
| - Bitumen roofing, 6 mm - PIR, 160 mm - Vapour barrier - Cement screed, 50 or 80 mm - Concrete topping, 80 mm - Hollow concrete slab, 270 or 320 mm - Gypsum plaster, 12 mm - Paint, 0.1 mm | - Bitumen roofing, 6 mm - PUR, 200 mm - Vapour barrier - OSB, 18 mm - Wooden slope, 25 mm - Timber frame, 150 mm - Stone wool, 150 mm - Gypsum board, 12.5 mm - Paint, 0.1 mm | - EPDM, 6 mm - EPS, 140 mm - Vapour barrier - Cement screed, 100 mm - Concrete topping, 50 mm - Hollow concrete slab, 150 mm - Gypsum plaster, 12 mm - Paint, 0.1 mm |
| Flat roof 2 | ||
| - Bitumen roofing, 6 mm - PIR, 160 mm - Vapour barrier - Perforated steel deck, 1 mm | - Bitumen roofing, 6 mm - PUR, 200 mm - Vapour barrier - Concrete slab, 200 mm - Gypsum plaster, 12 mm - Paint, 0.1 mm | - Ceramic terrace tiles, 13 mm - Tile carrier, 50 mm - EPDM, 6 mm - EPS 140, mm - Vapour barrier - Cement screed, 100 mm - Concrete topping, 50 mm - Hollow concrete slab, 150 mm - Gypsum plaster, 12 mm - Paint, 0.1 mm |
| Flat roof 3 | ||
| - Concrete terrace tiles, 6 mm - Tile carrier, 50 mm - Bitumen roofing, 6 mm - PIR, 160 mm - Vapour barrier - Cement screed, 50 mm - Concrete topping, 50 mm - Hollow concrete slab, 150 mm - Gypsum plaster, 12 mm - Paint, 0.1 mm | - Bitumen roofing, 6 mm - PUR, 200 mm - Vapour barrier - Aerated concrete, 100 mm - Concrete slab, 200 mm - Gypsum plaster, 12 mm - Paint, 0.1 mm | - EPDM, 6 mm - EPS, 140 mm - Vapour barrier - Concrete topping, 70 mm - Hollow concrete slab, 150 mm |
| Flat roof 4 | ||
| - Substrate, 40 mm - Stone wool, 25 mm - PS board, 7 mm - Bitumen roofing, 6 mm - PIR, 160 mm - Vapour barrier - Cement screed, 50 mm - Concrete topping, 50 mm - Hollow concrete slab, 150 mm - Gypsum plaster, 12 mm - Paint, 0.1 mm | - Bitumen roofing, 6 mm - PUR, 200 mm - Vapour barrier - Aerated concrete, 100 mm - OSB, 18 mm - Timber frame, 150 mm | / |
| Flat roof 5 | ||
| / | - Substrate, 70 mm - PE foil - PE foil - PUR, 40 mm - Vapour barrier - OSB, 18 mm - Wooden slope, 25 mm - Timber frame, 180 mm - Stone wool, 180 mm - Gypsum board, 12.5 mm - Paint, 0.1 mm | / |
| Pitched roof | ||
| / | - Bitumen roofing, 6 mm - PUR, 200 mm - Vapour barrier - Concrete slab, 150 mm - Gypsum plaster, 12 mm - Paint, 0.1 mm | / |
| Slab on grade 1 | ||
| - Linoleum, 3 mm - Cement screed, 87.5 mm - XPS, 10 mm - Foam concrete, 60 mm - Concrete topping, 50 mm - Hollow concrete slab, 270 mm - PE foil - Compacted sand, 140 mm | - Ceramic tile, 13 mm - Cement screed, 80 mm - PE foil - PUR, 80 mm - Aerated concrete, 60 mm - Concrete slab, 200 mm - PE foil - Compacted sand, 140 mm | - Click vinyl, 13 mm - Cement screed, 80 mm - PE foil - Aerated concrete, 140 mm - Concrete slab, 350 mm - PE foil - Compacted sand, 140 mm |
| Slab on grade 2 | ||
| - Linoleum, 3 mm - Cement screed, 87.5 mm - XPS, 10 mm - Foam concrete, 60 mm - Concrete slab, 350 mm - PE foil - Mortar, 50 mm | - Nylon tiles, 13 mm - Cement screed, 80 mm - PE foil - PUR, 80 mm - Aerated concrete, 60 mm - Concrete slab, 200 mm - PE foil - Compacted sand, 140 mm | - Ceramic tiles, 13 mm - Cement screed, 80 mm - PE foil - Aerated concrete, 140 mm - Concrete slab, 350 mm - PE foil - Compacted sand, 140 mm |
| Slab on grade 3 | ||
| - Ceramic tiles, 13 mm - Cement screed, 80 mm - XPS, 10 mm - Foam concrete, 110 mm - Concrete slab, 350 mm - PE foil - Mortar 50, mm | / | / |
| Slab on grade 4 | ||
| - Ceramic tiles, 13 mm - Cement screed, 80 mm - XPS, 10 mm - Foam concrete, 40 mm - Concrete topping, 50 mm - Hollow concrete slab, 150 mm - PE foil - Mortar, 50 mm | / | / |
| Internal floor 1 | ||
| - Ceramic tiles, 13 mm - Cement screed, 80 mm - XPS, 10 mm - Aerated concrete, 40 mm - Concrete topping, 50 mm - Hollow concrete slab, 150 or 270 mm - Gypsum plaster, 12 mm - Paint, 0.1 mm | - Ceramic tiles, 13 mm - Cement screed, 70 mm - PE foil - PE foil - Concrete topping, 50 mm - Hollow concrete slab, 115 mm - Gypsum plaster, 12 mm - Paint, 0.1 mm | - Click vinyl, 13 mm - Cement screed, 70 mm - PE foil - Aerated concrete, 120 mm - Concrete topping, 50 mm - Hollow concrete slab, 150 mm - Gypsum plaster, 12 mm - Paint, 0.1 mm |
| Internal floor 2 | ||
| - Vinyl, 13 mm - Cement screed, 80 mm - XPS, 10 mm - Aerated concrete, 60 mm - Concrete topping, 50 mm - Hollow concrete slab, 150 or 270 mm - Gypsum plaster, 12 mm - Paint, 0.1 mm | - Nylon tiles, 13 mm - Cement screed, 70 mm - PE foil - PE foil - Concrete topping, 50 mm - Hollow concrete slab, 115 mm - Gypsum plaster, 12 mm - Paint, 0.1 mm | - Ceramic tiles, 13 mm - Cement screed, 70 mm - PE foil - Aerated concrete, 120 mm - Concrete topping, 50 mm - Hollow concrete slab, 150 mm - Gypsum plaster, 12 mm - Paint, 0.1 mm |
| CC1 | CC2 | CC3 |
|---|---|---|
| External wall 1 | ||
| - CLT, 120 mm - Wood fibre board, 160 mm - Moderately ventilated cavity, 30 mm - Concrete, blocks 90 mm - Cement mortar, 90 mm | - Paint, 0.1 mm - Gypsum board, 12.5 mm - Wood wool, 64 mm - OSB, 18 mm - Timber frame, 180 mm - Straw, 180 mm - Wood fibre board, 35 mm - PE foil - Battens, 2 × 35 mm - Fibre cement board, 16 mm | - CLT, 100 mm - FJI beams, 330 mm - Wood wool, 330 mm - Wood fibre board, 16 mm - Battens, 30 mm - Fibre cement board, 12 mm |
| External wall 2 | ||
| - CLT, 120 mm - Wood fibre board, 160 mm - PE foil - Battens, 2 × 50 mm - Wooden cladding, 20 mm | / | / |
| External wall 3 | ||
| - Wooden finishing, 20 mm - CLT, 120 mm - Wood fibre board, 160 mm - PE foil - Battens, 2 × 50 mm - Wooden cladding, 20 mm | / | / |
| Bearing internal wall 1 | ||
| - CLT, 120 mm | - Paint, 0.1 mm - Gypsum board, 12.5 mm - Hollow concrete blocks, 140 mm - Cement mortar, 140 mm - Battens, 35 mm - Gypsum board, 12.5 mm - Paint, 0.1 mm | - CLT, 100 mm |
| Bearing internal wall 2 | ||
| - Poured concrete, 150 mm | / | / |
| Non-bearing internal wall | ||
| - Paint, 0.1 mm - Gypsum board, 2 × 12.5 mm - Timber frame, 40, 80, 100 or 170 mm - Stone wool, 40, 80, 100 or 170 mm - Gypsum board, 2 × 12.5 mm - Paint, 0.1 mm | - Paint, 0.1 mm - Gypsum board, 12.5 mm - MDF board, 16 mm - Timber frame, 75 mm - Wood wool, 75 mm - MDF board, 16 mm - Gypsum board, 12.5 mm - Paint, 0.1 mm | - MDF board, 65 mm |
| Flat roof | ||
| - Ceramic terrace tiles, 13 mm - Tile carrier, 40 mm - Bitumen roofing, 6 mm - EPS, 250 or 300 mm - Vapour barrier - CLT, 130 mm | - Ceramic terrace tiles, 13 mm - Tile carrier, 40 mm - PE foil - EPS, 140 mm - Vapour barrier - OSB, 18 mm - Wooden slope, 20 mm - Wooden beams, 240 mm - Wooden beams, 155 mm - Fibre cement board, 15 mm - Paint, 0.1 mm | / |
| Pitched roof 1 | ||
| - Substrate, 40 mm - Stone wool, 7 mm - PS board, 7 mm - PE foil - Bitumen roofing, 6 mm - CLT, 200 mm | - Substrate, 80 mm - PE foil - EPS, 200 mm - Vapour barrier - OSB, 18 mm - Wooden beams, 240 mm - Stone wool, 6 mm - Wood wool cement board, 25 mm | - Galvanised steel, deck 1 mm - Counter battens, 30 mm - Sub roof, 22 mm - FJI beams, 330 mm - Wood wool, 330 mm - PE foil - CLT, 50 mm |
| Pitched roof 2 | ||
| - Substrate, 40 mm - Stone wool, 7 mm - PS board 7 mm - PE foil - Bitumen roofing, 6 mm - EPS, 100 mm - Vapour barrier - CLT, 140 mm | / | / |
| Pitched roof 3 | ||
| - Bitumen roofing, 6 mm - EPS, 100 or 160 mm - Vapour barrier - CLT, 140 mm | / | / |
| Slab on grade 1 | ||
| - Parquet, 23 mm - Cement screed, 80 mm - XPS, 10 mm - PE foil - Aerated concrete, 30 or 150 mm - Concrete topping, 60 mm - Concrete slab, 170 mm - PE foil - Compacted sand | - Vinyl, 3 mm - Cement screed, 80 mm - PE foil - EPS, 120 mm - PE foil - Cement screed, 50 mm - Concrete slab, 200 mm - PE foil - Compacted sand, 140 mm | - Polished concrete, 100 mm - PE foil - XPS, 120 mm - Concrete slab, 480 mm - PE foil - Compacted sand, 140 mm |
| Slab on grade 2 | ||
| - Ceramic tiles, 13 mm - Cement screed, 80 mm - XPS, 10 mm - PE foil - Aerated concrete, 150 mm - Concrete topping, 60 mm - Concrete slab, 170 mm - PE foil - Compacted sand | / | / |
| Slab on grade 3 | ||
| - Polished concrete, 300 mm - XPS, 100 mm - Concrete slab, 150 mm - PE foil - Compacted sand, 140 mm | / | / |
| Internal floor 1 | ||
| - Ceramic tiles, 13 mm - Cement screed, 80 mm - PE foil - Stone wool, 40 mm - Gravel, 40 mm - PE foil - CLT, 200 or 220 mm | - Vinyl, 3 mm - Gypsum fibre board, 2 × 15 mm - Stone wool, 30 mm - OSB, 22 mm - Timber frame, 240 mm - Wooden beams, 155 mm - Calcium silicate board, 15 mm - Paint, 0.1 mm | / |
| Internal floor 2 | ||
| - Parquet, 23 mm - Cement screed, 80 mm - PE foil - Stone wool, 40 mm - Gravel, 40 mm - PE foil - CLT, 200 or 220 mm | / | / |
| Internal floor 3 | ||
| - Parquet, 23 mm - Cement screed, 80 mm - XPS, 10 mm - PE foil - Aerated concrete, 30 mm - Concrete topping, 60 mm - Hollow concrete slab, 170 mm - Paint, 0.1 mm | / | / |
| Internal floor 4 | ||
| - Parquet, 23 mm - Cement screed, 80 mm - PE foil - Stone wool, 40 mm - Gravel, 40 mm - PE foil - CLT, 200 mm - EPS, 120 mm - PE foil - Battens, 2 × 105 mm - Wooden cladding, 20 mm | / | / |
| WH | CH |
|---|---|
| External wall 1 | |
| - Prefabricated concrete board, 100 or 110 mm - PUR, 90 mm - Prefabricated concrete board, 60 mm | - Concrete blocks, 800 mm |
| External wall 2 | |
| - Prefabricated concrete board, 100 or 110 mm - PUR, 100 mm - Steel board, 1 mm - PUR, 100 mm - Steel board, 1 mm | - Clay plaster, 20 mm - Straw, 200 mm - Timber frame, 200 mm - Lime plaster, 20 mm |
| External wall 3 | |
| - Prefabricated concrete board, 60 mm - PUR, 100 mm - Corrugated sheet | / |
| Party wall | |
| - Prefabricated concrete board, 120 mm - PUR, 50 mm - Prefabricated concrete board, 90 mm | / |
| Bearing internal wall 1 | |
| - Paint, 0.1 mm - Gypsum plaster, 12 mm - Hollow ceramic bricks, 140 mm - Cement mortar, 140 mm - Gypsum plaster, 12 mm - Paint, 0.1 mm | / |
| Bearing internal wall 2 | |
| - Prefabricated concrete board, 200 mm - Steel board, 1 mm - PUR, 60 mm - Steel board, 1 mm | / |
| Bearing internal wall 3 | |
| - Prefabricated concrete board, 140 or 200 mm | / |
| Non-bearing internal wall 1 | |
| - Paint, 0.1 mm - Gypsum plaster, 12 mm - Hollow ceramic bricks, 90 mm - Cement mortar, 90 mm - Gypsum plaster, 12 mm - Paint, 0.1 mm | - Paint, 0.1 mm - Gypsum board, 2 × 12.5 mm - Metal stud, 50 mm - Stone wool, 50 mm - Gypsum board, 2 × 12.5 mm - Paint, 0.1 mm |
| Non-bearing internal wall 2 | |
| / | - Clay plaster, 12 mm - Timber frame, 130 mm - Straw, 130 mm - Clay plaster, 12 mm |
| Non-bearing internal wall 3 | |
| / | - Clay plaster, 12 mm - Timber frame, 125 mm - Straw, 125 mm |
| Flat roof 1 | |
| - Substrate, 70 mm - PE foil - PE foil - Bitumen roofing, 6 mm - PUR, 160 mm - Vapour barrier - Concrete topping, 65 mm - Hollow concrete slab, 265 mm - Gypsum plaster, 12 mm - Paint, 0.1 | - Concrete tile, 6 mm - Terrace tile carrier, 180 mm - Fibre board, 22 mm - Galvanised steel, 120 mm |
| Flat roof 2 | |
| - PVC roofing, 6 mm - PUR, 160 mm - Vapour barrier - Steel deck, 1 mm | - Plastic sheeting, 2 mm - Galvanised steel, 20 mm |
| Pitched roof 1 | |
| / | - Reused fibre cement corrugated slab, 6,5 mm - Fibre board, 22 mm - Timber frame, 330 mm - Timber frame, 330 mm - Straw, 200 mm - Clay plaster, 12 mm |
| Pitched roof 2 | |
| / | - Plastic sheeting, 2 mm - Galvanised steel, 20 mm |
| Slab on grade 1 | |
| - Ceramic tiles, 13 mm - Cement screed, 80 mm - PE foil - PUR, 120 mm - Concrete slab, 180 mm - PE foil - Compacted sand, 140 mm | - Concrete tiles, 400 mm - PE foil - Compacted sand, 140 mm |
| Slab on grade 2 | |
| - Vinyl, 13 mm - Cement screed, 80 mm - PE foil - PUR, 120 mm - Concrete slab, 180 mm - PE foil - Compacted sand, 140 mm | - Concrete floor tiles, 150 mm - Compressed earth, 50 mm - PE foil - Compacted sand, 140 mm |
| Slab on grade 3 | |
| - Polished concrete slab, 180 mm - PE foil - XPS, 120 mm - PE foil - Compacted sand, 140 mm | / |
| Slab on grade 4 | |
| - Polished concrete slab, 180 mm - PE foil - EPS, 120 mm - PE foil - Compacted sand, 140 mm | / |
| Slab on grade 5 | |
| - Polished concrete slab, 180 mm - PE foil - Compacted sand, 140 mm | / |
| Internal floor 1 | |
| - Ceramic tiles, 13 mm - Cement screed, 80 mm - PE foil - Concrete topping, 75 mm - Hollow concrete slab, 265 mm - Gypsum plaster, 12 mm - Paint, 0.1 mm | - Compressed earth, 30 mm - OSB, 12 mm - Wooden beams, 250 or 400 mm - Straw, 75 or 150 mm - Clay plaster, 12 mm |
| Internal floor 4 | |
| - Vinyl, 13 mm - Cement screed, 80 mm - PE foil - Concrete topping, 75 mm - Hollow concrete slab, 265 mm - Gypsum plaster, 12 mm - Paint, 0.1 mm | / |
| Internal floor 5 | |
| - Nylon tiles, 13 mm - Cement screed, 80 mm - PE foil - Concrete topping, 75 mm - Hollow concrete slab, 265 mm - Gypsum plaster, 12 mm - Paint, 0.1 mm | / |
| Internal floor 6 | |
| - Concrete topping, 90 mm - Concrete slab, 200 mm | / |
| Internal floor 7 | |
| - Concrete topping, 90 or 100 mm - Hollow concrete slab, 150 or 265 mm | / |
Appendix D. Results in GWP









References
- ECESP. Circular Buildings and Infrastructure—State of Play Report ECESP Leadership Group on Buildings and Infrastructure 2021; United Nations Environment Programme (UNEP): Nairobi, Kenya, 2022. [Google Scholar]
- Neumann, T.; Hahn, F. Behavioural Factors Influencing the Uptake of Energy Efficiency in Residential Buildings Netherlands: CE Delft; 2023 [Updated 2023–03–14; cited Pages: 99]. Available online: https://policycommons.net/artifacts/4770146/behavioural-factors-influencing-the-uptake-of-energy-efficiency-in-residential-buildings/ (accessed on 11 January 2026).
- UNEP. 2022 Global Status Report for Buildings and Construction: Towards a Zero-Emission, Efficient and Resilient Buildings and Construction Sector; United Nations Environment Programme (UNEP): Nairobi, Kenya, 2022. [Google Scholar]
- BPIE. How to Establish Whole Life Carbon Benchmarks: Insights and Lessons Learned from Emerging Approaches in Ireland, Czechia and Spain; BPIE (Buildings Performance Institute Europe): Brussels, Belgium, 2024. [Google Scholar]
- Verhaeghe, R.; Mouton, L.; Trigaux, D.; Allacker, K. Carrying capacity-based benchmarks for Belgian residential buildings. J. Environ. Manag. 2024, 370, 122914. [Google Scholar] [CrossRef] [PubMed]
- Röck, M.; Saade, M.R.M.; Balouktsi, M.; Rasmussen, F.N.; Birgisdottir, H.; Frischknecht, R.; Habert, G.; Lützkendorf, T.; Passer, A. Embodied GHG emissions of buildings—The hidden challenge for effective climate change mitigation. Appl. Energy 2020, 258, 114107. [Google Scholar] [CrossRef]
- Mirabella, N.; Röck, M.; Saade, M.R.M.; Spirinckx, C.; Bosmans, M.; Allacker, K.; Passer, A. Strategies to Improve the Energy Performance of Buildings: A Review of Their Life Cycle Impact. Buildings 2018, 8, 105. [Google Scholar] [CrossRef]
- Decorte, Y.; Steeman, M.; Van Den Bossche, N. Integrating the Energy Performance Gap into Life Cycle Assessments of Building Renovations. Sustainability 2024, 16, 7792. [Google Scholar] [CrossRef]
- Le Den, X.; Steinmann, J.; Kovacs, A.; Kockat, J.; Toth, Z.; Röck, M.; Allacker, K. Supporting the development of a roadmap for the reduction of whole life carbon of buildings. In Ramboll; BPIE (Buildings Performance Institute Europe): Brussels, Belgium, 2023. [Google Scholar]
- Sobota, M.; Driessen, I.; Holländer, M. Carbon-Based Design: Onderzoek naar de Milieu-Impact van de Woningbouw; Circulairebouweconomie.nl: Utrecht, The Netherlands, 2022. [Google Scholar]
- Röck, M.; Sørensen, A. Towards Embodied Carbon Benchmarks for Buildings in Europe: Setting the Baseline: A Bottom-Up Approach; Ramboll: Brussels, Belgium, 2022. [Google Scholar]
- Andersen, C.M.E.; Garnow, A.; Sørensen, C.G.; Wittchen, A.; Stranddorf, L.K.; Hoxha, E.; Rasmussen, F.N.; Birgisdóttir, H. Whole Life Carbon Impact of: 45 Timber Buildings; Contract No.: 10; Aalborg Universitet: Aalborg, Denmark, 2023. [Google Scholar]
- Zimmermann, R.K.; Andersen, C.M.E.; Kanafani, K.; Birgisdottir, H. Whole Life Carbon Assessment of 60 Buildings: Possibilities to Develop Benchmark Values for LCA of Buildings; Contract No.: 12; Aalborg Universitet: Aalborg, Denmark, 2021. [Google Scholar]
- One Click LCA. Embodied Carbon Benchmarks for European Buildings; One Click LCA: Helsinki, Finland, 2021. [Google Scholar]
- W/E adviseurs. ‘Principes en parameters—Milieuprestatie Gebouwen (MPG)’: Op basis van ervaringen in 2012–2016; Stichting Nationala Milieudatabase: Rijswijk, The Netherlands, 2017. [Google Scholar]
- Mouton, L.; Ramon, D.; Trigaux, D.; Allacker, K.; Crawford, R.H. Life cycle environmental benchmarks for Flemish dwellings. Environmental Research: Infrastruct. Sustain. 2024, 4, 015005. [Google Scholar] [CrossRef]
- Braune, A.; Ekhvaia, L.; Quante, K. Benchmarks für die Treibhausgasemissionen der Gebäudekonstruktion: Ergebnisse einer Studie mit 50 Gebäuden; DGNB: Stuttgart, Germany, 2021. [Google Scholar]
- Wiik, M.; Selvig, E.; Fuglseth, M.; Lausselet, C.; Resch, E.; Andresen, I.; Brattebø, H.; Hahn, U. GHG emission requirements and benchmark values for Norwegian buildings. IOP Conf. Ser. Earth Environ. Sci. 2020, 588, 022005. [Google Scholar] [CrossRef]
- Devos, K.; Devlieger, L.; Steeman, M. (Eds.) Reuse of Bricks: Analysis of the Environmental Impact and Financial Costs. Multiphysics and Multiscale Building Physics; Springer Nature: Singapore, 2025. [Google Scholar]
- Vasishta, T.; Hashem Mehany, M.; Killingsworth, J. Comparative life cycle assesment (LCA) and life cycle cost analysis (LCCA) of precast and cast–in–place buildings in United States. J. Build. Eng. 2023, 67, 105921. [Google Scholar] [CrossRef]
- Ben-Alon, L.; Loftness, V.; Harries, K.A.; Cochran Hameen, E. Life cycle assessment (LCA) of natural vs conventional building assemblies. Renew. Sustain. Energy Rev. 2021, 144, 110951. [Google Scholar] [CrossRef]
- Cascione, V.; Roberts, M.; Allen, S.; Dams, B.; Maskell, D.; Shea, A.; Walker, P.; Emmitt, S. Integration of life cycle assessments (LCA) in circular bio-based wall panel design. J. Clean. Prod. 2022, 344, 130938. [Google Scholar] [CrossRef]
- Khadim, N.; Agliata, R.; Han, Q.; Mollo, L. From circularity to sustainability: Advancing the whole building circularity indicator with Life Cycle Assessment (WBCI-LCA). Build. Environ. 2025, 269, 112413. [Google Scholar] [CrossRef]
- Gids Duurzame Gebouwen Brussels. TOTEM-Tool. 2025. Available online: https://gidsduurzamegebouwen.brussels/totem-een-belgische-tool-voor-het-optimaliseren-van-milieuprestaties-van-gebouwen/totem-tool (accessed on 11 January 2026).
- SimaPro. LCA Software for Informed Changemakers. 2026. Available online: https://simapro.com/ (accessed on 11 January 2026).
- OVAM. TOTEM: Tool to Optimise the Total Environmental Impact of Materials. 2025. Available online: https://www.totem-building.be/ (accessed on 11 January 2026).
- Ecoinvent. Ecoinvent—Database. Available online: https://ecoinvent.org/database/ (accessed on 11 January 2026).
- CEN/TC 350. NBN EN 15804:2012+A2:2019; Sustainability of construction works—Environmental product declarations—Core rules for the product category of construction products. European Committee for Standardization: Brussels, Belgium, 2019. Available online: https://www.nbn.be/en (accessed on 11 January 2026).
- Trigaux, D.; Lam, W.C. Environmental Profile of Buildings [Update 2023]; OVAM: Mechelen, Belgium, 2023; Available online: https://www.totem.be/ (accessed on 11 January 2026).
- VEKA. EPB Eisen: Vlaams Energie- en Klimaatagentschap. 2025. Available online: https://www.vlaanderen.be/epb-pedia/epb-plichtig-toepassing-en-eisen/epb-eisen (accessed on 11 January 2026).
- VEKA. Energieprestatiedatabank. Available online: https://www.vlaanderen.be/epb-pedia/werken-als-verslaggever/energieprestatiedatabank (accessed on 11 January 2026).
- Decorte, Y. Three Pathways Towards a Sustainable Transition of Flemish Dwellings: What Are the Shifts in the Environmental Trade-Off? Ph.D. Thesis, Ghent University, Ghent, Belgium, 2024. [Google Scholar]
- Staenis. CircoFloor Vloeropbouwen. 2026. Available online: https://www.staenis.com/nl-BE/Floors/DryCircFloorStructures (accessed on 11 January 2026).
- Interreg North-West Europe. FCRBE—Facilitating the Circulation of Reclaimed Building Elements in Northwestern Europe. 2018. Available online: https://vb.nweurope.eu/projects/project-search/fcrbe-facilitating-the-circulation-of-reclaimed-building-elements-in-northwestern-europe/ (accessed on 11 January 2026).
- Embuild Vlaanderen. COOCK Milieu-Impact als Motor voor Duurzame Innovatie bij Bouwbedrijven (MI2B): Vlaio. Available online: https://www.embuildvlaanderen.be/projecten/milieu-impact-als-motor-voor-duurzame-innovatie-bij-bouwbedrijven/ (accessed on 11 January 2026).










| Reference | Country | Embodied | Total | Remarks |
|---|---|---|---|---|
| One Click LCA [14] | France | / | 12.8–14.8 kg CO2-eq/m2/y | Decreasing every three years |
| One Click LCA [14] | Finland | / | 10–14 kg CO2-eq/m2/y | From 2025, depending on the building type |
| One Click LCA [14] | Denmark | / | 12 kg CO2-eq/m2/y | From 2023 and decreasing every two years |
| Mouton et al. [16] | Belgium | 10 kg CO2-eq/m2/y | 17 kg CO2-eq/m2/y | / |
| Braune et al. [17] | Germany | 8.7 kg CO2-eq /m2/y | / | / |
| Wiik et al. [18] | Norway | 6.6 kg CO2-eq/m2/y | / | / |
| W/E adviseurs [15] | The Netherlands * | 33 €/m2 ** 24 €/m2 *** | / | / |
| Energy Source | Aggregated Impact [mPt] | GWP [kg CO2-eq.] |
|---|---|---|
| Gas | 3.66 × 10−3 | 6.82 × 10−2 |
| Electricity | 8.76 × 10−3 | 5.00 × 10−2 |
| Case Study | Heating | Cooling | DHW | Auxiliary Energy | Energy Source |
|---|---|---|---|---|---|
| Primary school | 284.214 | 14.946 | 26.777 | 59.954 | Gas + electricity |
| Office building | 67.438 | 3.287 | 41.938 | 82.760 | Electricity |
| Assisted-living facility | 77.019 | 6.083 | 22.539 | 11.116 | Electricity |
| Child care centre 1 | 138.610 | 42.831 | 119.404 | 41.377 | Gas + electricity |
| Child care centre 2 | 28.665 | 6.786 | 60.720 | 21.771 | Gas + electricity |
| Child care centre 3 | 257.798 | 65.540 | 88.376 | 249.728 | Electricity |
| Typology | Small [m2] | Medium [m2] | High [m2] |
|---|---|---|---|
| Detached | 151 | 243 | 342 |
| Semi-detached | 157 | 201 | 226 |
| Terraced | 139 | 164 | 195 |
| Building Element | Low | Median | High |
|---|---|---|---|
| Slab on grade | 12.31 | 18.61 | 20.17 |
| Internal floor | 9.93 | 13.67 | 17.80 |
| Attic floor | 5.94 | 13.25 | 15.01 |
| External wall | 6.89 | 10.03 | 11.47 |
| Party wall | 4.39 | 4.53 | 5.95 |
| Bearing internal wall | 6.27 | 6.43 | 7.77 |
| Non-bearing internal wall | 5.45 | 5.55 | 6.25 |
| Flat roof | 12.87 | 14.19 | 15.66 |
| Pitched roof | 5.27 | 8.12 | 12.30 |
| Window | 14.16 | 19.87 | 37.32 |
| External door | 30.30 | 30.30 | 30.30 |
| Internal door | 11.50 | 11.50 | 11.50 |
| Garage door | 16.75 | 16.75 | 16.75 |
| Building Element | Low | Median | High |
|---|---|---|---|
| Slab on grade | 12.31 | 18.61 | 20.17 |
| Internal floor | 5.94 | 13.25 | 15.01 |
| Attic floor | 5.94 | 13.25 | 15.01 |
| External wall | 7.64 | 9.69 | 10.73 |
| Party wall | 3.70 | 4.65 | 5.27 |
| Bearing internal wall | 6.08 | 8.28 | 9.51 |
| Non-bearing internal wall | 6.01 | 6.67 | 9.01 |
| Flat roof | 8.90 | 10.73 | 12.84 |
| Pitched roof | 5.27 | 8.12 | 12.30 |
| Window | 14.16 | 19.87 | 37.32 |
| External door | 30.30 | 30.30 | 30.30 |
| Internal door | 11.50 | 11.50 | 11.50 |
| Garage door | 16.75 | 16.75 | 16.75 |
| Apartment Building | Construction Method | GFA [m2] | Number of Floors | Number of Users |
|---|---|---|---|---|
| AP_IDA1 | Masonry | 351 | 2 | 9 |
| AP_IDA2 | Masonry | 233 | 2 | 6 |
| AP_IDA3 | Masonry | 296 | 3 | 9 |
| AP_IDA4 | Masonry | 359 | 4 | 11 |
| AP_IDA5 | Masonry | 446 | 3 | 14 |
| AP_IDA6 | Masonry | 365 | 5 | 16 |
| AP_IDA7 | Masonry | 914 | 3 | 22 |
| AP_IDA8 | Masonry | 760 | 4 | 27 |
| AP_IDA9 | Masonry | 2332 | 9 | 72 |
| AP_GB | Masonry | 1970 | 4 | 46 |
| Typology | Abbreviation | Construction Method | GFA [m2] | Number of Floors |
|---|---|---|---|---|
| Primary school | PS | Masonry | 2198 | 2 |
| Office building | OB | Masonry | 2306 | 3 |
| Assisted-living facility | ALF | Masonry | 1704 | 3 |
| Childcare centre 1 | CC1 | Solid timber (CLT) | 2129 | 3 |
| Childcare centre 2 | CC2 | Timber frame | 1122 | 2 |
| Childcare centre 3 | CC3 | Solid timber (CLT) | 339 | 1 |
| Industrial warehouse | WH | Steel frame | 3583 | 2 |
| Circular hub | CH | Timber frame | 1590 | 4 |
| Reduction Scenario—Masonry | Structure | Insulation | Finishing | Openings |
|---|---|---|---|---|
| S0—REF | - Calcium silicate brick - Concrete slab | - PUR - Stone wool | - Ceramic façade brick - Ceramic tiles - Cement screed | - Triple glazing - Aluminium frame |
| S1—FLOOR | - Calcium silicate brick - Concrete slab | - PUR - Stone wool | - Ceramic façade brick - Parquet - Cement screed | - Triple glazing - Aluminium frame |
| S2—LOW | - Hollow concrete blocks - Hollow concrete slab - Concrete slab | - EPS - Stone wool | - Ceramic façade brick - Parquet - Cement screed | - Triple glazing - Wooden frame |
| S3—DRY | - Hollow concrete blocks - SLS beams - Concrete slab | - EPS - Stone wool - Recycled cork granulates | - Ceramic façade brick - Parquet - PP-grid | - Triple glazing - Wooden frame |
| S4—FINISHES | - Hollow concrete blocks - Exposed SLS beams - Concrete slab | - Stone wool - Recycled cork granulates | - Ceramic façade brick - Parquet - PP-grid | - Triple glazing - Wooden frame |
| S5—BIO | - SLS - Exposed SLS beams - Seashells | - Stone wool - Recycled cork granulates - Wood wool | - Wooden cladding - Parquet - PP-grid | - Triple glazing - Wooden frame |
| S6—REUSE | - SLS - Exposed SLS beams - Seashells | - Stone wool - Recycled cork granulates - Wood wool | - Reclaimed ceramic façade brick - Reclaimed ceramic tiles - PP-grid | - Triple glazing - Wooden frame |
| Reduction Scenario—Timber Frame | Structure | Insulation | Finishing | Openings |
|---|---|---|---|---|
| S0—REF | - LVL - Concrete slab | - Glass wool | - Multiplex - Fibre-cement board - Ceramic tiles - Cement screed | - Triple glazing - Aluminium frame |
| S1—FINISH | - LVL - Concrete slab | - Glass wool | - Multiplex - Fibre-cement board - Parquet - Cement screed | - Triple glazing - Aluminium frame |
| S2—LOW | - SLS - Concrete slab | - Stone wool - EPS | - Multiplex - Fibre-cement board - Parquet - Cement screed | - Triple glazing - Wooden frame |
| S3—DRY | - SLS - Concrete slab | - Stone wool - Recycled cork granulates | - Multiplex - Fibre-cement board - Parquet - PP-grid | - Triple glazing - Wooden frame |
| S4—FINISH | - SLS - Exposed SLS beams - Concrete slab | - Stone wool - Recycled cork granulates | - Particle board - Fibre-cement board - Parquet - PP-grid | - Triple glazing - Wooden frame |
| S5—BIO | - SLS - Exposed SLS beams - Seashells | - Stone wool - Recycled cork granulates - Wood wool | - Particle board - Wooden cladding - Parquet - PP-grid | - Triple glazing - Wooden frame |
| S6—REUSE | - SLS - Exposed SLS beams - Seashells | - Stone wool - Recycled cork granulates - Wood wool | - Particle board - Reclaimed wooden cladding - Reclaimed parquet flooring - PP-grid | - Triple glazing - Wooden frame |
Disclaimer/Publisher’s Note: The statements, opinions and data contained in all publications are solely those of the individual author(s) and contributor(s) and not of MDPI and/or the editor(s). MDPI and/or the editor(s) disclaim responsibility for any injury to people or property resulting from any ideas, methods, instructions or products referred to in the content. |
© 2026 by the authors. Licensee MDPI, Basel, Switzerland. This article is an open access article distributed under the terms and conditions of the Creative Commons Attribution (CC BY) license.
Share and Cite
Haverbeke, M.; Decorte, Y.; Steeman, M. Mapping Total and Embodied Environmental Impacts in Flemish Buildings. Sustainability 2026, 18, 2190. https://doi.org/10.3390/su18052190
Haverbeke M, Decorte Y, Steeman M. Mapping Total and Embodied Environmental Impacts in Flemish Buildings. Sustainability. 2026; 18(5):2190. https://doi.org/10.3390/su18052190
Chicago/Turabian StyleHaverbeke, Maud, Yanaika Decorte, and Marijke Steeman. 2026. "Mapping Total and Embodied Environmental Impacts in Flemish Buildings" Sustainability 18, no. 5: 2190. https://doi.org/10.3390/su18052190
APA StyleHaverbeke, M., Decorte, Y., & Steeman, M. (2026). Mapping Total and Embodied Environmental Impacts in Flemish Buildings. Sustainability, 18(5), 2190. https://doi.org/10.3390/su18052190

