Next Article in Journal
The Impact of Marine Fossil Fuel Use on Air Quality in Port Cities
Previous Article in Journal
Analysis of Legislative, Infrastructural, and Economic Determinants of Electromobility Development in the Slovak Republic with a Comparison of Visegrad Group (V4) Countries in the Context of EU Regulations
 
 
Font Type:
Arial Georgia Verdana
Font Size:
Aa Aa Aa
Line Spacing:
Column Width:
Background:
Article

Effects of Production Method (Flooded Media Bed or Floating Rafts) on Growth, Production, and Mineral Composition of Okra (Abelmoschus esculentus) Grown in a Coupled Aquaponic System with Nile Tilapia (Oreochromis niloticus)

1
Aquaculture and Fisheries Center of Excellence, University of Arkansas at Pine Bluff, Pine Bluff, AR 71601, USA
2
USDA-ARS Harry K. Dupree Stuttgart National Aquaculture Research Center, Stuttgart, AR 71601, USA
3
USDA-ARS Aquatic Animal Health Research Unit, Auburn, AL 36830, USA
*
Authors to whom correspondence should be addressed.
Sustainability 2026, 18(4), 1784; https://doi.org/10.3390/su18041784
Submission received: 3 December 2025 / Revised: 26 January 2026 / Accepted: 3 February 2026 / Published: 10 February 2026
(This article belongs to the Section Sustainable Agriculture)

Abstract

As the global population continues to rise, sustainable agricultural systems such as aquaponics have gained attention for their potential to maximize food production while minimizing resource use. This study evaluated the growth performance, yield, and mineral composition of okra (Abelmoschus esculentus) grown in a coupled aquaponic system with Nile tilapia (Oreochromis niloticus), comparing two production methods: floating raft and flooded media bed. Okra was cultivated at two planting densities (32 and 48 plants/m2) over a 12-week period, and multiple plant growth parameters and tissue mineral compositions were assessed at harvest. Results showed that plant production method significantly (p < 0.05) influenced okra growth and yield, while planting density had limited impact. Okra grown in media beds exhibited greater (p < 0.05) stem length, stem and root weights, number of leaves, and okra (fruit) production compared to those grown on floating rafts. Although root length was longer (p < 0.05) in raft-grown plants, root biomass was notably higher (p < 0.05) in plants grown in media beds. Mineral composition of plant tissues also varied with production method and density. Media-grown okra generally had higher (p < 0.05) concentrations of calcium, phosphorus, and copper in leaves and stems, whereas raft-grown plants showed elevated levels of sodium and zinc in several tissues. Plant density affected a few specific mineral concentrations, particularly in roots and fruit, though effects were inconsistent. While fish growth was not high, possibly due to some water quality parameters (such as alkalinity and hardness) not being optimal, plant performance in media beds without supplemental nutrient inputs highlights the viability of fired clay media in aquaponic okra production. These findings suggest that media beds offer agronomic advantages over floating rafts for okra cultivation in aquaponic systems, with implications for optimizing nutrient delivery and plant health in sustainable food production systems.

1. Introduction

Global population is expected to reach 9–10 billion people by 2050 [1], and to supply enough food to feed the increased populace, agricultural production will need to increase by 51% [2], 60–70% [1,3], or 100–110% [4]. However, production will be affected by numerous biotic and abiotic factors, such as variable climatic conditions, amount and availability of arable land, and availability of water. Further, urbanization is rapidly increasing, with more than 50% of the world’s population living in cities. This trend is expected to continue, so that by 2030, 70% of the human population will live in urban areas [5]. In order to achieve increased production on a finite resource (land), new methods of production must be developed or adapted so as to maximize production and minimize spatial footprint.
Simultaneously, the United States has had a decline in the number of farms since the late 20th century, with a steady decrease observed between 2017 and 2022, amounting to a 17% reduction [6]. This period also saw the loss of 20.1 million acres of farmland due to several factors, including urban development. Exacerbating this trend is the displacement of small-family farmers, who struggle with increasing operational costs and limited access to capital, while large farms have the capital to modernize equipment and reduce operational costs. This has led to the consolidation of farmland. Further, rapid urbanization has led to the creation of food deserts where people do not have access to freshly grown produce. Thus, farmers have begun to explore new techniques for food production.
Aquaponics is a hybrid agricultural production method that utilizes both aquaculture techniques (growing fish) and hydroponics (growing plants in soilless environments) to maximize yields of both crops using a minimum of fertilizer and water. Aquaponic systems can comprise coupled (single loop) or decoupled (separate loops for fish and plant production) systems. No matter the system type, only a few plant production methods are currently used: (1) floating raft (also called deep water culture—DWC), (2) media beds with various organic/inorganic substrates used as the growing medium for the plant, and (3) nutrient film technique (NFT). The floating raft technique uses a tank of water with a floating structure to hold the plants, whereby the plant roots hang directly into the water in the tank. This type of system may be best for large-scale production. Media beds use an inert medium of clay, cinders, rocks, or other materials as substrate for the plants. The medium provides support and an environment for beneficial bacteria, as well as a structure for root growth. Nutrient Film Technology (NFT) is where plants grow in tubes (often PVC pipes) that have a constant, thin layer of nutrient-enriched water.
Okra (Abelmoschus esculentus; also known as ladies’ finger, or Bhindi) is a hot-weather plant and is sensitive to the cold. This fruiting plant is one of the oldest known cultivated plants and is closely related to cotton. Okra’s first cultivation records are traceable to Egypt in 1216 BCE [7]. Its native range includes the tropical regions of African and Asian countries, where it is grown for food. The okra seed is small, hard, round, and varies in color from dark green to dark brown, and needs to be planted in moist conditions to allow germination [7]. After sprouting, a tall woody stem expands before putting off big, shady leaves. The fruit pod is high in calcium, vitamins, and potassium [8]. Essential vitamins include 30% of a person’s daily recommended dose of vitamin C, 10–20% of folate, and 5% of daily vitamin A [8]. Okra is often considered multipurpose as people have found ways to utilize every part of it, from the leaves, buds, fruit, stems, and flowers [9]. The seeds have been utilized in making vegetable oil as they are a rich source of lipid -70% of the lipid composition is unsaturated fatty acids, including oleic (18:n-9) and linoleic (18:n-6) acids [7]. Okra seeds are also very high in protein. Okra is a water-tolerant plant; however, it also grows in well-draining soil [10]. Its high tolerance of aquatic environments allows for the possibility that it will thrive in an aquaponic system.
Few studies have directly compared plant growth and production when plants are grown in media beds or floating rafts. Mint (Mentha aruensis) had better yield when grown in media beds consisting of crushed shale compared to floating rafts [11]. Lettuce (Lactuca sativa) had the highest plant growth when grown in gravel compared to plants grown in floating rafts [12]. However, Knaus et al. [13] reported no differences in growth or leaf number in basil (Ocimum basilicum) grown in gravel, floating rafts, or grow-pipes, while there was no difference in the yield of tomatoes (Solanum lycopersicum) when grown either in floating rafts of a nutrient film (NFT) system [14].
Further, limited research on growing okra in an aquaponic system has been conducted, and few reports are in the published literature. It has been shown that in drip irrigation systems, okra had 61% higher yield than traditional agriculture surface watering techniques [15]. Olutola et al. [16] reported that okra grown in a hydroponic system (floating rafts) had similar plant heights, stem girth, number of leaves, biomass, and yield as plants grown in soil (conventional farming). Azad et al. [17] reported that okra grown in coconut husk media had the lowest production compared to okra grown in gravel. However, no research has been conducted with okra to determine which sub-system is best for growth and production.
Nile tilapia (Oreochromis niloticus) is a tropical cichlid native to the Middle East (Jordan, Egypt, and Israel) and parts of Africa, and is the third-most cultured fish in the world. The fish has many highly desirable culture traits, which include a rapid growth rate, excellent flesh taste and quality, resistance to numerous diseases, ability to reproduce easily in captivity, possessing dietary requirements on the lower end of the food chain (herbivorous/omnivorous), and the ability to tolerate varied environmental and production conditions [18].
The aim of the present study was to compare the growth and production of okra when grown in two aquaponic production systems (floating raft and media bed), planted at two densities, and grown with Nile tilapia.

2. Materials and Methods

2.1. Source of Plants and Fish

Okra seedlings were produced by purchasing commercial seeds, placing them into soil seed-starter blocks, and allowing them to germinate inside a greenhouse until true leaves were produced. They were then transplanted into the aquaponics system. All-male tilapia used in this study were purchased from a commercial supplier, and upon arriving at the University of Arkansas at Pine Bluff (UAPB), they were kept in a 1000 L acclimation tank. Prior to stocking, fish were weighed and sorted into 6 batches containing 40 fish per batch. The fish were then batch-weighed to ensure that each batch had a similar starting weight. They were then stocked into 1135 L aquaponic fish tanks. The fish were fed once daily to satiation (0900) with a commercial and 32%-protein floating diet, which met all nutrient requirements of channel catfish, which should also have met the nutrient requirements of tilapia [18]. A standpipe was placed in the middle of the tank to allow the water to drain to the sump. Water flowed constantly into the tanks at a rate of 60 L/min.

2.2. Aquaponic Systems and Experimental Design

In a greenhouse were six identical, but independent, closed-loop (coupled) aquaponic systems (for diagram, refer to [19]). The greenhouse had chlorinated city water and electricity. Each aquaponic system consisted of a 1135 L plastic fish culture tank with a central drain that gravity fed to a 300 L sump tank. Water from the sump was pumped by a 1-HP pump through a sand filter (38 cm) and up to two grow-beds (350 L each; 0.76 × 1.4 × 1.1 m) that either had media or had no media (floating rafts). Media was expanded fired clay (Arcosa Lightweight, Arlington, TX, USA; bulk density = 0.5 g/cm3; air-filled porosity = 42.1%; water permeability = 0.74 cm/s; particle size = 98.6%, 3.2–9.5 mm). The grow-bed without media had a floating raft (60 × 122 × 5 cm), which was made from foam insulation and had holes cut out. In rafts used for the high-density sub-system, holes were spaced every 12 cm, while holes were spaced every 18 cm in the low-density sub-system to accommodate the okra plants. To hold the seedling plants in place upon placement into the systems, small baskets were inserted in the holes. Each grow-bed was ringed by a PVC pipe with water valves installed to precisely adjust water flow and distribute water uniformly to each grow-bed. Flow rates were maintained at the same rate for all grow-beds and were 4 L/min. Every week, waste that had settled in the sump was siphoned out.
Nile tilapia (45.7 g) were stocked into each aquaponic system (40 fish/system) and fed once daily to apparent satiation with a 32% protein commercial floating diet (Rangen, Buhl, ID, USA) known to meet the nutrient requirements of tilapia. Each fish culture tank received aeration with an airstone connected to an air pump, and tanks were covered with netting to provide some shade and to prevent fish from jumping out of the tank. The amount of diet fed was weighed and recorded daily. Water was added to replace evaporation, plant transpiration, and waste siphoning losses. Flow rate to the tanks was maintained at 8 L/min.

2.3. Water Quality Analysis

Ammonia-N, nitrite-N, and nitrate-N levels were measured with a Hach Fish Farming Test Kit (Model FF-1A; Hach, Loveland, CO, USA) once per week. Water temperature, dissolved oxygen, and pH were measured daily with a digital multimeter probe (YSI Professional Plus; Yellow Springs, OH, USA).

2.4. Aquaponic Sampling

Okra were harvested daily from each aquaponic system when okra reached 6–10 cm in length, individually weighed, measured for length, and recorded by aquaponic system and plant tray. This size of okra (6–10 cm) was chosen for harvest because consumers prefer this size, as larger okra become “woody” and are less desirable to use as food. Data from the present study was desired to be directly applicable to okra producers using aquaponic/hydroponic systems to grow okra. At the conclusion of the study (12 wks), all okra plants were removed from their plant trays and measured for the following parameters: total stem length (cm), total stem weight (g), leaf number, leaf total weight (g), root length (cm), root total weight (g), remaining okra (fruit) number, and remaining okra (fruit) weight. At this time, tilapia were also harvested and counted.

2.5. Okra Mineral Analysis

At the conclusion of the study, three plants were randomly selected from each plant production bed in each aquaponic system. For mineral analysis, okra leaves had 4 cm diameter cut-outs taken at two areas of the leaf: the base of the leaf and the center of the leaf. Stem samples were taken 5 cm from the stem/root interface. The entire collected root mass and the entire okra plant were used for mineral analysis. All stems, leaf samples, roots, and okra (fruit) were air-dried at 35 °C for 72 h. The desiccated leaves were crushed using a mortar and pestle. The dried stem and root samples were ground in a coffee grinder to a fine powder. Okra (fruit) were sliced horizontally and placed into a bead mill (Retsch MM400, Retsch, Newtown, PA, USA). To reduce contamination, each machine was cleaned between samples. After being ground, the okra samples were placed into the oven at 60 °C for 24 h to ensure even drying of the powder. After drying, the sample was weighed and sent to a commercial chemical laboratory (University of Arkansas, Fayetteville, AR, USA), where samples were analyzed to determine the following minerals: phosphorus, potassium, calcium, magnesium, sodium, iron, manganese, and zinc using modified AOAC [20] methods 968.08 and 935.13.

2.6. Statistical Analysis

Okra mineral composition and performance in response to production system (Raft vs. Media) and density (high vs. low) were analyzed with generalized linear mixed models (PROC GLIMMIX, SAS version 9.4, SAS Institute, Inc., Cary, NC, USA). The statistical model reflected the study’s split-plot design. Each of the six independent aquaponic systems was considered to be a main plot randomly assigned to a density treatment. Each main plot contained two grow-beds (subplots or experimental units), one randomly assigned to the Raft treatment and the other to the Media treatment. Accordingly, density, production system, and their interaction were treated as fixed effects, and a random intercept was estimated for each of the six independent aquaponic systems. Because all response variables were positive and right-skewed, Gamma response distributions with a log link function were used. Aquaponic system water quality and tilapia growth performance were not analyzed statistically, as only two (2) sumps were sampled weekly for water quality analysis, and fish weights were not recorded at the conclusion of the study. Differences among response means were considered significant at p < 0.05 after a Tukey HSD adjustment.

3. Results

3.1. Water Quality and Chemistry

Measured water quality parameters were within acceptable limits for fish [21] and during the study averaged: temperature, 23.3 °C; dissolved oxygen, 7.0 mg/L; alkalinity, 9.08 mg/L; hardness, 6.42 mg/L; total ammonia nitrogen (TAN), 0.30 mg/L; nitrite, 0.17 mg/L; nitrate, 3.08 mg/L; pH, 6.79. For the duration of the experiment, water quality parameters did not fluctuate greatly (Figure 1).

3.2. Fish Growth

Tilapia growth performance could not be measured due to an error in weighing fish; however, visual inspection indicated that fish did not grow optimally, but were all of similar size among treatments. Fish survival averaged 90% for all treatments, and fish in all six aquaponic systems were fed similar amounts of diet during the study, averaging 144 g/fish. Since final fish weights were not recorded, no data on fish production could be calculated.

3.3. Okra Production

Plant production parameters were not influenced by density (p > 0.05); however, plant production method (floating raft vs. media bed) significantly (p < 0.05) affected all measured variables (Table 1; Figure 2). Total stem length (cm), stem weight (g), number of leaves/plant, total leaf weight/plant, and root weight (g)/plant were all higher (p < 0.05) when okra was grown in a media bed compared to plants grown in floating rafts (Table 1). The only variable that was higher for plants grown in floating rafts was root length, which was greater for plants grown in floating rafts (66.0 cm) compared to roots grown in a media bed (46.0 cm). However, this result must be considered with caution, as removal of the okra plants at harvest resulted in some of the root mass associated with plants grown in media beds becoming broken from the plant and remaining in the media. Thus, true root length/plant was not achieved in this study for okra grown in media beds and would have been larger than stated in Table 1. While there were clear effects of plant production method exhibited between growing okra in floating rafts as compared to in media beds, there were no significant (p > 0.05) interactions between plant density and plant production method (Table 1).
When analyzed, okra production of plants grown in either floating rafts or media beds at two different densities, plant survival, weight of okra pods (fruit), and length of okra pods were not significantly different (p > 0.05) either between density, production method (raft vs. media), or their interactions and averaged 61.44%, 26.4 g, and 121.0 mm, respectively (Table 2). The number of okra pods (fruit) per plant was significantly different (p < 0.05) when analyzed by production method, but not when analyzed by density or their interaction. Okra grown in media beds had an average of 4.36 pods/plant compared to 0.69 pods/plant when grown in floating rafts (Table 2). When analyzed by individual treatment, okra grown at high density in media beds had 6.87 pods/plant compared to 0.43 pods/plant for okra grown at high density in floating rafts.

3.4. Mineral Composition

3.4.1. Leaf (Base)

The analyzed mineral composition of the leaf (base) was generally not affected by either density, plant production method, or their interaction; however, there were several minerals whose amounts in the leaf (base) were changed based upon treatment (Table 3). Amounts of Al, Fe, K, Mg, Mn, P, and S were not affected by treatments, while levels of Na and Zn were significantly higher (p < 0.05) in plants grown at high density (429 and 136.20 mg/kg, respectively) compared to plants grown at low density (182 and 78.81 mg/kg, respectively; Table 3). When analyzed by plant production method, Ca and Cu were significantly higher (p < 0.05) in leaf (base) from plants grown in media beds (43,598 and 4.22 mg/kg, respectively) compard to plants grown in floating rafts (34,742 and 2.938 mg/kg, respectively). Leaf (base) from plants grown in floating rafts, however, had a significantly higher (p < 0.05) amount of Na (398 mg/kg) compared to plants grown in media beds (213 mg/kg). There was an interaction (density × method) effect on the amount of Cu; however, no other mineral had a significant interaction effect.

3.4.2. Leaf (Blade)

The analyzed mineral composition of the leaf (blade) was generally unaffected by density, plant production method, or their interaction with amounts of Al, Fe, K, Mg, Mn, Na, and S, all similar (p > 0.05) among treatments (Table 4). When analyzed by density, only Zn levels were significantly higher (p < 0.05) in the leaf (blade) from plants grown at high density (137.16 mg/kg) compared to plants grown at low density (66.36 mg/kg). All other minerals were similar (p > 0.05) between the treatments. When analyzed by plant production method, amounts of Ca, Cu, and P were different in leaf (blade) from plants grown in floating rafts compared to media beds, with Cu higher in plants grown in floating rafts (4.957 mg/kg) compared to plants grown in media beds (3.414 mg/kg; Table 4). However, Ca and P levels were higher in plants grown in media beds (47,056 and 1922 mg/kg, respectively) compared to plants grown in floating rafts (33,798 and 1573 mg/kg, respectively). There were no interaction effects in any mineral.

3.4.3. Okra Root

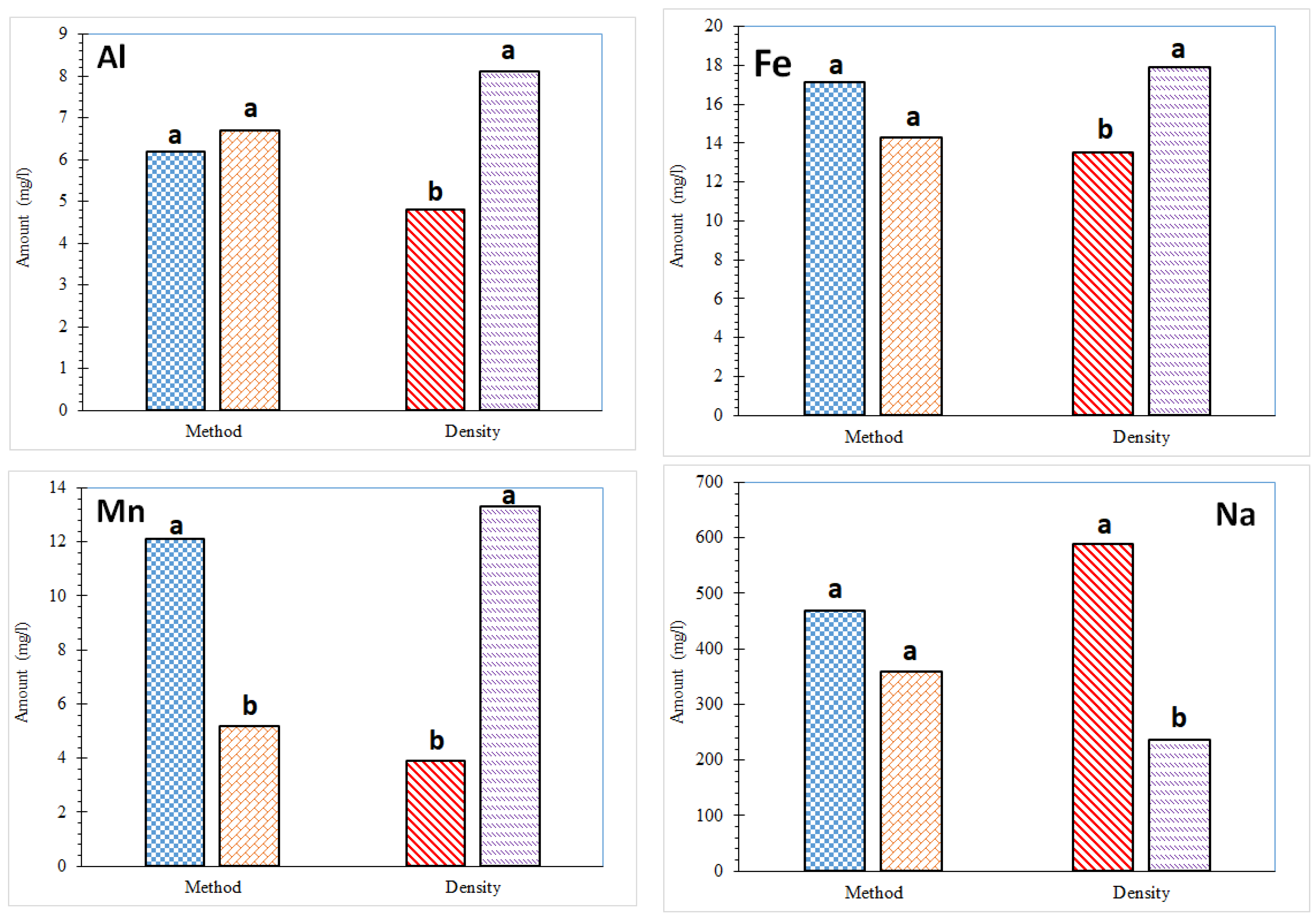
Analyzed mineral composition of okra root had treatment effects for several minerals (Table 5; Figure 3). Analyzing mineral composition by density indicated that Ca, Cu, K, and S had significantly higher (p < 0.05) amounts for plants grown at low density (5607, 36.894, 19,209, and 1542.7 mg/kg, respectively) compared to plants grown at high density (4313, 24.722, 14,504, and 1239.6 mg/kg, respectively). The level of Na was significantly higher (p < 0.05) in plants grown at high density (5662 mg/kg) compared to plants grown at low density (2354 mg/kg) (Table 5). When analyzed by plant production method, levels of Ca, Cu, Mg, Mn, and Zn were significantly higher (p < 0.05) in roots of plants grown in floating rafts compared to media beds, while Ca and Mn had significant interaction effects between density and plant production method (Table 5).

3.4.4. Stem

Similar to the mineral composition of okra root, the analyzed mineral composition of okra stems indicated that treatment did affect amounts of several minerals (Table 6; Figure 4). Al, Fe, and Mn levels were significantly higher (p < 0.05) in plants grown at low density (8.12, 17.877, and 13.29 mg/kg, respectively) compared to stems of plants grown at high density (4.89, 13.47, and 3.91 mg/kg, respectively). Stems of plants grown at high density had significantly (p < 0.05) higher levels of Na, P, and Zn (589, 850, and 62.93 mg/kg, respectively) compared to plants grown at low density (237, 655, and 41.13 mg/kg, respectively). When analyzed by plant production method, Mn and Zn levels were significantly higher (p < 0.05) in plants grown in floating rafts (12.06 and 61.72 mg/kg, respectively) compared to plants grown in media beds (5.15 and 42.34 mg/kg, respectively) (Table 6). Interaction effects were found for levels of Mg, Na, S, and Zn, although Mn was almost significant (p = 0.051).

3.4.5. Okra (Fruit)

When analyzed by density, levels of Na, P, and Zn were significantly higher (p < 0.05) in okra (fruit) from plants grown at high density (819.38, 3755.6, and 52.41 mg/kg, respectively) compared to okra grown at low density (292.34, 2992.1, and 41.82 mg/kg, respectively). Plant production method also had an effect of mineral composition of okra (fruit) with levels of K significantly higher (p < 0.05) in okra grown in floating rafts (19,962 mg/L) compared to plants grown in media beds (16,790 mg/kg), while P was significantly higher (p < 0.05) in okra grown in media beds (3673 mg/kg) compared to plants grown in floating rafts (3073 mg/L) (Table 7). The level of Na was almost significantly higher (p = 0.051) in okra grown in floating rafts (647.46 mg/kg) compared to okra grown in media beds (464.26 mg/kg). There were no minerals with significant interaction effects.

4. Discussion

The global population is expected to reach 9–10 billion people by 2050 [1], and to supply enough food to feed the increased populace, agricultural production will need to increase by at least 50% [2]. However, agricultural production will be affected by numerous biotic and abiotic factors such as changing climatic conditions, amount and availability of arable land, availability of water, and urbanization. In order to achieve increased production on a finite resource (land), new methods of agriculture must be devised and/or adapted so as to maximize production. Aquaponics might be a suitable method of food production.
Aquaponics is a fusion of two highly successful agricultural production systems: aquaculture and hydroponics. Aquaculture is the sustainable production of seafood (fish, crustaceans, and algae). Presently, aquaculture supplies over 50% of the world’s fresh seafood to consumers, and this percentage will increase with time as the world’s population increases. Hydroponics is the growing of plants in a soilless environment. Okra is a popular warm-weather vegetable that grows rapidly and is adapted to wet environments. Okra provides many essential vitamins, minerals, and bioactive compounds [22]. It is also a good source of soluble fiber, which can reduce cholesterol in humans and, thus, might reduce the risk of heart disease [23]. Globally, okra is cultivated in tropical and warm temperate regions; however, growing okra indoors would allow an increase in areas where okra could be grown and supplied to consumers as fresh produce. As agricultural methods must become more efficient and optimize production, alternative, intensive agricultural methods will need to be evaluated to achieve effective and sustainable production of fresh crops. For aquaponic systems, evaluation of the effectiveness of various methods of production is a vital research area.
One of the criticisms of aquaponics is that the production is often limited in scale compared to terrestrial farming, where hundreds or thousands of acres can be planted, grown, and harvested. Thus, aquaponics is often viewed as being more suitable for space-limited urban environments [24]. However, aquaponics is a viable means of growing produce to ameliorate the effects of urban ‘food deserts’ and can provide fresh, locally grown produce to supply “farm-to-table” consumers, as well as to enhance food security in a sustainable way. This is the first published report that evaluated two different aquaponic production methods (floating rafts vs. media beds) for okra, while also investigating the effects of plant density in the aquaponic system.
Okra growth in an aquaponic system has been shown to exceed that of okra grown in soil-based terrestrial agriculture. Olutola et al. [16] reported that okra grown in a hydroponic system (floating rafts) had similar plant heights, stem girth, number of leaves, biomass, and yield as plants grown in soil (conventional farming). In addition, nutrients from fish ponds were more effective fertilizers than inorganic fertilizers for growing okra [25]. Azad et al. [17] reported that okra grown in coconut husk media had the lowest production (3.83 kg/m2) compared to okra grown in gravel (7.5 kg/m2); however, the highest production occurred when plants were grown in a mixture of the two media (9.08 kg/m2). Their reported values were substantially higher than those of okra grown in terrestrial farming. Patwary [26] stated production of 13.1 tons/ha of okra grown in soil, while Das [27] reported production of 10.2 tons/ha of okra in terrestrial farming. Rakocy et al. [28] stated that field okra production was 5% of aquaponic okra production, possibly due to constant optimal growing conditions and a higher nutrient environment for okra associated with aquaponic systems. In support of this, Knaus et al. [29] reported that spearmint (Menthe spicata) grew 19% faster in an aquaponic system compared to field conditions.

4.1. Water Quality and Fish Growth

It has been demonstrated that fish grown in an aquaponic system have normal growth and survival, compared to traditional production methods. Species successfully grown aquaponically include largemouth bass (Micropterus salmoides) [30], channel catfish (Ictalurus punctatus) [19], Nile tilapia (Oreochromis niloticus) [31], rainbow trout (Oncorhynchus mykiss) [32,33], goldfish (Carassius auratus) [34], and white shrimp (Litopenaeus vannamei) [35].
Fish growth was not optimal during the present study for Nile tilapia grown in an aquaponics system with okra. While survival was excellent during the 12-wk study (90%), fish did not visually appear to grow as would have been expected, and since no final body weights were recorded, production parameters could not be calculated. While fish were fed once daily all they could consume in a 30 min period, and were fed similar amounts of diet to each aquaponic system (144 g diet/fish), water quality analysis indicated that while dissolved oxygen (DO), water temperature, total ammonia nitrogen (TAN), and nitrite were within acceptable parameters for Nile tilapia, alkalinity, and water hardness were lower than desirable levels (>40 mg/L). Alkalinity initially was 12.5 mg/L and decreased steadily to 7.0 mg/L at week 12. Likewise, water hardness initially was 9.0 mg/L, but decreased to 6.0 mg/L at the conclusion of the study. These lower values may have resulted in reduced growth of fish. While growth may not have been as expected, survival and fish health were good throughout the study.

4.2. Okra Production

There are several possible plant production methods that can be used in an aquaponic system. Two of the most common methods are to grow plants in floating rafts, while another method is to use media. Floating beds are easier to construct, maintain, and clean, and may have more oxygenated space as there are no anaerobic areas if oxygen is supplied to the water in which the rafts are floating. In contrast, media can act as a structure for root development and serve as a habitat for beneficial bacteria [36]. However, unless there is a means of supplying oxygen to the media, anaerobic areas could develop, which may adversely affect the growth and development of the plant.
This is the first published report that evaluated plant production methods for okra grown in a coupled aquaponic system with Nile tilapia. In the present study, okra plants were taller and more robust, had higher root weights and mass, and produced more okra (fruit) when grown in media (fired clay) compared to when grown in floating rafts. Growth (plant weight), leaf number/plant, and okra (fruit) production in the present study were much higher than previous reports [37,38,39]. It has been recommended that foliar application of 8.1 g/L P [37], 5.0 g/L K [37,38,39], and 1.0 g/L of Fe [37,38]; however, in the present study, no application (foliar or addition to system water) was done, yet plant growth and production were good. Further, nutrient inputs from the fish diet should have been similar in all aquaponic systems, as there was no difference in the amount of diet fed to fish. This may indicate that conditions in the present study were acceptable for okra without supplemental nutrients.
Results from the present study indicate that fired clay is a suitable medium for growing okra. This is in agreement with previous studies [40,41]. Okra grown in clay pebbles had significantly higher plant weight, leaf area, stem circumference, and growth rate compared to okra grown in gravel [42]. The authors surmised that the high bulk density and reduced porosity of gravel led to the growth of algae and increased quantities of solid wastes, which resulted in poor drainage. As the aquaponic system described in Din et al. [42] did not have aeration of media beds (such as airstones buried in media), it could also be that the gravel media had reduced oxygen levels, which adversely affected okra growth. In the present study, airstones were not used to oxygenate the media (fired clay), but the media did provide good drainage, and water effluent from each plant tray was closely monitored to ensure that oxygenated water was constantly available to the plants.
While there have been numerous published reports on media comparisons for various plants grown in hydroponic and aquaponic systems [43,44,45,46,47,48,49,50,51,52,53,54,55,56,57,58,59,60], there are few reports evaluating plants grown by different methods. Mint (Mentha arvensis) had better yield when grown in a media bed compared to plants grown in floating rafts [11]. Similarly, lettuce (Lactuca sativa) was reported to have better growth when grown in media beds compared to floating rafts. However, other reports have found that this type of production system had little impact on the growth and production of basil (Ocimum basilicum) [13], tomatoes (Solanum lycopersicum) [14], and lettuce [61].
The plant height of okra grown in media beds was higher than when plants were grown in floating rafts, which is in contrast to the results of spearmint (Mentha spicata) grown in an aquaponic system [29]. In the latter report, spearmint grown in floating rafts, gravel (media), or grow-pipes had similar plant (stem) heights. It appears, however, that okra prefers to be grown in media.
In the present study, leaf number was higher when okra was grown in media beds compared to when grown in floating rafts, which is in contrast to Kanus et al. [13] who reported that basil grown in media beds, floating rafts, and grow-pipes had similar leaf number. While leaf number is important for herbs, it is not as important for okra, where the commercially edible portion of the plant is the fruit, not the leaves. However, as it appears leaf number, leaf weight, plant growth, and fruit production were related, it may be that a larger, more robust okra plant also translates to more okra (fruit) production. Leaf data from the present study are somewhat in contrast with Fischer et al. [30] who reported lemongrass leaf weight was not different when grown in floating rafts or in media (expanded clay); however, leaf length and width were higher when grown in a media bed, while weight and width of spring onion leaves were higher when grown in a media bed. In the present study, leaf weight and number were higher for okra grown in media. This is in contrast to Knaus et al. [29], who found that the height of spearmint was similar when grown in either gravel, PVC tubes, or floating rafts.
Fischer et al. [30] reported that root lengths of both lemongrass and spring onions were longer when plants were grown in floating rafts, but that roots were thicker and heavier when grown in media beds. Knaus et al. [29] reported that the root length of spearmint was longer when grown in floating rafts compared to gravel. This is in agreement with data from peppermint (Mentha piperita) [62]. These reports are consistent with findings from the present study, where the roots of okra grown in floating rafts were longer, but the roots of plants grown in media beds were much thicker and had higher weights. However, since okra grown in media beds in the present study broke during harvest, it may be possible that the root length of plants grown in media was also higher.

4.3. Physico-Chemical Parameters of the Aquaponic Systems

Environmental conditions appear to have been acceptable for the production of okra in aquaponic systems using Nile tilapia as a fish species in the system without supplemental nutrients. Natural sunlight was used during the study, and all areas inside the greenhouse appeared to receive a similar intensity of sunlight.
Despite the excretion of nitrogenous wastes by fish for plants to utilize in an aquaponic system, the addition of trace minerals may be necessary to ensure optimal plant health and growth. Among essential nutrients that may be required are potassium (K), calcium (Ca), and iron (Fe), which are often the most limiting in aquaponic systems [63,64]. Iron is added in chelated form, which is water-soluble and is not prone to oxidation, while CaCO3 and/or KCO3 are used to buffer water pH and provide Ca and K to the system [24]. Other minerals that may be required are magnesium (Mg), manganese (Mn), phosphorus (P), and sulfur (S).
While no mineral analysis of culture water was measured during the study, based on plant growth and production, there were sufficient nutrients for okra when grown in media beds. The media was analyzed for minerals, and the results indicated that there were adequate amounts of essential minerals for plant growth (Table 8). It is possible that while the media had sufficient minerals for okra, the system water had reduced amounts of minerals, which could be a reason for the reduced growth and production of okra grown in floating rafts as compared with plants grown in media beds. However, since both the floating raft and media beds shared a common water source, and the media substrate had sufficient amounts of nutrients, it may be possible that the culture water also had sufficient nutrients for plant growth. It is also possible that the microbiota in the media were able to sequester nutrients, which allowed for better plant growth and production compared to plants grown in floating rafts, where there would be limited microbiota for the roots to utilize as a nutrient source.
It has been reported that Ca is essential for plant growth and development due to its role as a regulator of cellular processes [65]. Knaus et al. [29] reported that Ca (increasing to 275 mg/L) and NO3 (increasing to 175 mg/L) increased during the duration of a study in which mint (Mentha spicata) was grown aquaponically, but that K, P, and Mg remained stable (maintaining concentrations below 50 mg/L). In the present study, Ca, K, P, and Mg levels in the media were much higher than reported by Knaus et al. [29], which may explain the good growth of okra in media beds.

4.4. Okra Mineral Composition

There is sparse published data on the effects of plant production method in an aquaponic system on mineral composition. In the present study, mineral composition from the leaf (base) indicated that there were significant differences in levels of calcium (Ca), copper (Cu), and sodium (Na) due to the type of plant production method used (floating raft vs. media bed). Higher Ca and Cu levels were reported when okra was grown in a media bed compared to plants grown in floating rafts; however, Na levels were higher in okra grown in floating rafts. Density had little impact on the mineral composition of okra except for Na and zinc (Zn), both of which had higher levels when plants were grown at the higher density. Similarly, Ca and Cu levels were influenced by plant production method in the leaf (blade), as was the level of phosphorus (P). Okra grown in media beds had higher Ca and P levels, while plants grown in floating rafts had higher levels of Cu. Zn level in leaf (blade) was affected by plant density, with okra grown at higher density having a higher Zn level than plants grown at low density. All other minerals had similar levels in the leaf (blade) regardless of density or plant production method.
These results are in contrast to Fischer et al. [30], who reported that iron (Fe) and magnesium (Mg) were higher in leaves of lemongrass and spring onions when grown in media compared to plants grown in floating rafts, but all other minerals had similar levels. Likewise, the mineral composition of okra leaves (base and blade) shows differences compared to published data on okra leaves (whole leaf), with the present study having similar level of Cu, lower levels of Fe, Mg, S, and P, and higher levels of Ca, K, Mn, and Zn compared to Meena et al. [37]. However, the mineral composition of okra leaves (whole) in Meena et al. [38] was different from that of previous published results [37,39].
Roots of okra had differences in levels of numerous minerals based on plant production method, plant density, and their interaction. Production method affected levels of Ca, Cu, Mg, Mn, and Zn with okra grown in media beds having less of these minerals in roots compared to plants grown in floating rafts. This is in contrast to Fischer et al. [30], who reported that Fe and Mg were higher in roots of lemongrass and spring onions when grown in media compared to plants grown in floating rafts, but all other minerals had similar levels. The importance of media-filled grow-beds lies in their ability to provide plants with a foundation and as an anchor for roots. It can also serve as a substrate for bacteria involved in the nitrification process and facilitates the filtration of solids in an aquaponics system. Thus, it may be that okra grown in a media bed could utilize the media as a reservoir for minerals and not have to store them, as plants grown in floating rafts would.
Plant density affected mineral composition of okra roots in levels of Ca, Cu, K, Na, and S, with plants grown at low density having higher levels of Ca, Cu, K, and S, while the level of Na was higher in roots of plants grown at high density. There is no published literature on the mineral composition of plant roots when grown at different densities in an aquaponic system, so it is unknown as to why there were differences in root mineral composition due to density.
Mineral composition of plant stems appeared to be more influenced by plant density than plant production method, with levels of Fe, Mn, Na, P, and Zn affected by density, while levels of Mn and Zn were also affected by plant production method, with levels of both minerals higher in okra stems grown in floating rafts. As with the mineral composition of plant roots, it is unknown at this time why plant density affected mineral composition.
In okra (fruit), mineral composition was not affected by plant density or plant production method, except K (higher in plants grown in floating rafts) and P (higher in plants grown in media beds). Plant density affected levels of Na, P, and Zn, with plants grown at high density having higher levels of each mineral. Results from the present study regarding mineral composition of okra (fruit) show similarities and differences with published reports [37,38,39], indicating that mineral composition may be influenced by many factors specific to each growing event.

5. Conclusions

Okra grown in a coupled aquaponic system using a flooded media bed (fired clay) had higher growth (plant height, plant weight, leaf weight, leaf number, and root weight) and better production (okra pods) compared to plants grown in floating rafts when grown with Nile tilapia. It appears that plant density had no effect on plant production parameters, possibly due to the similar survival percentages of okra at the conclusion of the study. Mineral analysis of okra leaves (base and blade) indicated only minor differences between the production sub-systems (media bed vs. floating raft). Plant roots seem to have the most variable mineral composition, with Ca, Cu, K, Na, and S having differences when analyzed by density, with low-density plants having higher amounts of each (except Na). When analyzed by production sub-system, Ca, Cu, Mg, Mn, and Zn were higher in plants grown on floating rafts compared to plants grown in media beds. Plant stems had some differences in mineral composition when analyzed by density, while the composition of okra pods (fruit) generally was similar when analyzed by density or production sub-system. Thus, it is recommended that okra be grown in media (fired clay) in a coupled aquaponic system when there is no nutrient supplementation and the water chemistry parameters in the present study are present.

Author Contributions

Conceptualization, H.K., D.A.P., G.H. and C.D.W.; Methodology, H.K., D.A.P., R.L., G.H. and C.D.W.; Formal analysis, H.K. and C.D.W.; Investigation, H.K., R.L., G.H. and C.D.W.; Writing—original draft, H.K. and C.D.W.; Writing—review & editing, D.A.P., R.L., B.H.B. and C.D.W.; Visualization, G.H. and C.D.W.; Supervision, D.A.P., R.L. and C.D.W.; Project administration, B.H.B.; Funding acquisition, B.H.B. All authors have read and agreed to the published version of the manuscript.

Funding

This research was also supported, in part, by funds provided by USDA/ARS CRIS Project 6010-10600-001-000D.

Institutional Review Board Statement

Not applicable.

Informed Consent Statement

Not applicable.

Data Availability Statement

The data supporting the findings of this study are available from the corresponding author upon reasonable request.

Acknowledgments

This research was in partial fulfilment of the requirements for the Master’s of Science degree from the University of Arkansas at Pine Bluff for Hannah Knuckles, who is deeply indebted to her committee members for their tireless efforts to further her education. The authors thank Steven D. Rawles and Quentin D. Read for statistical analysis. Mention of trade names or commercial products in this article is solely for the purpose of providing specific information and does not imply recommendation or endorsement by the U.S. Department of Agriculture. USDA is an equal opportunity provider and employer.

Conflicts of Interest

The authors do not have a conflict of interest.

References

  1. FAO (Food and Agriculture Organization). How to Feed the World in 2050. High Level Expert Forum; FAO: Rome, Italy, 2009. [Google Scholar]
  2. Van Dijk, M.; Marley, T.; Rau, M.L.; Saghai, Y. A meta-analysis of projected global food demand and population at risk of hunger for the period 2010–2050. Nativ. Food 2021, 2, 494–501. [Google Scholar] [CrossRef]
  3. Alexandratos, N.; Bruinsma, J. World Agriculture Towards 2030/2050: The 2012 Revision; Food and Agriculture Organization (FAO), United Nations: Rome, Italy, 2011. [Google Scholar]
  4. Tilman, D.; Balzer, C.; Hill, J.; Befort, B.L. Global food demand and the sustainable intensification of agriculture. Proc. Natl. Acad. Sci. USA 2011, 108, 20260. [Google Scholar] [CrossRef]
  5. Eigenbrod, C.; Gruda, N. Urban vegetable for food security in cities: A review. Agron. Sustain. Devel. 2015, 35, 483–498. [Google Scholar] [CrossRef]
  6. Mehrabi, Z. Likely decline in the number of farms globally by the middle of the century. Nat. Sustain. 2023, 6, 949–954. [Google Scholar] [CrossRef]
  7. Lamont, W.J. Okra-A versatile vegetable crop. Horttechnology 1999, 9, 179–184. [Google Scholar] [CrossRef]
  8. Kumar, A.; Kumar, P.; Nadendla, R. A review on: Abelmoschus esculentus (Okra). Int. Res. J. Pharm. Appl. Sci. 2013, 3, 129–132. [Google Scholar]
  9. Gemede, H.F.; Ratta, N. Antinutritional factors in plant foods: Potential health benefits and adverse effects. Intl. J. Nutr. Food Sci. 2014, 3, 284–289. [Google Scholar]
  10. Westerfield, R. Growing okra in a home garden. In Cooperative Extension Circular 941; University of Georgia: Athens, GA, USA, 2008. [Google Scholar]
  11. Shete, A.P.; Verma, A.K.; Chadra, N.K.; Prakash, C.; Chandrakant, M.H.; Nuwansi, K.K.T. Evaluation of different hydroponic media for mint (Mentha arvensis) with common carp (Cyprinus carpio) juveniles in an aquaponic system. Aquac. Int. 2017, 25, 1291–1301. [Google Scholar] [CrossRef]
  12. Lennard, W.A.; Leonard, B.V. A comparison of three different hydroponic sub-systems (gravel bed, floating, and nutrient film technique) in an aquaponic test system. Aquac. Int. 2006, 14, 539–550. [Google Scholar] [CrossRef]
  13. Knaus, U.; Pribbernow, M.; Xu, L.; Appelbaum, S.; Palm, H.W. Basil (Ocimum basilicum) cultivation in decoupled aquaponics with three hydro-components (grow pipes, raft, gravel) and African catfish (Clarias gariepinus) production in Northern Germany. Sustainability 2020, 12, 8745. [Google Scholar] [CrossRef]
  14. Schmautz, Z.; Loeu, F.; Liebisch, F.; Graber, A.; Mathis, A.; Griessler-Bule, T.; Junge, R. Tomato productivity and quality in aquaponics: Comparison of three hydroponic methods. Water 2016, 8, 533–554. [Google Scholar] [CrossRef]
  15. Job, M.; Singh, V.; Dinmani. Study of water and nutrients requirement through drip irrigation in okra. J. Pharmacogn. Phytochem. 2018, SP1, 3172–3176. [Google Scholar]
  16. Olutola, O.O.; Elijah, A.A.; Femi, A.D. Growth and yield response of okra under root dipping hydroponic and conventional farming systems. Agriways 2020, 8, 74–80. [Google Scholar] [CrossRef]
  17. Azad, K.N.; Salam, M.A.; Hossain, M.Z. Performance evolution of different bedding media on aquaponic system for growth and production of okra and tilapia. Intl. J. Eng. Res. Sci. 2018, 4, 14–25. [Google Scholar]
  18. Lim, C.E.; Webster, C.D. Nutrient requirements. In Tilapia, Biology, Culture, and Nutrition; Lim, C., Webster, C.D., Eds.; Haworth Press: Binghamton, NY, USA, 2006; pp. 469–501. [Google Scholar]
  19. Romano, N.; Datta, S.N.; Pande, G.S.J.; Sinha, A.K.; Beck, B.H.; Yamamoto, F.; Webster, C.D. Dietary inclusion of black soldier fly (Hermetia illucens) larvae frass enhanced production of channel catfish (Ictalurus punctatus) and stevia (Stevia rebaudiana) and lavender (Lavaridula angustifolia) in an aquaponic system. Aquaculture 2023, 575, 739742. [Google Scholar] [CrossRef]
  20. AOAC (Association of Official Analytical Chemists). Official Methods of Analysis of AOAC International, 18th ed.; Cunniff, P.A., Ed.; AOAC International: Arlington, VA, USA, 2006. [Google Scholar]
  21. Boyd, C.E. Water Quality in Ponds for Aquaculture; Alabama Agricultural Experiment Station, Auburn University: Auburn, AL, USA, 1979; p. 482. [Google Scholar]
  22. Islam, M.S. Sweetpotato (Ipomoea batatas) leaf: Its potential effect on human health and nutrition. J. Food Sci. 2006, 71, R13–R21. [Google Scholar] [CrossRef]
  23. Grundy, S.M. Cholesterol and coronary heart disease: A new era. JAMA 1986, 256, 2849–2858. [Google Scholar] [CrossRef]
  24. Hager, J.; Bright, L.A.; Dusci, J.; Tidwell, J. Aquaponics Production Manual. In A Practical Handbook for Growers; Kentucky State University: Frankfort, KY, USA, 2021. [Google Scholar]
  25. Musa, M.A.; Okee, J.I.; Shwaib, H. Fish pond effect and inorganic fertilizers on the development of okra (Abelmoschus esculentus) in Anyigba, Kogi State, Nigeria. Intl. J. Agricult. Sci. Technol. 2023, 3, 56–60. [Google Scholar] [CrossRef]
  26. Patwary, G.M. Pre-Stocking and Foliar Spray of Gibberellic Acid on Growth and Yield of Okra. Master’s Thesis, Dept. of Horticulture, Bangladesh Agricultural University, Mymensingh, Bangladesh, 2001. [Google Scholar]
  27. Das, P.K. Effect of Variety Spacing and Planting Date on the Growth and Yield of Okra. Master’s Thesis, Dept. of Horticulture, Bangladesh Agricultural University, Mymensingh, Bangladesh, 2011. [Google Scholar]
  28. Rakocy, J.E.; Bailey, D.S.; Schultz, R.C.; Thoman, E.S. Update on tilapia and vegetable production in the UVI aquaponic system. In New Dimensions on Farmed Tilapia: Proceedings from the 6th International Symposium on Tilapia in Aquaculture; Creative Unlimited: Manila, Philippines, 2004; pp. 676–690. [Google Scholar]
  29. Knaus, U.; Zimmermann, J.; Appelbaum, S.; Palm, H.W. Spearmint (Mentha spicata) cultivation in decoupled aquaponics with three hydro-components (grow pipes, raft, gravel) and African catfish (Clarias gariepinus) production in Northern Germany. Sustainability 2022, 14, 305. [Google Scholar] [CrossRef]
  30. Fischer, H.; Romano, N.; Jones, J.; Howe, J.; Renukdas, N.; Sinha, A.K. Comparing water quality/bacterial composition and productivity of largemouth bass Micropterus salmoides juveniles in a recirculating aquaculture system versus aquaponics as well as plant growth/mineral composition with and without media. Aquaculture 2021, 538, 736554. [Google Scholar] [CrossRef]
  31. Romano, N.; Webster, C.; Datta, S.N.; Pande, G.S.J.; Fisher, H.; Sinha, A.K.; Huskey, G.; Rawles, S.D.; Francis, S. Black soldier fly (Hermetia illucens) frass on sweet-potato (Ipomea batatas) slip production with aquaponics. Horticulturae 2023, 9, 1088. [Google Scholar] [CrossRef]
  32. Birolo, M.; Bordignon, F.; Trocino, A.; Fasolato, L.; Pasouly, A.; Godoy, S.; Nicoletto, C.; Mavcier, C.; Xicato, G. Effects of stocking density on the growth and flesh quality of rainbow trout (Oncorhynchus mykiss) reared in a low-tech aquaponic system. Aquaculture 2020, 529, 735653. [Google Scholar] [CrossRef]
  33. Bordignon, F.; Sturaro, E.; Trocino, A.; Birolo, M.; Xiccato, G. Comparative life cycle assessment of rainbow trout (Oncorhynchus mykiss) farming at two stocking densities in a low-tech aquaponic system. Aquaculture 2022, 556, 738264. [Google Scholar] [CrossRef]
  34. Nuwansi, K.K.T.; Verma, A.K.; Prakash, C.; Tiwari, V.K.; Chandrakant, M.H.; Shete, A.P.; Prabhath, G.P.W.A. Effect of water flow rate on polyculture of koi carp (Cyprinus carpio) and goldfish (Carassius auratus) with water spinach (Ipomoea aquatica) in recirculating aquaponic system. Aquac. Int.. 2016, 24, 385–393. [Google Scholar] [CrossRef]
  35. Fierro-Sanudo, J.F.; Rodriguez-Montes de Oca, G.A.; Leon-Canedo, J.A.; Alacorn-Silvas, S.G.; Mariscal-Lagarda, M.M.; Diaz-Valdes, T.; Paez-Osuna, F. Production and management of shrimp (Penaeus vannamei) in co-culture with basil (Ocimum basilicum) using two sources of low-salinity water. Latin Am. J. Aq. Res. 2018, 46, 1–10. [Google Scholar]
  36. Estim, A.; Saufie, S.; Mustafa, S. Water quality remediation using aquaponics subsystems as biological and mechanical filters in aquaculture. J. Water Proc. Eng. 2019, 30, 100566. [Google Scholar] [CrossRef]
  37. Meena, L.L.; Verma, A.K.; Bharti, V.S.; Nayak, S.K.; Chandrakant, M.H.; Haridas, H.; Reang, D.; Javed, H.; John, V.C. Effect of foliar application of potassium with aquaculture wastewater on the growth of okra (Abelmoschus esculentus) and Pangasianodon hypophthalmus in recirculating aquaponic system. Sci. Hortic. 2022, 302, 111161. [Google Scholar] [CrossRef]
  38. Meena, L.L.; Verma, A.K.; Krishnani, K.K.; Reang, D.; Chandrakant, M.H.; John, V.C. Effects of foliar application of macronutrients (K, P) and micronutrient (Fe) on growth of okra (Abelmoschus esculentus) and Pangasianodon hypophthalmus in recirculating aquaponic system. S. Afr. J. Bot. 2023, 160, 384. [Google Scholar] [CrossRef]
  39. Meena, L.L.; Verma, A.K.; Krishnani, K.K.; Chandrakant, M.H.; Haridas, H.; John, V.C. Combined foliar application effect of iron and potassium on growth of okra and striped catfish using media bed based aquaponics. Aquaculture 2023, 569, 739398. [Google Scholar] [CrossRef]
  40. Romano, N.; Powell, A.; Islam, S.; Fischer, H.; Renukdas, N.; Sinha, A.K.; Francis, S. Supplementing aquaponics with black soldier fly (Hermetia illucens) larvae frass tea: Effects on the production and composition of sweetpotato slips and sweet banana peppers. Aquaculture 2022, 555, 738160. [Google Scholar] [CrossRef]
  41. Romano, N.; Islam, S.; Fischer, H. Ebb and flow constant water level on the sweet banana chili pepper (Capsicum annuum) production in an aquaponic system. Aquacult. Eng. 2023, 102, 102340. [Google Scholar] [CrossRef]
  42. Din, W.N.S.; Endut, A.; Lananan, F.; Kasar, N.A. Performance evaluation of gravel and dry pebbles growth beds in aquaponics for okra (Abelmoscus esculentus) and catfish (Clarias gariepinus) growth and production. Environ. Ecol. Res. 2024, 12, 140–153. [Google Scholar]
  43. Van Labeke, M.C.; Dambre, P. Gerbera cultivation on coir with recirculation of the nutrient solution: A comparison with rockwool culture. Acta Hortic. 1998, 458, 357–362. [Google Scholar] [CrossRef]
  44. Cole, J.C.; Dunn, D.E. Expanded polystyrene as a substitute for perlite in rooting substrate. J. Environ. Horticult. 2002, 20, 7–10. [Google Scholar] [CrossRef]
  45. Gul, A.; Erogul, D.; Ongun, A.R. Comparison of the use of zeolite and perlite as substrate for crisp-head lettuce. Sci. Hortic. 2005, 106, 464–471. [Google Scholar] [CrossRef]
  46. Shaw, N.L.; Cantliffe, D.J.; Funes, J.; Shine, C. Successful beit alpha cucumber production in the greenhouse using pine bark as an alternative soilless media. HortTechnology 2004, 14, 289–294. [Google Scholar] [CrossRef]
  47. Rodriguez, J.C.; Cantliffe, D.J.; Shaw, N.L.; Karchi, Z. Soilless media and containers for greenhouse production of ‘Galia’ type muskmelon. HortScience 2006, 41, 1200–1205. [Google Scholar] [CrossRef]
  48. Cantliffe, D.J.; Shaw, N.L.; Saha, S.K.; Gruda, N. Greenhouse cooling for production of peppers under hot-humid summer conditions in a high-roof passively-ventilated greenhouse. Acta Hortic. 2007, 761, 41–48. [Google Scholar] [CrossRef]
  49. Jackson, B.E.; Wright, R.D.; Browder, J.F.; Harris, J.R.; Niemiera, A.X. Effect of fertilizer rate on growth of azalea and holly in pine bark and pine tree substrates. HortScience 2008, 43, 1561–1568. [Google Scholar] [CrossRef]
  50. Boyer, C.R.; Gilliam, C.H.; Fain, G.B.; Gallagher, T.V.; Torbert, H.A.; Sibley, J.L. Production of woody nursery crops in clean chip residual substrate. J. Environ. Hortic. 2009, 27, 56–62. [Google Scholar] [CrossRef]
  51. Hongpakdee, P.; Ruamrungsri, S. Water use efficiency, nutrient leaching, and growth in potted marigolds affected by coconut coir dust amended in substrate media. Hortic. Environ. Biotechnol. 2015, 56, 27–35. [Google Scholar] [CrossRef]
  52. Barrett, G.E.; Alexander, P.D.; Robinson, J.S.; Bragg, N.C. Achieving environmentally sustainable growing media for soilless plant cultivation systems-A review. Sci. Hortic. 2016, 212, 220–234. [Google Scholar] [CrossRef]
  53. Matlock, J.M.; Rove, D.B. The suitability of crushed porcelain and foamed glass as alternatives to heat-expanded shale in green roof substrates: An assessment of plant growth, substrate moisture, and thermal regulation. Ecolog. Eng. 2016, 94, 244–254. [Google Scholar] [CrossRef]
  54. Awad, Y.M.; Lee, S.-E.; Ahmed, M.B.M.; Vu, N.T.; Farooq, M.; Kim, S.I.; Kim, H.S.; Vithanage, M.; Usman, A.R.A.; Al-Wabel, M.; et al. Biochar, a potential hydroponic growth substrate, enhances the nutritional status and growth of leafy vegetables. J. Cleaner Prod. 2017, 156, 581–588. [Google Scholar] [CrossRef]
  55. Xiong, J.; Tian, Y.; Wang, J.; Liu, W.; Chen, Q. Comparison of coconut coir, rockwool, and peat cultivations for tomato production: Nutrient balance, plant growth and fruit quality. Front. Plant Sci. 2017, 8, 1327. [Google Scholar] [CrossRef]
  56. Kraska, T.; Kleinschmidt, B.; Weinand, J.; Pude, R. Cascading use of Miscanthus as growing substrate in soilless cultivation of vegetables (tomatoes, cucumbers) and subsequent direct combustion. Sci. Hortic. 2018, 235, 205–213. [Google Scholar] [CrossRef]
  57. Gruda, N.S. Increasing sustainability of growing media constituents and stand-alone substrates in soilless culture systems. Agronomy 2019, 9, 298. [Google Scholar] [CrossRef]
  58. Perez-Urrestarazu, L.; Fernandez-Canero, R.; Campos-Navarro, P.; Sousa-Ortega, C.; Egea, G. Assessment of perlite, expanded clay and pumice as substrates for living walls. Sci. Horticult. 2019, 254, 48–54. [Google Scholar] [CrossRef]
  59. Babatunde, T.A.; Abdulkarim, B.; Wagini, N.H.; Usma, S.A.; Argungu, L.A.; Lawal, U. Response of germination and seedling growth of Jute plant (Corchorus olitorius) on three different substrates in the tilapia aquaponic system. J. Agri. Food Res. 2022, 10, 100366. [Google Scholar] [CrossRef]
  60. Akter, U.; Hashem, S.; Farhad, F.B.; Rama, K.M.; Hague, M.M.; Salem, M.A. Effects of Epson (magnesium sulfate) salt on growth performance of water spinach (Ipomoea aquatica) in nutrient film technique and media-based aquaponics systems. Aquac. Int. 2024, 32, 691–707. [Google Scholar] [CrossRef]
  61. Perez-Urrestarazu, L.; Lubillo-Equibar, J.; Fernandez-Canero, R.; Victor, M.; Fernandez-Cabanas, V.M. Suitability and optimization of FAO’s small-scale aquaponics systems for joint production of lettuce (Lactuca sativa) and fish (Carassius auratus). Aquacult. Eng. 2019, 85, 129–137. [Google Scholar] [CrossRef]
  62. Khorasaninejad, S.; Mousavi, A.; Soltanloo, H.; Hemmati, K.; Khalighi, A. The effect of salinity stress on growth parameters, essential oil yield and constituent of peppermint (Mentha piperita). World Appl. Sci. J. 2010, 11, 1403–1407. [Google Scholar]
  63. Ru, D.; Liu, J.; Zou, Y.; Jiang, L.; Cheng, X.; Lv, Z. Improvement of aquaponic performance through micro- and macro-nutrient addition. Environ. Sci. Pollut. Res. 2017, 24, 16328–16335. [Google Scholar] [CrossRef] [PubMed]
  64. Yang, T.; Kim, H.-J. Characterizing nutrient composition and concentration in tomato-, basil-, and lettuce-based aquaponic and hydroponic systems. Water 2020, 12, 1259. [Google Scholar] [CrossRef]
  65. Hepler, P.K. Calcium: A central regulator of plant growth and development. Plant Cell 2005, 17, 2142–2155. [Google Scholar] [CrossRef]
Figure 1. Specified water quality parameters during a 12-wk aquaponic study, which evaluated growth and production of okra grown in two different sub-systems (floating rafts vs. media beds) and planted at two different densities. Values are means of two replicates. Water samples were randomly taken from the sump of the system selected for water sampling.
Figure 1. Specified water quality parameters during a 12-wk aquaponic study, which evaluated growth and production of okra grown in two different sub-systems (floating rafts vs. media beds) and planted at two different densities. Values are means of two replicates. Water samples were randomly taken from the sump of the system selected for water sampling.
Sustainability 18 01784 g001
Figure 2. Okra growth and production during a 12-wk aquaponic study in which okra were evaluated in two different sub-systems (floating rafts vs. media beds) and planted at two different densities. Values are means of three replicates. Bars in the same grouping (Method or Density) with different letters were significantly different (p < 0.05). METHOD: left bar (blue checkerboard) represents values for okra grown in floating rafts; right bar (orange honeycomb) represents values for okra grown in media beds. DENSITY: left bar (red diagonal lines) represents values for okra grown at high density; right bar (purple wavy lines) represents values for okra grown at low density. (A) stem length (cm); (B) stem weight (g); (C) number leaves/plant; (D) leaf weight/plant (g); (E) root length (cm); (F) root weight (g); (G) okra pods/plant; (H) okra pod weight (g); (I) okra pod length (mm).
Figure 2. Okra growth and production during a 12-wk aquaponic study in which okra were evaluated in two different sub-systems (floating rafts vs. media beds) and planted at two different densities. Values are means of three replicates. Bars in the same grouping (Method or Density) with different letters were significantly different (p < 0.05). METHOD: left bar (blue checkerboard) represents values for okra grown in floating rafts; right bar (orange honeycomb) represents values for okra grown in media beds. DENSITY: left bar (red diagonal lines) represents values for okra grown at high density; right bar (purple wavy lines) represents values for okra grown at low density. (A) stem length (cm); (B) stem weight (g); (C) number leaves/plant; (D) leaf weight/plant (g); (E) root length (cm); (F) root weight (g); (G) okra pods/plant; (H) okra pod weight (g); (I) okra pod length (mm).
Sustainability 18 01784 g002aSustainability 18 01784 g002b
Figure 3. Selected mineral composition of okra roots during a 12-wk aquaponic study in which okra were evaluated in two different sub-systems (floating rafts vs. media beds) and planted at two different densities. Values are means of three replicates. Bars in the same grouping (Method or Density) with different letters were significantly different (p < 0.05). METHOD: left bar (blue checkerboard) represents values for okra grown in floating rafts; right bar (orange honeycomb) represents values for okra grown in media beds. DENSITY: left bar (red diagonal lines) represents values for okra grown at high density; right bar (purple wavy lines) represents values for okra grown at low density.
Figure 3. Selected mineral composition of okra roots during a 12-wk aquaponic study in which okra were evaluated in two different sub-systems (floating rafts vs. media beds) and planted at two different densities. Values are means of three replicates. Bars in the same grouping (Method or Density) with different letters were significantly different (p < 0.05). METHOD: left bar (blue checkerboard) represents values for okra grown in floating rafts; right bar (orange honeycomb) represents values for okra grown in media beds. DENSITY: left bar (red diagonal lines) represents values for okra grown at high density; right bar (purple wavy lines) represents values for okra grown at low density.
Sustainability 18 01784 g003aSustainability 18 01784 g003b
Figure 4. Selected mineral composition of okra stems during a 12-wk aquaponic study in which okra were evaluated in two different sub-systems (floating rafts vs. media beds) and planted at two different densities. Values are means of three replicates. Bars in the same grouping (Method or Density) with different letters were significantly different (p < 0.05). METHOD: left bar (blue checkerboard) represents values for okra grown in floating rafts; right bar (orange honeycomb) represents values for okra grown in media beds. DENSITY: left bar (red diagonal lines) represents values for okra grown at high density; right bar (purple wavy lines) represents values for okra grown at low density.
Figure 4. Selected mineral composition of okra stems during a 12-wk aquaponic study in which okra were evaluated in two different sub-systems (floating rafts vs. media beds) and planted at two different densities. Values are means of three replicates. Bars in the same grouping (Method or Density) with different letters were significantly different (p < 0.05). METHOD: left bar (blue checkerboard) represents values for okra grown in floating rafts; right bar (orange honeycomb) represents values for okra grown in media beds. DENSITY: left bar (red diagonal lines) represents values for okra grown at high density; right bar (purple wavy lines) represents values for okra grown at low density.
Sustainability 18 01784 g004aSustainability 18 01784 g004b
Table 1. Okra (plant) growth when grown in an aquaponics system with Nile tilapia (Oreochromis niloticus) for 12 weeks using two plant densities (High vs. Low) and two plant production methods (Floating raft vs. Media bed). Main effects least squares means with different letters are different (p ≤ 0.05).
Table 1. Okra (plant) growth when grown in an aquaponics system with Nile tilapia (Oreochromis niloticus) for 12 weeks using two plant densities (High vs. Low) and two plant production methods (Floating raft vs. Media bed). Main effects least squares means with different letters are different (p ≤ 0.05).
TreatmentsResponse Variable
Stem Length (cm)Stem wt. (g)No. Leaf/PlantLeaf wt./PlantRoot Length (cm)Root wt. (g)
HighRaft78.0 ± 13.667.71 ± 45.298.69 ± 2.7832.58 ± 18.2464.6 ± 5.347.49 ± 21.89
HighMedia222.0 ± 14.1573.84 ± 49.4722.76 ± 3.05176.86 ± 20.0348.6 ± 5.8223.02 ± 24.05
LowRaft64.6 ± 15.949.92 ± 6.828.74 ± 3.7722.07 ± 14.7567.3 ± 7.167.40 ± 29.71
LowMedia184.4 ± 15.9427.09 ± 54.2726.79 ± 3.36166.31 ± 22.0243.4 ± 6.4177.92 ± 26.44
Main effect means
High 150.0 a320.78 a15.72 a104.69 a56.6 a135.25 a
Low 125.0 a238.51 a17.76 a94.19 a55.4 a122.66a
Raft71.3 b58.82 b8.71 b27.30 b66.0 a57.45 b
Media203.7 a500.47 a24.78 a171.59 a46.0 b200.47a
ANOVA Source, Pr > F
Density (D)0.1770.1330.5330.6250.8450.625
Method (M)<0.0001<0.0001<0.0001<0.00010.002<0.0001
D × M0.2280.2100.5430.9980.5230.209
Table 2. Okra (plant) production when grown in an aquaponics system with Nile tilapia (Oreochromis niloticus) for 12 weeks using two plant densities (High vs. Low) and two plant production methods (Floating raft vs. Media bed). Main effects least squares means with different letters are different (p ≤ 0.05).
Table 2. Okra (plant) production when grown in an aquaponics system with Nile tilapia (Oreochromis niloticus) for 12 weeks using two plant densities (High vs. Low) and two plant production methods (Floating raft vs. Media bed). Main effects least squares means with different letters are different (p ≤ 0.05).
Treatments Response Variable
Survival (%)Pods/Plant Okra wt. (g)Okra Length (mm)
HighRaft63.14 ± 17.590.43 ± 0.1724.30 ± 2.81116.0 ± 6.5
HighMedia53.77 ± 18.716.87 ± 2.6628.77 ± 2.81121.7 ± 6.5
LowRaft55.74 ± 19.961.10 ± 0.5227.43 ± 3.17126.1 ± 7.31
LowMedia73.11 ± 16.132.77 ± 1.0725.10 ± 2.81120.3 ± 6.50
Main effect means
High 58.53 a1.71 a26.53 a118.8 a
Low 64.92 a1.74 a26.26 a123.2 a
Raft59.50 a0.69 b25.86 a121.0 a
Media64.01 a4.36 a26.93 a121.0 a
ANOVA Source, Pr > F
Density (D)0.8100.9660.9470.647
Method (M)0.6080.0200.5870.0994
D × M0.1680.1090.1500.250
Table 3. Mineral composition (mg/kg) of okra leaf (base) grown in an aquaponics system with Nile tilapia (Oreochromis niloticus) for 12 weeks using two plant densities (High vs. Low) and two plant production methods (Floating raft vs. Media bed). Main effects least squares means with different letters are different (p ≤ 0.05).
Table 3. Mineral composition (mg/kg) of okra leaf (base) grown in an aquaponics system with Nile tilapia (Oreochromis niloticus) for 12 weeks using two plant densities (High vs. Low) and two plant production methods (Floating raft vs. Media bed). Main effects least squares means with different letters are different (p ≤ 0.05).
TreatmentsResponse Variable
DensityAlCaCuFeKMgMnNaPSZn
HighRaft44.1434,1344.794160.9424,335662247.8255219291328142.04
HighMedia46.9443,6402.491183.1421,321486451.3430719641257130.36
LowRaft43.5135,3503.64681.6825,989594854.362431487139587.17
LowMedia32.7743,5573.38484.0831,192556776.611201954171570.46
Pooled SE5.4339940.42467.19379778113.357423615019.42
Main effect means
High 45.54 a38,887 a3.643 a172.04 a22,828 a5743 a49.58 a429 a1947 a1292 a136.20 a
Low 38.14 a39,454 a3.515 a82.88 a21,321 a5758 a65.48 a182 b1721 a1555 a78.81 b
Raft43.83 a34,742 b2.938 b121.32 a25,162 a6285 a51.09 a398 a1708 a1361 a114.61 a
Media39.86 a43,598 a4.220 a133.62 a26,257 a5216 a63.98 a213 b1959 a1486 a100.41 a
ANOVA Source, Pr > F
Density (D)0.2630.9020.7690.2480.2020.9880.3490.0020.3790.0900.016
Method (M)0.3410.0130.0050.8320.7230.0830.1530.0190.260.4120.376
D × M0.110.8460.0210.8650.190.2580.2950.4130.330.2020.875
Table 4. Mineral composition (mg/kg) of okra leaf (blade) grown in an aquaponics system with Nile tilapia (Oreochromis niloticus) for 12 weeks using two plant densities (High vs. Low) and two plant production methods (Floating raft vs. Media bed). Main effects least squares means with different letters are different (p ≤ 0.05).
Table 4. Mineral composition (mg/kg) of okra leaf (blade) grown in an aquaponics system with Nile tilapia (Oreochromis niloticus) for 12 weeks using two plant densities (High vs. Low) and two plant production methods (Floating raft vs. Media bed). Main effects least squares means with different letters are different (p ≤ 0.05).
TreatmentsResponse Variable
DensityAlCaCuFeKMgMnNaPSZn
HighRaft62.6135,9525.500655717,355500668.3643216741381178.72
HighMedia53.8648,6822.93182.7015,935431566.891961826137695.59
LowRaft65.4731,6444.417116.2020,867507562.663251472138170.09
LowMedia46.6346,6303.900117.4924,640431176.353792018185562.63
Pooled SE13.2850350.6153012287468118.7015621723128.25
Main effect means
High 53.23 a42,317 a4.214 a3320 a16,645 a4661 a67.62 a314 a1750 a1378 a137.16 a
Low 56.05 a39,137 a4.157 a116.84 a22,754 a4693 a69.50 a352 a1745 a1618 a66.36 b
Raft64.04 a33,798 b4.957 a3336 a19,111 a5040 a65.51 a378 a1573 b1381 a124.41 a
Media50.24 a47,056 a3.414 b100.09 a20,287 a4313 a71.62 a287 a1922 a1615 a79.11 a
ANOVA Source, Pr > F
Density (D)0.8790.6150.9270.3170.0820.9690.9400.8300.9850.3920.028
Method (M)0.2720.0010.0180.2700.6040.1230.5360.4930.0090.1930.101
D × M0.6850.7440.1870.2700.2570.9370.4440.2780.1260.1840.168
Table 5. Mineral composition (mg/kg) of okra roots grown in an aquaponics system with Nile tilapia (Oreochromis niloticus) for 12 weeks using two plant densities (High vs. Low) and two plant production methods (Floating raft vs. Media bed). Main effects least squares means with different letters are different (p ≤ 0.05).
Table 5. Mineral composition (mg/kg) of okra roots grown in an aquaponics system with Nile tilapia (Oreochromis niloticus) for 12 weeks using two plant densities (High vs. Low) and two plant production methods (Floating raft vs. Media bed). Main effects least squares means with different letters are different (p ≤ 0.05).
TreatmentsResponse Variable
DensityAlCaCuFeKMgMnNaPSZn
HighRaft644449629.8184416,9196810334589318641286320
HighMedia671412919.6379512,0894538225543115201193181
LowRaft966652142.90111218,31657721312246919961578247
LowMedia971469430.89125020,1024585276224019021507197
Pooled SE1564774.873622004128131345520612838.5
Main effect means
High 658a4313 b24.72 b819 a14,505 b5674 a280 a5662 a1692 a1240 b251 a
Low 969a5607 a36.89 a1182 a19,209 a5178 a794 a2354 b1949 a1543 a222 a
Raft805a5508 a36.36 a978 a17,618 a6291 a823 a4067 a1930 a1432 a284 a
Media821a4412 b25.26 b1023 a16,096 a4562 b251b3950 a1211 a1350 a189 b
ANOVA Source, Pr > F
Density (D)0.0560.0490.0220.3680.0360.7710.2170.0010.2220.0250.459
Method (M)0.9170.0010.0260.8910.4200.0130.0030.6610.2980.5250.020
D × M0.9470.0050.8480.7750.0860.4120.0120.2000.5490.9320.252
Table 6. Mineral composition (mg/kg) of okra stems grown in an aquaponics system with Nile tilapia (Oreochromis niloticus) for 12 weeks using two plant densities (High vs. Low) and two plant production methods (Floating raft vs. Media bed). Main effects least squares means with different letters are different (p ≤ 0.05).
Table 6. Mineral composition (mg/kg) of okra stems grown in an aquaponics system with Nile tilapia (Oreochromis niloticus) for 12 weeks using two plant densities (High vs. Low) and two plant production methods (Floating raft vs. Media bed). Main effects least squares means with different letters are different (p ≤ 0.05).
TreatmentsResponse Variable
DensityAlCaCuFeKMgMnNaPSZn
HighRaft4.6469898.9414.3919,17352104.6279089177881.72
HighMedia4.9654286.7312.55838835373.2138940987644.13
LowRaft7.7281409.2319.7419,768499319.50146686118541.71
LowMedia8.53766615.3316.0120,33858287.0932862388640.54
Pooled SE1.2310723.81.6037388183.7011256.301537.94
Main effect means
High 4.80 b6209 a7.83 a13.47 b13,780 a4373 a3.91 b589 a850 a826 a62.93 a
Low 8.12 a7903 a12.28 a17.88 a20,078 a5411 a13.29 a237 b655 b1035 a41.13 b
Raft6.20 a7565 a9.08 a17.07 a19,470 a5102 a12.06 a468 a788 a981 a61.72 a
Media6.74 a6547 a11.03 a14.28 a14,388 a4682 a5.15 b359 a716 a881 a42.34 b
ANOVA Source, Pr > F
Density (D)0.0240.1310.2900.0110.1310.3120.0490.0090.0040.3270.024
Method (M)0.6050.3580.5920.0970.1600.4850.0160.2900.1660.1820.008
D × M0.8220.6220.2580.5640.1170.0430.0510.0080.8550.0010.013
Table 7. Mineral composition (mg/kg) of okra (fruit) grown in an aquaponics system with Nile tilapia (Oreochromis niloticus) for 12 weeks using two plant densities (High vs. Low) and two plant production methods (Floating raft vs. Media bed). Main effects least squares means with different letters are different (p ≤ 0.05).
Table 7. Mineral composition (mg/kg) of okra (fruit) grown in an aquaponics system with Nile tilapia (Oreochromis niloticus) for 12 weeks using two plant densities (High vs. Low) and two plant production methods (Floating raft vs. Media bed). Main effects least squares means with different letters are different (p ≤ 0.05).
TreatmentsResponse Variable
DensityAlCaCuFeKMgMnNaPSZn
HighRaft8.2558123.8942.4119,019337316.799283340136148.48
HighMedia8.8355163.0559.1615,034369811.317104171136256.35
LowRaft12.3849196.4344.8220,906273615.673662807128341.56
LowMedia13.7763153.3639.4418,54735418.892183176133242.08
Pooled SE3.607881.189.4922563363.33165266794.15
Main effect means
High 8.54 a566 a3.47 a50.79 a17,026 a3535 a14.05 a819 a3756 a1362 a52.41 a
Low 13.08 a5617 a4.90 a42.13 a19,727 a3138 a12.28 a292 b2991 b1308 a41.82 b
Raft10.31 a5366 a5.16 a43.62 a19,962 a3055 a16.23 a647 a3073 b1322 a45.02 a
Media11.30 a5916 a3.21 a49.30 a16,790 b3619a10.10 a464 a3673 a1347 a49.20 a
ANOVA Source, Pr > F
Density (D)0.3390.9540.2520.4260.3680.3230.6410.0250.0170.5120.021
Method (M)0.6750.5040.1200.5250.0340.0670.0590.0510.0230.7590.335
D × M0.8620.3070.3670.2210.5700.4220.8360.6980.3590.7740.397
Table 8. Mineral composition (mg/kg; ±std dev) of media (lava rock) used to grow okra during a 12-week aquaponic study.
Table 8. Mineral composition (mg/kg; ±std dev) of media (lava rock) used to grow okra during a 12-week aquaponic study.
MineralMeanStd Dev
Al4920.332438.04
Ca1735.00477.95
Cu9.831.476
Fe6666.002354.17
K1517.001637.53
Mg1353.33611.44
Mn516.33269.41
Na272.33125.79
P365.6783.58
S54.1027.20
Zn25.838.36
Disclaimer/Publisher’s Note: The statements, opinions and data contained in all publications are solely those of the individual author(s) and contributor(s) and not of MDPI and/or the editor(s). MDPI and/or the editor(s) disclaim responsibility for any injury to people or property resulting from any ideas, methods, instructions or products referred to in the content.

Share and Cite

MDPI and ACS Style

Knuckles, H.; Perera, D.A.; Lochmann, R.; Huskey, G.; Beck, B.H.; Webster, C.D. Effects of Production Method (Flooded Media Bed or Floating Rafts) on Growth, Production, and Mineral Composition of Okra (Abelmoschus esculentus) Grown in a Coupled Aquaponic System with Nile Tilapia (Oreochromis niloticus). Sustainability 2026, 18, 1784. https://doi.org/10.3390/su18041784

AMA Style

Knuckles H, Perera DA, Lochmann R, Huskey G, Beck BH, Webster CD. Effects of Production Method (Flooded Media Bed or Floating Rafts) on Growth, Production, and Mineral Composition of Okra (Abelmoschus esculentus) Grown in a Coupled Aquaponic System with Nile Tilapia (Oreochromis niloticus). Sustainability. 2026; 18(4):1784. https://doi.org/10.3390/su18041784

Chicago/Turabian Style

Knuckles, Hannah, Dayan A. Perera, Rebecca Lochmann, George Huskey, Benjamin H. Beck, and Carl D. Webster. 2026. "Effects of Production Method (Flooded Media Bed or Floating Rafts) on Growth, Production, and Mineral Composition of Okra (Abelmoschus esculentus) Grown in a Coupled Aquaponic System with Nile Tilapia (Oreochromis niloticus)" Sustainability 18, no. 4: 1784. https://doi.org/10.3390/su18041784

APA Style

Knuckles, H., Perera, D. A., Lochmann, R., Huskey, G., Beck, B. H., & Webster, C. D. (2026). Effects of Production Method (Flooded Media Bed or Floating Rafts) on Growth, Production, and Mineral Composition of Okra (Abelmoschus esculentus) Grown in a Coupled Aquaponic System with Nile Tilapia (Oreochromis niloticus). Sustainability, 18(4), 1784. https://doi.org/10.3390/su18041784

Note that from the first issue of 2016, this journal uses article numbers instead of page numbers. See further details here.

Article Metrics

Back to TopTop