Next Article in Journal
Smart City Promises and Environmental Reality: Evidence from Polish Urban Areas
Next Article in Special Issue
From Shocks to Structure: Climate-Related Losses, Fiscal Sustainability, and Risk Governance in Europe
Previous Article in Journal
Sustainable Cross-Platform Reconstruction and Reuse of Semantic-Vertex-Based BIM 3D Objects
Previous Article in Special Issue
The Impact of Market-Oriented Carbon Regulation on the High-Quality Development of the Manufacturing Industry—Based on Double Machine Learning
 
 
Font Type:
Arial Georgia Verdana
Font Size:
Aa Aa Aa
Line Spacing:
Column Width:
Background:
Article

Utility-Based Evaluation of National Climate Policies: A Multi-Criteria Framework for Global Assessment

1
Faculty of Economics and Management, Lesya Ukrainka Volyn National University, Volia Avenue 13, 43025 Lutsk, Ukraine
2
Faculty of Management, AGH University of Krakow, A. Mickiewicza Avenue 30, 30-059 Kraków, Poland
3
Loughborough Business School, Loughborough University, Epinal Way, Loughborough LE11 3TU, UK
4
B.D. Havrylyshyn Educational and Research Institute of International Relations, West Ukrainian National University, Lvivska Street, 11, 46009 Ternopil, Ukraine
5
Department of Management, Academy of Silesia, ul. Rolna 43, 40-555 Katowice, Poland
6
Institute of Administration and Political Science, University College of Professional Education in Wroclaw, Plac Powstancow Slaskich 1, 53-329 Wroclaw, Poland
7
Law Faculty, Lesya Ukrainka Volyn National University, Volia Avenue 13, 43025 Lutsk, Ukraine
*
Authors to whom correspondence should be addressed.
Sustainability 2026, 18(4), 1772; https://doi.org/10.3390/su18041772
Submission received: 17 January 2026 / Revised: 3 February 2026 / Accepted: 4 February 2026 / Published: 9 February 2026
(This article belongs to the Special Issue Effectiveness Evaluation of Sustainable Climate Policies)

Abstract

Evaluating national climate policy performance requires frameworks that integrate multiple dimensions while accommodating diverse development pathways. This study develops a Multi-Attribute Utility Theory (MAUT) framework to construct a Climate Policy Performance Index (CPPI) for 187 countries. The index integrates four dimensions—mitigation, adaptation, economic capacity, and governance—using explicit utility functions and policy-aligned weights derived from climate policy priorities. Results reveal substantial cross-national heterogeneity, with CPPI scores ranging from 33.67 (Turkmenistan) to 78.46 (Norway). Nordic countries lead with balanced excellence across dimensions, while alternative high-performance pathways emerge through mitigation leadership (Uruguay and Costa Rica) or governance–economy strength (Singapore). Regional analysis identifies Europe as the top-performing region, whereas Sub-Saharan Africa achieves unexpectedly high rankings despite low emissions owing to weak institutional capacity. The relationship between income and climate performance is non-monotonic: lower-middle-income countries achieve aggregate scores comparable to those of high-income nations, with near-perfect mitigation performance compensating for weaker governance. Sensitivity analysis shows that ranking robustness is comparable across equal, adaptation-focused, and multiplicative weighting schemes, whereas mitigation-focused weights yield substantially different orderings (ρ = 0.47). The CPPI correlates moderately with ND-GAIN (r = 0.40) and weakly and negatively with CO2 per capita (r = −0.28), indicating that the framework captures distinct aspects of climate policy performance. The proposed methodology advances beyond existing indices by providing axiomatic foundations, transparent utility specifications, and comprehensive sensitivity analysis, offering a theoretically grounded tool for cross-national climate policy evaluation.

1. Introduction

The imperative to address climate change has positioned environmental policy at the forefront of the global governance agenda. Following the Paris Agreement of 2015, nations committed to limiting the rise in global average temperature to well below 2 °C above pre-industrial levels, with the aim of limiting warming to 1.5 °C [1]. Achieving these targets requires coordinated action across multiple policy dimensions, encompassing greenhouse gas mitigation, adaptation to climate impacts, economic transformation, and institutional capacity building [2]. However, evaluating and comparing national climate policy performance presents substantial methodological challenges, as countries pursue diverse pathways shaped by their unique economic structures, resource endowments, and governance capabilities [3].
The multidimensional nature of climate policy defies simple ranking approaches. A country may demonstrate exceptional performance in renewable energy deployment while lagging in emissions reduction or exhibit strong governance frameworks without commensurate adaptation capacity. This complexity necessitates analytical frameworks that integrate heterogeneous criteria, accommodate trade-offs among competing objectives, and provide transparent, theoretically grounded comparisons [4]. Multi-criteria decision analysis (MCDA) methods offer promising approaches to address these challenges, yet their application to cross-national climate policy evaluation remains underdeveloped [5].
This paper develops and applies a Multi-Attribute Utility Theory (MAUT) framework for evaluating national climate policy performance across 187 countries. Drawing on established decision-theoretic foundations [6,7] and leveraging publicly available data from the Global Carbon Project, ND-GAIN Index, and World Bank, the proposed Climate Policy Performance Index (CPPI) integrates four fundamental dimensions: mitigation effectiveness, adaptation capacity, economic readiness, and governance quality. The framework advances beyond existing indices by providing explicit utility functions, axiomatic foundations, and comprehensive sensitivity analysis.
Multi-Attribute Utility Theory emerged from the foundational work of von Neumann and Morgenstern [8] on expected utility and was systematically developed by Keeney and Raiffa [6] in their seminal treatise on decisions with multiple objectives. The theory provides a rigorous framework for constructing preference functions over alternatives characterised by multiple attributes, enabling decision-makers to quantify trade-offs and aggregate diverse criteria into coherent evaluations. Central to MAUT are axioms of preferential independence and utility independence, which permit decomposition of complex multi-attribute utility functions into tractable additive or multiplicative forms [9].
Dyer [10] provides a comprehensive review of MAUT methodology, emphasising the distinction between value functions that measure the strength of preference under certainty and utility functions that capture risk attitudes under uncertainty. The additive utility model, U(x) = Σwᵢuᵢ(xᵢ), remains the most widely applied form, requiring mutual preferential independence among attributes—a condition under which preferences over any subset of attributes are independent of the fixed levels of remaining attributes [6]. When this condition holds, single-attribute utility functions can be assessed independently and aggregated through weighted summation, substantially simplifying practical application.
Applications of MAUT span diverse domains, including infrastructure planning [11], healthcare resource allocation [12], and environmental management [13]. Ananda and Herath [14] applied MAUT to evaluate public risk preferences in forest land-use choices, demonstrating the methodology’s capacity to integrate stakeholder values with technical performance metrics. In the energy sector, MCDA approaches have been extensively employed for technology assessment [15], renewable energy planning [16], and sustainability evaluation [17]. However, the systematic application of MAUT to cross-national comparisons of climate policy remains notably absent from the literature.
Several indices currently assess national climate performance, each with distinct methodological approaches and coverage. The Climate Change Performance Index (CCPI), developed by Germanwatch, the NewClimate Institute, and the Climate Action Network, evaluates 63 countries and the European Union across four categories: greenhouse gas emissions (40%), renewable energy (20%), energy use (20%), and climate policy (20%) [18]. Published annually since 2005, the CCPI combines quantitative indicators from the International Energy Agency and UNFCCC with qualitative expert assessments of national climate policies. Notably, no country has achieved the highest performance category, with Denmark consistently ranking fourth (the highest occupied position) in recent editions [19].
The Notre Dame Global Adaptation Initiative (ND-GAIN) Country Index takes a complementary approach, measuring climate vulnerability and adaptation readiness across 185 countries [20]. Vulnerability assessment encompasses six life-supporting sectors—food, water, health, ecosystem services, human habitat, and infrastructure—while readiness captures the economic, governance, and social dimensions that enable investment in adaptation [21]. The ND-GAIN methodology employs 45 indicators aggregated through simple averaging, providing comprehensive coverage but lacking explicit preference modelling or trade-off analysis.
Additional frameworks include the Environmental Performance Index (EPI) from Yale and Columbia Universities, which tracks environmental health and ecosystem vitality across 180 countries [22], and the Low Carbon Economy Index from PwC, which focuses specifically on the decarbonisation progress of G20 nations [23]. While these indices provide valuable comparative information, they share common methodological limitations, including reliance on ad hoc weighting schemes without theoretical justification, absence of explicit utility or preference modelling, limited sensitivity analysis, and restricted country coverage (particularly the CCPI’s focus on major emitters only).
Multi-criteria decision analysis has gained substantial traction in sustainability assessment, though applications predominantly focus on project or technology evaluation rather than cross-national comparison. Estévez et al. [24] reviewed MCDA applications in renewable energy, identifying the analytic hierarchy process (AHP) as the most frequently employed method, used in nearly 50% of studies that incorporate social criteria. Løken [25] surveys decision analysis approaches in energy planning, noting the growing use of outranking methods (ELECTRE and PROMETHEE) alongside value-based techniques for accommodating incommensurable criteria.
Recent applications demonstrate MCDA’s utility for sustainability assessment at various scales. Wulf et al. [26] developed the tool, implementing multiple MCDA methods for energy technology sustainability assessment, emphasising the need for transparent criteria weighting and sensitivity analysis. Davidsdottir et al. [27] combined systems dynamics modelling with MCDA and stakeholder engagement for Icelandic energy transition planning, illustrating the methodology’s potential for integrating diverse sustainability themes. Shmelev and Rodríguez-Labajos [28] applied MCDA to evaluate sustainable development indicators across European cities, though without the explicit utility-theoretic foundations that characterise MAUT.
In the context of climate policy evaluation, Konidari and Mavrakis [29] proposed a multi-criteria framework for assessing climate change mitigation policy instruments, applying AHP to weight environmental effectiveness, economic efficiency, and political feasibility. Roumasset and colleagues [30] developed a social welfare approach to climate adaptation investment prioritisation, incorporating economic efficiency alongside equity considerations. However, these applications typically address policy instrument selection within individual countries rather than systematic cross-national performance comparison.
Despite substantial progress in both MAUT methodology and climate performance assessment, a significant gap exists at their intersection. Existing climate indices lack the theoretical rigour of utility-based frameworks and rely on ad hoc weighting schemes without axiomatic justification or explicit preference modelling. Conversely, MAUT applications in sustainability remain confined to project-level analysis, with no systematic application to cross-national climate policy evaluation. Furthermore, the integration of adaptation capacity and governance quality with mitigation performance remains underdeveloped in existing frameworks.
This paper addresses these gaps through three principal contributions. First, we develop a comprehensive MAUT framework explicitly designed for climate policy evaluation, providing axiomatic foundations, specified utility functions, and transparent aggregation procedures. Second, we construct the Climate Policy Performance Index (CPPI) covering 187 countries—substantially expanding coverage beyond the 63-country CCPI—by leveraging open-source data from established repositories. Third, we conduct extensive sensitivity analysis across alternative weighting schemes, utility function specifications, and aggregation methods, demonstrating the robustness and limitations of the proposed framework.

2. Methodology

2.1. Data

This study integrates multiple open-access datasets to construct a comprehensive framework for evaluating national climate policies across mitigation and adaptation dimensions. The final sample comprises 187 countries with complete data for the core multi-attribute utility analysis, covering approximately 98% of global CO2 emissions and 96% of the world population.
Emissions and climate data. Carbon dioxide and greenhouse gas emissions data were obtained from the Global Carbon Budget 2024 [31]. This dataset provides internationally comparable emissions estimates based on territorial production, including CO2 from fossil fuel combustion and cement production, methane (CH4), and nitrous oxide (N2O) emissions. The emissions data cover the period of 1990–2023, with 2023 values used for the cross-sectional analysis.
Energy system indicators. Energy consumption and renewable energy deployment data were sourced from the Energy Institute Statistical Review of World Energy 2024, which is also available via Our World in Data. Key indicators include the share of renewable energy in total primary energy consumption, the degree of dependence on fossil fuels, and the carbon intensity of electricity generation. The most recent complete data are for 2022, covering 77 countries and providing comprehensive energy statistics. For countries without renewable energy data, the Mitigation dimension (D1) was calculated using CO2 per capita alone, with the within-dimension weight reallocated proportionally to the available indicator. No imputation was performed.
Climate adaptation and vulnerability. The Notre Dame Global Adaptation Initiative (ND-GAIN) Country Index provides standardised measures of climate vulnerability and adaptation readiness from 1995 to 2023 [20]. The ND-GAIN framework integrates 45 indicators across six vulnerability sectors (food, water, health, ecosystem services, human habitat, and infrastructure) and three readiness dimensions (economic, governance, and social). We used the 2023 index release.
Economic indicators. Gross domestic product (GDP) in current US dollars and population data were obtained from the World Bank’s World Development Indicators, with 2022 values used to calculate GDP per capita and to classify income groups according to World Bank thresholds.
Table 1 presents the key variables employed in the multi-attribute utility analysis, organised by evaluation dimension.
Table 2 presents descriptive statistics for the key variables included in the analysis. The sample exhibits substantial heterogeneity across all dimensions, reflecting the diverse economic development levels and climate policy approaches of the countries examined.
Per capita CO2 emissions range from 0.06 tonnes in Burundi to 40.13 tonnes in Qatar, with a mean of 4.61 tonnes. The share of renewable energy ranges from near zero in several oil-exporting economies to 82% in Iceland. The ND-GAIN Index spans from 24.99 (Chad) to 76.79 (Norway), indicating substantial variation in climate adaptation capacity across countries.
Table 3 presents mean values by World Bank income classification, revealing systematic patterns in climate policy performance across development levels.
High-income countries exhibit significantly higher per capita emissions (7.64 t) but also demonstrate greater adaptation capacity (ND-GAIN = 58.57) and lower vulnerability (0.35). Conversely, low-income countries show minimal emissions (0.12 t per capita) but face the highest vulnerability scores (0.56), highlighting the climate justice dimension of the policy evaluation framework.
Regional analysis (Table 4) reveals that Europe has the highest average ND-GAIN score (60.83) and substantial renewable energy deployment (22.09%), whereas Sub-Saharan Africa exhibits the lowest adaptation capacity (38.17) despite minimal per capita emissions (0.87 t).
Table 5 presents the correlation matrix for the key variables, which informs the independence assumptions underlying the additive multi-attribute utility function.
The strong positive correlation between CO2 per capita and GDP per capita (r = 0.73) reflects the emissions–development nexus, while the moderate negative correlation between CO2 emissions and vulnerability (r = −0.45) indicates that higher-emitting countries generally possess greater adaptive capacity. The strong correlations among the ND-GAIN Index, readiness, and GDP per capita (r > 0.80) suggest that economic development remains a primary determinant of adaptation capacity, thereby motivating the inclusion of GDP-adjusted utility specifications in the sensitivity analysis.
Several limitations should be acknowledged. First, the renewable energy data coverage is limited to 77 countries, potentially introducing selection bias toward larger and more developed economies. The final sample of 187 countries represents the intersection of territories with complete data across the ND-GAIN Index, Global Carbon Project, and World Bank databases, covering approximately 96% of UN Member States.
Second, the use of territorial emissions does not account for consumption-based emissions embedded in international trade. Third, the ND-GAIN vulnerability assessments are based on exposure and sensitivity indicators that may not fully capture country-specific climate risks. Fourth, the cross-sectional design does not account for dynamic policy trajectories Future research should extend this framework to panel data analysis. Despite these limitations, the integrated dataset provides the most comprehensive openly available foundation for multi-criteria evaluation of national climate policies.

2.2. Theoretical Framework

This study employs Multi-Attribute Utility Theory (MAUT) to develop a comprehensive index for evaluating the performance of national climate policy. MAUT provides a rigorous axiomatic foundation for aggregating multiple, potentially conflicting criteria into a single measure of overall utility [6,32]. The approach is particularly suited for climate policy evaluation, where decision-makers must balance mitigation efforts, adaptation investments, economic costs, and social equity considerations.
The fundamental premise of MAUT is that an overall utility function U(x) can be decomposed into component utility functions for individual attributes, provided certain independence conditions are satisfied. For a decision alternative characterised by n attributes (x1, x2, …, xₙ), the overall utility is expressed as follows:
U x 1 , x 2 , , x n = f u 1 x 1 , u 2 x 2 , , u n x n
where uᵢ(xᵢ) represents the single-attribute utility function for attribute i, scaled to the [0, 1] interval.

2.2.1. Attribute Hierarchy

Following the structure of climate policy evaluation frameworks [2], we organise the assessment into a three-level hierarchy (detailed workflow presented on Figure 1):
  • Level 1: Overall Climate Policy Performance Index (CPPI)
  • Level 2: Four evaluation dimensions—D1: Mitigation performance—D2: Adaptation capacity—D3: Economic efficiency—D4: Governance quality
  • Level 3: Specific indicators (attributes)
Table 6 presents the complete attribute hierarchy with corresponding variables.

2.2.2. Single-Attribute Utility Functions

For each attribute, we specify a utility function uᵢ(xᵢ) that maps raw indicator values to the normalised utility scale [0, 1]. Following the multi-criteria decision analysis (MCDA) methodological approach [33,34], we employ both linear and nonlinear functional forms, depending on the attributes’ characteristics.

2.2.3. Linear Utility Functions

For attributes exhibiting approximately constant marginal utility across the observed range, we apply linear normalisation:
For attributes where higher values are preferred (+ direction):
u i x i = x i x i m i n x i m a x x i m i n
For attributes where lower values are preferred (− direction):
u i x i = x i m a x x i x i m a x x i m i n
where x i m i n and x i m a x represent the minimum and maximum observed values across all countries in the sample.

2.2.4. Nonlinear Utility Functions

For certain attributes, theoretical considerations suggest diminishing marginal utility. Following the functional forms established in utility theory [35], we specify exponential utility functions for emissions-related attributes:
u i x i = 1 e α x i m a x x i 1 e α x i m a x x i m i n
where α > 0 is the risk aversion parameter controlling the degree of curvature. Higher values of α imply stronger diminishing marginal utility, reflecting the principle that initial emissions reductions yield greater utility gains than equivalent reductions at already low levels.
For the CO2 per capita attribute, we calibrate α based on the assumption that reducing emissions from 10 to 5 tonnes per capita yields approximately 1.5 times the utility gain of reducing from 5 to 0 tonnes. This yields α ≈ 0.15.

2.2.5. Logarithmic Transformation for GDP

For GDP per capita, we apply a logarithmic transformation prior to linear scaling, consistent with the established relationship between income and well-being [34]:
u G D P x = l n x l n x m i n l n x m a x l n x m i n
This specification implies that proportional increases in income yield constant utility gains, regardless of the initial income level.

2.2.6. Aggregation Model

Under the assumption of mutual preferential independence among attributes [6], we employ the additive aggregation model:
U x = j = 1 4 w j D j x
where:
D j x = i I j w j i u j i x j i
and U(x) is the overall Climate Policy Performance Index for country x, wⱼ is the weight assigned to dimension j (∑wⱼ = 1), Dⱼ(x) is the dimension-level score, wⱼᵢ is the weight of attribute i within dimension j (∑wⱼᵢ = 1 for each j), and uⱼᵢ(xⱼᵢ) is the utility value for attribute i of dimension j.
The additive form assumes that trade-offs between dimensions are constant across all performance levels—i.e., a unit improvement in mitigation has the same value regardless of adaptation performance. We test this assumption through sensitivity analysis with a multiplicative specification.

2.2.7. Weight Elicitation

Determining appropriate weights is a critical challenge in multi-criteria evaluation. We employ three complementary approaches to ensure robustness:
As a baseline specification, we assign equal weights across all dimensions and attributes:
w j = 1 4 = 0.25 for   all   j
w j i = 1 I j for   all   i I j
Equal weighting provides a transparent benchmark and avoids imposing subjective value judgments on the relative importance of climate policy dimensions.
Based on the structure of the Paris Agreement and UNFCCC framework, which emphasises both mitigation and adaptation while recognising common but differentiated responsibilities, we specify policy-aligned weights (Table 7). The weights reflect the relative emphasis placed on each dimension in international climate policy frameworks, with mitigation receiving the highest weight, consistent with the Paris Agreement’s primary focus on emissions reduction.

2.2.8. Analytic Hierarchy Process (AHP)

For the robustness analysis, we derive weights using the analytic hierarchy process [36]. AHP structures weight elicitation as a series of pairwise comparisons, with consistency checks to ensure a coherent preference ordering.
The pairwise comparison matrix A for the four dimensions is constructed based on the relative policy emphasis in international climate frameworks, particularly the Paris Agreement and UNFCCC architecture:
A = 1 a 12 a 13 a 14 1 / a 12 1 a 23 a 24 1 / a 13 1 / a 23 1 a 34 1 / a 14 1 / a 24 1 / a 34 1
Weights are obtained as the normalised principal eigenvector of A, with consistency verified through the consistency ratio (CR < 0.10).

2.2.9. Handling Missing Data

Given the incomplete coverage of certain indicators (particularly renewable energy share), we implement the following approach:
  • Core analysis: Conducted on the subset of 77 countries with complete data across all attributes.
  • Extended analysis: For countries with missing renewable energy data, we estimate dimension scores using available attributes and adjust weights proportionally:
    D 1 a d j x = i I 1 o b s w 1 i u 1 i x 1 i i I 1 o b s w 1 i
    where I 1 o b s denotes the set of observed attributes for dimension 1.
  • Imputation sensitivity: Future research could examine robustness using multiple imputations by region and income group.

2.2.10. Sensitivity and Robustness Analysis

To assess the stability of country rankings, we conduct a comprehensive sensitivity analysis.
We systematically vary dimension weights within ±50% of baseline values and compute the rank correlation (Spearman’s ρ) between baseline and perturbed rankings, as follows:
ρ = 1 6 d i 2 n n 2 1
where dᵢ is the difference in ranks for country i.
We compare results across three utility function specifications: linear normalisation (baseline); exponential (risk-averse) specification; and power function: u x = x γ , with γ ∈ {0.5, 1, 2}.
As an alternative to the additive model, we test a multiplicative specification that penalises unbalanced performance:
U m u l t x = j = 1 4 D j x w j
This formulation implies that zero performance on any dimension yields zero overall utility, reflecting a non-compensatory perspective on climate policy evaluation.

2.2.11. Comparison with Existing Indices

To validate the proposed index, we compare country rankings with established climate performance measures:
  • Climate Change Performance Index (CCPI): Produced by Germanwatch, the NewClimate Institute, and the Climate Action Network, covering 63 countries.
  • ND-GAIN Index: The adaptation-focused index that serves as input to our framework.
  • Environmental Performance Index (EPI): Yale University’s biennial assessment of environmental health and ecosystem vitality.
We compute rank correlations and identify systematic differences to assess the value-added of the MAUT-based approach.
All analyses were conducted using Python 3.11 with the following packages: pandas (data manipulation), NumPy (numerical computation), SciPy (optimisation and statistical tests), and Matplotlib and seaborn (visualisation). The complete analytical code and data are available upon reasonable request from the corresponding author.

3. Results

3.1. Overview of CPPI Scores

The Climate Policy Performance Index (CPPI) was calculated for 187 countries using the policy-aligned weighting scheme (w1 = 0.35, w2 = 0.30, w3 = 0.15, and w4 = 0.20). The index ranges from 0 to 100, with higher values indicating better climate policy performance across the dimensions of mitigation, adaptation, economic capacity, and governance. Detailed calculation procedures and worked examples are provided in Appendix B.
Table 8 presents the descriptive statistics for the CPPI and its component dimension scores. The mean CPPI of 55.86 (SD = 8.03) indicates moderate overall performance, with substantial cross-national variation ranging from 33.67 (Turkmenistan) to 78.46 (Norway). Among the four dimensions, mitigation (D1) exhibits the highest mean (0.757) but also the greatest variability (SD = 0.248), reflecting the wide dispersion of per capita emissions across countries. Governance (D4) shows the lowest mean (0.373), indicating that institutional quality represents a binding constraint for many nations. Sensitivity analysis excluding the economic dimension (D3) yields a Spearman’s rank correlation of ρ = 0.886 with baseline rankings, indicating that the overall country ordering is robust to potential multicollinearity concerns (see Appendix C).
Figure 2 displays the distribution of CPPI scores across the sample. The distribution is approximately normal with slight negative skewness (−0.24), indicating a modest concentration of countries in the upper-middle performance range. The median (56.62) exceeds the mean (55.86), consistent with the negative skew. The interquartile range is 50.82–61.23, with most countries clustered within one standard deviation of the mean.

3.2. Country Rankings

Table 9 presents the top 15 countries ranked by CPPI under policy-aligned weights. Norway leads the global ranking with a CPPI of 78.46, followed by Sweden (74.02), Denmark (73.59), and Iceland (73.38). The complete rankings for all 187 countries are provided in Appendix B. Nordic countries dominate the top positions, collectively achieving the highest scores through balanced excellence across all four dimensions rather than exceptional performance in any single area.
Norway’s score exceeds the 20th-ranked country (Costa Rica, 65.89) by more than 12 points, indicating substantial differentiation even within the top decile.
The dimension-level analysis reveals diverse pathways to high aggregate performance. Figure 3 presents the dimension scores for the top 10 countries, illustrating distinct performance profiles. Norway achieves the highest overall score through balanced excellence, with particularly strong economic capacity (D3 = 0.958) and governance (D4 = 0.897). By contrast, Uruguay (rank 8) and Georgia (rank 6) achieve top-10 positions primarily through exceptional mitigation performance (D1 > 0.92), compensating for moderate governance scores.
Table 10 presents the 20 lowest-ranked countries. Turkmenistan ranks last (CPPI = 33.67), followed by Trinidad and Tobago (34.38), Qatar (36.88), and Bangladesh (37.35). The lowest performers fall into two distinct categories. First, fossil fuel-dependent economies (Qatar, Kuwait, Trinidad and Tobago, and Bahrain) exhibit near-zero mitigation scores due to extremely high per capita emissions (exceeding 20 tonnes CO2), despite strong economic indicators. Second, countries facing governance deficits (Turkmenistan, Venezuela, and Bangladesh) perform poorly across multiple dimensions, reflecting systemic institutional weaknesses.

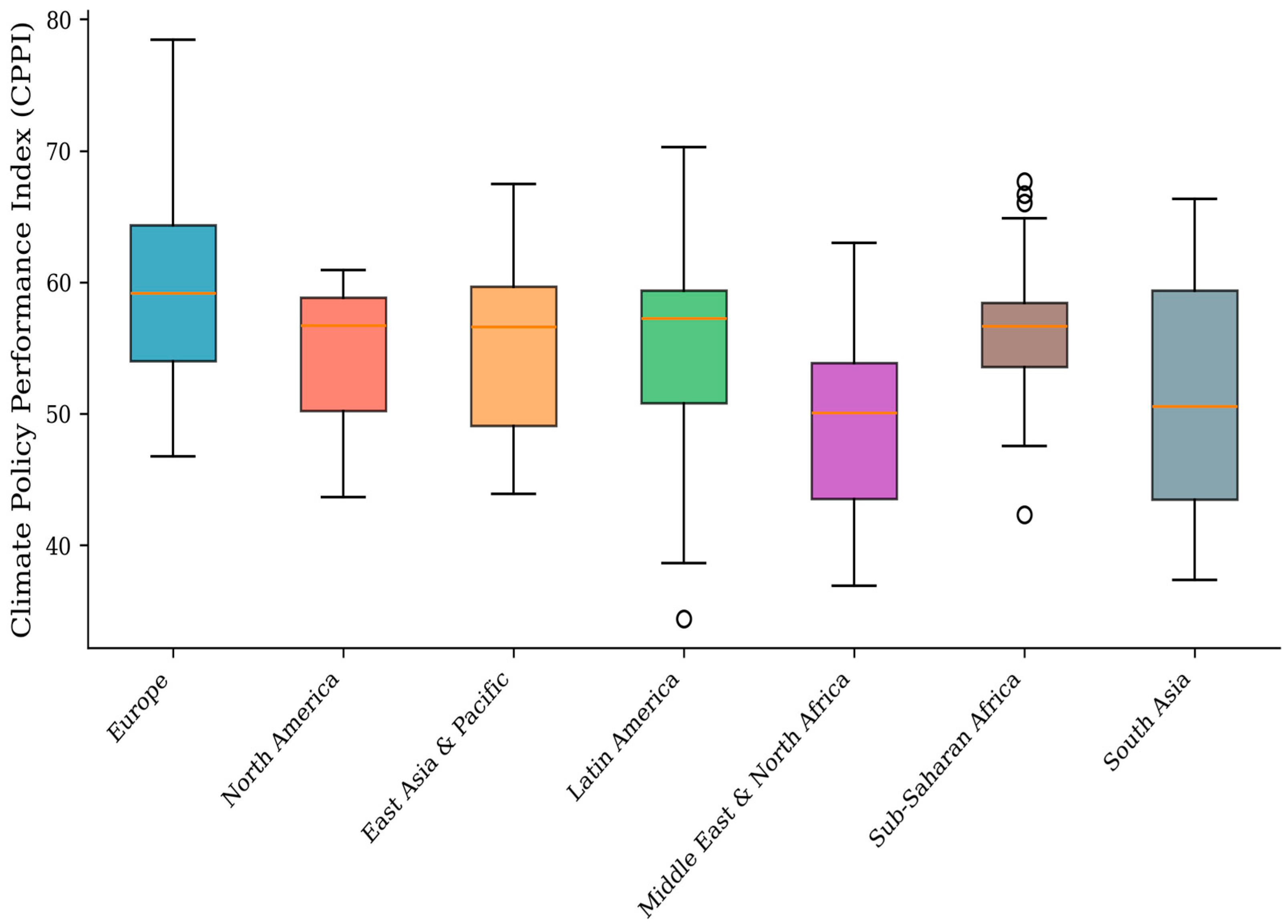
3.3. Regional Analysis

Figure 4 displays the distribution of CPPI scores across eight world regions. Table 11 provides the corresponding summary statistics. Europe leads with the highest mean CPPI (59.92, SD = 7.72), driven primarily by strong governance (D4 = 0.601) and adaptation capacity (D2 = 0.547). The regional breakdown by country is provided in Appendix B.
Sub-Saharan Africa achieves the third-highest regional mean (56.56), despite having the lowest economic (D3 = 0.315) and governance (D4 = 0.222) scores. This counterintuitive result reflects exceptionally high mitigation performance (D1 = 0.971), attributable to low per capita emissions rather than deliberate climate policy. The Middle East and North Africa (MENA) region ranks lowest (CPPI = 49.12), primarily due to weak mitigation performance (D1 = 0.538) in fossil fuel-exporting economies. Regional leaders are Europe—Norway (78.46), East Asia & Pacific—New Zealand (67.48), Sub-Saharan Africa—Mauritius (67.67), Latin America & Caribbean—Uruguay (70.26), South Asia—Bhutan (66.32); North America—Canada (60.91), and MENA—Tunisia (63.01).
To visualize cross-national heterogeneity in climate policy outcomes, Figure 5 presents the geographical distribution of CPPI scores across all 187 countries.

3.4. Income Group Analysis

The relationship between national income and climate performance is examined through two complementary analyses. Figure 6 presents a scatter plot of CPPI against per capita CO2 emissions, with countries coloured by region. The weak negative correlation (r = −0.275) indicates that the multidimensional CPPI framework partially decouples climate performance from emissions intensity, as strong governance and adaptation capacity can compensate for moderate emissions levels.
Figure 7 compares CPPI performance across World Bank income classifications. Panel A shows the distribution of overall scores, while Panel B presents mean dimension scores by income group.
The relationship between income and CPPI is non-monotonic: high-income countries achieve the highest mean CPPI (57.09) through strong adaptation, economic, and governance capacity but face lower mitigation scores due to higher emissions. Lower-middle-income countries achieve comparable aggregate performance (56.05) through near-perfect mitigation scores (D1 = 0.988) that compensate for weaker institutional dimensions.

3.5. Dimension Profiles and Performance Archetypes

Figure 8 presents radar plots depicting the dimension profiles for the top five countries, enabling visual comparison of performance configurations. The analysis reveals three distinct archetypes among high-performing nations.
(1)
Balanced performers (Norway, Denmark, and Finland): These countries achieve high scores across all four dimensions, reflecting comprehensive climate policy frameworks supported by strong institutions and economic resources. Norway exemplifies this archetype with no dimension score below 0.65.
(2)
Mitigation leaders (Uruguay and Costa Rica): These countries achieve exceptional mitigation performance (D1 > 0.90) through low emissions and high renewable energy penetration, compensating for moderate governance and economic capacity scores.
(3)
Governance-economy leaders (Singapore): Despite moderate mitigation scores (D1 = 0.393), Singapore achieves a top-20 ranking through exceptional governance (D4 = 0.926) and economic capacity (D3 = 0.955), demonstrating an alternative pathway to climate policy effectiveness.

3.6. Sensitivity Analysis

To assess the sensitivity of rankings to weighting assumptions, the CPPI was recalculated under four alternative schemes: equal weights, mitigation-focused, adaptation-focused, and multiplicative aggregation. Table 11 presents the weight specifications and resulting CPPI statistics. Detailed sensitivity results are provided in Appendix B.
Figure 9 displays the Spearman’s rank correlation matrix between weighting schemes. Rankings demonstrate moderate to high stability across most specifications. The policy-aligned scheme correlates strongly with equal weights (ρ = 0.838), adaptation-focused (ρ = 0.961), and multiplicative aggregation (ρ = 0.874). However, the mitigation-focused scheme exhibits notably weaker correlations with other approaches (ρ = 0.467 vs. equal weights), indicating that extreme emphasis on emissions reduction produces substantially different country orderings.
Figure 10 examines the relationship between CPPI and the ND-GAIN Climate Adaptation Index. The moderate positive correlation (r = 0.398, p < 0.001) indicates that CPPI captures related but distinct aspects of climate policy performance. Countries positioned above the regression line (e.g., Uruguay and Costa Rica) achieve higher CPPI rankings than their ND-GAIN scores would predict, primarily through strong mitigation performance. Conversely, countries below the line (e.g., Singapore and Australia) exhibit greater adaptation readiness relative to their overall CPPI rankings.
Table 12 presents the correlations between CPPI and key input indicators. The weak negative correlation with CO2 per capita (r = −0.275) reflects the balancing effect of the multidimensional framework, whereby high emissions can be partially offset by strong performance in adaptation and governance dimensions. The moderate positive correlation with GDP per capita (r = 0.178) indicates that economic resources facilitate, but do not guarantee, strong climate performance.
Table 13 presents the CPPI rankings for EU-27 member states. The Nordic countries (Sweden, Denmark, and Finland) dominate the EU ranking, achieving top-10 global positions. Central and Eastern European members generally rank lower, reflecting ongoing transitions in energy systems and governance structures. The EU-27 mean CPPI is 58.12 (SD = 6.94), significantly above the global average of 55.86 (independent samples t-test: t = 2.18, p = 0.031), indicating the region’s relative leadership in climate policy performance. The within-EU coefficient of variation (11.9%) indicates moderate heterogeneity despite common policy frameworks.
In summary, the CPPI results reveal substantial heterogeneity in national climate policy performance across 187 countries. Nordic nations consistently lead through balanced excellence across all dimensions, while alternative high-performance pathways exist through mitigation leadership or strong governance–economy profiles. The sensitivity analysis confirms that rankings are reasonably robust across weighting schemes, with the notable exception of mitigation-focused weights, which yield substantially different orderings. These findings provide an empirical foundation for the policy discussion that follows.

4. Discussion

4.1. Summary of Key Findings

This study developed and applied a Multi-Attribute Utility Theory framework to evaluate the performance of national climate policies across 187 countries. The resulting Climate Policy Performance Index (CPPI) integrates four dimensions—mitigation, adaptation, economic capacity, and governance—providing a theoretically grounded alternative to existing ad hoc indices. Several key findings emerge from the analysis.
First, Norway emerges as the global leader (CPPI = 78.46), followed by Sweden, Denmark, and Iceland. These Nordic countries achieve high scores by balancing excellence across four dimensions: moderate-to-low emissions, strong deployment of renewable energy, robust adaptation capacity, and high-quality governance institutions. This finding contrasts with indices that focus solely on emissions, in which low-income countries with minimal industrial activity often rank highest despite limited institutional capacity for sustained climate action.
Second, the analysis reveals distinct performance archetypes among high-ranking countries. Norway and Denmark exemplify the ‘balanced performer’ archetype with consistently high scores across dimensions. Uruguay represents the ‘mitigation leader’ pathway, achieving exceptional D1 scores (0.945) through low emissions and high renewable penetration, compensating for moderate governance capacity. Singapore illustrates an alternative ‘governance–economy’ pathway, where world-class institutions (D4 = 0.926) and economic readiness (D3 = 0.955) offset weaker mitigation performance (D1 = 0.393). These diverse pathways underscore that climate policy success admits multiple configurations, challenging one-size-fits-all policy prescriptions.
Third, the bottom of the ranking reveals two distinct failure modes. Fossil fuel-dependent economies (Qatar, Kuwait, and Trinidad and Tobago) exhibit near-zero mitigation scores despite strong economic indicators, whereas countries facing governance deficits (Turkmenistan and Venezuela) perform poorly across multiple dimensions. This bifurcation suggests that remedial strategies must be tailored to specific national circumstances—emissions reduction for petrostates versus institutional strengthening for governance-challenged countries.

4.2. Comparison with Existing Climate Indices

The CPPI both converges with and diverges from established indices in instructive ways. Compared with the Climate Change Performance Index (CCPI), our framework identifies Nordic countries as leaders but yields notably different rankings for several country groups. The CCPI’s exclusive focus on major emitters (63 countries) excludes many small island states and low-income countries that perform well under CPPI’s broader coverage. Moreover, the CCPI deliberately leaves its top three positions vacant to signal that no country meets the Paris Agreement targets—a normative stance that our utility-theoretic approach does not impose.
The moderate correlation between CPPI and ND-GAIN (r = 0.398) indicates that these indices capture related but distinct constructs. ND-GAIN emphasises vulnerability and adaptation readiness without explicit mitigation assessment, while CPPI integrates both dimensions. Countries with high ND-GAIN scores but moderate CPPI rankings (e.g., Singapore and Australia) typically exhibit strong adaptation capacity, but this capacity is undermined by high emissions. Conversely, low-emission developing countries (Rwanda and Bhutan) achieve higher CPPI rankings than their ND-GAIN positions would suggest, reflecting the credit CPPI assigns to mitigation performance.
A critical methodological distinction concerns the transparency of weighting. Existing indices typically employ fixed, expert-determined weights without systematic sensitivity analysis. The CPPI framework explicitly models weight uncertainty through four alternative schemes (equal, policy-aligned, mitigation-focused, and adaptation-focused) and multiplicative aggregation. The high rank correlations among most schemes (ρ > 0.83) provide reassurance that rankings are reasonably robust, while the lower correlation with mitigation-focused weights (ρ = 0.47 vs. equal) reveals the substantive impact of normative choices regarding dimension priority.

4.3. Regional Patterns and the Development–Climate Nexus

The regional analysis reveals a nuanced relationship between development status and climate performance. Europe leads with the highest mean CPPI (59.92), driven primarily by strong governance and adaptation capacity rather than emissions performance alone. Sub-Saharan Africa achieves the third-highest regional mean (56.56) through exceptional mitigation scores (D1 = 0.971) that compensate for weaker institutional dimensions—a pattern reflecting low per capita emissions rather than deliberate climate policy success. This finding cautions against interpreting high mitigation scores in low-income contexts as policy achievements, as they often reflect development deficits rather than climate leadership.
The Middle East and North Africa region ranks lowest (CPPI = 49.12), primarily due to weak mitigation performance in fossil fuel-exporting economies. This regional pattern aligns with broader research on the relationship between resource dependence and climate policy ambition. The ‘resource curse’ literature suggests that hydrocarbon wealth creates structural barriers to decarbonization through vested interests, Dutch disease effects, and reduced incentives for economic diversification [37]. Our findings provide empirical support for this hypothesis at the national level.
The non-monotonic relationship between income and CPPI merits particular attention. High-income countries achieve the highest mean score (57.09) but exhibit substantial internal variation, with Qatar and Kuwait among the lowest performers globally. Lower-middle-income countries achieve comparable aggregate performance (56.05) through fundamentally different dimension profiles. This finding challenges simplistic narratives that frame climate action as a luxury of wealthy nations, as institutional quality and policy commitment appear at least as important as economic resources in determining climate performance.

4.4. European Union Performance and Policy Coherence

The EU-27 analysis reveals considerable internal heterogeneity despite common policy frameworks. Nordic members (Sweden, Denmark, and Finland) occupy top-10 positions globally, whereas Central and Eastern European members cluster in the middle ranks. This variation persists despite uniform exposure to EU climate directives, suggesting that supranational policy frameworks interact with national institutional capacity to produce divergent outcomes. Recent research on EU decarbonisation pathways confirms this heterogeneity, identifying distinct national trajectories shaped by energy system path dependencies and governance effectiveness [38].
The EU-27 mean CPPI of 58.12 significantly exceeds the global average (55.86), confirming the region’s relative climate leadership. However, the within-EU standard deviation (6.94) indicates that this aggregate performance masks substantial variation across member states. Bulgaria and Hungary score below 51, while Nordic leaders exceed 71—a 20-point gap within a nominally integrated policy space. This dispersion has implications for EU climate governance, suggesting that uniform targets may impose disproportionate burdens on lower-capacity members while leaving higher-capacity members insufficiently challenged.
The dimension-level analysis reveals that EU performance advantages are concentrated in governance (D4) and adaptation (D2) rather than in mitigation (D1). Several EU member states exhibit moderate mitigation scores despite strong institutional frameworks, reflecting continued reliance on fossil fuels in their national energy mixes. Research on EU energy transitions indicates that policy discourse often outpaces actual decarbonisation progress, with rhetorical commitments exceeding observed emission reductions [39]. The CPPI results corroborate this discourse–action gap, identifying countries where strong governance has not yet translated into proportionate emissions performance.

4.5. Policy Implications

The CPPI framework yields several policy-relevant insights. First, the identification of multiple high-performance pathways suggests that effective climate policy need not follow a single template. Countries with limited governance capacity but favourable renewable resources (e.g., Uruguay and Costa Rica) can achieve strong aggregate performance through mitigation excellence, whereas governance-strong countries can leverage institutional quality to offset historical emissions burdens. This finding supports differentiated national strategies within common global targets.
Second, the sensitivity analysis reveals that weight selection substantively affects country rankings, particularly for nations with unbalanced dimension profiles. Policymakers should recognise that index rankings reflect implicit value judgments about the relative importance of mitigation versus adaptation, current performance versus institutional capacity. The CPPI framework makes these trade-offs explicit, enabling informed interpretation rather than treating rankings as objective facts.
Third, the contribution of the governance dimension to aggregate performance underscores the importance of institutional quality for climate outcomes. Countries cannot purchase climate performance through wealth alone, as effective governance translates resources into policy implementation. This finding aligns with research demonstrating that governance quality mediates the relationship between economic capacity and development outcomes [40]. Climate policy interventions should therefore attend to institutional strengthening alongside technical measures.
Fourth, the framework’s global coverage (187 countries) enables assessment of nations excluded from major emitter-focused indices. Small island developing states, low-income African nations, and post-Soviet states are systematically evaluated, revealing both unexpected leaders (Barbados, Georgia, and Armenia) and underperformers (Turkmenistan) that escape scrutiny in narrower indices. This expanded coverage supports more equitable global climate governance by including all parties to international agreements.
Fifth, the CPPI offers practical applications for international climate governance. For the UNFCCC Global Stocktake process, the index provides a standardised methodology for assessing collective progress across mitigation, adaptation, and means of implementation—the three pillars of the Paris Agreement. National governments can use the framework for benchmarking against peer countries, identifying dimension-specific gaps, and prioritise policy interventions. The transparent weighting structure enables policymakers to adjust priorities according to national circumstances whilst maintaining cross-national comparability.

4.6. Limitations

Several limitations warrant acknowledgement. First, the framework relies exclusively on publicly available data, constraining indicator selection to variables with broad country coverage. Important climate policy dimensions—including policy implementation quality, climate finance flows, and technological innovation capacity—lack consistent cross-national measurement and therefore remain unrepresented. The renewable energy indicator, available for only 77 countries with complete data, particularly limits the comprehensiveness of the mitigation dimension. More broadly, whilst the CPPI provides a useful comparative framework, comprehensive policy evaluation requires complementary analysis of implementation processes, political economy factors, and equity dimensions that lie beyond the scope of outcome-based indices.
Second, the additive utility model assumes preferential independence among dimensions—a condition under which preferences over one attribute can be assessed independently of the levels of other attributes. This is distinct from statistical independence: high correlations among indicators (e.g., ND-GAIN readiness and GDP per capita, r ≈ 0.8) do not violate MAUT assumptions, although they may lead to implicit overweighting of correlated constructs. Our sensitivity analysis excluding D3 (ρ = 0.886) indicates that this concern does not substantially affect rankings. Countries achieving high scores through compensation (high mitigation offsetting weak governance) may represent fundamentally different policy configurations than balanced performers. The multiplicative aggregation variant partially addresses this concern by penalising unbalanced profiles, but more sophisticated interaction modelling could more accurately capture dimension complementarities.
Third, the weight elicitation procedures remain normatively contested. While we present four alternative schemes and conduct extensive sensitivity analysis, the ‘correct’ weights ultimately depend on value judgments about climate policy priorities. Stakeholder-based weight elicitation through the analytic hierarchy process or swing weighting could enhance legitimacy but would introduce additional complexity and potential inconsistency.
Fourth, the min–max normalisation approach is sensitive to extreme values. Outliers such as Qatar’s exceptionally high per capita emissions (40.13 tonnes CO2) compress the scale for the majority of countries clustered at lower emission levels, potentially reducing discrimination in the middle of the distribution. Nonlinear utility functions partially mitigate this concern, but alternative normalisation methods (z-scores and percentile ranks) could be explored in future research.
Fifth, the cross-sectional design captures a single temporal snapshot, precluding assessment of performance trajectories or policy effectiveness over time. Countries undertaking ambitious but recent reforms may score poorly on current indicators despite promising trends. A longitudinal extension of the CPPI framework could address this limitation, although data availability constraints may require the use of shorter time series for some indicators.
Sixth, consumption-based emissions accounting—which allocates emissions to final consumers rather than territorial producers—might yield substantially different mitigation rankings for trade-intensive economies. Countries that have outsourced emissions-intensive production while maintaining high consumption levels may appear stronger under territorial accounting than their true climate footprint warrants. Data limitations preclude consumption-based analysis at present, although this remains an important direction for methodological refinement.

5. Conclusions

This paper developed a Multi-Attribute Utility Theory framework for evaluating national climate policy performance and applied it to construct the Climate Policy Performance Index covering 187 countries. The CPPI integrates four dimensions—mitigation, adaptation, economic capacity, and governance—using explicit utility functions and transparent aggregation procedures grounded in established decision theory. Key findings include: (1) Nordic countries lead global rankings through balanced excellence across dimensions; (2) multiple high-performance pathways exist, with countries achieving strong aggregate scores through different dimension configurations; (3) the development–climate relationship is non-monotonic, with institutional quality mediating economic resources’ translation into climate outcomes; and (4) rankings demonstrate reasonable robustness across alternative weighting schemes, though mitigation-focused weights produce substantially different orderings.
The principal methodological contribution is demonstrating that formal utility theory can be productively applied to cross-national climate policy evaluation, thereby providing axiomatic foundations missing from existing indices. By making weighting choices explicit and conducting systematic sensitivity analysis, the framework enables transparent interpretation of rankings as value-laden constructions rather than objective facts. The expanded country coverage (187 versus 63 in CCPI) includes nations previously excluded from major assessments, thereby supporting more equitable global climate governance. In sum, the CPPI advances both the science and practice of climate policy assessment: methodologically, by grounding composite index construction in formal decision theory, and practically, by providing policymakers with a transparent, comprehensive tool for benchmarking national performance and identifying targeted areas for improvement.
A longitudinal extension would enable trajectory analysis, distinguishing improving from deteriorating performers and identifying countries achieving rapid progress. By calculating the CPPI annually using consistent methodology, the framework could track whether the global community is collectively advancing toward Paris Agreement targets, which dimensions are improving fastest, and which countries serve as models of accelerated climate action. Such dynamic application would complement the UNFCCC Global Stocktake by providing continuous rather than periodic assessment. Consumption-based emissions accounting could address the limitations of territorial accounting in trade-intensive economies. Stakeholder-based weight elicitation would enhance normative legitimacy. Finally, integration with scenario modelling could support forward-looking assessments of policy pathways consistent with the Paris Agreement targets. The CPPI framework provides a foundation for these extensions, contributing to the broader agenda of evidence-based global climate governance.

Author Contributions

Conceptualization O.P., O.L., K.P., K.J., Z.P., O.D., Y.V. and N.K.; methodology O.P., O.L., K.P., K.J., Z.P., O.D., Y.V. and N.K.; software O.P., O.L., K.P., K.J., Z.P., O.D., Y.V. and N.K.; validation O.P., O.L., K.P., K.J., Z.P., O.D., Y.V. and N.K.; formal analysis O.P., O.L., K.P., K.J., Z.P., O.D., Y.V. and N.K.; investigation O.P., O.L., K.P., K.J., Z.P., O.D., Y.V. and N.K.; resources O.P., O.L., K.P., K.J., Z.P., O.D., Y.V. and N.K.; data curation O.L., K.P. and O.P.; writing—original draft preparation O.P., O.L., K.P., K.J., Z.P., O.D., Y.V. and N.K.; writing—review and editing O.L., K.P. and O.P.; visualization K.J., Z.P., O.D., Y.V. and N.K.; supervision O.L., K.P. and O.P.; project administration O.L. and K.P.; funding acquisition O.P., K.J., Z.P., Y.V. and N.K. All authors have read and agreed to the published version of the manuscript.

Funding

This work was supported by a subsidy from the Ministry of Education and Science for the AGH University of Kraków.

Institutional Review Board Statement

Not applicable.

Informed Consent Statement

Not applicable.

Data Availability Statement

The data used in this study are publicly available from the following sources: (1) Global Carbon Project (GCP) territorial CO2 emissions data are available at https://www.globalcarbonproject.org/ (accessed on 15 October 2025); (2) ND-GAIN Country Index data on climate vulnerability and readiness are available at https://gain.nd.edu/our-work/country-index/download-data/ (accessed on 15 October 2025); (3) World Bank Development Indicators on GDP per capita and population are available at https://databank.worldbank.org/source/world-development-indicators (accessed on 15 October 2025); (4) Energy Institute Statistical Review of World Energy data on renewable energy shares are available at https://www.energyinst.org/statistical-review (accessed on 15 October 2025). The compiled dataset and calculation spreadsheet supporting the findings of this study are available from the corresponding author upon reasonable request.

Conflicts of Interest

The authors declare no conflict of interest.

Appendix A. Mathematical Foundations

Appendix A.1. Axiomatic Basis of Multi-Attribute Utility Theory

The construction of a multi-attribute utility function rests on several fundamental axioms [6,8].
Axiom A1 (Completeness).
For any two alternatives x and y, either x ≥ y, y ≥ x, or both (indifference).
Axiom A2 (Transitivity).
If x ≥ y and y ≥ z, then x ≥ z.
Axiom A3 (Continuity).
If x > y > z, there exists a probability p ∈ (0, 1) such that y ~ px + (1 − p)z.
Axiom A4 (Independence).
If x ≥ y, then for any z and any p ∈ (0, 1): px + (1 − p)z ≥ py + (1 − p)z.
Under these axioms, there exists a utility function U: X → ℝ such that x ≥ y if and only if U(x) ≥ U(y).

Appendix A.2. Preferential Independence Conditions

For the additive decomposition of multi-attribute utility, we require mutual preferential independence.
Definition A1 (Preferential Independence).
Attribute set Y is preferentially independent of attribute set Z if preferences over outcomes that differ only in Y do not depend on the levels of attributes in Z.
Definition A2 (Mutual Preferential Independence).
Attributes {X1, X2, …, Xₙ} are mutually preferentially independent if every subset Y is preferentially independent of its complement.
Theorem A1.
If attributes {X1, X2, …, Xₙ} are mutually preferentially independent and n ≥ 3, then the utility function has the additive form:
U x 1 , x 2 , , x n = i = 1 n k i u i x i
where i = 1 n k i = 1 and each u i is scaled such that u i x i * = 0 and u i x i 0 = 1 for worst ( x i * ) and best ( x i 0 ) levels.
Proof. 
See [6], Theorem 5.1.□

Appendix A.3. Single-Attribute Utility Function Specifications

Appendix A.3.1. Linear Utility Function

For an attribute x i with range x i m i n , x i m a x , the linear utility function is:
u i x i = x i x i m i n x i m a x x i m i n
Properties A1:
u i x i m i n = 0 ; u i x i m a x = 1 ; u i x i = 1 x i m a x x i m i n = c o n s t  (constant marginal utility).
For attributes where lower values are preferred (e.g., CO2 emissions):
u i x i = x i m a x x i x i m a x x i m i n = 1 x i x i m i n x i m a x x i m i n

Appendix A.3.2. Exponential Utility Function

The exponential utility function captures risk aversion and diminishing marginal utility:
u i x i = 1 e α x i x i m i n 1 e α x i m a x x i m i n
where α > 0 is the risk aversion coefficient.
Derivation A1.
Starting from the constant absolute risk aversion (CARA) assumption:
r x = u x u x = α = c o n s t
This differential equation has the general solution:
u x = a b e α x
Applying boundary conditions u x m i n = 0 and u x m a x = 1 :
a = 1 1 e α x m a x x m i n , b = e α x m i n 1 e α x m a x x m i n
Properties A2:
u i x i m i n = 0 , u i x i m a x = 1 u i x i = α e α x i x i m i n 1 e α x i m a x x i m i n > 0  (monotonically increasing) 2 u i x i 2 = α 2 e α x i x i m i n 1 e α x i m a x x i m i n < 0 (strictly concave).
Parameter Calibration A1.
The risk aversion parameter α is calibrated using the midpoint certainty equivalent. Let x m i d = x m i n + x m a x 2  . If the decision-maker’s certainty equivalent for a 50–50 lottery between  x m i n  and  x m a x  is  x C E , then:
u x C E = 0.5 u x m i n + 0.5 u x m a x = 0.5
Solving for α:
α = 1 x C E x m i n l n 2 1 + e α x m a x x m i n
For CO2 per capita with range [0, 40] t/capita, assuming x C E = 12 t/capita (i.e., the decision-maker values emission reduction more at higher levels), the numerical solution yields α ≈ 0.08.

Appendix A.3.3. Inverse Exponential for “Lower Is Better” Attributes

For attributes where lower values are preferred (emissions and vulnerability):
u i x i = 1 e α x i m a x x i 1 e α x i m a x x i m i n
This ensures: u i x i m i n = 1 (best outcome); u i x i m a x = 0 (worst outcome); diminishing marginal gains from further reduction at low levels.

Appendix A.3.4. Logarithmic Utility Function

For GDP per capita, the logarithmic specification reflects Bernoulli’s hypothesis of diminishing marginal utility of wealth:
u G D P x = l n x l n x m i n l n x m a x l n x m i n = l n x / x m i n l n x m a x / x m i n
Properties A3:
Coefficient of relative risk aversion:  R x = x u x u x = 1  (constant)—Equal proportional income increases yield equal utility gains— u x = 1 x l n x m a x / x m i n   (decreasing in x).

Appendix A.4. Aggregation Functions

Appendix A.4.1. Additive Aggregation

The additive multi-attribute utility function:
U x = j = 1 m w j D j x = j = 1 m w j i I j w j i u j i x j i
subject to:
j = 1 m w j = 1 , w j 0 j
i I j w j i = 1 , w j i 0 i I j , j
Expanded form for our four-dimension model:
U x = w 1 D 1 x + w 2 D 2 x + w 3 D 3 x + w 4 D 4 x
where:
D 1 x = w 11 u 11 C O 2 / c a p + w 12 u 12 R E N + w 13 u 13 C I
D 2 x = w 21 u 21 V U L + w 22 u 22 R E A D + w 23 u 23 A C
D 3 x = w 31 u 31 G D P / c a p + w 32 u 32 E C O N
D 4 x = w 41 u 41 G O V + w 42 u 42 S O C

Appendix A.4.2. Multiplicative Aggregation

When mutual utility independence holds but additive independence does not, the multiplicative form applies:
1 + K U x = i = 1 n 1 + K k i u i x i
where K is a scaling constant satisfying:
1 + K = i = 1 n 1 + K k i
Special Cases A1:
If k i = 1 : K = 0, reduces to additive form; if  k i > 1 : K < 0, substitutes (subadditive); and if  k i < 1 : K > 0, complements (superadditive).
For computational convenience, when K ≠ 0, we can express:
U x = 1 K i = 1 n 1 + K k i u i x i 1

Appendix A.4.3. Weighted Geometric Mean

An alternative multiplicative specification using the weighted geometric mean:
U g e o m x = j = 1 m D j x w j
where w j = 1 .
Properties A4:
Non-compensatory: zero on any dimension yields zero overall. Bounded: 0 U g e o m 1 if all D j 0 , 1 . Penalises imbalance: for fixed sum D j , maximum when all D j equal.

Appendix A.5. Weight Derivation via Analytic Hierarchy Process

Appendix A.5.1. Pairwise Comparison Matrix

For m dimensions, construct the m × m pairwise comparison matrix A:
A = a j k , a j k = w j w k
where a j k represents the relative importance of dimension j compared to dimension k, using Saaty’s 1–9 scale.
Properties A5:
a j j = 1  (diagonal elements) a j k = 1 / a k j  (reciprocity) a j k a k l = a j l  (consistency, holds for perfectly consistent judgments).

Appendix A.5.2. Weight Calculation

Weights are computed as the normalized principal eigenvector of A:
A w = λ m a x w ,
where λ m a x is the largest eigenvalue.
Normalised weights: w j = v j k = 1 m v k , where v = v 1 , , v m T is the principal eigenvector.
Approximation method (geometric mean): w j k = 1 m a j k 1 / m l = 1 m k = 1 m a l k 1 / m .

Appendix A.5.3. Consistency Verification

The Consistency Index (CI):
C I = λ m a x m m 1 .
The Consistency Ratio (CR):
C R = C I R I
where RI is the Random Index (average CI for random matrices):
Decision Rule: 
CR < 0.10 indicates acceptable consistency.

Appendix A.6. Sensitivity Analysis Framework

Appendix A.6.1. Weight Perturbation

Let w 0 = w 1 0 , , w m 0 be the baseline weights. Perturbed weights:
w j δ = w j 0 + δ j , j = 1 m δ j = 0
For single-dimension sensitivity, vary w j while proportionally adjusting others:
w k δ = w k 0 1 w j δ 1 w j 0 for   k j

Appendix A.6.2. Rank Stability Measure

For N countries, let r i 0 and r i δ denote the baseline and perturbed ranks for country i, respectively.
Spearman’s rank correlation:
ρ s = 1 6 i = 1 N r i 0 r i δ 2 N N 2 1
Kendall’s tau:
τ = concordant   pairs discordant   pairs N 2

Appendix A.6.3. Critical Weight Ranges

For each dimension j, compute the range w j L , w j U such that the top-k ranking remains unchanged:
w j L = i n f { w j :   Top- k   ranking   unchanged }
w j U = s u p { w j :   Top- k   ranking   unchanged }

Appendix A.7. Time-Dependent Utility Extension

For dynamic analysis of climate policy trajectories, we extend the static model to incorporate temporal discounting.

Appendix A.7.1. Discounted Utility Framework

Let u x t , t denote the utility of outcome x t occurring at time t:
u x t , t = ϕ t u x t
where ϕ t is the discount function with ϕ 0 = 1 and ϕ t < 0 .
Exponential discounting:
ϕ t = e ρ t
where ρ > 0 is the constant discount rate.
Hyperbolic discounting:
ϕ t = 1 1 + κ t
where κ > 0 governs the degree of present bias.

Appendix A.7.2. Intertemporal Utility Aggregation

For a policy trajectory { x t } t = 0 T :
V { x t } = 0 T ϕ t U x t d t
Discrete approximation:
V { x t } t = 0 T ϕ t U x t Δ t .
This extension enables a comparison of policy trajectories rather than single-period snapshots, addressing the dynamic nature of climate policy evaluation.

Appendix B

Appendix B.1. Data Processing and Variable Construction

Appendix B.1.1. Raw Data Sources

The analysis draws on four primary data sources:
  • Global Carbon Project (2024): Territorial CO2 emissions from fossil fuels and land use change. Downloaded from https://robbieandrew.github.io/GCB2024/ (accessed on 3 November 2025).
  • Energy Institute Statistical Review (2024): Energy consumption by source and renewable energy shares. Accessed via Our World in Data.
  • ND-GAIN Country Index (2024): Climate vulnerability and readiness indicators for 192 countries, 1995–2023. Downloaded from https://gain.nd.edu (accessed on 3 November 2025).
  • World Bank Development Indicators: GDP per capita (current USD) and population for 2022.

Appendix B.1.2. Sample Construction

Initial sample: 218 countries with CO2 data (2023). After merging ND-GAIN: 187 countries. After merging GDP data: 161 countries. Complete energy data: 77 countries.
Table A1. Variable definitions and data sources.
Table A1. Variable definitions and data sources.
VariableDefinitionSourceDirection
co2_per_capitaCO2 emissions per person (tonnes)GCP 2024Lower better
renewables_shareRenewable energy % of primary energyEnergy Inst.Higher better
vulnerabilityND-GAIN vulnerability scoreND-GAINLower better
readinessND-GAIN readiness scoreND-GAINHigher better
gdp_per_capitaGDP per capita (USD)World BankHigher better

Appendix B.2. Utility Function Calculations

Appendix B.2.1. Attribute Ranges

Table A2. Observed ranges for utility function normalisation.
Table A2. Observed ranges for utility function normalisation.
AttributeMinimumMaximumUnit
CO2 per capita0.05640.128tonnes
Renewables share0.000100.000percent
Vulnerability0.2510.640index
Readiness0.1160.804index
GDP per capita670.38128,152.77USD

Appendix B.2.2. Utility Function Formulas

Linear utility (positive direction): u x = x     x m i n x m a x   x m i n
Linear utility (negative direction): u x = x m a x   x x m a x   x m i n
Exponential utility (α = 0.08): u x = 1   exp α x m a x   x 1   exp α x m a x   x m i n
Logarithmic utility: u x = ln x ln x m i n ln x m a x ln x m i n

Appendix B.2.3. Sample Calculation: Norway

Input values: CO2 per capita = 7.043 t
Renewables share = 66.74%
Vulnerability = 0.307
Readiness = 0.804
Adaptive capacity = 0.811
GDP per capita = $82,655.24
  • Step 1—Single-attribute utilities:
u(CO2) = (40.128 − 7.043)/40.072 = 0.826
u(Renewables) = 66.74/100 = 0.667
u(Vulnerability) = (0.640 − 0.307)/0.389 = 0.856
u(Readiness) = 1.000
u(GDP) = [ln(82655) − ln(670)]/[ln(128153) − ln(670)] = 0.917
  • Step 2—Dimension scores:
D1 = 0.5 × 0.826 + 0.5 × 0.667 = 0.747; D2 = 0.33 × 0.856 + 0.33 × 1.000 + 0.34 × 0.932 = 0.929
D3 = 0.959
D4 = 0.902
  • Step 3—CPPI (Policy weights):
CPPI = 100 × (0.35 × D1 + 0.30 × D2 + 0.15 × D3 + 0.20 × D4) = 78.46

Appendix B.3. Summary Statistics

Table A3. Utility value statistics (N = 187).
Table A3. Utility value statistics (N = 187).
UtilityMeanSDMinMax
u(CO2) linear0.8940.1390.0000.999
u(CO2) exponential0.9720.0850.0401.000
u(Vulnerability)0.5330.2380.0001.000
u(Readiness)0.4110.2220.0001.000
u(GDP) log0.5180.2330.0001.000

Appendix B.4. Sensitivity Analysis Details

Table A4. CPPI statistics under alternative weighting schemes.
Table A4. CPPI statistics under alternative weighting schemes.
Schemew(D1)w(D2)w(D3)w(D4)MeanSD
Equal0.250.250.250.2553.129.03
Policy0.350.300.150.2055.868.03
Mitigation0.500.250.100.1560.1110.35
Adaptation0.250.500.100.1553.616.95
Table A5. Spearman’s rank correlations.
Table A5. Spearman’s rank correlations.
EqualPolicyMitigationAdaptation
Equal1.0000.8380.4670.922
Policy0.8381.0000.8350.961
Mitigation0.4670.8351.0000.699
Adaptation0.9220.9610.6991.000

Appendix B.5. Regional Summary

Table A6. Regional CPPI statistics.
Table A6. Regional CPPI statistics.
RegionNCPPI MeanCPPI SDD1D2D3D4
Europe3959.927.720.5980.5470.6940.601
Other2757.2411.190.8290.4750.6120.379
Sub-Saharan Africa4856.564.810.9710.4390.3150.222
East Asia and Pacific1955.627.010.6360.5070.6370.448
Latin America2454.677.970.8170.4560.4600.267
North America353.758.990.4510.5360.7050.564
South Asia851.0410.260.7500.4210.3740.300
MENA1949.127.360.5380.4850.6040.333
Figure A1. Utility function specifications. (A) Linear vs. exponential utility for CO2 per capita. (B) Linear vs. logarithmic utility for GDP per capita. (C) Distribution of dimension scores across all countries.
Figure A1. Utility function specifications. (A) Linear vs. exponential utility for CO2 per capita. (B) Linear vs. logarithmic utility for GDP per capita. (C) Distribution of dimension scores across all countries.
Sustainability 18 01772 g0a1
Table A7. Climate Policy Performance Index (CPPI) scores and dimension scores for 171 countries with complete data, ranked by CPPI under policy-aligned weights (D1 = 0.35, D2 = 0.30, D3 = 0.15, D4 = 0.20).
Table A7. Climate Policy Performance Index (CPPI) scores and dimension scores for 171 countries with complete data, ranked by CPPI under policy-aligned weights (D1 = 0.35, D2 = 0.30, D3 = 0.15, D4 = 0.20).
RankCountryRegionIncome GroupCPPID1D2D3D4
1NorwayEuropeHigh income78.460.7610.6500.9580.897
2SwedenEuropeHigh income74.020.7190.6390.8190.870
3DenmarkEuropeHigh income73.590.6440.6390.8880.927
4IcelandEuropeHigh income73.380.7980.5970.8420.745
5BarbadosOtherUpper middle income71.360.8850.5550.5220.795
6GeorgiaOtherHigh income71.140.9230.5770.7900.483
7FinlandEuropeHigh income71.060.6040.6320.8070.943
8UruguayLatin AmericaHigh income70.260.9450.5510.5890.591
9GrenadaOtherUnknown69.750.9240.5720.620
10SwitzerlandEuropeHigh income69.170.6110.6300.8270.824
11ArmeniaOtherUpper middle income68.260.9380.5550.6840.426
12MauritiusSub-Saharan AfricaHigh income67.670.9120.5200.7600.439
13New ZealandEast Asia & PacificHigh income67.480.6410.5890.8570.725
14FijiEast Asia & PacificUnknown66.860.9640.5100.498
15Cape VerdeSub-Saharan AfricaUpper middle income66.700.9740.5440.5200.425
16BhutanSouth AsiaUnknown66.320.9500.5080.499
17AustriaEuropeHigh income66.090.5990.6010.7490.795
18SeychellesSub-Saharan AfricaHigh income66.020.8760.5150.6360.518
19Costa RicaLatin AmericaHigh income65.600.9600.5060.5600.421
20BotswanaSub-Saharan AfricaHigh income64.870.9280.5590.5800.345
21MaltaEuropeHigh income64.870.9190.4750.6470.438
22SingaporeEast Asia & PacificHigh income64.710.3930.6030.9550.926
23GermanyEuropeHigh income64.350.5150.5980.7610.849
24United KingdomEuropeHigh income64.320.5400.6010.8160.757
25MontenegroEuropeHigh income64.310.9070.5060.6140.410
26MoldovaEuropeUpper middle income64.230.9580.5060.4980.402
27AlbaniaEuropeUpper middle income63.320.9620.4850.4960.383
28TunisiaMiddle East & North AfricaUpper middle income63.010.9360.4980.5960.318
29SamoaOtherUnknown62.860.9740.4820.323
30RwandaSub-Saharan AfricaLower middle income62.470.9980.4720.4430.337
31JordanMiddle East & North AfricaUpper middle income62.010.9510.4730.4710.373
32FranceEuropeHigh income61.980.5190.5740.7500.768
33SerbiaEuropeHigh income61.150.8430.5080.5610.398
34Sao Tome and PrincipeSub-Saharan AfricaLower middle income61.130.9860.4430.3220.425
35NamibiaSub-Saharan AfricaUpper middle income61.020.9720.4850.4480.286
36CanadaNorth AmericaHigh income60.910.4750.5970.7630.747
37NetherlandsEuropeHigh income60.660.4920.5220.7850.800
38CubaLatin AmericaUpper middle income60.590.9480.4560.295
39AustraliaEast Asia & PacificHigh income60.160.3860.6160.8380.781
40KyrgyzstanOtherUpper middle income60.000.9620.4760.4830.240
41JamaicaLatin AmericaUpper middle income59.830.9310.4610.4830.309
42NepalSouth AsiaLower middle income59.760.9860.4740.3840.263
43North KoreaEast Asia & PacificLower middle income59.760.9430.4420.284
44LuxembourgEuropeHigh income59.700.4280.5920.7750.768
45TogoSub-Saharan AfricaLower middle income59.650.9940.5030.3380.235
46Antigua and BarbudaOtherUnknown59.640.8300.5010.386
47SenegalSub-Saharan AfricaLower middle income59.580.9820.4570.2860.360
48South KoreaEast Asia & PacificHigh income59.570.3800.5760.8380.820
49EstoniaEuropeHigh income59.470.4870.6130.7730.622
50TongaOtherUnknown59.450.9670.3560.355
51PanamaLatin AmericaHigh income59.430.9290.4500.5580.254
52El SalvadorLatin AmericaUpper middle income59.430.9670.4610.4510.249
53VanuatuOtherUnknown59.420.9870.3960.258
54BelizeLatin AmericaUnknown59.330.9550.4390.245
55JapanEast Asia & PacificHigh income59.330.4570.5320.7820.781
56LatviaEuropeHigh income59.290.5900.5570.7270.550
57MaldivesSouth AsiaUnknown59.220.8970.4010.398
58BeninSub-Saharan AfricaLower middle income59.150.9910.4600.2870.318
59Dominican RepublicLatin AmericaHigh income59.030.9310.4540.4700.287
60IrelandEuropeHigh income59.020.5170.5520.7810.633
61GhanaSub-Saharan AfricaLower middle income58.900.9870.4470.3630.276
62ParaguayLatin AmericaUpper middle income58.690.9740.4530.4990.177
63PortugalEuropeHigh income58.500.5990.5140.7070.574
64Cote d’IvoireSub-Saharan AfricaLower middle income58.400.9900.4640.3550.225
65SloveniaEuropeHigh income58.330.5100.5670.6910.656
66Papua New GuineaEast Asia & PacificUnknown58.210.9810.4340.150
67GuyanaLatin AmericaUnknown58.010.8690.4700.283
68ChileLatin AmericaHigh income58.000.5820.5590.6770.535
69MauritaniaSub-Saharan AfricaLower middle income57.950.9760.4420.4090.219
70DjiboutiSub-Saharan AfricaLower middle income57.900.9890.4600.3870.183
71SurinameLatin AmericaUnknown57.830.8880.4510.269
72EthiopiaSub-Saharan AfricaLower middle income57.660.9980.4530.3050.228
73Bosnia and HerzegovinaEuropeHigh income57.650.8460.4840.4680.325
74Burkina FasoSub-Saharan AfricaLower middle income57.630.9950.4790.2310.249
75LithuaniaEuropeHigh income57.590.5180.5720.7790.531
76GabonSub-Saharan AfricaHigh income57.460.9480.4610.3860.233
77GambiaSub-Saharan AfricaLower middle income57.320.9940.4450.2620.262
78EswatiniSub-Saharan AfricaUpper middle income57.320.9810.4300.3950.210
79TajikistanOtherUpper middle income57.310.9770.4380.4310.176
80TanzaniaSub-Saharan AfricaLower middle income57.170.9940.4380.2940.243
81NigerSub-Saharan AfricaLow income57.080.9980.4230.2350.295
82BelgiumEuropeHigh income57.050.4630.5550.7050.682
83GuineaSub-Saharan AfricaLower middle income56.980.9950.4520.2630.234
84United StatesNorth AmericaHigh income56.670.3760.5620.8110.723
85AngolaSub-Saharan AfricaLower middle income56.650.9870.4540.3130.190
86BoliviaLatin AmericaUpper middle income56.620.9510.4620.3770.190
87MongoliaEast Asia & PacificUpper middle income56.610.6800.5600.5930.356
88ZambiaSub-Saharan AfricaLower middle income56.590.9870.4210.4020.168
89LaosEast Asia & PacificUpper middle income56.580.9230.4660.4220.199
90NigeriaSub-Saharan AfricaUpper middle income56.160.9870.4560.3430.139
91MaliSub-Saharan AfricaLower middle income55.980.9940.4350.2080.250
92LesothoSub-Saharan AfricaLower middle income55.970.9740.4650.3050.167
93CameroonSub-Saharan AfricaLower middle income55.940.9930.4530.2330.206
94GuatemalaLatin AmericaUpper middle income55.790.9740.4020.4580.139
95Sierra LeoneSub-Saharan AfricaLower middle income55.780.9970.4250.1870.266
96LebanonMiddle East & North AfricaUpper middle income55.570.9340.4270.4030.201
97MyanmarEast Asia & PacificUpper middle income55.540.9870.4070.3670.164
98KenyaSub-Saharan AfricaLower middle income55.510.9920.4090.3530.162
99EritreaSub-Saharan AfricaUnknown55.470.9960.3940.047
100SpainEuropeHigh income55.110.5490.5030.6830.527
101SudanSub-Saharan AfricaUnknown54.940.9930.3420.105
102ItalyEuropeHigh income54.770.5150.4930.6230.631
103CambodiaEast Asia & PacificLower middle income54.730.9710.4340.2790.178
104ChinaEast Asia & PacificHigh income54.680.4700.5440.6940.575
105YemenMiddle East & North AfricaLower middle income54.240.9950.4400.3060.082
106CzechiaEuropeHigh income54.200.4420.5770.6510.583
107MalawiSub-Saharan AfricaLower middle income54.070.9990.4200.2110.167
108GreeceEuropeHigh income53.900.5310.4820.6240.573
109LibyaMiddle East & North AfricaUpper middle income53.860.7820.5000.5660.150
110IsraelMiddle East & North AfricaHigh income53.840.4530.5250.6600.617
111PolandEuropeHigh income53.790.4560.5510.6570.572
112NicaraguaLatin AmericaUpper middle income53.720.9820.3910.3520.118
113MadagascarSub-Saharan AfricaLower middle income53.550.9980.4290.1930.143
114CroatiaEuropeHigh income53.470.5670.4970.6180.472
115MozambiqueSub-Saharan AfricaLow income53.410.9950.4250.2000.142
116ComorosSub-Saharan AfricaLower middle income53.310.9850.3780.3150.138
117Guinea-BissauSub-Saharan AfricaLower middle income53.300.9980.3800.2090.192
118UgandaSub-Saharan AfricaLower middle income53.280.9980.3900.2780.123
119HondurasLatin AmericaUpper middle income53.270.9720.4030.3240.115
120TurkeyMiddle East & North AfricaHigh income52.990.5210.5140.6540.476
121LiberiaSub-Saharan AfricaLow income52.930.9980.3980.1260.209
122AfghanistanSouth AsiaLower middle income52.740.9950.3520.1740.237
123CongoSub-Saharan AfricaLower middle income52.620.9680.4070.2260.156
124SyriaMiddle East & North AfricaLower middle income52.150.9680.3890.2590.135
125HaitiLatin AmericaLower middle income51.780.9950.4140.2130.067
126CyprusEuropeHigh income51.770.4730.5290.6610.471
127BurundiSub-Saharan AfricaLow income51.751.0000.3960.1830.106
128SlovakiaEuropeHigh income51.220.4790.5140.6430.468
129BrazilLatin AmericaHigh income51.080.7100.4440.4680.293
130North MacedoniaEuropeHigh income50.930.5160.5430.6500.341
131HungaryEuropeHigh income50.820.4940.4940.6340.461
132Saudi ArabiaMiddle East & North AfricaHigh income50.270.2470.6090.8620.521
133United Arab EmiratesMiddle East & North AfricaHigh income50.030.2610.5700.9030.513
134ColombiaLatin AmericaHigh income49.850.6210.4800.5240.294
135MalaysiaEast Asia & PacificHigh income49.780.4420.5210.7280.388
136BulgariaEuropeHigh income49.710.4970.5030.5900.417
137ZimbabweSub-Saharan AfricaLower middle income49.290.9810.3460.2260.059
138BelarusEuropeHigh income49.020.4300.5210.6950.396
139ChadSub-Saharan AfricaLower middle income48.890.9980.3510.0960.099
140PeruLatin AmericaUpper middle income48.660.6070.4830.5160.259
141VietnamEast Asia & PacificUpper middle income48.310.5840.4450.5430.318
142Sri LankaSouth AsiaUpper middle income48.310.6080.4470.5240.288
143ThailandEast Asia & PacificHigh income48.170.4910.4720.7040.313
144BahrainMiddle East & North AfricaHigh income47.840.3850.4820.8050.392
145KazakhstanOtherHigh income47.650.3450.5390.7300.423
146RussiaOtherHigh income47.560.3820.5030.7830.368
147Central African RepublicSub-Saharan AfricaLow income47.521.0000.3620.0080.077
148MoroccoMiddle East & North AfricaUpper middle income47.080.5110.4980.5590.294
149BruneiEast Asia & PacificUnknown46.760.3220.6000.482
150UkraineEuropeUpper middle income46.750.4920.4790.4940.388
151ArgentinaLatin AmericaHigh income46.180.5120.4530.4780.374
152EcuadorLatin AmericaUpper middle income46.010.6120.4240.4490.257
153OmanMiddle East & North AfricaHigh income45.990.3090.5490.7800.351
154IndonesiaEast Asia & PacificUpper middle income45.760.5180.4620.5200.298
155AzerbaijanOtherHigh income45.680.4600.4820.6790.247
156UzbekistanOtherUpper middle income44.870.4700.4520.5950.297
157IndiaSouth AsiaUpper middle income44.580.5210.4360.4620.316
158PhilippinesEast Asia & PacificUpper middle income43.880.5480.4220.4340.276
159MexicoNorth AmericaHigh income43.660.5030.4500.5420.222
160IranMiddle East & North AfricaHigh income43.660.3980.4990.5460.329
161AlgeriaMiddle East & North AfricaUpper middle income43.330.4470.4870.4690.302
162South AfricaSub-Saharan AfricaUpper middle income42.290.4330.4870.4980.253
163EgyptMiddle East & North AfricaUpper middle income42.160.5020.3940.4560.296
164PakistanSouth AsiaUpper middle income40.070.5440.3690.3980.199
165KuwaitMiddle East & North AfricaHigh income39.300.1840.4850.7430.359
166IraqMiddle East & North AfricaUpper middle income38.970.4430.3900.5100.205
167VenezuelaLatin AmericaUpper middle income38.650.5800.3980.2370.142
168BangladeshSouth AsiaUpper middle income37.350.4970.3830.2980.201
169QatarMiddle East & North AfricaHigh income36.880.0010.4930.9190.414
170Trinidad and TobagoLatin AmericaHigh income34.380.2060.4890.5230.233
171TurkmenistanOtherUpper middle income33.670.3390.3890.115
Notes: D1 = Mitigation; D2 = Adaptation; D3 = Economic capacity; D4 = Governance. Dimension scores range from 0 to 1. CPPI scores range from 0 to 100. ‘—‘ indicates missing data.
Table A8. Countries with incomplete dimension data (N = 16). CPPI not calculated due to insufficient indicator coverage.
Table A8. Countries with incomplete dimension data (N = 16). CPPI not calculated due to insufficient indicator coverage.
CountryRegionIncome GroupCPPID1D2D3D4
BahamasOtherUnknown0.8170.452
Democratic Republic of CongoSub-Saharan AfricaLow income1.0000.4470.150
DominicaOtherUpper middle income0.9400.497
East TimorOtherUnknown0.990
Equatorial GuineaSub-Saharan AfricaUpper middle income0.9080.4310.081
KiribatiOtherUnknown0.9880.411
Marshall IslandsOtherUnknown0.9070.363
Micronesia (country)OtherUnknown0.9690.337
NauruOtherUnknown0.878
PalauOtherUnknown0.6970.415
RomaniaEuropeHigh income0.5450.4890.605
Saint LuciaOtherUpper middle income0.9290.5390.372
Saint Vincent and the GrenadinesOtherUnknown0.9410.513
Solomon IslandsOtherUnknown0.9930.394
SomaliaSub-Saharan AfricaUnknown1.0000.427
TuvaluOtherUnknown0.9740.477
Note: Em dash (—) indicates data unavailable for this country and dimention.

Appendix C. Data Completeness and Sensitivity Analysis

Table A9. Data completeness status for Top 20 countries.
Table A9. Data completeness status for Top 20 countries.
RankCountryCPPIRenewablesGDP DataStatus
1Norway78.46CompleteCompleteComplete
2Sweden74.02CompleteCompleteComplete
3Denmark73.59CompleteCompleteComplete
4Iceland73.38CompleteCompleteComplete
5Barbados71.36MissingCompletePartial
6Georgia71.14MissingCompletePartial
7Finland71.06CompleteCompleteComplete
8Uruguay70.26MissingCompletePartial
9Grenada69.75MissingMissingPartial
10Switzerland69.17CompleteCompleteComplete
11Armenia68.26MissingCompletePartial
12Mauritius67.67MissingCompletePartial
13New Zealand67.48CompleteCompleteComplete
14Fiji66.86MissingMissingPartial
15Cape Verde66.70MissingCompletePartial
16Bhutan66.32MissingMissingPartial
17Austria66.09CompleteCompleteComplete
18Seychelles66.02MissingCompletePartial
19Costa Rica65.60MissingCompletePartial
20Botswana64.87MissingCompletePartial
Notes: 8 of the 20 top-ranked countries have complete data across all indicators. ‘Renewables’ refers to renewable energy share data from the Energy Institute Statistical Review. Countries with partial data have dimension scores calculated using available attributes with proportionally adjusted weights.
Table A10. Sensitivity analysis: rankings with and without economic dimension (D3).
Table A10. Sensitivity analysis: rankings with and without economic dimension (D3).
Baseline RankCountryBaseline CPPICPPI (no D3)Rank (no D3)Rank Change
1Norway78.4675.4010
2Sweden74.0272.644+2
3Denmark73.5970.917+4
4Iceland73.3871.476+2
5Barbados71.3674.742−3
6Georgia71.1469.768+2
7Finland71.0669.3710+3
8Uruguay70.2672.285−3
9Grenada69.7572.833−6
10Switzerland69.1766.7915+5
11Armenia68.2668.2413+2
12Mauritius67.6766.2019+7
13New Zealand67.4864.2730+17
14Fiji66.8669.439−5
15Cape Verde66.7069.3011−4
16Bhutan66.3268.8012−4
17Austria66.0964.5428+11
18Seychelles66.0266.4517−1
19Costa Rica65.6067.2814−5
20Botswana64.8766.08200
Notes: Sensitivity analysis excluding the economic dimension (D3) to address multicollinearity concerns. Weights redistributed proportionally: D1 = 0.412, D2 = 0.353, D4 = 0.235. Spearman’s rank correlation between baseline and no-D3 rankings: ρ = 0.886 (N = 171 countries). A positive rank change indicates a worsening position when D3 is excluded.
Summary of Robustness Checks
The sensitivity analyses demonstrate the reasonable robustness of the CPPI rankings. Excluding the economic dimension yields a Spearman’s correlation of ρ = 0.886 with baseline rankings, indicating that while economic indicators contribute meaningfully to country differentiation, the overall ranking structure remains largely stable. Countries with strong economic capacity (e.g., New Zealand, Austria, and Australia) exhibit the largest rank decreases when D3 is excluded, whereas countries with high mitigation performance but lower economic development (e.g., Grenada, Fiji, and Cape Verde) exhibit rank improvements. These patterns are consistent with the index’s theoretical structure and validate the complementary nature of the four dimensions.
Regarding data completeness, 12 of the top 20 countries have partial data (missing renewable energy share from the Energy Institute Statistical Review). However, the bottom 20 countries show near-complete data coverage (19/20), suggesting that data gaps primarily affect smaller economies rather than introducing systematic bias toward high or low rankings. The proportional weight adjustment mechanism ensures that country scores remain comparable despite varying data availability.

References

  1. UNFCCC. Paris Agreement. United Nations Framework Convention on Climate Change. 2015. Available online: https://unfccc.int/sites/default/files/english_paris_agreement.pdf (accessed on 2 December 2025).
  2. IPCC. Climate Change 2023: Synthesis Report. Contribution of Working Groups I, II and III to the Sixth Assessment Report; IPCC: Geneva, Switzerland, 2023. [Google Scholar] [CrossRef]
  3. Fankhauser, S.; Jotzo, F. Economic growth and development with low-carbon energy. WIREs Clim. Change 2018, 9, e495. [Google Scholar] [CrossRef]
  4. Greco, S.; Ehrgott, M.; Figueira, J.R. (Eds.) Multiple Criteria Decision Analysis: State of the Art Surveys, 2nd ed.; Springer: Berlin/Heidelberg, Germany, 2016. [Google Scholar] [CrossRef]
  5. Wang, J.-J.; Jing, Y.-Y.; Zhang, C.-F.; Zhao, J.-H. Review on multi-criteria decision analysis aid in sustainable energy decision-making. Renew. Sustain. Energy Rev. 2009, 13, 2263–2278. [Google Scholar] [CrossRef]
  6. Keeney, R.L.; Raiffa, H. Decisions with Multiple Objectives: Preferences and Value Trade-Offs; Cambridge University Press: Cambridge, UK, 1993. [Google Scholar]
  7. Fishburn, P.C. Utility Theory for Decision Making; Wiley: New York, NY, USA, 1970. [Google Scholar]
  8. von Neumann, J.; Morgenstern, O. Theory of Games and Economic Behavior, 2nd ed.; Princeton University Press: Princeton, NJ, USA, 1947. [Google Scholar]
  9. Dyer, J.S.; Sarin, R.K. Measurable Multiattribute Value Functions. Oper. Res. 1979, 27, 810–822. [Google Scholar] [CrossRef]
  10. Dyer, J.S. Multiattribute Utility Theory (MAUT). In Multiple Criteria Decision Analysis; Greco, S., Ehrgott, M., Figueira, J., Eds.; Springer: Berlin/Heidelberg, Germany, 2016; pp. 285–314. [Google Scholar] [CrossRef]
  11. Cohon, J.L. Multiobjective Programming and Planning; Dover Publications: Garden City, NY, USA, 2004. [Google Scholar]
  12. Dolan, J.G. Multi-criteria clinical decision support. Patient Patient-Centered Outcomes Res. 2010, 3, 229–248. [Google Scholar] [CrossRef] [PubMed]
  13. Huang, I.B.; Keisler, J.; Linkov, I. Multi-criteria decision analysis in environmental sciences: Ten years of applications and trends. Sci. Total Environ. 2011, 409, 3578–3594. [Google Scholar] [CrossRef] [PubMed]
  14. Ananda, J.; Herath, G. Evaluating public risk preferences in forest land-use choices using multi-attribute utility theory. Ecol. Econ. 2005, 55, 408–419. [Google Scholar] [CrossRef]
  15. Pohekar, S.; Ramachandran, M. Application of multi-criteria decision making to sustainable energy planning—A review. Renew. Sustain. Energy Rev. 2004, 8, 365–381. [Google Scholar] [CrossRef]
  16. Diaz-Balteiro, L.; González-Pachón, J.; Romero, C. Measuring systems sustainability with multi-criteria methods: A critical review. Eur. J. Oper. Res. 2017, 258, 607–616. [Google Scholar] [CrossRef]
  17. Cinelli, M.; Coles, S.R.; Kirwan, K. Analysis of the potentials of multi criteria decision analysis methods to conduct sustainability assessment. Ecol. Indic. 2014, 46, 138–148. [Google Scholar] [CrossRef]
  18. Burck, J.; Uhlich, T.; Bals, C.; Höhne, N.; Nascimento, L. Climate Change Performance Index 2025. Germanwatch, NewClimate Institute, and Climate Action Network. 2024. Available online: https://ccpi.org/ (accessed on 2 November 2025).
  19. New Climate Institute. Climate Change Performance Index 2026. 2025. Available online: https://newclimate.org/resources/publications/climate-change-performance-index-2026 (accessed on 2 November 2025).
  20. Chen, C.; Noble, I.; Hellmann, J.; Coffee, J.; Murillo, M.; Chawla, N. University of Notre Dame Global Adaptation Index: Country Index Technical Report. ND-GAIN. 2015. Available online: https://gain.nd.edu/our-work/country-index/methodology/ (accessed on 2 November 2025).
  21. Notre Dame Global Adaptation Initiative. ND-GAIN Country Index. University of Notre Dame. 2024. Available online: https://gain.nd.edu/ (accessed on 2 November 2025).
  22. Wolf, M.J.; Emerson, J.W.; Esty, D.C.; de Sherbinin, A.; Wendling, Z.A. 2022 Environmental Performance Index. Yale Center for Environmental Law & Policy. 2022. Available online: https://epi.yale.edu/ (accessed on 2 November 2025).
  23. PwC. Net Zero Economy Index 2023. PricewaterhouseCoopers. 2023. Available online: https://www.pwc.co.uk/services/sustainability-climate-change/insights/net-zero-economy-index.html (accessed on 2 November 2025).
  24. Estévez, R.A.; Espinoza, V.; Oliva, R.D.P.; Vásquez-Lavín, F.; Gelcich, S. Multi-criteria decision analysis for renewable energies: Research trends, gaps and the challenge of improving participation. Sustainability 2021, 13, 3515. [Google Scholar] [CrossRef]
  25. Loken, E. Use of multicriteria decision analysis methods for energy planning problems. Renew. Sustain. Energy Rev. 2007, 11, 1584–1595. [Google Scholar] [CrossRef]
  26. Wulf, C.; Estrada, L.S.M.; Haase, M.; Tippe, M.; Wigger, H.; Brand-Daniels, U. MCDA for the sustainability assessment of energy technologies and systems: Identifying challenges and opportunities. Energy Sustain. Soc. 2025, 15, 45. [Google Scholar] [CrossRef]
  27. Davidsdottir, B.; Ásgeirsson, E.I.; Fazeli, R.; Gunnarsdottir, I.; Leaver, J.; Shafiei, E.; Stefánsson, H. Integrated Energy Systems Modeling with Multi-Criteria Decision Analysis and Stakeholder Engagement for Identifying a Sustainable Energy Transition. Energies 2024, 17, 4266. [Google Scholar] [CrossRef]
  28. Shmelev, S.E.; Rodríguez-Labajos, B. Dynamic multidimensional assessment of sustainability at the macro level: The case of Austria. Ecol. Econ. 2009, 68, 2560–2573. [Google Scholar] [CrossRef]
  29. Konidari, P.; Mavrakis, D. A multi-criteria evaluation method for climate change mitigation policy instruments. Energy Policy 2007, 35, 6235–6257. [Google Scholar] [CrossRef]
  30. Roumasset, J.; Wada, C.A.; Kuo, N. Chapter 11—Optimal climate-change adaptation: A social welfare approach. In Handbook on the Economics of Climate Change; Ruth, M., Ed.; Edward Elgar: Cheltenham, UK, 2016; pp. 274–302. [Google Scholar]
  31. Friedlingstein, P.; O’SUllivan, M.; Jones, M.W.; Andrew, R.M.; Hauck, J.; Landschützer, P.; Le Quéré, C.; Li, H.; Luijkx, I.T.; Olsen, A.; et al. Global Carbon Budget 2024. Earth Syst. Sci. Data 2025, 17, 965–1039. [Google Scholar] [CrossRef]
  32. Dyer, J.S. MAUT—Multiattribute Utility Theory. In Multiple Criteria Decision Analysis: State of the Art Surveys; Figueira, J., Greco, S., Ehrgott, M., Eds.; Springer: Berlin/Heidelberg, Germany, 2005; pp. 265–292. [Google Scholar]
  33. Belton, V.; Stewart, T.J. Multiple Criteria Decision Analysis: An Integrated Approach; Springer: Berlin/Heidelberg, Germany, 2002. [Google Scholar]
  34. Stevenson, B.; Wolfers, J. Economic Growth and Subjective Well-Being: Reassessing the Easterlin Paradox. Brook. Pap. Econ. Act. 2008, 2008, 1–87. Available online: https://www.brookings.edu/wp-content/uploads/2008/03/2008a_bpea_stevenson.pdf (accessed on 2 November 2025). [CrossRef]
  35. Pratt, J.W. Risk Aversion in the Small and in the Large. Econometrica 1964, 32, 122–136. Available online: https://www.kreienbuhl-mc.com/wp-content/uploads/2015/12/Pratt_1964-Risk-Aversion.pdf (accessed on 1 January 2026). [CrossRef]
  36. Saaty, T.L. The Analytic Hierarchy Process; McGraw-Hill: Columbus, OH, USA, 1980. [Google Scholar]
  37. Ross, M.L. What Have We Learned about the Resource Curse? Annu. Rev. Politi. Sci. 2015, 18, 239–259. [Google Scholar] [CrossRef]
  38. Sala, D.; Liashenko, O.; Pyzalski, M.; Pavlov, K.; Pavlova, O.; Durczak, K.; Chornyi, R. The Energy Footprint in the EU: How CO2 Emission Reductions Drive Sustainable Development. Energies 2025, 18, 3110. [Google Scholar] [CrossRef]
  39. Pavlova, O.; Liashenko, O.; Pavlov, K.; Rutkowski, M.; Kornatka, A.; Vlasenko, T.; Halei, M. Discourse vs. Decarbonisation: Tracking the Alignment Between EU Climate Rhetoric and National Energy Patterns. Energies 2025, 18, 5304. [Google Scholar] [CrossRef]
  40. Liashenko, O.; Mykhailovska, O.; Shestakovska, T.; Selyutin, S. Effectiveness of governance vs social development: A multivariate approach to countries’ classification. Adm. Manag. Public 2024, 42, 6–24. [Google Scholar] [CrossRef]
Figure 1. Workflow diagram.
Figure 1. Workflow diagram.
Sustainability 18 01772 g001
Figure 2. Distribution of Climate Policy Performance Index scores across 187 countries. Dashed line indicates mean (55.86); dotted line indicates median (56.62).
Figure 2. Distribution of Climate Policy Performance Index scores across 187 countries. Dashed line indicates mean (55.86); dotted line indicates median (56.62).
Sustainability 18 01772 g002
Figure 3. Dimension scores for top 10 countries. D1 = Mitigation; D2 = Adaptation; D3 = Economic; D4 = Governance.
Figure 3. Dimension scores for top 10 countries. D1 = Mitigation; D2 = Adaptation; D3 = Economic; D4 = Governance.
Sustainability 18 01772 g003
Figure 4. Distribution of CPPI scores by world region. Box plots show median, interquartile range, and outliers.
Figure 4. Distribution of CPPI scores by world region. Box plots show median, interquartile range, and outliers.
Sustainability 18 01772 g004
Figure 5. Global distribution of Climate Policy Performance Index (CPPI) scores. Higher scores (green) indicate better climate policy performance; lower scores (red) indicate weaker performance.
Figure 5. Global distribution of Climate Policy Performance Index (CPPI) scores. Higher scores (green) indicate better climate policy performance; lower scores (red) indicate weaker performance.
Sustainability 18 01772 g005
Figure 6. Relationship between CPPI and CO2 emissions per capita. Points coloured by region; selected countries labelled.
Figure 6. Relationship between CPPI and CO2 emissions per capita. Points coloured by region; selected countries labelled.
Sustainability 18 01772 g006
Figure 7. CPPI scores by income group. (A) Distribution of overall CPPI scores. (B) Mean dimension scores by income classification.
Figure 7. CPPI scores by income group. (A) Distribution of overall CPPI scores. (B) Mean dimension scores by income classification.
Sustainability 18 01772 g007
Figure 8. Dimension profiles for top 5 countries. D1 = Mitigation; D2 = Adaptation; D3 = Economic; D4 = Governance.
Figure 8. Dimension profiles for top 5 countries. D1 = Mitigation; D2 = Adaptation; D3 = Economic; D4 = Governance.
Sustainability 18 01772 g008
Figure 9. Spearman’s rank correlations between alternative weighting schemes.
Figure 9. Spearman’s rank correlations between alternative weighting schemes.
Sustainability 18 01772 g009
Figure 10. Relationship between CPPI and ND-GAIN Climate Adaptation Index (r = 0.398, p < 0.001). Blue dots represent individual countries (n = 187); red dashed line shows the linear regression fit (r = 0.398, p < 0.001).
Figure 10. Relationship between CPPI and ND-GAIN Climate Adaptation Index (r = 0.398, p < 0.001). Blue dots represent individual countries (n = 187); red dashed line shows the linear regression fit (r = 0.398, p < 0.001).
Sustainability 18 01772 g010
Table 1. Variable definitions by evaluation dimentions.
Table 1. Variable definitions by evaluation dimentions.
VariableDefinitionUnitSource
Mitigation Dimension
CO2 per capitaAnnual CO2 emissions per persontonnes/capitaGCP 2024
Renewables shareRenewable energy in primary energy mix%EI 2024
Carbon intensityCO2 emissions per kWh of electricitygCO2/kWhEI 2024
Adaptation Dimension
ND-GAIN IndexOverall climate adaptation performance0–100ND-GAIN 2024
VulnerabilityExposure, sensitivity, and adaptive capacity0–1ND-GAIN 2024
ReadinessEconomic, governance, and social preparedness0–1ND-GAIN 2024
Economic Context
GDP per capitaGross domestic product per personUSDWDI 2024
PopulationTotal populationpersonsWDI 2024
Notes: GCP = Global Carbon Project; EI = Energy Institute; ND-GAIN = Notre Dame Global Adaptation Initiative; WDI = World Development Indicators. Lower vulnerability scores indicate better performance; higher values for all other indicators represent better outcomes.
Table 2. Descriptive statistics (N = 187 countries with complete MAUT data).
Table 2. Descriptive statistics (N = 187 countries with complete MAUT data).
VariableMeanSDMinMedianMax
CO2 per capita (t).4.615.510.063.1440.13
Renewables share (%) *15.6215.500.0111.1582.08
ND-GAIN Index48.3011.1524.9946.6076.79
Vulnerability0.430.090.250.420.64
Readiness0.400.150.120.380.80
GDP per capita (USD) **18,92819,69167012,482128,153
Notes: * n = 77 countries with complete energy data; ** n = 164 countries with GDP data. SD = standard deviation.
Table 3. Mean values by income group.
Table 3. Mean values by income group.
Income GroupNCO2/CapitaRenewables (%)ND-GAINVulnerability
High income757.6416.9358.570.35
Upper middle income462.8711.1645.300.42
Lower middle income370.5437.060.53
Low income60.1233.200.56
Notes: Renewables data unavailable for most low and lower-middle-income countries. “—” indicates insufficient data.
Table 4. Mean values by region.
Table 4. Mean values by region.
RegionNCO2/CapitaRenewables (%)ND-GAIN
Europe395.2522.0960.83
North America310.5816.5460.26
East Asia & Pacific216.7712.0452.03
Middle East & N. Africa1910.403.4349.63
Latin America243.2624.4044.94
South Asia81.4311.0340.79
Sub-Saharan Africa490.873.6538.17
Table 5. Pairwise correlations.
Table 5. Pairwise correlations.
(1)(2)(3)(4)(5)(6)
(1) CO2 per capita1.00
(2) Renewables share−0.271.00
(3) ND-GAIN Index0.480.411.00
(4) Vulnerability−0.45−0.31−0.851.00
(5) Readiness0.430.400.95−0.641.00
(6) GDP per capita0.730.140.80−0.670.801.00
Table 6. Attribute hierarchy for climate policy evaluation.
Table 6. Attribute hierarchy for climate policy evaluation.
DimensionAttributeVariableDirection
D1 MitigationA11 Emissions intensityCO2 per capita
A12 Clean energyRenewables share+
A13 DecarbonisationCarbon intensity of electricity
D2 AdaptationA21 VulnerabilityND-GAIN vulnerability score
A22 ReadinessND-GAIN readiness score+
A23 Adaptive capacityND-GAIN adaptive capacity+
D3 EconomicA31 Development levelGDP per capita+
A32 Economic readinessND-GAIN economic readiness+
D4 GovernanceA41 Governance qualityND-GAIN governance score+
A42 Social readinessND-GAIN social readiness+
Notes: Direction indicates whether higher values represent better (+) or worse (−) performance.
Table 7. Policy-aligned weight specification.
Table 7. Policy-aligned weight specification.
DimensionWeightRationale
D1 Mitigation0.35Primary objective of Paris Agreement
D2 Adaptation0.30Growing emphasis in Global Stocktake
D3 Economic0.15Enabling condition for climate action
D4 Governance0.20Implementation capacity
Table 8. Descriptive statistics for CPPI and dimension scores (N = 187).
Table 8. Descriptive statistics for CPPI and dimension scores (N = 187).
VariableMeanSDMinMaxMedian
CPPI (Policy weights)55.868.0333.6778.4656.62
D1: Mitigation0.7570.2480.0010.9980.818
D2: Adaptation0.4820.0690.3510.6500.488
D3: Economic0.5230.2100.1500.9580.519
D4: Governance0.3730.2100.1150.9430.345
Table 9. Top 15 countries by Climate Policy Performance Index.
Table 9. Top 15 countries by Climate Policy Performance Index.
RankCountryCPPID1D2D3D4
1Norway78.460.7610.6500.9580.897
2Sweden74.020.7190.6390.8190.870
3Denmark73.590.6440.6390.8880.927
4Iceland73.380.7980.5970.8420.745
5Barbados71.360.8850.5550.5220.795
6Georgia71.140.9230.5770.7900.483
7Finland71.060.6040.6320.8070.943
8Uruguay70.260.9450.5510.5890.591
9Grenada69.750.9240.5720.620
10Switzerland69.170.6110.6300.8270.824
11Armenia68.260.9380.5550.6840.426
12Mauritius67.670.9120.5200.7600.439
13New Zealand67.480.6410.5890.8570.725
14Fiji66.860.9640.5100.498
15Cape Verde66.700.9740.5440.5200.425
Note: All dimension scores normalised to [0, 1]. Em dash (—) indicates data unavailable for this country and dimention.
Table 10. Bottom 20 countries by Climate Policy Performance Index.
Table 10. Bottom 20 countries by Climate Policy Performance Index.
RankCountryCPPID1D2D3D4
168Libya44.240.5470.4130.4630.115
169Brunei44.190.2520.5280.8470.477
170Pakistan44.080.9400.3510.2390.181
171Mongolia43.520.5730.4750.5510.245
172Oman43.080.2660.5350.7390.381
173Iraq42.750.6410.4150.4580.177
174Kazakhstan42.100.3610.5150.6980.305
175Russia41.770.3840.5370.6820.215
176Saudi Arabia41.150.1720.4990.7790.394
177Bahrain40.080.1040.5200.7160.463
178Iran39.790.4220.4490.4800.214
179Kuwait38.840.0350.5200.8520.456
180Venezuela38.650.7140.4240.165
181Bangladesh37.350.9460.3680.1790.158
182Qatar36.880.0010.5160.9460.517
183Trinidad and Tobago34.380.0810.4800.5980.348
184Turkmenistan33.670.3770.4510.6120.115
Note: All dimension scores normalized to [0, 1]. Em dash (—) indicates data unavailable for this country.
Table 11. CPPI statistics under alternative weighting schemes.
Table 11. CPPI statistics under alternative weighting schemes.
Schemew (D1)w (D2)w (D3)w (D4)MeanSD
Equal0.250.250.250.2553.129.03
Policy0.350.300.150.2055.868.03
Mitigation0.500.250.100.1560.1110.35
Adaptation0.250.500.100.1553.616.95
Multiplicative48.7312.84
Note: Em dash (—) indicates data unavailable for this category.
Table 12. Correlations between CPPI and input indicators.
Table 12. Correlations between CPPI and input indicators.
Indicatorrp-ValueN
ND-GAIN Index0.398<0.001187
ND-GAIN Readiness0.491<0.001187
ND-GAIN Vulnerability−0.1970.007187
CO2 per capita−0.275<0.001187
GDP per capita0.1780.024161
Renewables share0.3120.00677
Table 13. EU-27 member states ranked by CPPI (top 10).
Table 13. EU-27 member states ranked by CPPI (top 10).
EU RankCountryGlobal RankCPPID1D2D3D4
1Sweden274.020.7190.6390.8190.870
2Denmark373.590.6440.6390.8880.927
3Finland771.060.6040.6320.8070.943
4The Netherlands1765.960.5350.6230.8550.782
5Austria1965.900.6060.6170.8100.673
6Ireland2264.890.5280.5970.8770.737
7Luxembourg2364.600.4480.6180.9490.840
8Germany2563.820.4660.6060.8630.778
9France2763.180.5930.5740.7770.636
10Portugal2862.830.6940.5390.6360.529
Disclaimer/Publisher’s Note: The statements, opinions and data contained in all publications are solely those of the individual author(s) and contributor(s) and not of MDPI and/or the editor(s). MDPI and/or the editor(s) disclaim responsibility for any injury to people or property resulting from any ideas, methods, instructions or products referred to in the content.

Share and Cite

MDPI and ACS Style

Pavlova, O.; Liashenko, O.; Pavlov, K.; Demianiuk, O.; Vitkovskyi, Y.; Jakóbik, K.; Piwowarczyk, Z.; Karpinska, N. Utility-Based Evaluation of National Climate Policies: A Multi-Criteria Framework for Global Assessment. Sustainability 2026, 18, 1772. https://doi.org/10.3390/su18041772

AMA Style

Pavlova O, Liashenko O, Pavlov K, Demianiuk O, Vitkovskyi Y, Jakóbik K, Piwowarczyk Z, Karpinska N. Utility-Based Evaluation of National Climate Policies: A Multi-Criteria Framework for Global Assessment. Sustainability. 2026; 18(4):1772. https://doi.org/10.3390/su18041772

Chicago/Turabian Style

Pavlova, Olena, Oksana Liashenko, Kostiantyn Pavlov, Olga Demianiuk, Yurii Vitkovskyi, Karolina Jakóbik, Zuzanna Piwowarczyk, and Nataliia Karpinska. 2026. "Utility-Based Evaluation of National Climate Policies: A Multi-Criteria Framework for Global Assessment" Sustainability 18, no. 4: 1772. https://doi.org/10.3390/su18041772

APA Style

Pavlova, O., Liashenko, O., Pavlov, K., Demianiuk, O., Vitkovskyi, Y., Jakóbik, K., Piwowarczyk, Z., & Karpinska, N. (2026). Utility-Based Evaluation of National Climate Policies: A Multi-Criteria Framework for Global Assessment. Sustainability, 18(4), 1772. https://doi.org/10.3390/su18041772

Note that from the first issue of 2016, this journal uses article numbers instead of page numbers. See further details here.

Article Metrics

Back to TopTop