Next Article in Journal
The Built Environment Exacerbates Disparities in the Accessibility of Public Charging Stations: An Analysis Based on MGWR
Previous Article in Journal
Real-World Emissions and Range Performance of Passenger Vehicles in Australia
 
 
Font Type:
Arial Georgia Verdana
Font Size:
Aa Aa Aa
Line Spacing:
Column Width:
Background:
Article

PID Regulation Enabling Multi-Bifurcation Instability of a Hydroelectric Power Generation System in the Infinite-Bus Power System

1
College of Energy and Power Engineering, North China University of Water Resources and Electric Power, Zhengzhou 450045, China
2
College of Science & Engineering, Flinders University, 1284 South Road Tonsley, Adelaide, SA 5042, Australia
*
Author to whom correspondence should be addressed.
Sustainability 2026, 18(3), 1585; https://doi.org/10.3390/su18031585
Submission received: 13 January 2026 / Revised: 30 January 2026 / Accepted: 2 February 2026 / Published: 4 February 2026
(This article belongs to the Section Energy Sustainability)

Abstract

The integration of new energy into the grid has significantly intensified power grid operational pressure, posing higher demands on hydropower system regulation. As a key unit for power grid load tracking and stability maintenance, parameter mismatch of the PID governor is prone to inducing system bifurcation, thus leading to oscillatory instability, which has emerged as a critical challenge affecting the reliable consumption and sustainable supply of new energy. To address this challenge, a hydroelectric power generation system (HPGS) model in the infinite-bus power system is established. Bifurcation analysis is employed to quantitatively identify the critical thresholds of PID parameters that cause HPGS instability. Based on this, system dynamic response processes under critical thresholds are clarified using time-domain analysis. Furthermore, the potential oscillation instability mechanism is revealed using eigenvalue analysis, and suggestions for PID parameter selection are provided. Key quantitative results indicate that variations in proportional gain, kp, induce five limit point bifurcations. The system enters an unstable region when kp exceeds 2.467, whereas operation within the range below 0.891 is conducive to system stability. A supercritical Hopf bifurcation arises when integral gain ki reaches 0.925, so strict restrictions should be imposed on ki to avoid operating around this critical value. Two supercritical Hopf bifurcations that may trigger system oscillatory instability are identified during differential gain kd changing, and it should be regulated to a level below 5.188 to ensure system stability. By integrating bifurcation analysis, time-domain analysis, and eigenvalue analysis, this study effectively improves the accuracy of characterizing system dynamic behaviors, providing a clear quantitative basis for PID parameter optimization and bifurcation suppression, as well as laying a theoretical foundation for hydropower system stable operation and the efficient absorption of new energy.

1. Introduction

In 2025, global renewable energy generation officially surpassed coal-fired power for the first time, accounting for 52% of total electricity generation versus 22% for coal-fired power, as shown in Figure 1, marking a critical turning point in the global energy transition [1]. This transition, driven by the pursuit of sustainability through low-carbon energy restructuring, has elevated the penetration rate of wind and solar power, reaching 38% globally. However, the inherent intermittency and volatility of wind and solar power have intensified fluctuations in grid output. For example, the output of a single wind farm can drop from rated power to zero within a few hours, that is, with a fluctuation range close to 100%. Hydropower has the ability of flexible start-stop capability (response time within 30 s) and rapid load adjustment rate (20~40% rated installed capacity/min), serving as the core regulating power source for balancing the volatility of wind and solar energy [2]. Its role is particularly pivotal in advancing grid sustainability by enabling the high-proportion integration of intermittent new energy. According to China’s national policy, by 2027, the proportion of new energy power generation will exceed 20%, and hydropower is required to provide peak-shaving capacity to ensure a new energy utilization rate of over 90%. To support the high-proportion integration of new energy, hydropower units are increasingly required to perform frequent load-following operations to compensate for real-time fluctuations of wind and solar power and maintain power grid frequency stability. This operational adjustment is a necessary trade-off to support the sustainability objective of decarbonizing the power sector.
Hydropower units adjust their power output in real time in response to grid frequency deviations caused by mismatches between new energy supply and load demand. When wind or solar output surges, hydropower units reduce their generation to avoid grid frequency overrun; conversely, hydropower units ramp up output rapidly to maintain frequency stability. Taking the BaiHeTan Hydropower Station as an example, on 10 July 2023, it carried out power grid frequency regulation 52 times and executed 31-unit start-up and shutdown operations. This means a large-scale power adjustment is required in less than 30 min on average. Under frequent load-following modes, PID parameters may approach critical thresholds and trigger bifurcation. Such bifurcation phenomena will damage the stable operation of the system, and in severe cases, may also cause malignant accidents such as sustained oscillation, voltage collapse, and frequency instability [3,4]. For example, Hopf bifurcation behavior induces increasingly intense undamped oscillations, ultimately leading to a large-scale power outage in the western United States in 1996, which affected 7.5 million users [5]. The sustained voltage oscillation in the Midwest of the United States in 1992, with an oscillation frequency of 1 Hz, is also caused by bifurcation behavior [6]. This nonlinear dynamic behavior has become a key factor threatening the safe and stable operation of the hydropower system, thereby hindering the reliable integration of new energy and the achievement of long-term sustainability goals. The above cases fully highlight the necessity and urgency of systematically investigating PID parameter-induced bifurcation in hydropower systems, especially for units undertaking load-following tasks.
Traditionally, research on the stability of HPGS mainly focuses on time-domain analysis, bifurcation analysis, and eigenvalue analysis. Specifically, as for the time-domain analysis, Huang et al. investigated the transient processes of a cascade hydropower station with regulating reservoirs underload disturbances and delineated its stability region [7]. Huang et al. established a nonlinear hydropower model utilizing an improved transfer function approach and verified its precision through time-domain and frequency-domain simulations [8]. Yu et al. explored the optimization of PID parameters using a direct solution method and time-domain simulation, reducing the parameter tuning time by 40% compared to traditional methods [9]. For bifurcation analysis, Deng et al. established a Hamiltonian model for hydro-turbine generators and identified Hopf bifurcation critical points using bifurcation theory [10]. Zhang et al. utilized Hopf bifurcation theory to examine the nonlinear stability and dynamic characteristics and confirmed its reliability by means of numerical simulation [11]. For eigenvalue analysis, Xu et al. analyzed the key oscillation modes in hydropower systems based on a coupled model of the shaft system and the governing system [12]. Jiang et al. investigated the state space equation of the hydropower system and gained insights into the ultra-low-frequency characteristics of the hydro generator [13]. Lu et al. investigated the oscillation characteristics of the hydraulic turbine governing system using eigenvalue analysis and put forward an optimization control strategy to promote system regulation performance [14]. From the above review, existing research has explored the stability of HPGS from various perspectives and has yielded valuable insights. However, current research still exhibits certain limitations. Most findings either explore the stability response of HPGS from a single perspective or concentrate on a specific bifurcation type or a narrow PID parameter range, failing to adequately cover the practical engineering operation range. This leads to the fact that the multi-bifurcation mechanism of HPGS under practical load-following scenarios is not sufficiently revealed. Particularly in scenarios with strong disturbances from wind and solar energy, as well as the complex and variable grid operating conditions, the coupling relationship between PID parameters and system dynamics still lacks a clear quantitative description. Therefore, it is necessary to further integrate multiple analytical methods on the existing basis, quantitatively identify the critical bifurcation thresholds corresponding to PID parameters, and thereby deeply uncover the mechanisms underlying the generation and evolution of system oscillations.
Motivated by the above discussions, there are three advantages that make our approach attractive compared with the prior work. Firstly, a novel nonlinear HPGS model is established for an infinite-bus power system, integrating the excitation system and power system stabilizer (PSS), which aligns with the actual configuration of a large hydropower plant. Secondly, within the engineering-relevant PID parameter range, multi-bifurcation phenomena are identified, and their critical parameter thresholds are quantified. Finally, by integrating bifurcation analysis to pinpoint critical PID parameter values, employing time-domain analysis to reveal the evolution of system dynamic behavior near these critical points, and utilizing eigenvalue analysis to verify the oscillation mechanisms, the integration of these three methods significantly enhances the comprehensiveness, depth, and accuracy in describing system dynamic behavior.
This paper is structured as follows for the remaining sections. Section 2 reviews bifurcation analysis and eigen-analysis methods. Section 3 provides a detailed introduction to the establishment of the HPGS model, considering the excitation system and PSS. Section 4 presents multi-bifurcation analysis results, including quantitative analysis of critical thresholds and oscillation characteristics. Section 5 draws conclusions and discussions.

2. Methods

2.1. Bifurcation Analysis

Bifurcation analysis is a topic that extensively exists in nonlinear dynamic system. Variations in system parameters may lead to a variety of bifurcation phenomena (i.e., multi-bifurcation), such as limit point (LP), Hopf point (H), Neimark-Sacker point (NS), period doubling point (PD), and limit point cycle (LPC) [15]. Multi-bifurcation phenomena are widely observed in fields such as biology, chemistry, and physics [16,17]. A brief overview of bifurcation theory is provided in this section.
(1)
Bifurcation of the equilibrium point
Bifurcation refers to a phenomenon where qualitative properties, such as the quantity and stability of equilibrium points as well as the topological structure of periodic orbits, undergo abrupt changes when the system parameters pass through critical values [18,19]. It reflects the structural stability problem of the system. The mathematical expression of a nonlinear system is shown as
d x d t = G ( x , α ) ,
The equilibrium point of Equation (1) is expressed as
G(x, α) = 0.
The equilibrium point is asymptotically stable if all the eigenvalues of the Jacobian matrix have negative real parts; it is unstable in any other case. A limit point bifurcation occurs when there exists one zero eigenvalue in the Jacobian matrix, while a Hopf bifurcation arises if the matrix has a pair of purely imaginary conjugate eigenvalues [20].
The system dynamic properties under the limit point bifurcation depend on the normal form coefficient a.
a = 1 2 p T G x x 0 q q ,
If a is not equal to 0, the system behaves like
w = a w 2 .
Similarly, the first Lyapunov coefficient l1 determines the dynamic properties under Hopf bifurcation conditions, which can be expressed as
l 1 = 1 2 Re p , C ( q , q , q ¯ ) + B ( q ¯ , ζ ) - 2 B ( q A - 1 B ( q , q ¯ ) ) ,
where ζ = ( 2 i ω I N A ) 1 B ( q , q ) A = Gx, and B as well as C are the second-order and third-order derivative tensors at the Hopf point, respectively. The condition l1 < 0 indicates a supercritical bifurcation [18]. The vanishing of l1 implies the existence of generalized Hopf (GH) bifurcation, and additional details regarding GH bifurcation can be derived from the second Lyapunov coefficient [21].
(2)
Bifurcation of the cycle
The i-th iteration of a map under certain parameters is
x f i ( x , α ) ,   f : R n × R k R n ,
where f i ( x , α ) = f ( f ( f ( f ( x , α ) i   t i m e s , α ) , α ) , α ) .
The fixed point of the i-th iterate of the map satisfies
F ( x , α ) = f i ( x , α ) x = 0 .
The eigenvalues of the Jacobian matrix of Equation (7) are called multipliers [22].
Depending on the value of the multipliers, it can be further classified into LPC bifurcation (with a multiplier of 1), PD bifurcation (with a multiplier of −1), and NS bifurcation, which involves a conjugate pair of complex multipliers e ± i θ 0 , and satisfies 0 < θ0 < π [20].

2.2. Eigenvalue Analysis

Solving eigenvalues through the Jacobian matrix to determine the system response mode is an important method for investigating the dynamic behavior of HPGS. Let the state equation of the nonlinear system be
x ˙ = f ( x , α )
The eigenvalues are obtained by solving the Jacobian matrix, which can be written as
λ i = σ i ± j ω i   ( i = 1 , 2 , 3 , )
If ωi = 0, it indicates that the system has a non-oscillating mode. If σi ≠ 0, then each pair of conjugate eigenvalues corresponds to an oscillation mode. For oscillation mode, oscillation frequency and damping ratio are two important indicators for measuring the degree of oscillation, which are, respectively, determined by the imaginary and real parts of the eigenvalues. Specifically, the damping ratio corresponding to the oscillation mode can be expressed as
ζ i = - σ i σ i 2 + ω i 2
The frequency corresponding to the oscillation mode can be written as
f i = ω i 2 π
Oscillation frequency ranging from 0.1 to 2.5 Hz is classified as low-frequency oscillation, while the oscillation with frequency lower than 0.1 Hz is ultra-low frequency oscillation [23].

3. Mathematical Model

To simplify calculations and analyses, the excitation system and PSS are usually simplified to constant-value models or subjected to order reduction in power system stability studies. However, the excitation system is responsible for providing excitation power and regulating the voltage, significantly influencing the dynamic behavior of the generator [24,25], and thus improving the stability margin of the system [26]. The PSS, as the supplementary device installed on the excitation controller, generates damping torque components in the transient process to suppress the low oscillation [27,28]. Therefore, this paper incorporates both the excitation system and PSS into the HPGS model to further investigate their dynamic characteristics. The structure diagram of the HPGS linking the infinite-bus power system is illustrated in Figure 2 [29]. It should be noted that the model established in this paper is based on the assumption of a power system connected to an infinite-bus power system, implying that its voltage magnitude and frequency are constant and unaffected by the dynamics of the studied subsystem. This assumption simplifies the analysis of the network side and focuses mainly on the dynamics of the hydropower unit itself.

3.1. Model of the Hydro-Turbine and Diversion Pipeline

The transfer function of the hydro-turbine and diversion pipeline is expressed as [3]
G t ( s ) = e y 1 + e G h ( s ) 1 1 + e q h G h ( s )
Gh(s) denotes the transfer function corresponding to the hydro-turbine flow rate versus head, which can be formulated as
Gh(s) = −2 hwth(0.5 Trs)
Converting the above equation into state space form, Equation (13) can be illustrated as
d x 1 d t = x 2 d x 2 d t = x 3 d x 3 d t = a 0 x 1 a 1 x 2 a 2 x 3 + y .
The hydro-turbine torque is described as
m t = b 3 y + ( b 0 a 0 b 3 ) x 1 + ( b 1 a 1 b 3 ) x 2 + ( b 2 a 2 b 3 ) x 3 ,
where a 0 = 24 e q h h w T r 3 , a 1 = 24 T r 2 , a 2 = 3 e q h h w T r , b 0 = 24 e y e q h h w T r 3 , b 1 = 24 e e y e q h T r 2 , b 2 = 3 e y e q h h w T r , and b 3 = e e y e q h .

3.2. Model of the Governor

For the hydraulic speed regulation system, it can be formulated as
T y d y d t + y = u ,
The mathematical model of a common PID speed regulation system is obtained as [30]
d y d t = 1 T y ( k p ω k i ω 0 δ k d d ω d t y ) ,

3.3. Model of the Generator

An infinite-bus power system with a third-order generator mathematical model is considered in this paper, as presented in Figure 3.
The voltage of an infinite-bus is d U / d t = U 0 ° , U = const. Thus, the model of the generator can be expressed as
U d = X q I q U q = E q X d I d d δ d t = ω 0 ( ω 1 ) d ω d t = 1 T a b [ m t m e D ( ω 1 ) ] d E q d t = 1 T d 0 [ E f E q ( X d X d ) I d ] ,
With the torque effect of rotational speed variation incorporated into the damping coefficient, the generator’s electromagnetic torque equals electromagnetic power. Here, the electromagnetic power of the generator Pe is expressed as
P e = E q I q ( X d X q ) I d I q .

3.4. Model of an Excitation System

The transfer function diagram corresponding to the excitation system is shown in Figure 4 [29].
The dynamic equations of the excitation system shown in Figure 4 are described as
d U R d t = 1 T A [ K A ( U r e f + U P S S - U t - U F ) - U R ] d U F d t = 1 T F ( K F d E f d t U F ) d E f d t = 1 T L [ U R - ( S E + K L ) E f ] ,

3.5. Model of PSS

The transfer function diagram of PSS is shown in Figure 5 [31].
The PSS equation shown in Figure 5 is expressed as [32]
d U 1 d t = 1 T W ( K s T W d ω d t U 1 ) d U 2 d t = 1 T 2 ( T 1 d U 1 d t + U 1 U 2 ) d U 3 d t = 1 T 4 ( T 3 d U 2 d t + U 2 U 3 ) ,

3.6. The Network Equation

For the convenience of analysis, the voltage and current coordinate systems are unified into the grid synchronous rotating coordinate system. The transformation relationship between the dq-axis and the xy-axis coordinate system is shown in Figure 6.
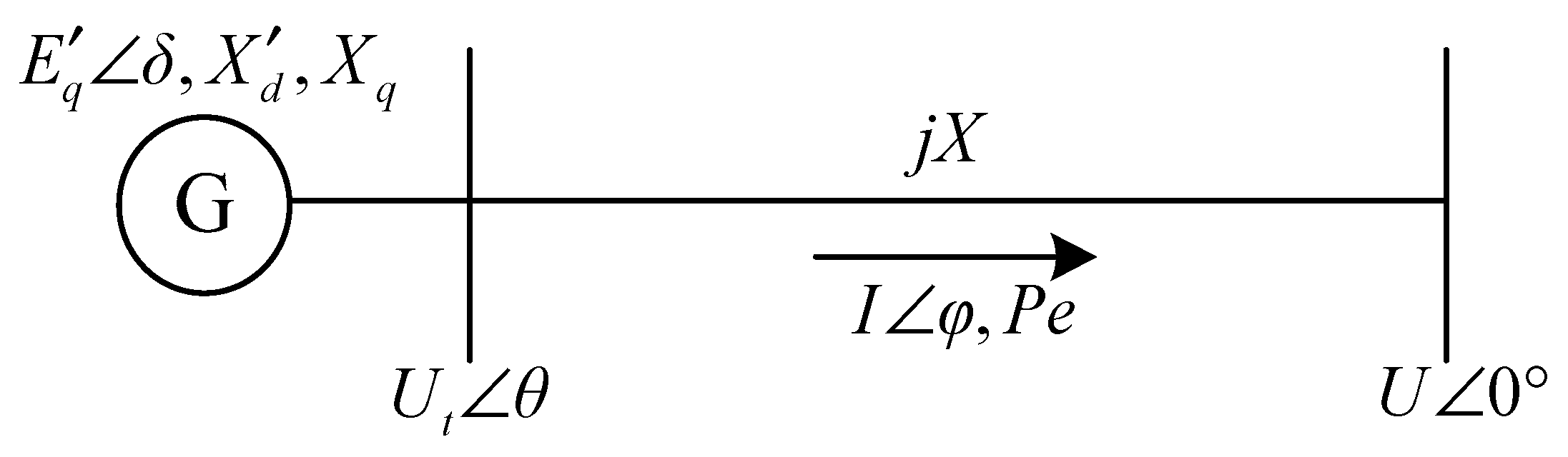
As shown in Figure 6, the network equation under the xy-axis is U t θ U 0 ° = j X I φ . We assume that U x + j U y = U t θ and I x + j I y = I φ . Then we can achieve [33]
U x U U y = 0 X X 0 I x I y ,
where U t = U d 2 + U q 2 is the generator terminal voltage.
The conversion relationship between the dq-axis and the xy-axis coordinate system can be illustrated as [33]
f d f q = sin δ cos δ cos δ sin δ f x f y .
By bringing Equation (23) into Equations (19) and (22), we can achieve I d = E q U cos δ X + X d , I q = U sin δ X + X q , U d = X q U sin δ X + X q , U q = X d U cos δ + X E q X + X d and P e = ( X + X q ) U E q sin δ + ( X d X q ) U 2 sin δ cos δ ( X + X d ) ( X + X q ) .
Coupling the equations of the above modules, the mathematical model of HPGS connected with an infinite-bus power system can be expressed in the form of
d x 1 d t = x 2 d x 2 d t = x 3 d x 3 d t = a 0 x 1 a 1 x 2 a 2 x 3 + y d y d t = 1 T y ( k p ω k i ω 0 δ k d d ω d t y ) d δ d t = ω 0 ( ω 1 ) d ω d t = 1 T a b [ b 3 y + ( b 0 a 0 b 3 ) x 1 + ( b 1 a 1 b 3 ) x 2 + ( b 2 a 2 b 3 ) x 3 ( X + X q ) U E q sin δ + ( X d X q ) U 2 sin δ cos δ ( X + X d ) ( X + X q ) D ( ω 1 ) ] d E q d t = 1 T d 0 [ E f E q ( X d - X d ) E q U cos δ X + X d ] d U R d t = 1 T A [ K A ( U r e f + U 3 - U t - U F ) - U R ] d U F d t = 1 T F ( K F d E f d t U F ) d E f d t = 1 T L [ U R - ( S E + K L ) E f ] d U 1 d t = 1 T w ( K s T w d ω d t U 1 ) d U 2 d t = 1 T 2 ( T 1 d U 1 d t + U 1 U 2 ) d U 3 d t = 1 T 4 ( T 3 d U 2 d t + U 2 U 3 ) .

4. Numerical Experiments

This section aims to quantitatively determine the critical thresholds of PID parameters that cause HPGS instability through bifurcation analysis. The dynamic response process of HPGS under critical thresholds is investigated using time-domain analysis. Eigenvalue analysis is used to reveal the oscillation mechanism under critical thresholds. The analysis in this section is carried out based on the system parameters listed in Table 1. For the verification process of this model, detailed contents are shown in Appendix A.

4.1. Bifurcation for Varying kp

To explore the dynamic behaviors of HPGS induced by kp, this subsection conducts an analysis based on bifurcation analysis, time-domain analysis, and eigenvalue analysis.

4.1.1. Bifurcation and Continuation from Equilibrium Point with kp Varying

Figure 7a,b demonstrates the continuation curves from the initial point (i.e., equilibrium point) with the variation in kp. From Figure 7, the system detects ten bifurcation points (i.e., limit points) by tracing the equilibrium curve. The occurrence of LP triggers abrupt changes in both the quantity and stability of system equilibrium points, leading to discontinuous alterations in the system’s operational state, which may ultimately result in a global instability phenomenon. Since the value of kp is less than zero at LP1, LP3, LP5, LP7, and LP9, these points are useless for engineering. The effective bifurcation results are shown in Table 2. Since a ≠ 0 at LP2, LP4, LP6, LP8 and LP10, the LP bifurcation is nondegenerate. This indicates that a standard and clear stable operating boundary is established. Specifically, the system maintains asymptotically stable when kp < 0.891, exhibits decay oscillation characteristics in the range of 0.891 < kp < 2.154, and enters the unstable region when kp > 2.467. This analysis provides quantitative boundary constraints for subsequent parameter optimization. It is necessary to avoid crossing this boundary using some control strategy.

4.1.2. Oscillation Characteristics of Bifurcation Scenarios

To thoroughly explore the system’s dynamic behavior near the bifurcation boundary, this section comprehensively adopts time-domain analysis and eigenvalue analysis. Time-domain analysis aims to directly reveal the dynamic evolution process under a critical parameter value. Eigenvalue analysis quantitatively clarifies the instability mode under a critical parameter value. These two methods together characterize the complex dynamic characteristics of the system under bifurcation scenarios. The corresponding results are demonstrated in Figure 8 and Table 3, respectively.
To analyze the dynamic behavior of the system near the bifurcation critical values, Figure 8 presents the time-domain response results at bifurcation points (kp = 0.891, 1.84, 2.154, 1.205, and 2.467) as well as kp > 2.467 (e.g., kp = 4). Specifically, Figure 8a depicts the dynamic response process corresponding to each parameter point, while Figure 8b displays the composite waveforms of points LP2, LP4, LP6, LP8, LP10, and kp = 4 for comparative analysis. Overall, the response curves at all bifurcation points exhibit a decaying trend, though differences exist in the decay times and amplitudes, with a maximum amplitude difference of 10.2%. Particularly, the decay is the slowest under the L10 scenario. Although LP8 and LP2 show similar oscillatory trends, significant differences remain in the maximum amplitudes and convergence times. When kp = 4, the system undergoes sustained oscillation and instability, which verifies the conclusion in Section 4.1.1 that the system enters the instability region when kp > 2.467. Operating within the region where kp is below 0.891 is beneficial for system stability.
Table 3 shows oscillation mode information of 5 points, including eigenvalues, frequence and damping ratio. It should be noted that only the conjugate eigenvalues representing the oscillation modes are displayed here. In terms of the number of oscillation modes, LP4, LP6, and LP10 have two pairs of conjugate eigenvalues, corresponding to two oscillation modes, while LP2 and LP8 have three oscillation modes. This suggests that the latter system exhibits more complex dynamic response characteristics and is more significantly influenced by multi-mode coupling effects. It is particularly noteworthy that although the damping ratios are all positive, the values vary significantly. All oscillation frequencies fall within the range of 0.0239–0.5871 Hz. Some of the modes exhibit frequencies close to 0.02 Hz (ultra-low frequency), while the remaining modes correspond to typical low-frequency oscillations within the range of 0.1–2.5 Hz. Prolonged operation under such conditions is prone to causing unit fatigue and degradation of power quality.

4.1.3. Continuation from LP2 with kp and ki Varying

When LP2 (kp = 0.891) is selected as the initial point, a series of codimension-2 bifurcation points is traced along the parameter variation direction, as shown in Figure 9a,b. Five bifurcation points are captured, namely two BT points, two CPs, and one ZH point. Their corresponding parameter coordinates are (kp, ki) = (2.490, 1.603), (3.516, 2.329), (5.203, 3.392), (2.564, 2.038), and (−12.282, −3.909), respectively. Considering the practical physical significance and validity of the parameters, four bifurcation points are listed in Table 4. The value of kp at all codimension-2 bifurcation points is significantly higher than that of the initial point, indicating that the system operates within a relatively safe, stable region within the initial parameter range. The synchronous increasing trend of ki and kp demonstrates that the adaptability between ki and kp determines the distribution of bifurcation points. In engineering practice, the coordinated adjustment of ki and kp can be employed to configure system parameters, keeping them away from the critical regions corresponding to BT, ZH, and CP bifurcation points, thereby ensuring stable operation within a safe range. These bifurcation points provide a core basis for the parameter optimization of controllers in power systems.

4.2. Bifurcation for Varying ki

4.2.1. Continuation from Equilibrium Point with ki Varying

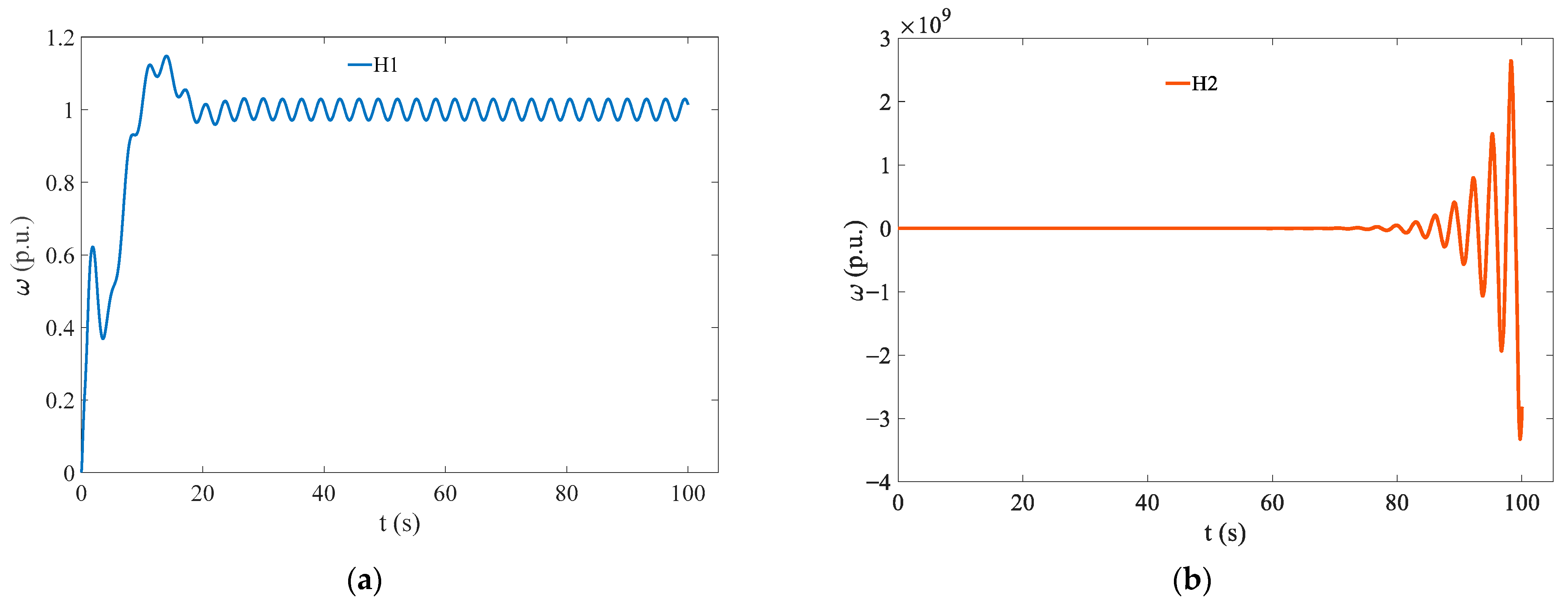
From Figure 10, there is one Hopf point and eight limit points as ki changes. At ki = 1.303, the system encounters the first limit point (LP1) with one zero real part eigenvalue. Similar conclusions can also be obtained for other LPs. Hopf point occurs at ki = 0.925 with the negative first Lyapunov coefficient −1.104 × 10−3, indicating a supercritical Hopf bifurcation. This means that a family of stable limit cycles bifurcates from this Hopf point. Meanwhile, it also means that the system is unstable around ki = 0.925. From a power engineering point of view, a Hopf bifurcation must be avoided because oscillatory behavior in a power system is undesirable. It is worth noting that LP3 and LP7 are meaningless because ki is less than zero. The relevant bifurcation information is listed in Table 5. The values of ki are distributed in the range of 0.021 to 1.303, with the minimum 0.021 observed at LP5 and the maximum 1.303 at LP1. These results further imply that the system must operate away from H1 (ki = 0.925) and strictly avoid allowing ki to approach or exceed LP1 (ki = 1.303).

4.2.2. Oscillation Characteristics of Bifurcation Scenarios

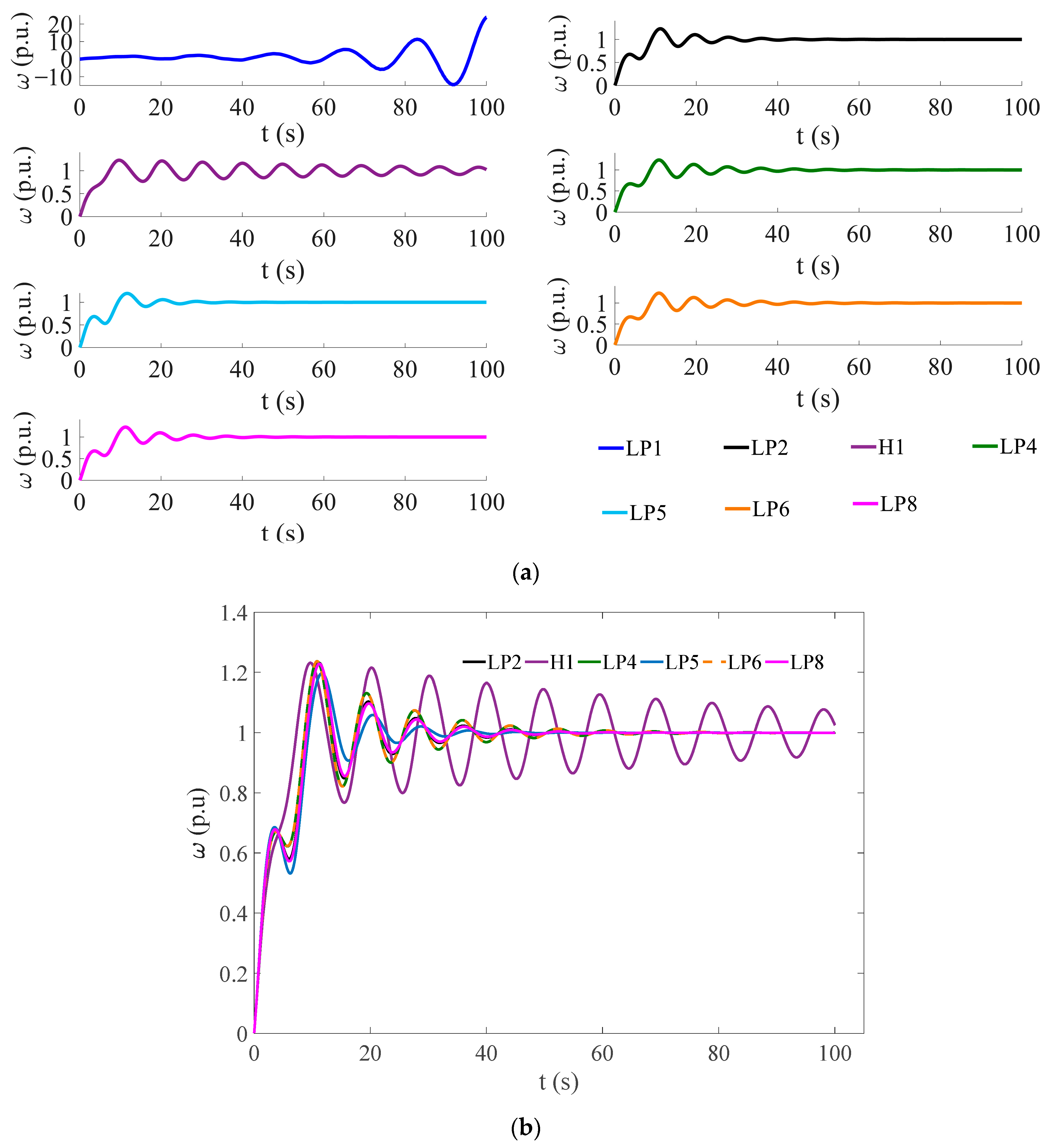
Figure 11a shows the dynamic response processes of points LP1, LP2, H1, LP4, LP5, LP6 and LP8, respectively. To compare the response characteristics of different bifurcation points more clearly, Figure 11b further summarizes these curves. From Figure 11, growing oscillation behaviors exhibit near LP1 (ki = 1.303), indicating that the system loses stability when ki reaches this critical value. In other words, in engineering practice, it is imperative to ensure that ki is kept well away from 1.303 with an adequate stability margin reserved. H1 point (ki = 0.925) acts as the critical threshold where the system transfers from small-signal stability to sustained oscillations. Its oscillation amplitude and duration are significantly larger than those of other bifurcation points, which means that the dynamic performance deteriorates sharply when the system operates in the vicinity of this point. Therefore, the ki should also be avoided from being set near 0.925.
Table 6 presents oscillation information under the variation in ki, where only the conjugate eigenvalues characterizing the oscillation modes are listed. Low-frequency oscillation modes are present at all bifurcation points, with frequencies consistently ranging from 0.5712 Hz to 0.5718 Hz and relatively low damping ratios (approximately 0.2). The remaining ultra-low-frequency oscillation modes (with frequencies around 0.02–0.07 Hz) mostly have high damping ratios (greater than 0.2) and thus decay rapidly. These phenomena indicate that even if the current operating point of the system remains stable locally, a slight increase in the ki value or external disturbances may still induce oscillation. Therefore, it is imperative to strictly limit the value range of ki to effectively suppress potential oscillation risks by optimizing control strategies.

4.2.3. Continuation from H1 with ki Varying

Figure 12 illustrates the family of limit cycles bifurcating from H1. The detailed results are listed in Table 7. As shown in Figure 12 and Table 7, a limit point cycle with a period of 12.722 emerges at ki = 0.9247. The non-zero normal form coefficient indicates the presence of a fold bifurcation where two limit cycles collide and vanish at this point. The Floquet multiplier of this critical cycle is equal to 1, implying a switch in stability. When ki increases from 0.9247 to 0.9834, a period doubling bifurcation (denoted as PD1) is observed, with the period increasing from 12.722 to 19.472, an increase of approximately 53%. PD2 with a period of 26.524 appears at ki = 1.0339. In addition, there exists another LPC point (identified as LPC2) with a period of 27.768 at ki = 1.0344. Figure 12c presents the variation relationship between the period and ki. Multiple LPC and PD points are exposed as ki varies. Interestingly, when ki is in the vicinity of 1.302, even though the parameter value itself hardly changes, the period of the corresponding limit cycle oscillation shows a continuously increasing trend. In other words, if the system operates on this limit cycle, the oscillation interval will be gradually prolonged, and the amplitude and waveform may undergo drastic changes, which further indicates that the dynamic behavior of the system tends to be complex and unstable. The above results indicate that when ki reaches the Hopf point (0.925), the system exhibits multiple LPC and PD bifurcation phenomena. Therefore, in engineering practice, it is necessary to constrain ki below 0.925 to prevent the system from entering an unstable and dangerous operating state.

4.2.4. Continuation from LP2 with kp and ki Varying

Figure 13 shows rich bifurcation phenomena starting from LP2 in the case that both ki and kp vary. Two CPs and one ZH point are identified. It is notable that both ki and kp are key control parameters with clear physical meanings in a practical system. Since the values of ki (−3.909) and kp (−12.282) at CP1 are both negative, they generally lack physical realizability in engineering practice and are neglected in subsequent analyses. The specific parameter coordinates of the CP and ZH points are presented in Table 8. Notably, in the regions adjacent to the CP and ZH points, the dynamic behavior of the system exhibits strong nonlinearity and structural sensitivity, which deserves special attention in analysis and control design.

4.3. Bifurcation for Varying kd

4.3.1. Continuation from Equilibrium Point with kd Varying

Figure 14 illustrates the bifurcation structure traced with the equilibrium point as the starting point. As shown in Figure 14, the system passes through six key points in sequence during the parameter evolution process, denoted as H1, H2, H3, H4, H5, and H6, respectively. In fact, H3 and H4 are neutral saddle points, whose Jacobian matrices possess a pair of real eigenvalues with opposite signs. Although such saddle points do not directly induce bifurcations or have obvious dynamic significance, they are quite useful in helping to find Hopf points and connect BT points. Moreover, kd is less than zero in H5 (−20.89) and H6 (−8.201), which are generally not physically realizable in practical systems. Detailed information on the valid bifurcation points is summarized in Table 9. Notably, the first negative Lyapunov coefficient of H1 and H2 indicates a supercritical Hopf bifurcation, meaning that stable limit cycles bifurcate from these points. The occurrence of supercritical Hopf bifurcations implies that the system will exhibit oscillation instability characteristics in the neighborhood of these parameters, which may thereby induce sustained periodic oscillations. From the perspective of engineering stability, these two bifurcation points constitute the boundary for the stable operation of the system. When kd increases and crosses H1 (5.187) or H2 (7.305), the system will lose small-signal stability and generate oscillations, which is detrimental to system stability. Therefore, during controller parameter tuning or system operation, it is imperative to ensure that the value of kd stays far away from these two critical values with an adequate safety margin to prevent the system from entering a state of sustained oscillations.

4.3.2. Oscillation Characteristics of Bifurcation Scenarios

The dynamic response process of bifurcation points under kd variation is displayed in Figure 15. From Figure 15, the oscillation processes at H1 and H2 are significantly different. At point H1 (kd = 5.187), the system undergoes a brief transient fluctuation during the initial stage (0~20 s) before entering a state of constant-amplitude sustained oscillation, with a consistent oscillation period and no divergent tendency. At point H2 (kd = 7.305), the fluctuation can be ignored within 0~70 s, after which oscillations emerge and exhibit a sharply divergent amplitude trend, ultimately leading to complete system instability. This phenomenon indicates that minor disturbances may escalate into destructive instability events, posing a serious threat to the safe operation of the hydroelectric unit. Therefore, in engineering practice, kd should be strictly controlled below 5.188, while avoiding approaching the critical value of 7.305.
Table 10 lists the eigenvalue, damping ratio, and oscillation frequency corresponding to the two oscillation modes observed at H1 and H2. At H1, the damping ratios of the two modes are both positive (i.e., 0.2096 and 0.5651), with the oscillation frequencies being 1.0800 Hz and 0.0670 Hz. The damping ratios of H2 are 0.5472 and −0.1690, respectively, and the corresponding frequencies are 0.0597 and 0.3298, respectively. It indicates that both H1 and H2 contain low-frequency and ultra-low-frequency oscillation components. The negative damping generated in H2 intensifies the system oscillation, leading to a continuous increase in amplitude and ultimately causing system instability, which is consistent with the time-domain analysis in Figure 15. The divergent oscillations induced by negative damping at point H2 are fundamentally different from the stable constant-amplitude oscillations at point H1. This confirms that negative damping can transform a system’s dynamic response from controllable oscillations to irreversible instability. That is to say that the integration of bifurcation analysis, time-domain analysis, and eigenvalue analysis methods has been achieved in this subsection, which collectively illustrate the dynamic response of the system.

4.3.3. Continuation from H1 with kd Varying

Taking H1 as the new starting point, the evolution of the limit cycle originating from this supercritical Hopf bifurcation point is investigated, as shown in Figure 16. LPC occurs at kd = 5.188 with a period of 3.156. As further change kd, NS bifurcation occurs at kd = 5.672 with a period of 3.152. The normal form coefficient of NS bifurcation is −6.508 × 10−6, which is small yet non-zero, indicating that NS bifurcation generates a stable tour. Table 11 summarizes the bifurcation results, including bifurcation type, parameter value, and period. As kd increases from 5.188 to 5.672, the system transfers from LPC to NS. This reveals that although the increase in kd does not significantly alter the oscillation period, it intensifies the complexity of the system’s dynamic behavior. This evolution law indicates that kd plays a crucial role in regulating the stability of the system’s limit cycles. The kd values corresponding to these two types of bifurcation points serve as critical thresholds for the differential parameter tuning of the hydropower system. In engineering practice, it is imperative to strictly avoid the parameter intervals near 5.188 and 5.672, so as to prevent the system from falling into an unstable state due to oscillations.

5. Conclusions and Discussions

To address the oscillatory instability risk of hydropower induced by PID governor parameter mismatch under a high proportion of new energy grid integration, this study investigates multi-bifurcation instability of HPGS in infinite-bus systems by integrating bifurcation analysis, time-domain analysis, and the eigenvalue analysis. The main conclusions are as follows.
(1)
HPGS encounters five limit points with the variation in kp, which delineates the stability boundary of kp. The system achieves asymptotic stability when kp is less than 0.891. It exhibits damp oscillation characteristics for kp values between 0.891 and 2.154. The system becomes unstable once kp exceeds 2.467. Time-domain analysis at kp = 4 verifies this instability characteristic. Some modes correspond to ultra-low-frequency oscillations with frequencies close to 0.02 Hz, while the rest are typical low-frequency oscillations in the range of 0.1–2.5 Hz. Prolonged operation under such conditions is prone to causing unit fatigue and degradation of power quality. Codimension-2 bifurcation analysis initiated from LP2 reveals that ki and kp increase synchronously, and the effective ki values at all bifurcation points are higher than 0.891. In engineering practice, kp should be set below 0.891, while the adaptability between kp and ki should be considered. This ensures that the parameters stay away from bifurcation points such as BT, ZH, and CP.
(2)
Six limit points and one supercritical Hopf bifurcation (ki = 0.925) are identified with the variation in ki. H1 induces a stable limit cycle, causing the system to lose stability and exhibit sustained oscillations in the vicinity of this point. LP1 (ki = 1.303) serves as the critical point of growing oscillations, and the system loses stability directly when parameters approach this value. Oscillation mode analysis demonstrates that low-frequency oscillations around 0.57 Hz with a damping ratio of approximately 0.2 and ultra-low-frequency oscillations in the range of 0.02–0.07 Hz exist at all bifurcation points. Further continuation analysis reveals the presence of LPC and PD in the neighborhood of H1. When ki > 0.925, the dynamic behavior of the system tends toward complex instability. Codimension-2 bifurcation analysis identifies one CP and one ZH, which delineates the high-risk parameter intervals under the synergistic variation in parameters. It is necessary to strictly restrict ki to values below 0.925 and keep it far from 1.303.
(3)
HPGS undergoes two supercritical Hopf bifurcations with kd varying, indicating a risk of oscillation instability near the critical values of kd. H1 has two positive damping modes, namely 0.2096 and 0.5651, with frequencies 1.0800 Hz and 0.0670 Hz, leading to constant-amplitude sustained oscillation. H2 exhibits a negative damping mode (−0.1690, 0.3298 Hz), causing divergent oscillations and complete instability. Continuation from H1 reveals LPC and NS bifurcations, where an increase in kd exacerbates the dynamic complexity of the system, without altering the oscillation period significantly. From an engineering perspective, kd should be strictly constrained below 5.188 and kept far from 5.672 and 7.305 with sufficient safety margins.
This study focuses on the influence of the mechanism of PID controller parameters on the stability of HPGS. A single machine infinite-bus system model is adopted for analysis to accurately capture the core dynamic characteristics of HPGS, providing a clear framework for clarifying the intrinsic correlation between PID parameters and stability. However, certain limitations also exist. Constrained by modeling simplification and the conditions for acquiring hydropower station data, the accuracy of the proposed model needs to be further improved to match the actual operation status of power grids, which involves multi-bus topologies, complex network structures, and nonlinear factors. Expanding to a multi-bus nonlinear model, introducing time-varying loads and detailed network components, breaking through the bottleneck of data acquisition, and exploring the coordinated optimization of PSS and PID parameters are important and valuable research directions in the future. This will comprehensively enhance the engineering applicability and theoretical support value of the research results.

Author Contributions

Conceptualization, J.Z. and D.L.; Methodology, J.Z. Software, J.Z.; Formal analysis, H.D.; Resources, H.D. and L.Z.; Data curation, H.D.; Writing—original draft, J.Z.; Writing—review and editing, D.L., L.Z. and M.A.M.; Visualization, J.Z. and D.L.; Supervision, M.A.M.; Project administration, M.A.M.; Funding acquisition, J.Z. and D.L. All authors have read and agreed to the published version of the manuscript.

Funding

This work was supported by the National Natural Science Foundation of China (No. 52409113) and the National Natural Science Foundation of China (No. 52309111).

Institutional Review Board Statement

Not applicable.

Informed Consent Statement

Not applicable.

Data Availability Statement

The original contributions presented in this study are included in the article. Further inquiries can be directed to the corresponding author.

Conflicts of Interest

The authors declare no conflicts of interest.

Nomenclature

mtHydro-turbine torque X d Transient reactance of d-axis
meGenerator electromagnetic torqueXqReactance of q-axis
PeElectromagnetic power of generator U t θ Terminal voltage in dq coordinate system
ωRelative value of rotor speed deviation U 0 ° Voltage of infinite-bus system in xy
ωrefReference value of rotor speed coordinate system
Id, IqStator current of dq-axis I φ Current in xy coordinate system
Ud, UqStator voltage of dq-axisXLinear reactance
IGCurrent of generatorGGenerator
UGVoltage of generatorDDamping coefficient
ILCurrent of loadTabMechanical starting time
ULVoltage of load T d 0 Transient time constant of d-axis
UrefReference voltageEfExcitation voltage
UtReference terminal voltageUFExcitation negative feedback voltage
EfExcitation voltage of generatorUROutput of voltage regulator
UPSSOutput voltage of power system stabilizerKAAutomatic voltage regulator gain
eyTransmission coefficient of torque to TAAmplification time constant of automatic voltage regulator
guide vane openingKFExcitation negative feedback magnification
eqhTransmission coefficient of flow rate SEExcitation saturation coefficient
to water headT1~T4Time constants of lead-lag stages
Trelastic water hammer time constantTFExcitation negative feedback time constant
yRelative value of guide vane opening KLExternal excitation coefficient
deviationTLExcitation time constant
TyServomotor response time constantKsMagnification
uController outputTWTime constant of the separation stage
kpProportional gainxState variable
kiIntegral gainαSystem parameter
kdDifferential gainaNormal form coefficient
δRelative value of rotor anglep, qLeft and right singular vectors of Jacobian matrix
E q Armature transient voltage of q-axisl1First Lyapunov coefficient
UVoltage of infinite-busσiReal part of the eigenvalue
ωiImaginary part of the eigenvalue

Appendix A. Model Validation

To validate the effectiveness, reliability, and stability of the proposed model, we adopted a validated reference model from the Ref. [12] as the benchmark for comparison. This reference model has been previously verified using measured data from the monitoring system of the Nazixia hydropower station. A comparative analysis between the proposed model and the reference model is conducted, and the results are presented in Figure A1.
Figure A1. Output comparison between the proposed model and the reference model. (a) Dynamic response of the proposed model; (b) Dynamic response of the reference model.
Figure A1. Output comparison between the proposed model and the reference model. (a) Dynamic response of the proposed model; (b) Dynamic response of the reference model.
Sustainability 18 01585 g0a1
Figure A1 shows the output comparison between the proposed model and the reference model under the same conditions. At the initial stage of dynamic response, the two models display fluctuations. The maximum fluctuation amplitude of the proposed model is around 1.191, and that of the reference model is about 1.077, showing consistent trends during the dynamic process. According to the overall variation tendency of the curves, the dynamic responses of the two models finally achieve a stable state and converge to the same final value of one, which proves that the proposed model has a good ability to characterize dynamic responses. In conclusion, the proposed model is effectively verified in terms of dynamic characteristics and steady-state, and it can be applied to the subsequent analysis of dynamic characteristics under PID parameter perturbation.

References

  1. Appenzeller, T. 2025 Breakthrough of the Year: Good Morning, Sunshine. Science 2025, 390, 1208–1209. [Google Scholar] [CrossRef]
  2. Zhang, J.J.; Li, H.H.; Chen, D.Y.; Xu, B.B.; Md, A.M. Flexibility assessment of a hybrid power system: Hydroelectric units in balancing the injection of wind power. Renew. Energy 2021, 171, 1313–1326. [Google Scholar] [CrossRef]
  3. Ling, D.J. Bifurcation and Chaos of Hydraulic Turbine Governor. Ph.D. Thesis, Hohai Universtiy, Nanjing, China, 2007. (In Chinese) [Google Scholar]
  4. Aloui, H.; Bacha, F.; Gasmi, M. Bifurcation analysis in a dynamic power system using Matcont software. In Proceedings of the 16th International Conference on Sciences & Techniques of Automatic Control & Computer Engineering, Monastir, Tunisia, 19–21 December 2016; pp. 593–598. [Google Scholar]
  5. Vaithianathan, M.; Venkatasubramanian, L.Y. Analysis of 1996 western American electric blackouts. In Proceedings of the Bulk Power System Dynamics and Control-VI, Cortina d’Ampezzo, Italy, 22–27 August 2004. [Google Scholar]
  6. Kim, K.; Schattler, H.; Venkatasubramanian, V.; Zaborszky, J.; Hirsch, P. Methods for calculating oscillations in large power systems. IEEE Trans. Power Syst. 1997, 12, 1639–1648. [Google Scholar] [CrossRef]
  7. Huang, M.; Guo, W.C. Synchronous operation stability of three-stage hydropower stations based on feedback regulation of regulating reservoir water levels. Energy Sci. Eng. 2025, 14, 300–321. [Google Scholar] [CrossRef]
  8. Huang, Y.F.; Yang, W.J.; Liao, Y.W.; Zhao, Z.G.; Ma, W.C.; Yang, J.B.; Yang, J.D. Improved transfer function method for flexible simulation of hydraulic-mechanical-electrical transient processes of hydro-power plants. Renew. Energy 2022, 196, 390–404. [Google Scholar] [CrossRef]
  9. Yu, X.D.; Yang, X.W.; Yu, C.; Zhang, J.; Tian, Y. Direct approach to optimize PID controller parameters of hydropower plants. Renew. Energy 2021, 173, 342–350. [Google Scholar] [CrossRef]
  10. Deng, Y.W.; Xu, B.B.; Chen, D.Y.; Liu, J. Stochastic global stability and bifurcation of a hydro-turbine generator. Commun. Nonlinear Sci. 2019, 72, 64–77. [Google Scholar] [CrossRef]
  11. Zhang, T.Y.; Zhou, J.Z.; Lai, X.J.; Huang, Y.; Li, M.Y. Nonlinear stability and dynamic characteristics of grid-connected hydropower station with surge tank of a long lateral pipe. Int. J. Elec. Power 2022, 136, 107654. [Google Scholar] [CrossRef]
  12. Xu, B.B.; Chen, D.Y.; Behrens, P.; Ye, W.; Guo, P.C.; Luo, X.Q. Modeling oscillation modal interaction in a hydroelectric generating system. Energy Convers. Manag. 2018, 174, 208–217. [Google Scholar] [CrossRef]
  13. Jiang, Q.; Li, B.H.; Liu, T.Q. Investigation of hydro-governor parameters’ impact on ULFO. IET Renew. Power Gen. 2019, 13, 3133–3141. [Google Scholar] [CrossRef]
  14. Lu, X.D.; Li, C.S.; Liu, D.; Wang, H.; Zhu, Z.W.; Ta, X.; Xu, R.L. Correlating analysis and optimization between hydropower system parameters and multi-frequency oscillation characteristics. Energy 2024, 304, 131789. [Google Scholar] [CrossRef]
  15. Mirzakhalili, E.; Epureanu, B.I. Probabilistic analysis of bifurcations in stochastic nonlinear dynamical systems. J. Comput. Nonlinear Dyn. 2019, 14, 081009. [Google Scholar] [CrossRef]
  16. Sahoo, B.; Poria, S. Effects of allochthonous inputs in the control of infectious disease of prey. Chaos Soliton. Fract. 2015, 75, 1–19. [Google Scholar] [CrossRef]
  17. Nandakumar, K.; Chatterjee, A. Continuation of limit cycles near saddle homoclinic points using splines in phase space. Nonlinear Dyn. 2009, 57, 383–399. [Google Scholar] [CrossRef]
  18. Govaerts, W. Numerical bifurcation analysis for ODEs. J. Comput. Appl. Math. 2000, 125, 57–68. [Google Scholar] [CrossRef]
  19. Kobravi, K.; Kinsner, W.; Filizadeh, S. Analysis of bifurcation and stability in a simple power system using MATCONT. In Proceedings of the Canadian Conference on Electrical & Computer Engineering, Vancouver, BC, Canada, 22–26 April 2007; pp. 1150–1154. [Google Scholar]
  20. Kuznetsov, Y.A.; Meijer, H.G.E.; Govaerts, W.; Sautois, B. Switching to nonhyperbolic cycles from codim 2 bifurcations of equilibria in ODEs. Phys. D Nonlinear Phenom. 2008, 237, 3061–3068. [Google Scholar] [CrossRef]
  21. Govaerts, W.; Kuznetsov, Y.A.; Sijnave, B. Numerical methods for the generalized Hopf bifurcation. SIAM J. Numer. Anal. 2000, 38, 329–346. [Google Scholar] [CrossRef]
  22. Govaerts, W.; Ghaziani, R.K. Numerical bifurcation analysis of a nonlinear stage structured cannibalism population model. J. Differ. Equ. Appl. 2006, 12, 1069–1085. [Google Scholar] [CrossRef]
  23. Zhang, G.Z.; Hu, W.H.; Cao, D.; Huang, Q.; Yi, J.B.; Chen, Z.; Blaabjerg, F. Deep reinforcement learning-based approach for proportional resonance power system stabilizer to prevent ultra-low-frequency oscillations. IEEE Trans. Smart Grid 2020, 11, 5260–5272. [Google Scholar] [CrossRef]
  24. Kiaei, I.; Lotfifard, S.; Bose, A. Secure loss of excitation detection method for synchronous generators during power swing conditions. IEEE Trans. Energy Convers. 2018, 33, 1907–1916. [Google Scholar] [CrossRef]
  25. Ray, P.K.; Paital, S.R.; Mohanty, A.; Eddy, F.Y.S.; Gooi, H.B. A robust power system stabilizer for enhancement of stability in power system using adaptive fuzzy sliding mode control. Appl. Soft Comput. 2018, 73, 471–481. [Google Scholar] [CrossRef]
  26. Orchi, T.F.; Roy, T.K.; Mahmud, M.A.; Oo, A.M.T. Feedback linearizing model predictive excitation controller design for multimachine power systems. IEEE Access 2018, 6, 2310–2319. [Google Scholar] [CrossRef]
  27. Farahani, M.; Ganjefar, S. Intelligent power system stabilizer design using adaptive fuzzy sliding mode controller. Neurocomputing 2017, 226, 135–144. [Google Scholar] [CrossRef]
  28. Nogueira, F.G.; Barra, W.; da Costa, C.T.; Lana, J.J. LPV-based power system stabilizer: Identification, control and field tests. Control. Eng. Pract. 2017, 72, 53–67. [Google Scholar] [CrossRef]
  29. Qin, Y.F. Research on Transient Stability Limits Using Trajectory Sensitivities. Master’s Thesis, Tianjin University, Tianjin, China, 2004. [Google Scholar]
  30. IEEE Working Group. Hydraulic turbine and turbine control model for system dynamic studies. IEEE Trans. Power Syst. 1992, 7, 167–179. [Google Scholar] [CrossRef]
  31. Solomon, E.; Khan, B.; Boulkaibet, I.; Neji, B.; Khezami, N.; Ali, A.; Mahela, O.P.; Barrera, A.E.P. Mitigating low-frequency oscillations and enhancing the dynamic stability of power system using optimal coordination of power system stabilizer and unified power flow controller. Sustainability 2023, 15, 6980. [Google Scholar] [CrossRef]
  32. Chitara, D.; Niazi, K.R.; Swarnkar, A.; Gupta, N. Cuckoo search optimization algorithm for designing of a multimachine power system stabilizer. IEEE Trans. Ind. Appl. 2018, 54, 3056–3065. [Google Scholar] [CrossRef]
  33. Ni, Y.X.; Chen, S.S.; Zhang, B.L. Theory and Analysis of Dynamic Power System, 1st ed.; Tsinghua University Press: Beijing, China, 2002. [Google Scholar]
Figure 1. Global installed electricity capacity [1].
Figure 1. Global installed electricity capacity [1].
Sustainability 18 01585 g001
Figure 2. The structure diagram of HPGS in the infinite-bus power system.
Figure 2. The structure diagram of HPGS in the infinite-bus power system.
Sustainability 18 01585 g002
Figure 3. The structure diagram of an infinite-bus power system.
Figure 3. The structure diagram of an infinite-bus power system.
Sustainability 18 01585 g003
Figure 4. The transfer function diagram of the excitation system.
Figure 4. The transfer function diagram of the excitation system.
Sustainability 18 01585 g004
Figure 5. The transfer function diagram of the power system stabilizer.
Figure 5. The transfer function diagram of the power system stabilizer.
Sustainability 18 01585 g005
Figure 6. The relationship between the dq-axis and the xy-axis coordinate system.
Figure 6. The relationship between the dq-axis and the xy-axis coordinate system.
Sustainability 18 01585 g006
Figure 7. Continuation curves of the equilibrium point of HPGS. EC represents the equilibrium point curve. During the ‘Forward’ continuation, LP1–LP5 are unveiled. For the ‘Backward’ continuation, LP6–LP10 are exposed. (a) Continuation curve of Ef-y; (b) Continuation curve of ω-y.
Figure 7. Continuation curves of the equilibrium point of HPGS. EC represents the equilibrium point curve. During the ‘Forward’ continuation, LP1–LP5 are unveiled. For the ‘Backward’ continuation, LP6–LP10 are exposed. (a) Continuation curve of Ef-y; (b) Continuation curve of ω-y.
Sustainability 18 01585 g007
Figure 8. Dynamic response process of bifurcation scenarios. (a) Dynamic response process of bifurcation points under kp variation; (b) Comprehensive analysis of dynamic responses at bifurcation points.
Figure 8. Dynamic response process of bifurcation scenarios. (a) Dynamic response process of bifurcation points under kp variation; (b) Comprehensive analysis of dynamic responses at bifurcation points.
Sustainability 18 01585 g008
Figure 9. Continuation bifurcation curves starting from LP2 of HPGS. ZH stands for the zero Hopf point. CP represents the cusp point. BT represents the Bogdanov−Takens point. (a) Continuation curve of Ef ; (b) Continuation curve of ω.
Figure 9. Continuation bifurcation curves starting from LP2 of HPGS. ZH stands for the zero Hopf point. CP represents the cusp point. BT represents the Bogdanov−Takens point. (a) Continuation curve of Ef ; (b) Continuation curve of ω.
Sustainability 18 01585 g009
Figure 10. Continuation curves of the equilibrium point of HPGS. LP1, LP2, and H1 are revealed in the ‘Forward’ continuation. LP3–LP8 are exposed in the ‘Backward’ continuation. (a) Continuation curve of Ef-y; (b) Continuation curve of ω-y.
Figure 10. Continuation curves of the equilibrium point of HPGS. LP1, LP2, and H1 are revealed in the ‘Forward’ continuation. LP3–LP8 are exposed in the ‘Backward’ continuation. (a) Continuation curve of Ef-y; (b) Continuation curve of ω-y.
Sustainability 18 01585 g010
Figure 11. Dynamic response process of bifurcation points under ki variation. (a) Dynamic response process of bifurcation points under ki variation; (b) Comprehensive analysis of dynamic responses at bifurcation points.
Figure 11. Dynamic response process of bifurcation points under ki variation. (a) Dynamic response process of bifurcation points under ki variation; (b) Comprehensive analysis of dynamic responses at bifurcation points.
Sustainability 18 01585 g011
Figure 12. Family of limit cycles bifurcating from the H1 of HPGS under ki variation. (a) Continuation curve of Ef; (b) Continuation curve of ω; (c) Limit cycle period under ki variation.
Figure 12. Family of limit cycles bifurcating from the H1 of HPGS under ki variation. (a) Continuation curve of Ef; (b) Continuation curve of ω; (c) Limit cycle period under ki variation.
Sustainability 18 01585 g012
Figure 13. Continuation bifurcation curves starting from LP2 of HPGS. ZH stands for the zero-Hopf point. CP represents the cusp point. (a) Continuation curve of Ef; (b) Continuation curve of ω.
Figure 13. Continuation bifurcation curves starting from LP2 of HPGS. ZH stands for the zero-Hopf point. CP represents the cusp point. (a) Continuation curve of Ef; (b) Continuation curve of ω.
Sustainability 18 01585 g013
Figure 14. Continuation curves of equilibrium of HPGS. H1–H4 are revealed in the ‘Forward’ continuation. H5–H6 are exposed in the ‘Backward’ continuation. (a) Continuation curve of Ef; (b) Continuation curve of ω.
Figure 14. Continuation curves of equilibrium of HPGS. H1–H4 are revealed in the ‘Forward’ continuation. H5–H6 are exposed in the ‘Backward’ continuation. (a) Continuation curve of Ef; (b) Continuation curve of ω.
Sustainability 18 01585 g014
Figure 15. Dynamic response process of bifurcation points under kd variation. (a) Dynamic response process of H1; (b) Dynamic response process of H2.
Figure 15. Dynamic response process of bifurcation points under kd variation. (a) Dynamic response process of H1; (b) Dynamic response process of H2.
Sustainability 18 01585 g015
Figure 16. Family of limit cycles bifurcating from H1 of HPGS. (a) Continuation curve of Ef; (b) Continuation curve of ω.
Figure 16. Family of limit cycles bifurcating from H1 of HPGS. (a) Continuation curve of Ef; (b) Continuation curve of ω.
Sustainability 18 01585 g016
Table 1. The values of the system parameters.
Table 1. The values of the system parameters.
ParametersValuesUnitsParametersValuesUnits
Xd0.352p.u.KF0.1p.u.
Xd2.1p.u.Tw2s
Xq0.05p.u.T10.2s
Ty0.1sT20.08s
U1p.u.T31.5s
eqh0.5p.u.T41s
emy1p.u.Tab8s
e0.7p.u.D2p.u.
Tr1.3sKs0.9p.u.
hw2p.u.TL0.01s
KA2.7p.u.KL1p.u.
TA0.05sTd07.6s
Uref0.01p.u.kp1p.u.
X0.3p.u.ki0.05s−1
TF0.715skd0.01s
Table 2. Bifurcation results from the equilibrium point under kp variation.
Table 2. Bifurcation results from the equilibrium point under kp variation.
Type of Conditionkp (p.u.)Normal Form Coefficient (a)
LP20.891−2.978 × 10−1
LP41.840−1.252 × 10−1
LP62.154−1.205 × 10−1
LP81.2052.693 × 10−1
LP102.467−1.162 × 10−1
Table 3. Oscillation mode information under kp variation.
Table 3. Oscillation mode information under kp variation.
Bifurcation PointEigenvalueDamping RatioFrequence
LP2−0.8964 ± 0.1644 i0.98350.0261
−0.7398 ± 3.5853 i0.20210.5706
−0.3261 ± 0.3226 i0.71080.0513
LP4−0.7382 ± 3.6495 i0.19820.5808
−0.2409 ± 0.6798 i0.33400.1081
LP6−0.7362 ± 3.669 i0.19670.5840
−0.2147 ± 0.7095 i0.28970.1129
LP8−0.8682 ± 0.1502 i0.98530.0239
−0.7402 ± 3.6062 i0.20100.5739
−0.3158 ± 0.3845 i0.63470.0612
LP10−0.7335 ± 3.6893 i0.19500.5871
−0.1883 ± 0.7356 i0.24790.1170
The symbol i in the eigenvalue denotes the imaginary unit.
Table 4. Codimension-2 bifurcation results from the LP2.
Table 4. Codimension-2 bifurcation results from the LP2.
Type of Conditionki (s−1)kp (p.u.)
BT11.6032.490
BT22.3293.516
CP13.3925.203
ZH2.0372.564
Table 5. Bifurcation results from the equilibrium point under ki variation.
Table 5. Bifurcation results from the equilibrium point under ki variation.
Typeki (s−1)Normal Form Coefficient (a or l1)
LP11.303−1.749 × 10−1
LP20.1843.214 × 10−1
H10.925−1.104 × 10−3
LP40.339−3.740 × 10−1
LP50.021−2.808 × 10−1
LP60.3431.466 × 10−1
LP80.1573.140 × 10−1
Table 6. Oscillation mode information under ki variation.
Table 6. Oscillation mode information under ki variation.
Bifurcation PointEigenvalueDamping RatioFrequence
LP1−1.0911 ± 0.1206 i0.99390.0192
−0.7179 ± 3.5891 i0.19610.5712
−0.0755 ± 0.3478 i0.21230.0554
LP2−0.9045 ± 0.1662 i0.98350.0265
−0.7377 ± 3.5921 i0.20110.5717
−0.3070 ± 0.2984 i0.71710.0474
H1−0.9664 ± 0.1244 i0.99180.0198
−0.7242 ± 3.5906 i0.19770.5714
LP4−0.7350 ± 3.5921 i0.20040.5717
−0.5509 ± 0.3667 i0.83240.0583
LP5−0.8815 ± 0.1576 i0.98430.0250
−0.7406 ± 3.5927 i0.20180.5718
−0.3270 ± 0.3546 i0.67780.0564
LP6−1.0368 ± 0.0773 i0.99720.0123
−0.7347 ± 3.5922 i0.20030.5717
−0.1935 ± 0.4615 i0.38660.0735
LP8−0.7383 ± 3.5927 i0.20120.5718
−0.5102 ± 0.4144 i0.77620.0656
The symbol i in the eigenvalue denotes the imaginary unit.
Table 7. Continuation information from H1 under ki variation.
Table 7. Continuation information from H1 under ki variation.
Typeki (s−1)Period
LPC10.924712.722
PD10.983419.427
PD21.033926.524
LPC21.034427.768
Table 8. Codimension-2 bifurcation results from the LP2.
Table 8. Codimension-2 bifurcation results from the LP2.
Typeki (s−1)kp (p.u.)
CP23.39216.111
ZH1.2495.792
Table 9. Bifurcation results from the equilibrium point under kd variation.
Table 9. Bifurcation results from the equilibrium point under kd variation.
Typekd (s)Normal Form Coefficient (l1)Quality
H15.187−4.962 × 10−4supercritical
H27.305−9.920 × 10−7supercritical
Table 10. Oscillation mode information under kd variation.
Table 10. Oscillation mode information under kd variation.
Bifurcation PointEigenvalueDamping RatioFrequence
H1−1.4549 ± 6.7863 i0.20961.0800
−0.2887 ± 0.4214 i0.56510.0670
H2−0.2452 ± 0.3751 i0.54720.0597
0.3554 ± 2.0726 i−0.16900.3298
The symbol i in the eigenvalue denotes the imaginary unit.
Table 11. Continuation information from H1 under kd variation.
Table 11. Continuation information from H1 under kd variation.
Typekd (s)Period
LPC5.1883.156
NS5.6723.152
Disclaimer/Publisher’s Note: The statements, opinions and data contained in all publications are solely those of the individual author(s) and contributor(s) and not of MDPI and/or the editor(s). MDPI and/or the editor(s) disclaim responsibility for any injury to people or property resulting from any ideas, methods, instructions or products referred to in the content.

Share and Cite

MDPI and ACS Style

Zhang, J.; Ding, H.; Liu, D.; Zhang, L.; Mahmud, M.A. PID Regulation Enabling Multi-Bifurcation Instability of a Hydroelectric Power Generation System in the Infinite-Bus Power System. Sustainability 2026, 18, 1585. https://doi.org/10.3390/su18031585

AMA Style

Zhang J, Ding H, Liu D, Zhang L, Mahmud MA. PID Regulation Enabling Multi-Bifurcation Instability of a Hydroelectric Power Generation System in the Infinite-Bus Power System. Sustainability. 2026; 18(3):1585. https://doi.org/10.3390/su18031585

Chicago/Turabian Style

Zhang, Jingjing, Huhang Ding, Dong Liu, Lihong Zhang, and Md Apel Mahmud. 2026. "PID Regulation Enabling Multi-Bifurcation Instability of a Hydroelectric Power Generation System in the Infinite-Bus Power System" Sustainability 18, no. 3: 1585. https://doi.org/10.3390/su18031585

APA Style

Zhang, J., Ding, H., Liu, D., Zhang, L., & Mahmud, M. A. (2026). PID Regulation Enabling Multi-Bifurcation Instability of a Hydroelectric Power Generation System in the Infinite-Bus Power System. Sustainability, 18(3), 1585. https://doi.org/10.3390/su18031585

Note that from the first issue of 2016, this journal uses article numbers instead of page numbers. See further details here.

Article Metrics

Back to TopTop