Tailored Carbon Catalysts Derived from Biomass for Efficient Glucose-to-5-HMF Transformation
Abstract
1. Introduction
2. Materials and Methods
2.1. Materials
2.2. Methods
2.2.1. Characterization of the Catalysts
2.2.2. Conversion of Glucose into HMF
3. Results and Discussion
3.1. Characterization of Modified Carbon Catalysts
3.2. Catalytic Performance and Yield Comparison
4. Conclusions
Supplementary Materials
Author Contributions
Funding
Institutional Review Board Statement
Informed Consent Statement
Data Availability Statement
Acknowledgments
Conflicts of Interest
References
- Kammoun, M.; Margellou, A.; Toteva, V.B.; Aladjadjiyan, A.; Sousa, A.F.; Luis, S.V.; Garcia-Verdugo, E.; Triantafyllidis, K.S.; Richel, A. The key role of pretreatment for the one-step and multi-step conversions of European lignocellulosic materials into furan compounds. RSC Adv. 2023, 13, 21395–21420. [Google Scholar] [CrossRef]
- Yu, I.K.M.; Tsang, D.C.W. Conversion of biomass to hydroxymethylfurfural: A review of catalytic systems and underlying mechanisms. Bioresour. Technol. 2017, 238, 716–732. [Google Scholar] [CrossRef]
- Olea, B.T.; Nuñez, I.F.; Sancho, C.G.; Cecilia, J.A.; Tost, R.M.; Torres, P.M. Production of Biofuels by 5-Hydroxymethylfurfural Etherification Using Ion-Exchange Resins as Solid Acid Catalysts. Chem. Proc. 2020, 2, 34. [Google Scholar] [CrossRef]
- Papadopoulos, L.; Xanthopoulou, E.; Nikolaidis, G.N.; Zamboulis, A.; Achilias, D.S.; Papageorgiou, G.Z.; Bikiaris, D.N. Towards high molecular weight furan-based polyesters: Solid state polymerization study of bio-based poly(propylene furanoate) and poly(butylene furanoate). Materials 2020, 13, 4880. [Google Scholar] [CrossRef] [PubMed]
- Popova, M.; Dimitrov, M.; Boycheva, S.; Dimitrov, I.; Ublekov, F.; Koseva, N.; Atanasova, G.; Karashanova, D.; Szegedi, Á. Ni-Cu and Ni-Co-Modified Fly Ash Zeolite Catalysts for Hydrodeoxygenation of Levulinic Acid to γ-Valerolactone. Molecules 2024, 29, 99. [Google Scholar] [CrossRef]
- Hoang, A.T.; Pandey, A.; Huang, Z.; Luque, R.; Ng, K.H.; Papadopoulos, A.M.; Chen, W.-H.; Rajamohan, S.; Hadiyanto, H.; Nguyen, X.P.; et al. Catalyst-Based Synthesis of 2,5-Dimethylfuran from Carbohydrates as a Sustainable Biofuel Production Route. ACS Sustain. Chem. Eng. 2022, 10, 3079–3115. [Google Scholar] [CrossRef]
- Ng, K.S.; Farooq, D.; Yang, A. Global biorenewable development strategies for sustainable aviation fuel production. Renew. Sustain. Energy Rev. 2021, 150, 111502. [Google Scholar] [CrossRef]
- Alonso, D.M.; Bond, J.Q.; Dumesic, J.A. Catalytic conversion of biomass to biofuels. Green Chem. 2010, 12, 1493–1513. [Google Scholar] [CrossRef]
- Martin, G.D.; Lara, B.; Bounoukta, C.E.; Domínguez, M.I.; Ammari, F.; Ivanova, S.; Centeno, M.Á. Glucose dehydration reaction over metal halides supported on activated charcoal catalysts. Catal. Today 2023, 423, 114012. [Google Scholar] [CrossRef]
- Rusanen, A.; Lahti, R.; Lappalainen, K. Catalytic conversion of glucose to 5-hydroxymethylfurfural over biomass- based activated carbon catalyst. Catal. Today 2020, 357, 94–101. [Google Scholar] [CrossRef]
- Bounoukta, C.E.; Megías-Sayago, C.; Ammari, F.; Ivanova, S.; Monzon, A.; Centeno, M.A.; Odriozola, J.A. Dehydration of glucose to 5-Hydroxymethlyfurfural on bifunctional carbon catalysts. Appl. Catal. B 2021, 286, 119938. [Google Scholar] [CrossRef]
- Cui, X.; Zheng, L.; Li, Q.; Guo, Y. A remarkable bifunctional carbon-based solid acid catalyst derived from waste bio-tar for efficient synthesis of 5-hydroxymethylfurfural from glucose. Chem. Eng. J. 2023, 474, 146006. [Google Scholar] [CrossRef]
- Rusanen, A.; Kupila, R.; Lappalainen, K.; Kärkkäinen, J.; Hu, T.; Lassi, U. Conversion of xylose to furfural over lignin-based activated carbon-supported iron catalysts. Catalysts 2020, 10, 821. [Google Scholar] [CrossRef]
- Li, M.; Zhang, Q.; Luo, B.; Chen, C.; Wang, S.; Min, D. Lignin-based carbon solid acid catalyst prepared for selectively converting fructose to 5-hydroxymethylfurfural. Ind. Crops Prod. 2020, 145, 111920. [Google Scholar] [CrossRef]
- Chen, B.; Xu, G.; Chang, C.; Zheng, Z.; Wang, D.; Zhang, S.; Li, K.; Zou, C. Efficient One-Pot Production of Biofuel 5-Ethoxymethylfurfural from Corn Stover: Optimization and Kinetics. Energy Fuels 2019, 33, 4310–4321. [Google Scholar] [CrossRef]
- Georgiev, G.; Stoycheva, I.; Tsyntsarski, B.; Miteva, K.; Yardim, M.F. Novel Synthesis Method of Carbon Materials from Refuse-Derived Fuel. In Proceedings of the International Multidisciplinary Scientific GeoConference Surveying Geology and Mining Ecology Management, SGEM, Albena, Bulgaria, 26 June–5 July 2021. [Google Scholar] [CrossRef]
- BDS ISO 562:2024; Hard Coal and Coke—Determination of Volatile Matter. ISO: Geneva, Switzerland, 2024.
- BDS ISO 1171:2024; Coal and Coke—Determination of Ash. ISO: Geneva, Switzerland, 2024.
- Landers, J.; Gor, G.Y.; Neimark, A.V. Density functional theory methods for characterization of porous materials. Colloids Surf. A Physicochem. Eng. Asp. 2013, 437, 3–32. [Google Scholar] [CrossRef]
- Greczynski, G.; Hultman, L. X-ray photoelectron spectroscopy: Towards reliable binding energy referencing. Prog. Mater. Sci. 2020, 107, 100591. [Google Scholar] [CrossRef]
- Zhang, Z.; Chen, Y.; Zhou, L.; Chen, C.; Han, Z.; Zhang, B.; Wu, Q.; Yang, L.; Du, L.; Bu, Y.; et al. The simplest construction of single-site catalysts by the synergism of micropore trapping and nitrogen anchoring. Nat. Commun. 2019, 10, 1657. [Google Scholar] [CrossRef]
- Bicil, Z.; Doğan, M. Characterization of Activated Carbons Prepared from Almond Shells and Their Hydrogen Storage Properties. Energy Fuels 2021, 35, 10227–10240. [Google Scholar] [CrossRef]
- Akl, M.; Mostafa, A.; Al-Awadhi, M.; Al-Harwi, W.S.; Abdelrahman, S.; El-Zeny, A. Zinc chloride activated carbon derived from date pits for efficient biosorption of brilliant green: Adsorption characteristics and mechanism study. Appl. Water Sci. 2023, 13, 226. [Google Scholar] [CrossRef]
- Wang, Q.; Luo, B.; Wang, Z.; Hu, Y.; Du, M. Pore Engineering in Biomass-Derived Carbon Materials for Enhanced Energy, Catalysis, and Environmental Applications. Molecules 2024, 29, 5172. [Google Scholar] [CrossRef]
- Thommes, M.; Kaneko, K.; Neimark, A.V.; Olivier, J.P.; Rodriguez-Reinoso, F.; Rouquerol, J.; Sing, K.S.W. Physisorption of gases, with special reference to the evaluation of surface area and pore size distribution (IUPAC Technical Report). Pure Appl. Chem. 2015, 87, 1051–1069. [Google Scholar] [CrossRef]
- Al-Oweini, R.; Aghyarian, S.; El-Rassy, H. Immobilized polyoxometalates onto mesoporous organically-modified silica aerogels as selective heterogeneous catalysts of anthracene oxidation. J. Sol-Gel Sci. Technol. 2012, 61, 541–550. [Google Scholar] [CrossRef]
- Upare, P.P.; Yoon, J.W.; Kim, M.Y.; Kang, H.-Y.; Hwang, D.W.; Hwang, Y.K.; Kung, H.H.; Chang, J.-S. Chemical conversion of biomass-derived hexose sugars to levulinic acid over sulfonic acid-functionalized graphene oxide catalysts. Green Chem. 2013, 15, 2935–2943. [Google Scholar] [CrossRef]
- Daza-Gómez, L.C.; Vargas Escobar, B.E.; Díaz, D.; García-Peña, N.G.; Redón, R. Amorphous and crystalline SiO2 supports, interaction with ZnO obtained by various methods: Implications for rhodamine 6G elimination. J. Coord. Chem. 2025, 78, 2251–2270. [Google Scholar] [CrossRef]
- Kupila, R.; Lappalainen, K.; Hu, T.; Romar, H.; Lassi, U. Lignin-Based Activated Carbon-Supported Metal Oxide Catalysts in Lactic Acid Production from Glucose. Appl. Catal. A Gen. 2021, 612, 117997. [Google Scholar] [CrossRef]
- Schmidt, S.A.; Kumar, N.; Shchukarev, A.; Eränen, K.; Mikkola, J.-P.; Murzin, D.Y.; Salmi, T. Preparation and Characterization of Neat and ZnCl2-Modified Zeolites and Alumina for Methyl Chloride Synthesis. Appl. Catal. A Gen. 2013, 468, 120–130. [Google Scholar] [CrossRef]
- Zhao, H.; Zhong, H.; Jiang, Y.; Li, H.; Tang, P.; Li, D.; Feng, Y. Porous ZnCl2-Activated Carbon from Shaddock Peel: Methylene Blue Adsorption Behavior. Materials 2022, 15, 895. [Google Scholar] [CrossRef]
- Sun, Y.; Chen, L.; Bao, Y.; Zhang, Y.; Wang, J.; Fu, M.; Wu, J.; Ye, D. The Applications of Morphology Controlled ZnO in Catalysis. Catalysts 2016, 6, 188. [Google Scholar] [CrossRef]
- Dechakhumwat, S.; Hongmanorom, P.; Thunyaratchatanon, C.; Smith, S.M.; Boonyuen, S.; Luengnaruemitchai, A. Catalytic activity of heterogeneous acid catalysts derived from corncob in the esterification of oleic acid with methanol. Renew. Energy 2020, 148, 897–906. [Google Scholar] [CrossRef]
- Patawat, C.; Silakate, K.; Chuan-Udom, S.; Supanchaiyamat, N.; Hunt, A.J.; Ngernyen, Y. Preparation of activated carbon from Dipterocarpus alatus fruit and its application for methylene blue adsorption. RSC Adv. 2020, 10, 21082–21091. [Google Scholar] [CrossRef]
- Ferrari, A.C.; Robertson, J. Raman spectroscopy of amorphous, nanostructured, diamond-like carbon, and nanodiamond. Philos. Trans. R. Soc. A Math. Phys. Eng. Sci. 2004, 362, 2477–2512. [Google Scholar] [CrossRef]
- Schuepfer, D.B.; Badaczewski, F.; Guerra-Castro, J.M.; Hofmann, D.M.; Heiliger, C.; Smarsly, B.; Klar, P.J. Assessing the structural properties of graphitic and non-graphitic carbons by Raman spectroscopy. Carbon 2020, 161, 359–372. [Google Scholar] [CrossRef]
- Li, X.; Zhang, Y.; Xia, Q.; Liu, X.; Peng, K.; Yang, S.; Wang, Y. Acid-Free Conversion of Cellulose to 5-(Hydroxymethyl)furfural Catalyzed by Hot Seawater. Ind. Eng. Chem. Res. 2018, 57, 3545–3553. [Google Scholar] [CrossRef]
- Saha, B.; Abu-Omar, M.M. Advances in 5-hydroxymethylfurfural production from biomass in biphasic solvents. Green Chem. 2014, 16, 24–38. [Google Scholar] [CrossRef]
- David, G.F.; Delgadillo, D.M.E.; Castro, G.A.D.; Cubides-Roman, D.C.; Fernandes, S.A.; Lacerda Júnior, V. Conversion of Glucose to 5-Hydroxymethylfurfural Using Consortium Catalyst in a Biphasic System and Mechanistic Insights. Catalysts 2023, 13, 574. [Google Scholar] [CrossRef]









| Sample | Ultimate Analysis (Dry Basis) | Proximate Analysis (Dry Basis) | ||||
|---|---|---|---|---|---|---|
| C, %wt | H, %wt | N, %wt | S, %wt | VM, %wt | Ash, %wt | |
| Almond shells | 49.59 | 5.32 | 0.8 | 0.1 | 72.91 | 1.36 |
| AC | 84.6 | 1.82 | 0.65 | 0.05 | 10.40 | 3.93 |
| AC18M | 82.06 | 1.42 | 0.60 | 2.52 | 10.23 | 3.32 |
| ACZn | 78.19 | 1.70 | 1.30 | 1.44 | 11.54 | 5.44 |
| Textural Properties | AC | ACZn | AC18M |
|---|---|---|---|
| Specific surface area (SBET, m2 g−1) | 452 | 604 | 441 |
| Total pore volume (Vtot, cm3 g−1) | 0.22 | 0.30 | 0.22 |
| Micropore volume (VMic, cm3 g−1) | 0.149 | 0.197 | 0.144 |
| Mesopore volume (VMes, cm3 g−1) | 0.072 | 0.106 | 0.068 |
| QSDFT Pore Diameter (nm) | 1.01 | 0.67 | 1.01 |
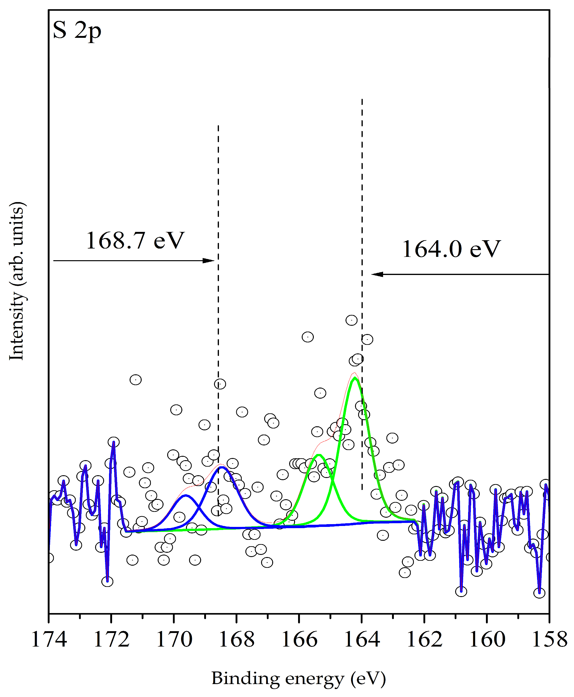
| Sample | ACZn | AC18M | |
|---|---|---|---|
| S2p | BE, eV | % At Conc. | % At Conc. |
| S(=O)2 | 164.2 | n.d. | 0.3 |
| -SO3H | 168.5 | n.d. | 0.1 |
| C1s | |||
| C-C (sp3) | 284.6 | 35 | 46.3 |
| C-O | 285.5 | 18.9 | 18.3 |
| C=O | 287 | 6.9 | 5.4 |
| O-C=O | 289 | 3.5 | 2.9 |
| π-π | 291 | 4.2 | 1.6 |
| Total C %At Conc | C 1s | 68.7 | 74.4 |
| O1s | |||
| Zn=O | 530.9 | 8.6 | n.d. |
| O-C=O | 532 | 7.1 | 7.8 |
| Anhydrides or lactones | 532.9 | 2.6 | n.d. |
| S=O | 533.4 | n.d. | 5.5 |
| H2O (ads.) | 534.9 | n.d. | 1.1 |
| Total O %At Conc | 18.3 | 14.3 | |
| Zn 2p3/2 | 1021.9 | 6.8 | 0.6 |
| Sample | D (cm−1) | G (cm−1) | ID/IG |
|---|---|---|---|
| AC | 1313 | 1600 | 0.9922 |
| AC18M | 1313 | 1597 | 0.9837 |
| ACZn | 1327 | 1597 | 0.9967 |
| Catalyst | Solvent | HMF Yield (%) |
|---|---|---|
| – | THF/water | 2.7 |
| – | THF/water/NaCl | 37.1 |
| AC | THF/water/NaCl | 39.4 |
| ACZn | THF/water/NaCl | 55.2 |
| AC18M | THF/water/NaCl | 47.9 |
| H2SO4 | THF/water/NaCl | 36 |
| ZnCl2 | THF/water/NaCl | 37.6 |
| H2SO4/ZnCl2 | THF/water/NaCl | 32.2 |
Disclaimer/Publisher’s Note: The statements, opinions and data contained in all publications are solely those of the individual author(s) and contributor(s) and not of MDPI and/or the editor(s). MDPI and/or the editor(s) disclaim responsibility for any injury to people or property resulting from any ideas, methods, instructions or products referred to in the content. |
© 2026 by the authors. Licensee MDPI, Basel, Switzerland. This article is an open access article distributed under the terms and conditions of the Creative Commons Attribution (CC BY) license.
Share and Cite
Toteva, V.; Georgiev, G.; Angelova, D.; Godzierz, M. Tailored Carbon Catalysts Derived from Biomass for Efficient Glucose-to-5-HMF Transformation. Sustainability 2026, 18, 1254. https://doi.org/10.3390/su18031254
Toteva V, Georgiev G, Angelova D, Godzierz M. Tailored Carbon Catalysts Derived from Biomass for Efficient Glucose-to-5-HMF Transformation. Sustainability. 2026; 18(3):1254. https://doi.org/10.3390/su18031254
Chicago/Turabian StyleToteva, Vesislava, Georgi Georgiev, Daniela Angelova, and Marcin Godzierz. 2026. "Tailored Carbon Catalysts Derived from Biomass for Efficient Glucose-to-5-HMF Transformation" Sustainability 18, no. 3: 1254. https://doi.org/10.3390/su18031254
APA StyleToteva, V., Georgiev, G., Angelova, D., & Godzierz, M. (2026). Tailored Carbon Catalysts Derived from Biomass for Efficient Glucose-to-5-HMF Transformation. Sustainability, 18(3), 1254. https://doi.org/10.3390/su18031254

