Next Article in Journal
The Combined Effect of Magnetized Water and Bacillus megaterium on the Strength, Microstructure, and Self-Healing Efficiency of Sustainable Concrete Under Different Environmental Curing Regimes
Previous Article in Journal
Trade in Scrap Materials: Looking Beyond Plastics
 
 
Font Type:
Arial Georgia Verdana
Font Size:
Aa Aa Aa
Line Spacing:
Column Width:
Background:
Article

Spatiotemporal Dynamics and Behavioral Patterns of Micro-Electric Vehicle Trips for Sustainable Urban Mobility

1
Cho Chun Shik Graduate School of Mobility, Korea Advanced Institute of Science and Technology, 193, Munji-ro, Yuseong-gu, Daejeon 34051, Republic of Korea
2
Department of Big Data Application, Hannam University, 70, Hannam-ro, Daedeok-gu, Daejeon 34430, Republic of Korea
3
Center for Eco-Friendly Smart Vehicle Research, Korea Advanced Institute of Science and Technology, 330, Cheomdan-ro, Jeju-si 63309, Jeju-do, Republic of Korea
*
Authors to whom correspondence should be addressed.
Sustainability 2026, 18(2), 1018; https://doi.org/10.3390/su18021018
Submission received: 1 December 2025 / Revised: 28 December 2025 / Accepted: 16 January 2026 / Published: 19 January 2026
(This article belongs to the Section Sustainable Transportation)

Abstract

This study investigates the spatiotemporal characteristics and travel patterns of micro-electric vehicles (micro-EVs) by analyzing real-world trip data collected over three years from shared micro-EV services operating in three regions of South Korea. Individual trips were extracted from GPS-based trajectory data, and a network-based detour ratio was introduced to capture non-linear trip characteristics. In addition, a hierarchical clustering analysis was applied to identify heterogeneous micro-EV trip patterns. The results show that micro-EVs are predominantly used for short-distance urban trips, while a smaller but behaviorally distinct subset of trips demonstrates their capacity to support medium-distance travel under specific functional contexts. The clustering analysis identified six distinct trip pattern groups, ranging from dominant short-distance routine travel to less frequent patterns associated with adverse weather conditions and extreme detouring behavior. Overall, the findings suggest that micro-EVs function as a complementary urban mobility mode, primarily supporting localized travel while selectively accommodating extended-range and specialized trips. From a sustainability perspective, these findings highlight the role of micro-EVs as energy-efficient, low-emission alternatives to conventional passenger vehicles for short- and medium-distance urban trips. By empirically identifying heterogeneous and long-tailed micro-EV travel patterns, this study provides practical insights for sustainable urban mobility design and environmentally responsible transportation policies.

1. Introduction

Rapid urbanization and population growth have exacerbated traffic congestion and increased demand for diverse and flexible urban mobility solutions. The imperative to reduce greenhouse gas emissions and achieve carbon neutrality has become a primary goal in the transportation sector, thereby accelerating the transition toward electrified transportation [1]. The popularity of electric vehicles (EVs) has grown significantly, driven by companies such as Tesla and bolstered by government incentives and investments in infrastructure [2]. Nevertheless, the majority of conventional EVs limit their suitability for short-distance travel or personal mobility in densely populated urban areas due to challenges such as low maneuverability, limited parking availability, and reduced efficiency in congested traffic conditions.
Recent studies have further suggested that the adoption and effectiveness of EVs are highly dependent on usage context, vehicle scale, and operational characteristics, indicating that conventional, full-sized EVs may not be an optimal solution for all urban mobility needs, particularly those dominated by short-distance and high-frequency trips [3,4]. While these limitations have been widely acknowledged, their implications for smaller-scale, urban-oriented electric mobility solutions remain insufficiently explored. Against this backdrop, a new class of electric mobility—micro-electric vehicles (micro-EVs)—has emerged. In this study, micro-EVs are defined as compact, low-speed EVs that are smaller than conventional passenger cars, typically accommodating one to two passengers and operating within constrained urban environments. The vehicles analyzed in this study fall within the category of ultra-compact EVs as regulated in South Korea, which are legally defined by constraints on maximum power output (≤15 kW), vehicle dimensions (length ≤3.6 m, width ≤1.5 m, height ≤2.0 m), and curb weight (≤600 kg for passengers). While regulatory definitions of such vehicles vary across countries, the operational definition adopted in this study reflects the typical physical and functional characteristics shared by micro-EVs used in dense urban environments.
Micro-EVs combine the environmental benefits of EVs with the spatial and operational flexibility of micro-mobility, such as e-scooters or e-bikes. Due to their smaller size compared to passenger cars, micro-EVs offer several advantages, including minimal parking space, great maneuverability on narrow and complex urban roads, low energy consumption, user-friendly operation, and affordable initial and maintenance costs [5]. These characteristics make micro-EVs particularly suitable for first-mile/last-mile connectivity, intra-city trips, and areas with limited public transport infrastructure, as suggested by prior studies focusing on user perceptions, market potential, and service feasibility [6,7,8]. However, despite their growing adoption and these intuitively expected advantages, the functional role of micro-EVs within urban mobility systems has not been sufficiently validated through empirical evidence.
In this context, several countries have actively piloted micro-EV services to explore their potential as a novel mode of urban mobility. In Japan, Toyota introduced the Ha:Mo (Harmonious Mobility) project in 2012 with the objective of optimizing personal urban travel through the use of micro-EVs [9]. This project was subsequently scaled to various cities within Japan and abroad, presenting an enhanced micro-EV sharing model that incorporated user feedback. In Europe, the STEVE (Smart-Taylored L-category Electric Vehicle demonstration in hEtherogeneous urban use-cases) project was conducted across four cities between 2017 and 2021 [10]. The initiative emphasized comprehensive market analysis of micro-EVs and the development of user-based sharing services. In South Korea, a series of R&D-based demonstration projects have been initiated since 2019 to promote the micro-EV industry and develop practical mobility service models [11,12].
Although various countries have conducted studies on the service models and travel patterns of micro-EVs along with demonstration projects, a clear understanding of the characteristics of this emerging mobility mode remains limited. Lee et al. (2022) analyzed micro-EV travel behavior using trip records from a shared service and survey-based data on other transport modes and presented factors influencing user satisfaction with micro-EV services [11]. However, this study was limited by a small sample size collected during the pilot phase and relied heavily on survey responses, which lacked reliability in identifying the typical purposes of micro-EV usage. Kim et al. (2025) examined the operational efficiency of micro-EVs across different services—shared, delivery, and public—by analyzing micro-EV travel data obtained in 2021 [12]. While they provided empirical insights into the characteristics and advantages of micro-EVs (particularly their suitability for navigating narrow urban streets), it was constrained by the fact that travel purposes were predefined within the demonstration project. Therefore, the study was limited in deriving generalized insights into the characteristics of trip patterns of micro-EVs.
To fill this gap, this paper aims to empirically examine the actual travel patterns of micro-EVs in urban environments using large-scale, real-world trip data from micro-EV sharing services. In particular, this study addresses the following research questions:
  • RQ1: What are the spatiotemporal trip patterns of micro-EVs in urban areas, and how do they differ across regions and urban contexts?
  • RQ2: What travel characteristics and route-level inefficiencies characterize micro-EV trips, as revealed by trajectory-based analyses?
  • RQ3: What distinct usage patterns or latent travel behavior groups can be identified from real-world micro-EV trip data, and what do they imply about the functional role of micro-EVs in urban mobility systems?
To answer these questions, individual trips are extracted from micro-EV driving data collected across three different regions in South Korea—Daejeon, Mokpo, and Jeju Island. Using GPS-based trajectory data, we investigate when, where, and how micro-EVs are utilized across various urban contexts. Origin–destination-based travel distances and detour patterns are analyzed to explicitly characterize the spatiotemporal trip patterns and diverse usage behaviors of micro-EVs. In addition, hierarchical clustering is applied to uncover latent travel behavior groups and identify the characteristics of micro-EV trips.
This study provides a comprehensive understanding of the independent mobility patterns of micro-EVs by utilizing three years of meticulously collected and reliable micro-EV trip data. It contributes to empirical evidence on the unique travel behaviors of micro-EVs and the resulting mobility characteristics and functional roles. The findings offer valuable insights for designing micro-EV services, planning infrastructure, and positioning micro-EVs as a meaningful component of sustainable urban transportation systems.
The remainder of this paper is organized as follows. Section 2 describes the study scope along with data collection and preprocessing procedures used in the analysis. We investigate micro-EV trip patterns from a spatiotemporal perspective in Section 3. The clustering methodology and analysis results for identifying micro-EV trip characteristics are described in Section 4. Finally, Section 5 and Section 6 present a comprehensive discussion of the spatiotemporal trip characteristics of micro-EVs and offer conclusions along with directions for future research.

2. Study Scope and Data Description

2.1. Scope of Study

This study utilizes micro-EV driving and user data collected over three years—from March 2023 to November 2025—through a micro-EV sharing service demonstration project conducted in three regions of South Korea—Daejeon, Mokpo, and Jeju Island. By accounting for the distinct mobility demands of each region, the study provides a comprehensive analysis of micro-EV travel patterns. In Daejeon, the service was primarily designed to facilitate student commuting between two university campuses. In Mokpo, the service was intended to support tourism and free-form travel throughout the city center (i.e., central train station) and nearby attractions. In Jeju Island, the service supported commuting in industrial complexes as well as leisure-oriented travel. Figure 1 presents the geographical scope of the study areas and region-specific micro-EV sharing service models.
A total of 75 micro-electric vehicles—comprising three models (CEVO-C, D2, and MaiV)—were deployed in this project. The specifications of each micro-EV model and the number of vehicles allocated to each region are presented in Table 1.
Driving data were collected individually from micro-EVs equipped with on-board units, which recorded GPS coordinates (latitude and longitude), travel distance, vehicle speed, and battery state-of-charge (SoC). These data were recorded at 30-s intervals during vehicle operation and at 30 min intervals when the vehicle was turned off. The user dataset includes information such as the type of vehicle shared, rental and return times, and the user’s age.

2.2. Preprocessing of Micro-EV Trip Data

To conduct a spatiotemporal analysis of micro-EV trips, we preprocessed raw driving data to generate trip-level datasets. First, records lacking critical information—such as vehicle ID or engine status—were considered invalid and removed. Each trip was defined as a driving segment between ignition-on and ignition-off events for a given vehicle. For each identified trip, travel distance was estimated using a road-network-based routing approach. Specifically, the Open Source Routing Machine (OSRM) was employed to reconstruct a driving trajectory based on the underlying road network and a driving profile [13,14]. Using the trip’s sequential GPS coordinates, the corresponding road-network path was extracted, and the trip distance was calculated as the total length of the reconstructed trajectory. In addition, the shortest-path distance between the trip origin and destination was computed using the same routing framework. This Origin–Destination (OD) distance represents the minimum feasible travel distance along the road network and was used as a reference measure for evaluating route efficiency and detour behavior in subsequent analyses.
Subsequently, we identified and removed outlier trips based on travel distance. Through empirical observation of trip trajectories, trips were considered outliers if they were too short (<200 m), excessively long (>90 km or >5 h), or exhibited prolonged stationary periods. To match each trip to its corresponding region, we verified whether the GPS-based trajectory fell within the administrative boundaries of the three study areas. Trips that occurred entirely outside these boundaries were treated as outliers. Based on these criteria, a total of 61,725 trips were extracted, consisting of 9954 trips in 2023, 20,769 trips in 2024, and 31,002 trips in 2025. The extracted trip counts by year and region are summarized in Figure 2.
For the clustering analysis of micro-EV trips, additional information—user attributes and weather conditions—was integrated with each trip. User information was linked when the service vehicle ID matched, and the trip occurred within the corresponding rental and return period. User attributes have been collected since May 2023; however, survey-based data obtained through the application became available only in the second half of 2024. At the time of vehicle rental and return, users voluntarily completed a survey via the application, which included items on trip purpose and connecting transport modes. ‘Trip purpose’ was categorized into commuting to work, business, school, shopping, leisure, and other. ‘Connecting transport modes’ was defined as the modes used before or after a micro-EV trip and included walking, e-scooter or bicycle, local bus, subway, express bus, railway, air travel, and other. To protect personal privacy, only age, gender, and survey response information were collected. As a result of this integration process, a total of 28,900 valid trips were finally matched with user information. Weather information (i.e., temperature, humidity, and precipitation) was collected on an hourly basis and assigned to each trip according to its start time [15]. A detailed description of the main variables included in the dataset is provided in Table 2.

3. Spatiotemporal Characteristics of Micro-EV Trips

In this section, spatiotemporal characteristics of micro-EV trips are analyzed based on a total of 61,725 recorded trips. Specifically, 10,578 trips were collected in Daejeon, 22,622 in Mokpo, and 28,525 in Jeju Island. The significantly higher volume of trips observed in Jeju Island suggests that the micro-EV sharing service model in that region was well aligned with user demand (i.e., active use for both commuting and leisure travel).

3.1. Spatiotemporal Distribution of Micro-EV Trips by Region

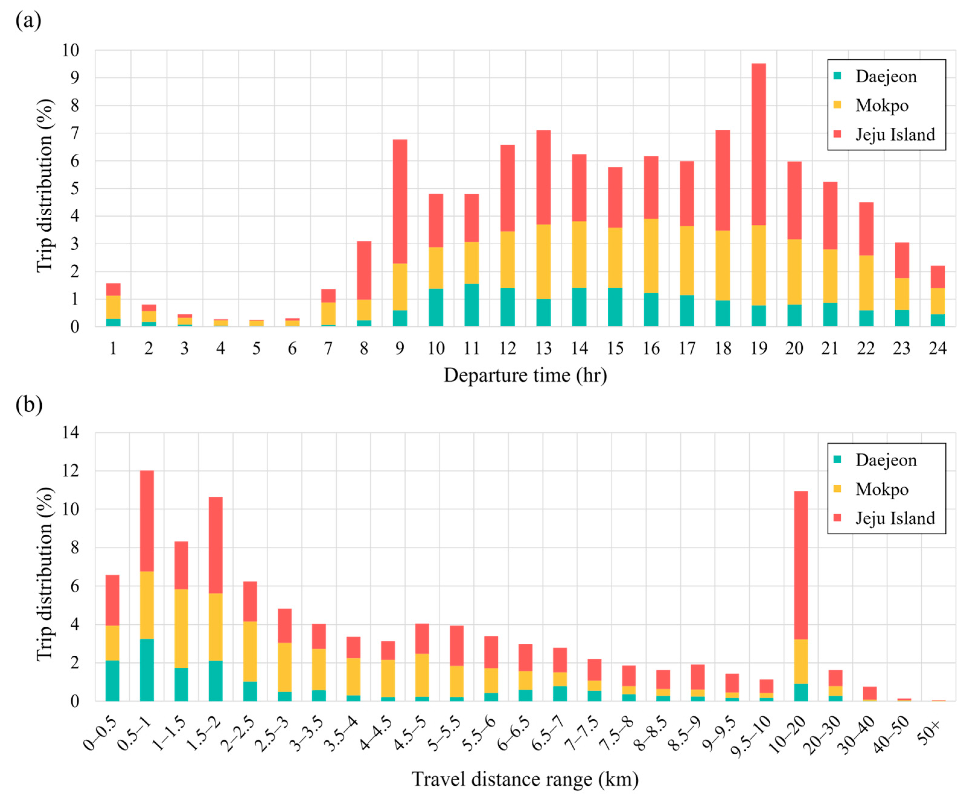
Figure 3 shows the hourly and travel distance-based distributions of micro-EV trips in the three regions. As shown in Figure 3a, trip activity was primarily concentrated during daytime hours between 8 AM and 8 PM, corresponding to the typical demand for work, errands, and leisure. In detail, 11.6% of micro-EV trips occurred during the morning commute hours (8:00–10:00), 16.6% during the evening commute hours (17:00–19:00), and notably, 13.3% during the midday period (12:00–14:00). Jeju Island exhibited the highest proportion of trips during peak commuting hours among the three regions; however, its overall trip distribution remained relatively uniform throughout the day. This suggests that micro-EV usage in Jeju Island encompasses a wide range of trip purposes—including commuting, delivery, and pickup activities—rather than being concentrated in specific time slots. In contrast, Daejeon and Mokpo demonstrated a relatively even distribution of trips during standard working hours, reflecting broader mobility needs such as intra-campus travel and short-distance urban travel.
As shown in Figure 3b, the trip distance distribution was analyzed using 500 m intervals. The results show that micro-EV trips were highly concentrated in the 0.5–2.0 km range, accounting for 31.0% of the total trips. This trend was particularly evident in Daejeon and Mokpo, which is consistent with the compact urban structures of these cities and high utilization of shared mobility for short trips and campus commuting. Specifically, 62.6% of trips in Daejeon and 50.8% in Mokpo were within a 3 km range. Furthermore, a noticeable increase in trips within the 4–6 km range was observed, particularly in Mokpo and Jeju Island. This pattern can be attributed to the service characteristics in these regions, where major destinations are often dispersed toward the urban periphery, naturally generating medium-distance travel. In addition, considering the specifications of micro-EVs such as battery capacity, speed, and operational stability, the 5 km range can be regarded as a distance that users can travel comfortably without burden. This usability factor appears to be reflected in the resulting travel patterns. Notably, Jeju Island exhibited a considerable share of relatively long-distance trips compared to the other two regions. Trips in the 10–20 km range accounted for 16.7% of all trips in Jeju Island, representing 7.7% of all trips across all regions. This indicates that micro-EVs in Jeju Island can be used not only for commuting purposes but also as practical modes for long-distance connectivity between urban centers and tourist destinations across the island.

3.2. Analysis of Route Detour Ratio for Micro-EV Trips

To examine the non-linear spatial characteristics of micro-EV trips, we adopt the concept of a detour ratio, a widely used metric in transportation and network analysis for quantifying route directness and detouring behavior. In general, the detour ratio is defined as the ratio between the actual traveled distance and a reference distance between the same OD pair. Depending on research objectives and data availability, prior studies have employed different reference distances, such as Euclidean distance or median distance of trips sharing the same OD pair, to capture network-induced inefficiency and travel variability [16,17,18,19].
Building on this literature, and to avoid conceptual ambiguity associated with Euclidean-distance baselines, this study defines the detour ratio using network-route-based distances for both the actual and reference paths. Specifically, for each trip k , the detour ratio D R k is defined as:
D R k = D k ,   a c t u a l D k , O D
where D k , a c t u a l denotes the observed travel distance derived from GPS trajectory data, and D k , O D represents the shortest-path distance between the same origin and destination computed on the road network. These distances were calculated by OSRM, as described in Section 2.2. By using network-based distances for both components, the proposed measure isolates behavioral and operational detours from purely geometric effects, enabling a more interpretable assessment of route choice and trip execution in real-world urban settings.
A detour ratio value of D R k = 1.0 indicates that the observed trip closely follows the network-optimal shortest path, whereas larger values reflect increasing degrees of detouring due to factors such as intermediate stops, return-oriented trips, access constraints, or task-based travel behavior. In this study, the proposed indicator is used not only to assess network optimality and route inefficiency, but also as a measure of micro-EV trip behavior, particularly in capturing non-linear and multi-purpose travel patterns.
Across all analyzed micro-EV trips, the median and 75th percentile of detour ratio were 1.03 and 1.20, respectively, indicating that most trips were reasonably close to the network-optimal path. However, the distribution exhibits a heavy tail, with a mean detour ratio of 6.35 and 1880 trips (3.1%) exceeding a detour ratio of 5.0. These high-detour trips suggest distinct usage patterns in which origins and destinations are spatially close, yet the realized travel paths are substantially longer. Such patterns are commonly associated with return-oriented trips, pick-up or drop-off activities, and task-completion behaviors around specific-purpose locations such as campuses, transport hubs, and industrial facilities.
A region-level comparison further indicates that high-detour trips are observed across all study areas, despite differences in service contexts. The average detour ratio was 6.14 in Daejeon, 7.03 in Mokpo, and 5.89 in Jeju Island, with trips exceeding a detour ratio of 5.0 accounting for 3.0%, 3.7%, and 2.6% of trips, respectively. These results suggest that high-detour patterns are not confined to a single region or service design.
To gain qualitative insights into these non-linear trip patterns of micro-EVs, representative trajectories with high detour ratios are examined for each study region, as illustrated in Figure 4. A common characteristic of these trips is their association with pick-up or drop-off activities involving either people or goods at specific-purpose locations, including campuses, train stations, airports, and other intermodal transfer hubs. The results indicate that elevated detour ratios often arise not from network inefficiency, but from purposeful routing structures embedded in micro-EV usage. These findings highlight the value of the detour ratio as a descriptive metric for characterizing micro-EV mobility patterns and provide a critical linkage between trip-level spatial behavior and the clustering analysis presented in subsequent sections.

4. Clustering Micro-EV Trips

4.1. Clustering Methodology

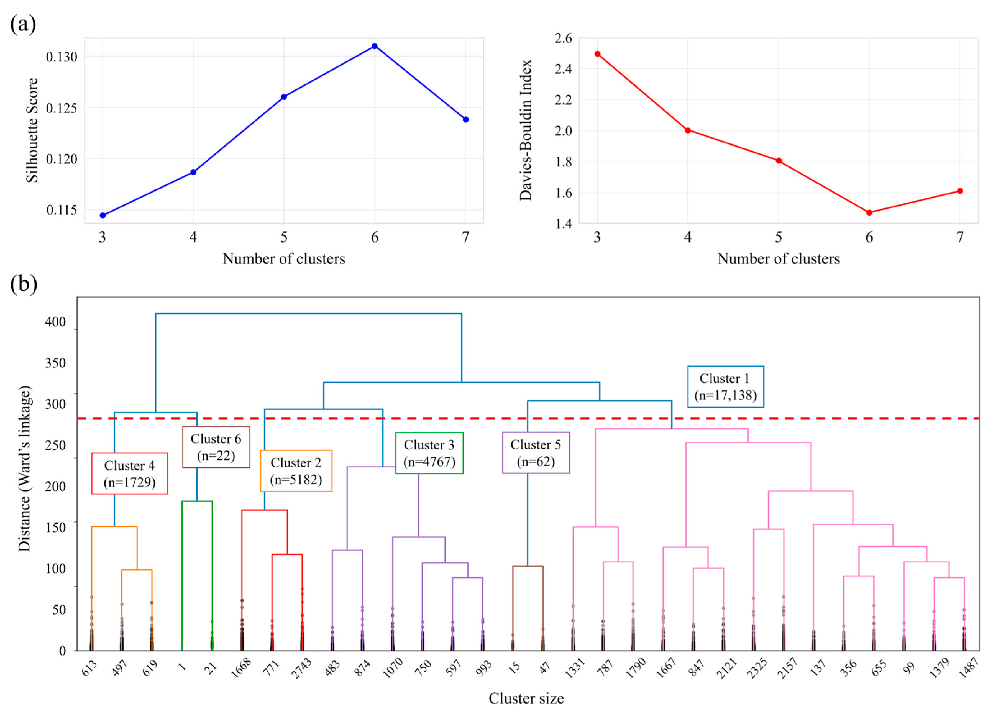
This study applied a hierarchical clustering method [20,21] to identify heterogeneous micro-EV trip types by integrating trip-level mobility characteristics, temporal attributes, environmental conditions, and user-related factors. Hierarchical clustering constructs a tree-structured grouping by iteratively merging observations based on similarity, allowing for flexible identification of cluster structures without requiring a pre-specified number of clusters. Its dendrogram-based representation also facilitates transparent interpretation of relationships among clusters.
To ensure methodological rigor and avoid redundancy among cluster variables, a preliminary variable screening process was conducted prior to clustering. Specifically, a set of 15 candidate variables—including all variables listed in Table 2 as well as the detour ratio introduced in Section 3.2—was first examined. Pairwise correlation analysis and variance inflation factor (VIF) diagnostics were used to assess multicollinearity, with particular attention given to variable pairs showing correlation coefficients greater than 0.8 and VIF values exceeding 10. While the SoC consumption showed a strong correlation with trip distance, it was retained in the analysis because battery consumption also reflects operational and behavioral aspects of trips, such as stop-and-go movements. In contrast, trip duration and OD distance were excluded due to their high redundancy with trip distance, and humidity was removed because it was strongly influenced by precipitation. This process ensured that the clustering results were not driven by overlapping or redundant information.
Following this screening, a total of 12 variables were selected for clustering. These variables capture multiple dimensions of micro-EV usage, including the following:
  • Trip and vehicle characteristics: trip distance, SoC consumption, average trip speed, and the detour ratio;
  • Temporal context: trip start time and weekend indicator;
  • Environmental conditions: temperature and precipitation;
  • User and usage context: age, gender, trip purpose, and connecting transport mode.
All variables were standardized using the Standard-Scaler, which normalizes the data by centering the mean at 0 and scaling the standard deviation to 1. Ward’s linkage method [22] was adopted as the clustering criterion, as it minimizes within-cluster variance and is well-suited for numerical feature spaces with heterogeneous distributions.
The optimal number of clusters was determined based on multiple cluster validity criteria, including the Silhouette Score and the Davies–Bouldin Index, complemented by a visual inspection of the dendrogram structure. As illustrated in Figure 5a, the Silhouette Score reached its maximum at k = 6 , while the Davies–Bouldin Index attained its minimum at the same point, indicating the best balance between intra-cluster cohesion and inter-cluster separation. Additionally, the dendrogram (Figure 5b) displayed a clear partition at the level corresponding to five clusters, further supporting the suitability of this solution. Considering these quantitative indicators together with the structural separation observed in the dendrogram, a six-cluster configuration was selected as the most appropriate representation of heterogeneous micro-EV trip patterns in this study.
Hierarchical clustering identified six distinct micro-EV trip groups—Cluster 1 (n = 17,138), Cluster 2 (n = 5182), Cluster 3 (n = 4767), Cluster 4 (n = 1729), Cluster 5 (n = 62), and Cluster 6 (n = 22)—each exhibiting unique mobility patterns shaped by temporal, behavioral, and environmental factors. The cluster sizes range from dominant routine usage patterns to small but behaviorally distinctive groups, indicating substantial heterogeneity in micro-EV trip characteristics. Clear differences in trip patterns were observed across clusters, driven by the combined effects of key variables such as travel distance, detour ratio, temporal context, environmental conditions, and user attributes. Figure 6 presents a radar chart summarizing the average values of the clustering variables for each of the six clusters, providing an overview of their relative characteristics. A detailed interpretation of the behavioral and operational features of each cluster is presented in the following subsection.

4.2. Analysis of Micro-EV Trip Cluster Characteristics

The six clusters derived through hierarchical clustering analysis exhibit clearly differentiated micro-EV trip patterns across trip characteristics, temporal contexts, environmental conditions, and user attributes. Table 3 summarizes the average values of the clustering variables for each cluster, while Figure 7, Figure 8 and Figure 9 illustrate the distributional characteristics of continuous and categorical variables.
Based on the preceding observations, the six distinct micro-EV trip clusters can be interpreted as follows.
  • Cluster 1: Routine short-distance task-oriented trips (n = 17,138)
    Cluster 1 represents the most prevalent micro-EV usage pattern. Trips in this cluster are characterized by moderate travel distance (approximately 4.5 km) and relatively low speeds (4.9 m/s). As illustrated in Figure 9, trips in Cluster 1 are frequently associated with routine trip purposes and moderate use of connecting transport modes, indicating task-oriented activities such as errands or localized commuting. Taken together, Cluster 1 reflects the most typical function-driven micro-EV trip, primarily supporting routine urban mobility within a limited activity radius.
  • Cluster 2: Direct short-distance leisure-oriented trips (n = 5182)
    Trips in Cluster 2 are similar in distance to Cluster 1 but exhibit substantially lower detour ratios (mean ≈ 1.9), indicating more direct routing behavior. Average speeds remain low to moderate, and battery consumption is comparable to other short-distance clusters. This cluster is strongly associated with discretionary trip purpose, particularly leisure-oriented activities (Figure 9c). Trips in this cluster tend to occur slightly later in the day and show a relatively higher share of weekend trips. Overall, these patterns represent short-distance leisure mobility and stand in contrast to the more task-oriented and return-structured trips observed in Cluster 1.
  • Cluster 3: Short-distance trips connecting to intercity transport modes (n = 4767)
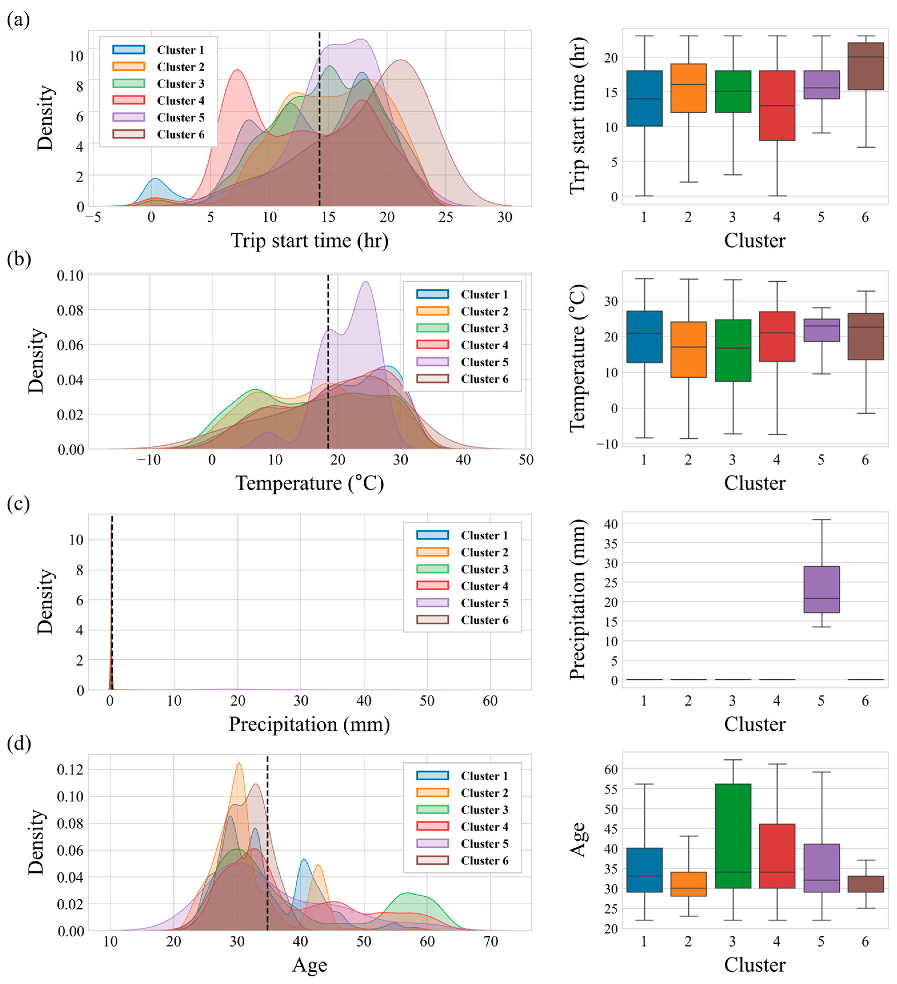
    Cluster 3 shows the shortest trip distances among all clusters (3.4 km) and the lowest average trip speed (4.1 m/s). Unlike other clusters, Cluster 3 includes a high proportion of older users, resulting in a higher average user age (Figure 8d). In addition, as shown in Figure 9d, this cluster exhibits a notably higher rate of connections to intercity transport modes, such as express buses, railway, and air travel. These characteristics suggest that trips in Cluster 3 are primarily purpose-specific, serving functions such as access to nearby facilities or transfers to other transport modes, rather than general urban travel.
  • Cluster 4: Long-distance high-speed functional trips (n = 1729)
    As illustrated in Figure 7a–c, trips in Cluster 4 are characterized by substantially longer travel distances (exceeding 21 km), higher average speeds (10.1 m/s), and significant battery consumption (approximately 25.6%). These trips predominantly occur during weekday morning hours (Figure 8a and Figure 9a), suggesting functional or commuting-related purposes. The cluster also encompasses a diverse set of trip purposes and connecting transport modes, providing empirical evidence that micro-EVs are capable of supporting not only short-distance travel but also medium- to long-distance functional mobility under real-world operating conditions.
  • Cluster 5: Adverse-weather trips (n = 62)
    Although Cluster 5 contains a relatively small number of trips, it represents mobility under extreme environmental conditions. As shown in Figure 8c, this cluster is associated with substantially higher precipitation levels (mean ≈ 24.9 mm) compared to all other clusters. Despite these adverse conditions, trips in this cluster exhibit an average travel distance of approximately 6.1 km, demonstrating the continued operability of micro-EVs during heavy rain or inclement weather.
  • Cluster 6: Extreme detour and special operational trips (n = 22)
    Cluster 6 consists of a small number of trips exhibiting exceptionally high detour ratios (mean > 3000), as shown in Figure 7d. These trips are also associated with long travel distances and substantial battery consumption. Rather than representing typical mobility behavior, this cluster appears to capture special operational or return-oriented cases, such as repeated circulation within a localized area, complex pick-up or drop-off activities, or recorded return loops. Although limited in size, this cluster underscores the long-tailed nature of micro-EV mobility patterns and emphasizes the importance of accounting for atypical yet behaviorally meaningful trip structures in empirical analyses.
To further explore the spatial characteristics of each cluster, the trajectories of trips were visualized by service region, as shown in Figure 10. This allowed for a qualitative understanding of the spatial characteristics of each cluster and revealed how the same cluster type may display region-specific patterns.
Cluster 1 exhibits dense and localized movement patterns concentrated around urban cores, campuses, and industrial areas, indicating routine short-distance, task-oriented mobility. Cluster 2 similarly shows short-distance trips but with more direct routing and frequent movements toward leisure-related destinations, particularly evident in peripheral and recreational areas. Cluster 3 displays compact trip patterns that are often oriented toward transport terminals or transfer points, consistent with its strong association with intercity transport connections. In contrast, Cluster 4 demonstrates markedly different spatial behavior, characterized by long-distance trajectories that frequently extend beyond dense urban boundaries and connect dispersed urban and suburban areas. Cluster 5, although limited in sample size, reflects trips occurring under adverse weather conditions and does not present a consistent spatial pattern. Finally, Cluster 6 captures atypical trajectories with extreme detouring or looping structures, highlighting special operational or return-oriented trip cases. While the spatial expression of individual clusters varies by region, the core structural characteristics of each cluster remain consistent, supporting the robustness of the identified micro-EV trip typologies across heterogeneous urban contexts.

5. Discussion

This study conducted a detailed analysis of the spatiotemporal characteristics of micro-EV trips to identify their distinctive trip patterns. Based on this comprehensive analysis, we discuss four key aspects of the operational niche and potential of micro-EVs in urban areas.
Efficient mode for short- and medium-distance travel: The analysis of real-world service data demonstrates that micro-EVs are primarily utilized for short-distance trips, while a smaller but distinct subset of trips indicates their ability to accommodate medium-distance travel under specific functional contexts. Although most trips are concentrated within relatively short ranges, trips exceeding 10 km were empirically observed, revealing the potential spatial coverage achievable by micro-EVs under actual operating conditions. These findings suggest that micro-EVs can complement existing transportation modes by supporting limited medium-range urban travel, rather than serving as a general substitute for long-distance mobility.
Flexible mode supporting diverse, empirically grounded trip purposes: Micro-EV trips were active throughout the day and were not limited to traditional commuting functions. Instead, they were actively used for diverse purposes such as errands, leisure, and inter-neighborhood travel. By incorporating survey-based trip purpose and connecting transport information into the clustering framework, this study confirms that micro-EVs are used for a range of empirically reported purposes, including errands, leisure activities, and inter-neighborhood travel. This flexibility underscores the potential of micro-EVs as a general-purpose mode that can accommodate both planned and spontaneous travel across various temporal contexts.
Suitable mode for purpose-oriented and non-linear trips: The detour ratio analysis revealed that a subset of micro-EV trips exhibits non-linear or circuitous trip patterns. These trips are particularly associated with purpose-oriented activities such as pick-up, drop-off, or return-to-origin movements near campuses, transit hubs, and service facilities. The compact functional design of micro-EVs, which allows them to carry up to two passengers—thus distinguishing them from other micromobility vehicles—enables such purpose-driven trips. Moreover, these findings imply that micro-EVs are not only suitable for spatially complex travel involving intermediate stops or return-to-origin behavior but also serve as an efficient mode that can reduce unnecessary energy consumption.
Evidence of diverse behavioral clusters: Through the hierarchical clustering analysis, six distinct micro-EV trip groups were identified, ranging from dominant short-distance routine trips to smaller clusters representing adverse-weather travel and extreme detouring behavior. While most micro-EV usage is characterized by routine, short-range mobility, the presence of small yet statistically distinct clusters highlights the heterogeneity and long-tailed nature of micro-EV trip patterns.
In summary, micro-EVs demonstrate a combination of dominant short-distance usage and selective functional flexibility. While typical trips are localized and routine in nature, empirically identified minority patterns reveal that micro-EVs can also support medium-distance, task-oriented, and context-specific mobility. These findings suggest that micro-EVs fill critical gaps in urban mobility by complementing existing transport modes.

6. Conclusions

This study conducted an in-depth analysis of the spatiotemporal characteristics and trip patterns of micro-electric vehicles (micro-EVs) in urban areas. Empirical trip data were collected over three years from shared micro-EV services operating in three regions of South Korea—Daejeon, Mokpo, and Jeju Island. To capture non-linear routing characteristics, a network-based detour ratio was introduced based on road-network distances. In addition, a hierarchical clustering analysis was applied to reveal the heterogeneity in micro-EV usage patterns and to derive their functional roles.
The analysis results indicate that micro-EVs are predominantly used for short-distance and routine urban trips, while a smaller but behaviorally distinct subset of trips demonstrates their capacity to accommodate medium-distance travel under specific functional contexts. The clustering analysis identified six distinct micro-EV trip pattern groups, ranging from dominant short-distance routine travel to rare but meaningful patterns such as adverse-weather usage and extreme detouring behavior. Together, these findings suggest that micro-EV usage is heterogeneous and long-tailed, with most trips concentrated in localized activity spaces while a minority reflects context-specific and task-oriented mobility.
Overall, this study positions micro-EVs as a complementary urban mobility mode that primarily supports short-distance travel, facilitates task-oriented and return-based trips, and selectively accommodates medium-distance mobility in certain scenarios. Micro-EVs help fill operational gaps within urban mobility systems, particularly in contexts involving flexible routing and localized access.
There are some potential extensions to this research. First, the micro-EV trip data used in this study were collected from shared mobility services. As such, the findings may not fully represent the complete spectrum of micro-EV trip patterns in the mobility market. To address this limitation, future research could incorporate GPS-based data collected directly from private micro-EV users. This would enable a more generalizable analysis of diverse micro-EV trips occurring in urban environments. Second, the integration of higher-resolution vehicle operation data—such as acceleration, deceleration, and stop-and-go behavior—could support future investigations into detailed driving dynamics beyond trip-level travel patterns. Lastly, integrating additional datasets from other transport modes—such as e-scooters, bicycles, buses, or taxis—would allow for a comparative assessment of mobility roles and spatial coverage, offering a clearer understanding of how micro-EVs can bridge gaps that existing modes cannot effectively address in urban mobility systems.

Author Contributions

Conceptualization, S.O., E.K., and J.S.; data curation, S.O., J.S., and C.R.; formal analysis and investigation, S.O. and S.P.; funding acquisition, C.R.; investigation, S.O. and S.P.; methodology, S.O., S.P., E.K., and J.S.; project administration, E.K., J.S., and C.R.; resources, J.S.; supervision, J.S. and C.R.; validation, E.K., J.S., and C.R.; visualization, S.O. and S.P.; writing—original draft, S.O. and S.P.; writing—review and editing, E.K., J.S., and C.R. All authors have read and agreed to the published version of the manuscript.

Funding

This work was supported by the Ministry of Trade, Industry and Resources (MOTIR) and the Korea Institute for Advancement of Technology (KIAT) (Grant No. P0022025). This research was also supported by the Regional Innovation System & Education (RISE) program through the Daejeon RISE Center, funded by the Ministry of Education (MOE) and the Daejeon Metropolitan City, Republic of Korea (2026-RISE-06-013).

Institutional Review Board Statement

This study was waived for ethical review as it did not involve human subjects research and did not collect any personally identifiable information by the Institutional Committee.

Informed Consent Statement

The study did not require the submission of an informed consent form due to the use of an anonymous, non-face-to-face survey with no collection of personally identifiable information.

Data Availability Statement

The data used to support the findings of this study are not publicly available according to the data security policy of micro-EV sharing service demonstration project conducted by the Ministry of Trade, Industry, and Energy of Korea. Further inquiries can be directed to the corresponding author(s).

Acknowledgments

We are grateful to the anonymous referees for evaluating the suitability of our proposed methodology.

Conflicts of Interest

The authors declare no conflicts of interest.

References

  1. Singh, V.; Singh, V.; Vaibhav, S. A review and simple meta-analysis of factors influencing adoption of electric vehicles. Transp. Res. Part D Transp. Environ. 2020, 86, 102436. [Google Scholar] [CrossRef]
  2. GlobeNewswire, Electric Vehicle Market Trends and Opportunities, Worldwide, 2024–2030—A Deep Dive into the Market Dynamics, Government Incentives, and Emerging Technologies Driving the EV Revolution. Research and Markets. Available online: https://www.globenewswire.com/news-release/2024/08/30/2938437/28124/en/Electric-Vehicle-Market-Trends-and-Opportunities-Worldwide-2024-2030-A-Deep-Dive-Into-the-Market-Dynamics-Government-Incentives-and-Emerging-Technologies-Driving-the-EV-Revolution.html (accessed on 26 November 2025).
  3. Pamidimukkala, A.; Kermanshachi, S.; Rosenberger, J.M.; Hladik, G. Barriers and motivators to the adoption of electric vehicles: A global review. Green Energy Intell. Transp. 2024, 3, 100153. [Google Scholar] [CrossRef]
  4. Yu, H.; Adhikari, A.; Sun, X.; Solvang, W.D.; Gan, M.; Aydin, N. Can Electric Trucks Be a Viable Green Logistics and Transportation Solution? Modeling a Joint Logistics-and-Charging-Infrastructure Network Design Problem. Green Energy Intell. Transp. 2025, 5, 100295. [Google Scholar] [CrossRef]
  5. Allied Market Research. Micro Electric Vehicle Market Size, Share, Competitive Landscape and Trend Analysis Report, by Battery Type, by Type, by Application: Global Opportunity Analysis and Industry Forecast, 2022–2031; Allied Market Research: Portland, OR, USA, 2023; Available online: https://www.alliedmarketresearch.com/micro-electric-vehicle-market-A53576 (accessed on 26 November 2025).
  6. Ling, Z.; Cherry, C.R.; Yang, H. Emerging mini electric cars in China: User experience and policy implications. Transp. Res. Part D Transp. Environ. 2019, 69, 293–304. [Google Scholar] [CrossRef]
  7. Loustric, I.; Matyas, M. Exploring city propensity for the market success of micro-electric vehicles. Eur. Transp. Res. Rev. 2020, 12, 42. [Google Scholar] [CrossRef]
  8. Lee, H.; Baek, K.; Chung, J.H.; Kim, J. Factors affecting heterogeneity in willingness to use e-scooter sharing services. Transp. Res. Part D Transp. Environ. 2021, 92, 102751. [Google Scholar] [CrossRef]
  9. Toyota, TMC Begins Testing Optimized Urban Transport System. Available online: https://global.toyota/en/detail/123980 (accessed on 26 November 2025).
  10. European Commission. Smart-Taylored L-Category Electric Vehicle Demonstration in hEtherogeneous Urbanuse-Cases. Available online: https://cordis.europa.eu/project/id/769944 (accessed on 26 November 2025).
  11. Lee, H.; Kim, J.; Seo, S.; Sim, M.; Kim, J. Exploring behaviors and satisfaction of micro-electric vehicle sharing service users: Evidence from a demonstration project in Jeju Island, South Korea. Sustain. Cities Soc. 2020, 79, 103673. [Google Scholar] [CrossRef]
  12. Kim, S.; Hwang, S.; Lee, D. A Study on Analyzing Travel Characteristics of Micro Electric Vehicles by Using GPS Data. Appl. Sci. 2025, 15, 2113. [Google Scholar] [CrossRef]
  13. Luxen, D.; Vetter, C. Real-time routing with OpenStreetMap data. In Proceedings of the 19th ACM SIGSPATIAL International Conference on Advances in Geographic Information Systems; ACM: New York, NY, USA, 2011; pp. 513–516. [Google Scholar]
  14. Huber, S.; Rust, C. Calculate travel time and distance with OpenStreetMap data using the Open Source Routing Machine (OSRM). Stata J. 2016, 16, 416–423. [Google Scholar] [CrossRef]
  15. Korea Meteorological Administration. KMA Weather Data Service, Open MET Data Portal. Available online: https://data.kma.go.kr/resources/html/en/aowdp.html (accessed on 26 November 2025).
  16. Barthélemy, M. Spatial networks. Phys. Rep. 2011, 499, 1–101. [Google Scholar] [CrossRef]
  17. Yang, H.; Ke, J.; Ye, J. A universal distribution law of network detour ratios. Transp. Res. Part C Emerg. Technol. 2018, 96, 22–37. [Google Scholar] [CrossRef]
  18. Chen, X.; Chen, Y. Quantifying the relationships between network distance and straight-line distance: Applications in spatial bias correction. Ann. GIS 2021, 27, 351–369. [Google Scholar] [CrossRef]
  19. Shim, J.; Yeo, J.; Lee, S.; Hamdar, S.H.; Jang, K. Empirical evaluation of influential factors on bifurcation in macroscopic fundamental diagrams. Transp. Res. Part C Emerg. Technol. 2019, 102, 509–520. [Google Scholar] [CrossRef]
  20. Wang, Y.; Qin, K.; Chen, Y.; Zhao, P. Detecting anomalous trajectories and behavior patterns using hierarchical clustering from taxi GPS data. ISPRS Int. J. Geo-Inf. 2018, 7, 25. [Google Scholar] [CrossRef]
  21. Sangaiah, A.K.; Javadpour, A.; Ja’fari, F.; Zhang, W.; Khaniabadi, S.M. Hierarchical clustering based on dendrogram in sustainable transportation systems. IEEE Trans. Intell. Transp. Syst. 2022, 24, 15724–15739. [Google Scholar] [CrossRef]
  22. Ward, J.H., Jr. Hierarchical grouping to optimize an objective function. J. Am. Stat. Assoc. 1963, 58, 236–244. [Google Scholar] [CrossRef]
Figure 1. Geographic scope and customized micro-EV sharing service models by region. Blue dots in the maps represent anonymized GPS-based trajectories of micro-EVs. Source: Drafted by the authors.
Figure 1. Geographic scope and customized micro-EV sharing service models by region. Blue dots in the maps represent anonymized GPS-based trajectories of micro-EVs. Source: Drafted by the authors.
Sustainability 18 01018 g001
Figure 2. Annual trip counts and regional trip distribution of micro-EV services (2023–2025). Source: Drafted by the authors.
Figure 2. Annual trip counts and regional trip distribution of micro-EV services (2023–2025). Source: Drafted by the authors.
Sustainability 18 01018 g002
Figure 3. Micro-EV trip distributions by region based on (a) hour of day and (b) travel distance. Source: Drafted by the authors.
Figure 3. Micro-EV trip distributions by region based on (a) hour of day and (b) travel distance. Source: Drafted by the authors.
Sustainability 18 01018 g003
Figure 4. Selected examples of micro-EV trip trajectories with high detour ratios, illustrating return-to-origin travel patterns across three regions: (a,b) Daejeon, (c,d) Mokpo, and (e,f) Jeju Island. Green dots indicate trip origins, red dots indicate trip destinations, blue dots represent GPS-based trajectory points, and the plasma heatmap (purple to yellow) shows OSRM-based extracted routes. Source: Drafted by the authors.
Figure 4. Selected examples of micro-EV trip trajectories with high detour ratios, illustrating return-to-origin travel patterns across three regions: (a,b) Daejeon, (c,d) Mokpo, and (e,f) Jeju Island. Green dots indicate trip origins, red dots indicate trip destinations, blue dots represent GPS-based trajectory points, and the plasma heatmap (purple to yellow) shows OSRM-based extracted routes. Source: Drafted by the authors.
Sustainability 18 01018 g004
Figure 5. (a) Evaluation of the optimal number of clusters and (b) dendrogram structure for hierarchical clustering of micro-EV trips. In (b), different colors indicate the resulting clusters, and the red dashed line represents the cut-off threshold used to determine the number of clusters. Source: Drafted by the authors.
Figure 5. (a) Evaluation of the optimal number of clusters and (b) dendrogram structure for hierarchical clustering of micro-EV trips. In (b), different colors indicate the resulting clusters, and the red dashed line represents the cut-off threshold used to determine the number of clusters. Source: Drafted by the authors.
Sustainability 18 01018 g005
Figure 6. Radar chart of the average clustering variables across six micro-EV trip clusters. Source: Drafted by the authors.
Figure 6. Radar chart of the average clustering variables across six micro-EV trip clusters. Source: Drafted by the authors.
Sustainability 18 01018 g006
Figure 7. Cluster-wise distribution of trip- and vehicle-related variables: (a) trip distance, (b) SoC consumption, (c) average trip speed, and (d) detour ratio. Kernel density estimates and box plots are presented to illustrate distributional differences across clusters. In each kernel density plot, the black dashed line indicates the overall mean value across all clusters. Source: Drafted by the authors.
Figure 7. Cluster-wise distribution of trip- and vehicle-related variables: (a) trip distance, (b) SoC consumption, (c) average trip speed, and (d) detour ratio. Kernel density estimates and box plots are presented to illustrate distributional differences across clusters. In each kernel density plot, the black dashed line indicates the overall mean value across all clusters. Source: Drafted by the authors.
Sustainability 18 01018 g007
Figure 8. Cluster-wise distribution of temporal, environmental, and user-related variables: (a) trip start time, (b) ambient temperature, (c) precipitation, and (d) user age. Kernel density estimates and box plots are presented to illustrate distributional differences across clusters. In each kernel density plot, the black dashed line indicates the overall mean value across all clusters. Source: Drafted by the authors.
Figure 8. Cluster-wise distribution of temporal, environmental, and user-related variables: (a) trip start time, (b) ambient temperature, (c) precipitation, and (d) user age. Kernel density estimates and box plots are presented to illustrate distributional differences across clusters. In each kernel density plot, the black dashed line indicates the overall mean value across all clusters. Source: Drafted by the authors.
Sustainability 18 01018 g008
Figure 9. Cluster-wise distribution of categorical variables: (a) weekend indicator, (b) user gender, (c) trip purpose, and (d) connecting transport mode. Kernel density estimates and stacked bar charts are presented to illustrate distributional differences across clusters. In each kernel density plot, the black dashed line indicates the overall mean value across all clusters. Source: Drafted by the authors.
Figure 9. Cluster-wise distribution of categorical variables: (a) weekend indicator, (b) user gender, (c) trip purpose, and (d) connecting transport mode. Kernel density estimates and stacked bar charts are presented to illustrate distributional differences across clusters. In each kernel density plot, the black dashed line indicates the overall mean value across all clusters. Source: Drafted by the authors.
Sustainability 18 01018 g009
Figure 10. Spatial trajectories of micro-EV trips by cluster and region. Blue lines represent trip trajectories, and red dots indicate trip origins and destinations. Source: Drafted by the authors.
Figure 10. Spatial trajectories of micro-EV trips by cluster and region. Blue lines represent trip trajectories, and red dots indicate trip origins and destinations. Source: Drafted by the authors.
Sustainability 18 01018 g010
Table 1. Vehicle specifications and deployment summary of micro-EV models.
Table 1. Vehicle specifications and deployment summary of micro-EV models.
ClassificationCEVO-CD2MaiV
Specification
Vehicle appearanceSustainability 18 01018 i001Sustainability 18 01018 i002Sustainability 18 01018 i003
Length (mm)243028202845
Width (mm)142515201500
Height (mm)155015601565
Weight (kg) 1590660595
Battery capacity (kWh)10.217.310.0
Max. output (kW)14.910.013.0
Max. speed (km/h)808080
Range (km) 275.492.660.8
Number of vehicles deployed (as of 2024)
Daejeon901
Mokpo1506
Jeju Island3194
Total55911
Note: 1 Curb weight (including battery); 2 Urban driving range on a single charge.
Table 2. Description of the main variables.
Table 2. Description of the main variables.
VariableUnitExampleDescription
Trip distancemeters
(m)
3082.17Road-network distance traveled during the trip, measured using OSRM
Trip durationseconds
(s)
953Total duration of the trip
OD distancemeters
(m)
1070.13Shortest road-network distance between trip origin and destination, measured using OSRM
SoC consumptionpercentage
(%)
6.00Absolute decrease in battery state of charge during the trip
Average
trip speed
meters per
second (m/s)
3.23Average speed during the trip
Trip
start time
hour
(0–23)
18Hour of the day when the trip started
Weekend
indicator
categorical
(binary)
0Indicates whether the trip occurred on
a weekend (0: weekday, 1: weekend)
Ageyears30Age of the trip user
Gendercategorical
(binary)
1Gender of the trip user
(0: male, 1: female)
Trip purposecategorical
(encoded)
2Survey-based trip purpose
(0: work commute, 1: business, 2: school,
3: shopping, 4: leisure, 5: other)
Connecting
transport mode
categorical
(encoded)
3Survey-based connecting mode
before or after the trip
(0: walking, 1: e-scooter/bicycle, 2: local bus,
3: subway, 4: express bus, 5: railway,
6: air travel, 7: other)
Temperaturedegrees Celsius
(°C)
12.30Temperature at the trip start time
Humiditypercentage
(%)
19.00Relative humidity at the trip start time
Precipitationmillimeters
(mm)
0.00Precipitation amount at the trip start time
Table 3. Average values of clustering variables for the six micro-EV trip clusters.
Table 3. Average values of clustering variables for the six micro-EV trip clusters.
ClusterTrip
Distance
Average
Trip Speed
SoC
Consumption
Detour
Ratio
Trip
Start Time
Weekend
14480.304.915.284.7813.970.25
23980.014.365.341.8515.330.32
33404.394.064.432.5914.630.28
421,400.8610.1025.623.8812.800.17
56087.274.617.584.5815.980.11
621,849.806.0327.683216.8918.270.32
ClusterTemperaturePrecipitationAgeGenderTrip
Purpose
Connecting Transport Mode
119.520.1234.080.370.221.02
216.410.0332.020.183.920.57
316.270.0539.110.441.884.46
419.710.0937.760.361.361.69
521.5324.8735.150.320.941.15
619.350.0131.590.320.820.68
Disclaimer/Publisher’s Note: The statements, opinions and data contained in all publications are solely those of the individual author(s) and contributor(s) and not of MDPI and/or the editor(s). MDPI and/or the editor(s) disclaim responsibility for any injury to people or property resulting from any ideas, methods, instructions or products referred to in the content.

Share and Cite

MDPI and ACS Style

Oh, S.; Park, S.; Ko, E.; Shim, J.; Rhim, C. Spatiotemporal Dynamics and Behavioral Patterns of Micro-Electric Vehicle Trips for Sustainable Urban Mobility. Sustainability 2026, 18, 1018. https://doi.org/10.3390/su18021018

AMA Style

Oh S, Park S, Ko E, Shim J, Rhim C. Spatiotemporal Dynamics and Behavioral Patterns of Micro-Electric Vehicle Trips for Sustainable Urban Mobility. Sustainability. 2026; 18(2):1018. https://doi.org/10.3390/su18021018

Chicago/Turabian Style

Oh, Seungmin, Sunghwan Park, Eunjeong Ko, Jisup Shim, and Chulwoo Rhim. 2026. "Spatiotemporal Dynamics and Behavioral Patterns of Micro-Electric Vehicle Trips for Sustainable Urban Mobility" Sustainability 18, no. 2: 1018. https://doi.org/10.3390/su18021018

APA Style

Oh, S., Park, S., Ko, E., Shim, J., & Rhim, C. (2026). Spatiotemporal Dynamics and Behavioral Patterns of Micro-Electric Vehicle Trips for Sustainable Urban Mobility. Sustainability, 18(2), 1018. https://doi.org/10.3390/su18021018

Note that from the first issue of 2016, this journal uses article numbers instead of page numbers. See further details here.

Article Metrics

Back to TopTop