Sustainable Governance of Digital Platform Ecosystem: A Life Cycle Perspective Through Multiple Governance Parties
Abstract
1. Introduction
2. Evolutionary Game Model
2.1. Model Variables and Assumptions
2.1.1. Assumption 1
2.1.2. Assumption 2
2.1.3. Assumption 3
2.2. Game Strategy
3. Modern Analysis
3.1. Analysis of the Government
3.2. Analysis of the Platform Organization
3.3. Analysis of the Settled Enterprise
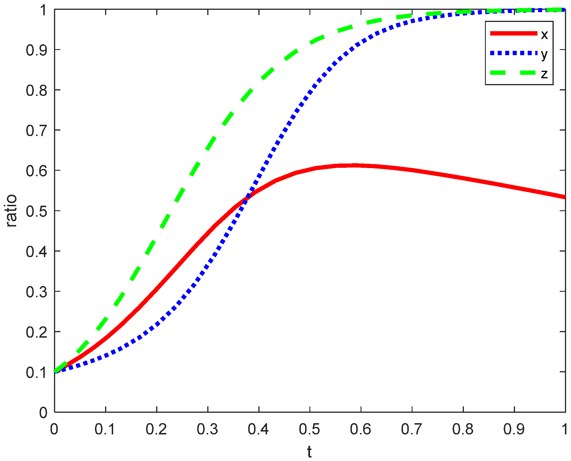
4. Evolution Strategy Analysis
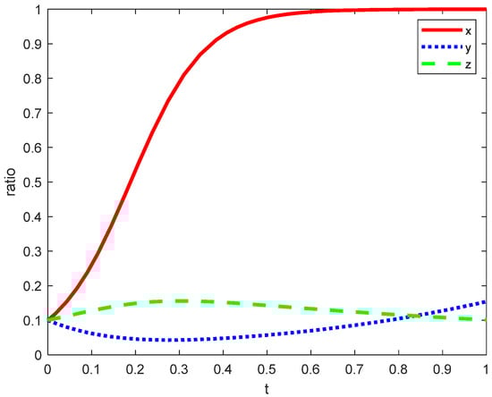
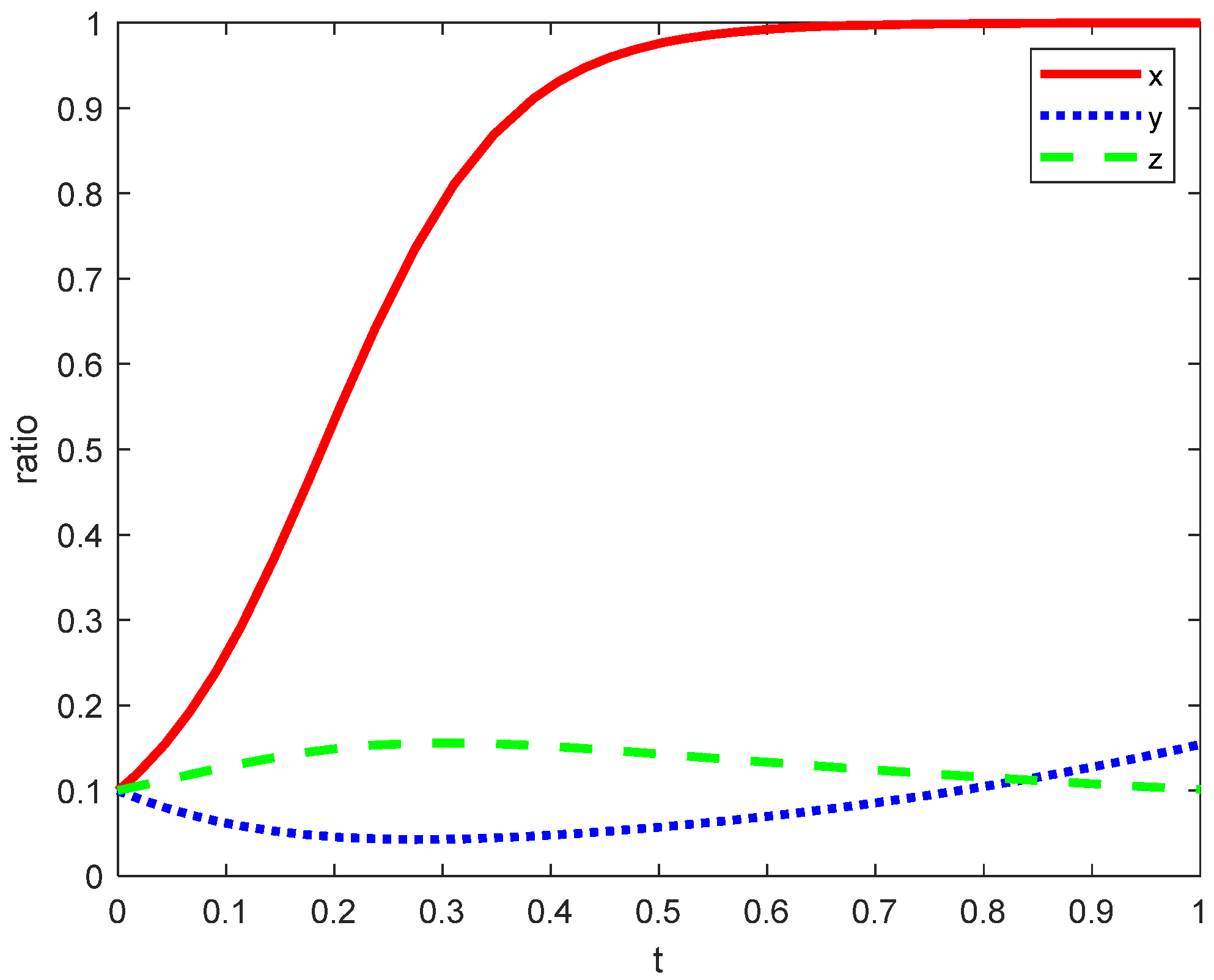
5. Numerical Analysis of the Tripartite Game in Different Life Cycle Stages
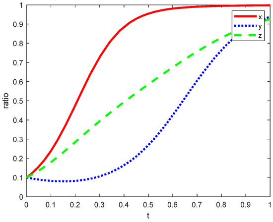
5.1. Birth Stage
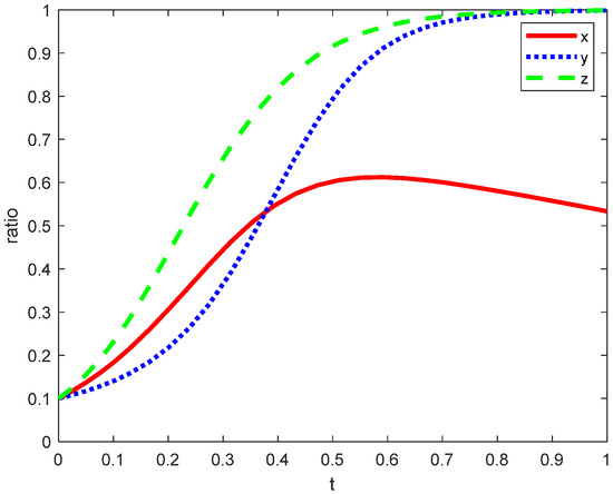
5.2. Expansion Stage
5.3. Leadership Stage
5.4. Self-Renewal Stage
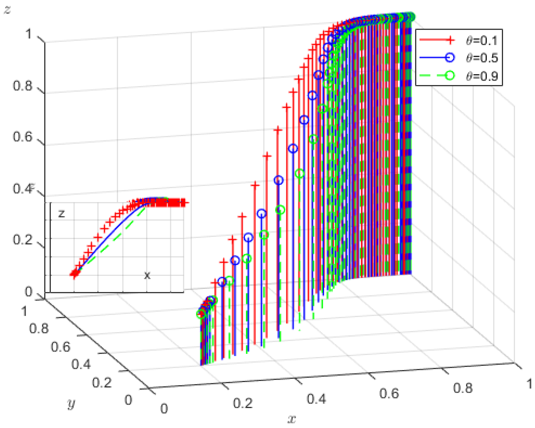
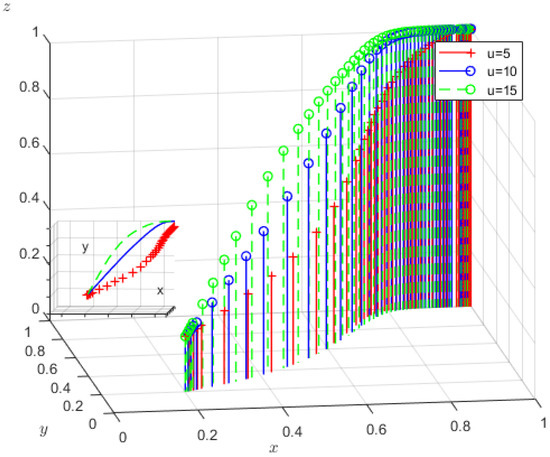
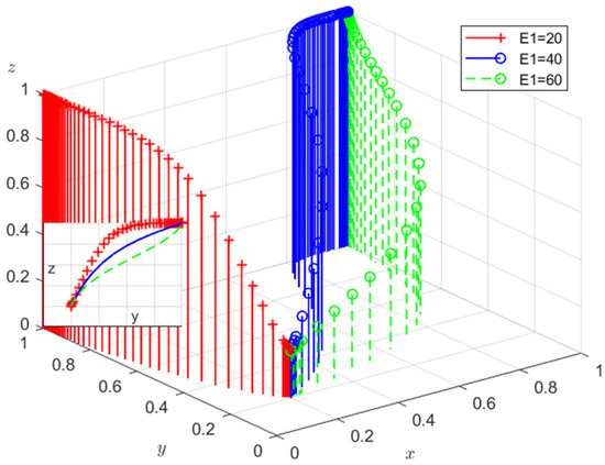
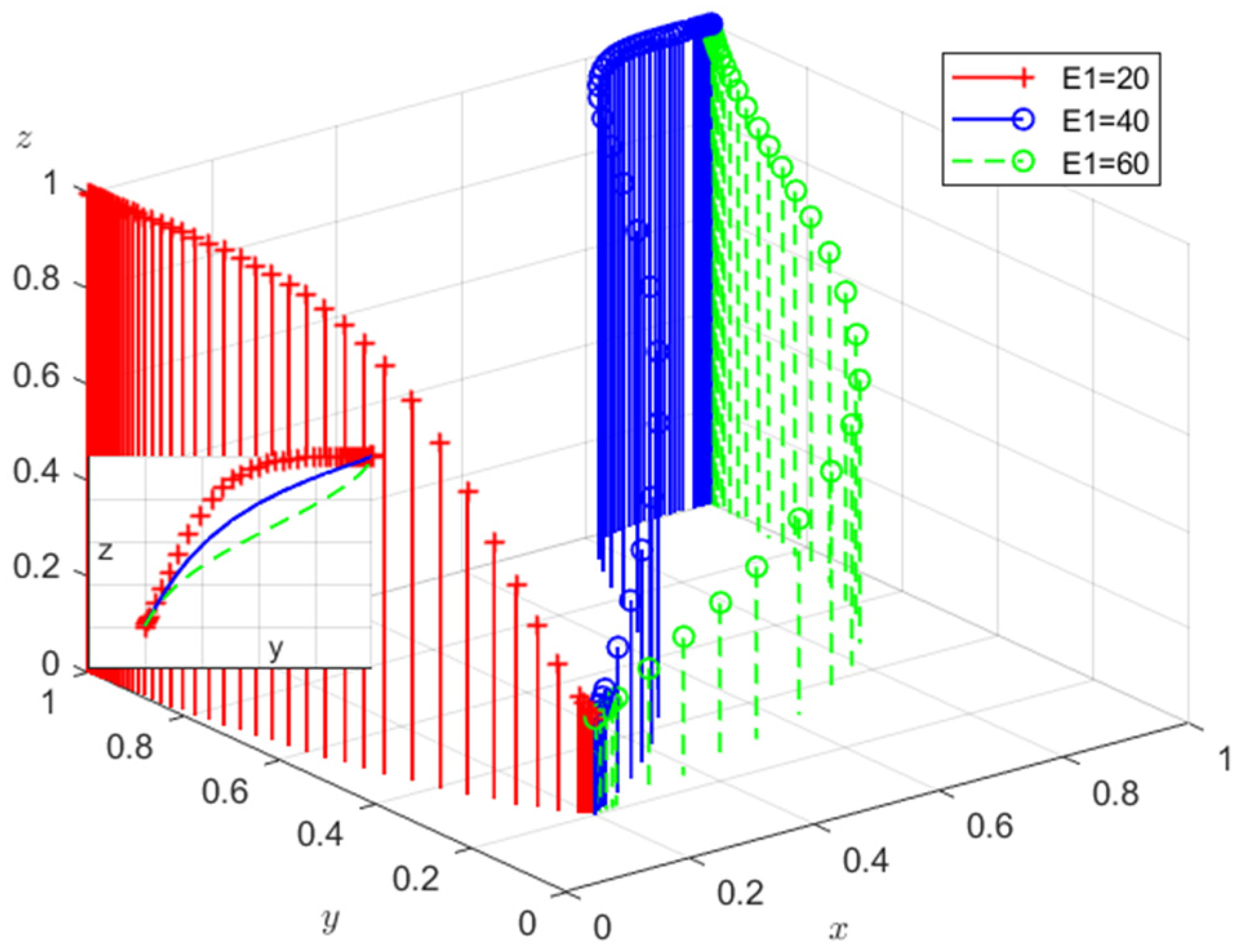
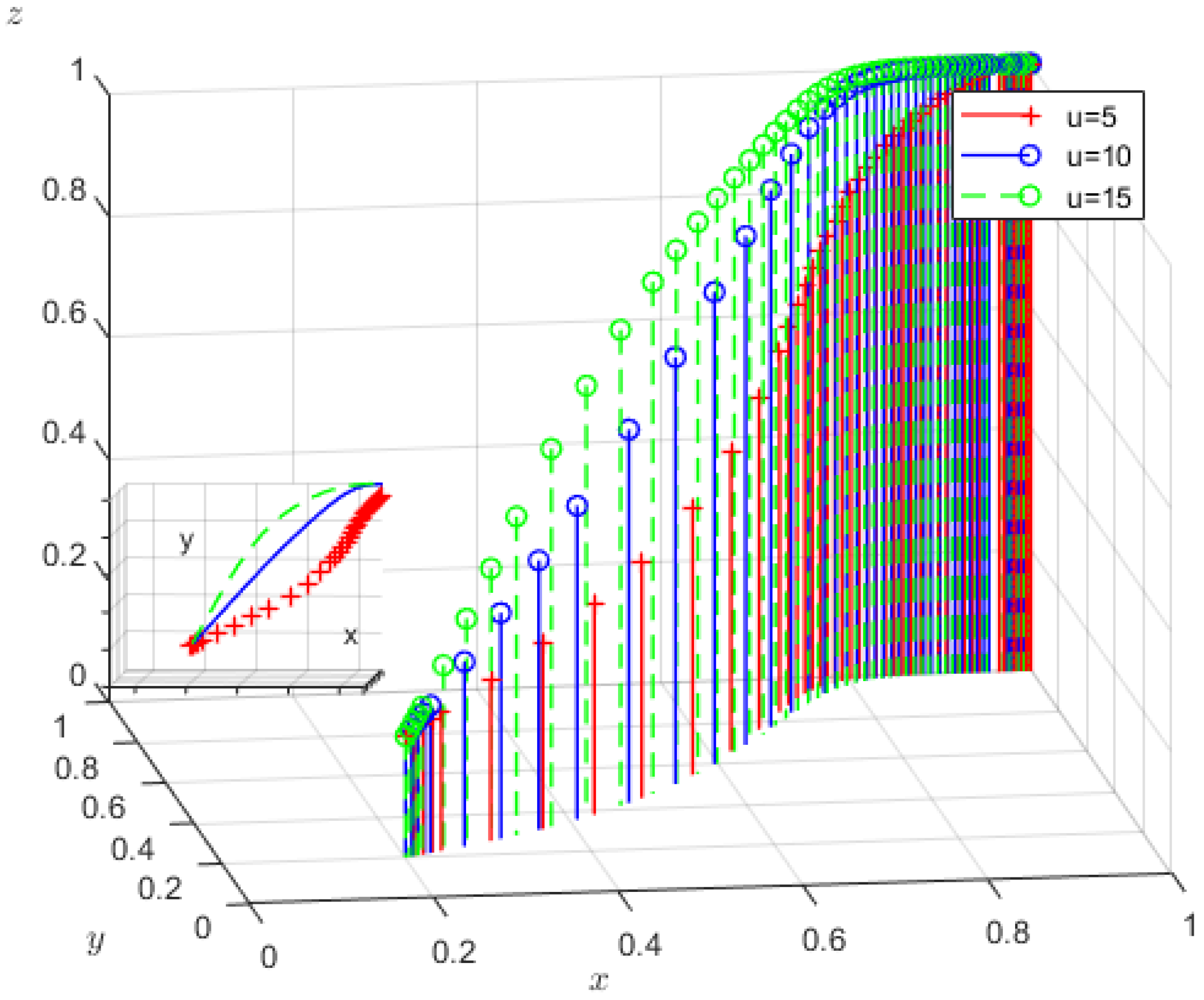
6. Influencing Factors Analysis of Digital Platform Governance
6.1. Impact on Government Reputation
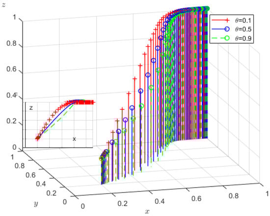
6.2. Influence of Platform Green Negligence
6.3. Impact on the Green Transition Consciousness of Settled Enterprises
7. Discussion
8. Case Study
9. Implications
9.1. Theoretical Implications
9.2. Practical Implications
10. Limitations and Future Research
11. Conclusions
Author Contributions
Funding
Institutional Review Board Statement
Informed Consent Statement
Data Availability Statement
Conflicts of Interest
References
- Hussain, J.; Zhou, K. Globalization, industrialization, and urbanization in Belt and Road Initiative countries: Implications for environmental sustainability and energy demand. Environ. Sci. Pollut. Res. 2022, 29, 80549–80567. [Google Scholar] [CrossRef] [PubMed]
- Ahmed, Z.; Asghar, M.M.; Malik, M.N.; Nawaz, K. Moving towards a sustainable environment: The dynamic linkage between natural resources, human capital, urbanization, economic growth, and ecological footprint in China. Resour. Policy 2020, 67, 101677. [Google Scholar] [CrossRef]
- Wu, D.; Memon, H. Public Pressure, Environmental Policy Uncertainty, and Enterprises’ Environmental Information Disclosure. Sustainability 2022, 14, 6948. [Google Scholar] [CrossRef]
- Chen, F.; Beibei, S.; Rong, K. Does Environmental Policy Reduce Enterprise Innovation?—Evidence from China. Sustainability 2017, 9, 872. [Google Scholar] [CrossRef]
- Wang, Y.; Chen, Z.; Shen, H. How do multi-faceted environmental policies enhance the production efficiency of enterprises?—Mechanisms discovery based on machine learning algorithms. J. Environ. Manag. 2025, 373, 123913. [Google Scholar] [CrossRef]
- Huang, S.; Lin, H.; Zhou, Y.; Ji, H.; Zhu, N. The Influence of the Policy of Replacing Environmental Protection Fees with Taxes on Enterprise Green Innovation—Evidence from China’s Heavily Polluting Industries. Sustainability 2022, 114, 106265. [Google Scholar] [CrossRef]
- Lu, Y.; Gao, Y.; Zhang, Y.; Wang, J. Can the Green Finance Policy Force the Green Transformation of High-Polluting Enterprises? A Quasi-Natural Experiment Based on “Green Credit Guidelines”. SSRN Electron. J. 2022, 114, 106265. [Google Scholar] [CrossRef]
- Li, H.L.; Zhu, X.H.; Chen, J.Y.; Jiang, F.T. Environmental regulations, environmental governance efficiency and the green transformation of China’s iron and steel enterprises. Ecol. Econ. 2019, 165, 106397.1–106397.14. [Google Scholar] [CrossRef]
- Mukhopadhyay, S.; Bouwman, H. Multi-actor collaboration in platform-based ecosystem: Opportunities and challenges. J. Inf. Technol. Case Appl. 2018, 20, 47–54. [Google Scholar] [CrossRef]
- Evans, D.S.; Schmalensee, R. Matchmakers: The New Economics of Multisided Platforms; Harvard Business Review Press: Boston, MA, USA, 2016. [Google Scholar]
- Constantinides, P.; Henfridsson, O.; Parker, G.G. Platforms and infrastructures in the digital age. Inf. Syst. Res. 2018, 29, 381. [Google Scholar] [CrossRef]
- Cusumano, M.A.; Gawer, A.; Yoffie, D.B. The Business of Platforms: Strategy in the Age of Digital Competition, Innovation, and Power; HarperBusiness: New York, NY, USA, 2019. [Google Scholar]
- Chen, Y.; Pereira, I.; Patel, P.C. Decentralized governance of digital platforms. J. Manag. 2020, 47, 1305–1337. [Google Scholar] [CrossRef]
- Parker, G.; Van Alstyne, M. Innovation, openness, and platform control. Manag. Sci. 2018, 64, 3015–3032. [Google Scholar] [CrossRef]
- Moore, J.F. Predators and prey: A new ecology of competition. Harv. Bus. Rev. 1993, 71, 75–86. [Google Scholar]
- Gawer, A. Digital platforms’ boundaries: The interplay of firm scope, platform sides, and digital interfaces. Long Range Plan. 2021, 54, 102045. [Google Scholar] [CrossRef]
- Rochet, J.-C.; Tirole, J. Platform competition in two-sided markets. J. Eur. Econ. Assoc. 2003, 1, 990–1029. [Google Scholar] [CrossRef]
- Tiwana, A.; Konsynski, B.; Bush, A.A. Platform evolution: Coevolution of platform architecture, governance, and environmental dynamics. Inf. Syst. Res. 2010, 21, 675–687. [Google Scholar] [CrossRef]
- Hein, A.; Schreieck, M.; Riasanow, T.; Setzke, D.S.; Wiesche, M.; Böhm, M.; Krcmar, H. Digital platform ecosystems. Electron. Mark. 2020, 30, 87–98. [Google Scholar] [CrossRef]
- De Reuver, M.; Sørensen, C.; Basole, R.C. The digital platform: A research agenda. J. Inf. Technol. 2018, 33, 124–135. [Google Scholar] [CrossRef]
- Iden, J.; Bygstad, B.; Osmundsen, K.S.; Costabile, C.; Øvrelid, E. Digital platform ecosystem governance: Preliminary findings and research agenda. In Proceedings of the Norsk IKT-Konferanse for Forskning og Utdanning, Kristiansand, Norway, 28 November–1 December 2022. [Google Scholar]
- Jaffe, A.B.; Palmer, K. Environmental regulation and innovation: A panel data study. Rev. Econ. Stat. 1997, 79, 610–619. [Google Scholar] [CrossRef]
- Johnstone, N.; Haščič, I.; Popp, D. Renewable energy policies and technological innovation: Evidence based on patent counts. Environ. Resour. Econ. 2010, 45, 133–155. [Google Scholar] [CrossRef]
- Krass, D.; Nedorezov, T.; Ovchinnikov, A. Environmental Taxes and the Choice of Green Technology. Prod. Oper. Manag. 2013, 22, 1035–1055. [Google Scholar] [CrossRef]
- Zhang, G.; Fang, C.; Zhang, W.; Wang, Q.; Hu, D. How does the implementation of the new environmental protection law affect the stock price of heavily polluting enterprises? Evidence from China’s capital market. Emerg. Mark. Financ. Trade 2019, 55, 3513–3538. [Google Scholar] [CrossRef]
- Greenstone, M. The impacts of environmental regulations on industrial activity: Evidence from the 1970 and 1977 clean air act amendments and the census of manufactures. J. Political Econ. 2002, 110, 1175–1219. [Google Scholar] [CrossRef]
- Lee, C.C.; Li, X.; Yu, C.H.; Zhao, J. The contribution of climate finance toward environmental sustainability: New global evidence. Energy Econ. 2022, 111, 106072. [Google Scholar] [CrossRef]
- Lee, C.C.; Tang, H.; Li, D. The roles of oil shocks and geopolitical uncertainties on China’s green bond returns. Econ. Anal. Policy 2022, 74, 494–505. [Google Scholar] [CrossRef]
- Lee, C.C.; Lee, C.C. How does green finance affect green total factor productivity? Evidence from China. Energy Econ. 2022, 107, 105863. [Google Scholar] [CrossRef]
- Meo, M.S.; Abd Karim, M.Z. The role of green finance in reducing CO2 emissions: An empirical analysis. Borsa Istanb. Rev. 2022, 22, 169–178. [Google Scholar] [CrossRef]
- Muganyi, T.; Yan, L.; Sun, H. Green finance, fintech and environmental protection: Evidence from China. Environ. Sci. Ecotechnol. 2021, 7, 100107. [Google Scholar] [CrossRef]
- Ren, X.; Shao, Q.; Zhong, R. Nexus between green finance, non-fossil energy use, and carbon intensity: Empirical evidence from China based on a vector error correction model. J. Clean. Prod. 2020, 277, 122844. [Google Scholar] [CrossRef]
- Sinha, A.; Mishra, S.; Sharif, A.; Yarovaya, L. Does green financing help to improve environmental & social responsibility? Designing SDG framework through advanced quantile modelling. J. Environ. Manag. 2021, 292, 112751. [Google Scholar] [CrossRef]
- Zhou, X.; Tang, X.; Zhang, R. Impact of green finance on economic development and environmental quality: A study based on provincial panel data from China. Environ. Sci. Pollut. Res. 2020, 27, 19915–19932. [Google Scholar] [CrossRef]
- Zhang, W.; Sun, C. How does outward foreign direct investment affect enterprise green transition? Evidence from China. J. Clean. Prod. 2023, 428, 139331. [Google Scholar] [CrossRef]
- Maiti, M. Does improvement in green growth influence the development of environmental related technology? Innov. Green Develop. 2022, 1, 100008. [Google Scholar] [CrossRef]
- Su, R.; Li, N. Environmental, Social, and Governance Performance, Platform Governance, and Value Creation of Platform Enterprises. Sustainability 2024, 16, 7251. [Google Scholar] [CrossRef]
- Shi, P.; Huang, Q. Alignment of words and actions? Government environmental attention and enterprise digital transformation. Technol. Forecast. Soc. Change 2025, 210, 123888. [Google Scholar] [CrossRef]
- Ding, L.; Ye, R.M.; Wu, J. Platform strategies for innovation ecosystem: Double-case study of Chinese automobile manufactures. J. Clean. Prod. 2019, 209, 1564–1577. [Google Scholar] [CrossRef]
- Hult, G.T.M.; Gonzalez-Perez, M.A.; Lagerström, K. The theoretical evolution and use of the Uppsala model of internationalization in the international business ecosystem. J. Int. Bus. Stud. 2020, 51, 38–49. [Google Scholar] [CrossRef]
- Rong, K.; Wu, J.; Shi, Y.; Guo, L. Nurturing business ecosystems for growth in a foreign market: Incubating, identifying and integrating stakeholders. J. Int. Manag. 2015, 21, 293–308. [Google Scholar] [CrossRef]
- O’Mahony, S.; Karp, R. From proprietary to collective governance: How do platform participation strategies evolve? Strateg. Manag. J. 2022, 43, 530–562. [Google Scholar] [CrossRef]
- Mukhopadhyay, S.; Bouwman, H.; Jaiswal, M. Portfolios of control in mobile eco-systems: Evolution and validation. Info 2015, 17, 36–58. [Google Scholar] [CrossRef]
- Teece, D.J. Dynamic Capabilities and (Digital) Platform Lifecycles, Entrepreneurship, Innovation, and Platforms; Advances in Strategic Management; Emerald Publishing Limited: Bingley, UK, 2017; Volume 37, pp. 211–225. [Google Scholar]
- Muzellec, L.; Ronteau, S.; Lambkin, M. Two-sided internet platforms: A business model lifecycle perspective. Ind. Mark. Manag. 2015, 45, 139–150. [Google Scholar] [CrossRef]
- Isckia, T.; de Reuver, M.; Lescop, D. Digital innovation in platform-based ecosystems: An evolutionary framework. In Proceedings of the 10th International Conference on Management of Digital Ecosystems 2018, Tokyo, Japan, 25–28 September 2018; pp. 149–156. [Google Scholar] [CrossRef]
- Cennamo, C.; Santaló, J. Generativity tension and value creation in platform ecosystems. Organ. Sci. 2019, 30, 617–641. [Google Scholar] [CrossRef]
- Teh, T.H. Platform governance. Am. Econ. J. Microecon. 2022, 14, 213–254. [Google Scholar] [CrossRef]
- Tiwana, A. Evolutionary competition in platform ecosystems. Inf. Syst. Res. 2015, 26, 266–281. [Google Scholar] [CrossRef]
- Zhong, Q.; Sun, Y. The more the better? Relational governance in platforms and the role of appropriability mechanisms. J. Bus. Res. 2020, 108, 62–73. [Google Scholar] [CrossRef]
- Weibull, J.W. Evolutionary Game Theory; MIT Press: Cambridge, MA, USA, 1997. [Google Scholar]
- Wang, S.Y.; Lee, K.T.; Kim, J.H. Green retrofitting simulation for sustainable commercial buildings in China using a proposed multi-agent evolutionary game. Sustainability 2022, 14, 7671. [Google Scholar] [CrossRef]
- Kell, T. Negative views undermine public enterprise. Public Manag. New Bur. 1993, 22, 51. [Google Scholar]
- Da Silva, R.; Batista, L. Boosting government reputation through CRM. Int. J. Public Sect. Manag. 2007, 20, 588–607. [Google Scholar] [CrossRef]
- Xiao, L.; Ke, T.; Yu, F.; Guo, P. Impact of government support on users’ participation in emerging green crowdsourcing logistics model: Evidence from digital freight platform in China. J. Enterp. Inf. Manag. 2023, 36, 583–604. [Google Scholar] [CrossRef]
- Tadelis, S. Reputation and feedback systems in online platform markets. Ann. Rev. Econ. 2016, 8, 321–340. [Google Scholar] [CrossRef]
- Nosko, C.; Tadelis, S. The Limits of Reputation in Platform Markets: An Empirical Analysis and Field Experiment; No. w20830; National Bureau of Economic Research: Cambridge, MA, USA, 2015. [Google Scholar]
- Fan, Y.; Ju, J.; Xiao, M. Reputation premium and reputation management: Evidence from the largest e-commerce platform in China. Int. J. Indus. Org. 2016, 46, 63–76. [Google Scholar] [CrossRef]
- Barnes, N.G.; Cass, J.; Getgood, S.; Gillin, P.; Goosieaux, F. Exploring the Link Between Customer Care and Brand Reputation in the Age of Social Media; Society for New Communication Research: Palo Alto, CA, USA, 2008; p. 214. [Google Scholar]
- Navarro-Chávez, C.; Delfín-Ortega, O.V.; Moreno Manzo, J.M. Municipal evaluation in Mexico: A measurement of the government reputation. Corp. Reput. Rev. 2022, 25, 106–121. [Google Scholar] [CrossRef]
- Wei, Y.; Guo, Y.; Su, J. Dancing on a tightrope: The reputation management of local governments in response to public protests in China. Public Adm. 2021, 99, 547–562. [Google Scholar] [CrossRef]
- Jeon, D.S.; Kim, B.C.; Menicucci, D. Second-degree price discrimination by a two-sided monopoly platform. Am. Econ. J. Microecon. 2022, 14, 322–369. [Google Scholar] [CrossRef]
- Vasudevan, R. Digital platforms: Monopoly capital through a classical-Marxian lens. Camb. J. Econ. 2022, 46, 1269–1288. [Google Scholar] [CrossRef]
- Geradin, D.; Katsifis, D. Strengthening effective antitrust enforcement in digital platform markets. Eur. Compet. J. 2022, 18, 356–405. [Google Scholar] [CrossRef]
- Mo, D.; Yu, J.; Chen, X.M. Modeling and managing heterogeneous ride-sourcing platforms with government subsidies on electric vehicles. Transp. Res. B Methodol. 2020, 139, 447–472. [Google Scholar] [CrossRef]
- Seo, H.; Myeong, S. The priority of factors of building government as a platform with analytic hierarchy process analysis. Sustainability 2020, 12, 5615. [Google Scholar] [CrossRef]
- Marjanovic, O.; Cecez-Kecmanovic, D. Open government data platforms—A complex adaptive sociomaterial systems perspective. Inf. Organ. 2020, 30, 100323. [Google Scholar] [CrossRef]
- Just, N. Governing online platforms: Competition policy in times of platformization. Telecommun. Policy 2018, 42, 386–394. [Google Scholar] [CrossRef]
- Song, P.; Xue, L.; Rai, A.; Zhang, C. The ecosystem of software platform: A study of asymmetric cross-side network effects platform governance. MIS Q. 2018, 42, 121–142. [Google Scholar] [CrossRef]
- Sapraz, M.; Han, S. Users’ evaluation of a digital government collaborative platform (DGCP) in Sri Lanka. Transform. Gov. People Process Policy 2023, 18, 131–144. [Google Scholar] [CrossRef]















| Strategies | Settled Enterprise | ||
|---|---|---|---|
| Green Transition | Green Negligence | ||
| Valid government regulation | Platform green governance | ||
| Platform green negligence | |||
| Invalid government regulation | Platform green governance | ||
| Platform green negligence | |||
| Game Strategies | Government | Platform Organizations | Settled Enterprise |
|---|---|---|---|
| Equilibrium Points | Eigenvalues | ESS Conditions | ||
|---|---|---|---|---|
| unstable equilibrium point | ||||
| unstable equilibrium point | ||||
| unstable equilibrium point | ||||
| unstable equilibrium point | ||||
| unstable equilibrium point | ||||
Disclaimer/Publisher’s Note: The statements, opinions and data contained in all publications are solely those of the individual author(s) and contributor(s) and not of MDPI and/or the editor(s). MDPI and/or the editor(s) disclaim responsibility for any injury to people or property resulting from any ideas, methods, instructions or products referred to in the content. |
© 2025 by the authors. Licensee MDPI, Basel, Switzerland. This article is an open access article distributed under the terms and conditions of the Creative Commons Attribution (CC BY) license (https://creativecommons.org/licenses/by/4.0/).
Share and Cite
Han, Y.; Xie, L. Sustainable Governance of Digital Platform Ecosystem: A Life Cycle Perspective Through Multiple Governance Parties. Sustainability 2025, 17, 3628. https://doi.org/10.3390/su17083628
Han Y, Xie L. Sustainable Governance of Digital Platform Ecosystem: A Life Cycle Perspective Through Multiple Governance Parties. Sustainability. 2025; 17(8):3628. https://doi.org/10.3390/su17083628
Chicago/Turabian StyleHan, Ying, and Lei Xie. 2025. "Sustainable Governance of Digital Platform Ecosystem: A Life Cycle Perspective Through Multiple Governance Parties" Sustainability 17, no. 8: 3628. https://doi.org/10.3390/su17083628
APA StyleHan, Y., & Xie, L. (2025). Sustainable Governance of Digital Platform Ecosystem: A Life Cycle Perspective Through Multiple Governance Parties. Sustainability, 17(8), 3628. https://doi.org/10.3390/su17083628

