Solid Waste Governance Action and Corporate ESG Performance: Evidence from China’s “Zero-Waste City” Pilot Policy
Abstract
1. Introduction
2. Hypothesis Development
3. Research Design
3.1. Data and Sample
3.2. Variable Selection
3.2.1. Dependent Variable
3.2.2. Independent Variable
3.2.3. Mechanism Variables
3.2.4. Control Variables
3.3. Model Design
4. Empirical Analysis
4.1. Descriptive Statistics of Main Variables
4.2. Baseline Results
4.3. Robustness Checks
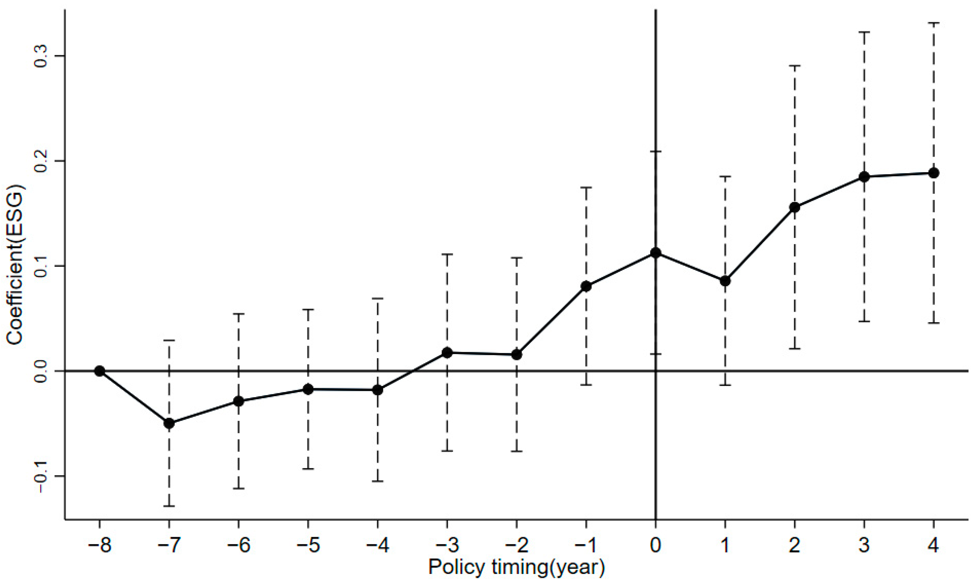
4.3.1. Parallel Trend Test
4.3.2. Placebo Test
4.3.3. Propensity Score Matching (PSM) Approach
4.3.4. Alternative Dependent Variable
4.3.5. Excluding Other Interfering Factors
4.3.6. Omitted Variable Problem
5. Mechanism Testing
6. Further Analysis
6.1. Spillover Effect Analysis
6.2. Heterogeneity Analysis
6.2.1. Different Types of Enterprises
6.2.2. Different Types of Industries
6.2.3. Different Types of Cities
7. Conclusions and Recommendations
Supplementary Materials
Author Contributions
Funding
Institutional Review Board Statement
Informed Consent Statement
Data Availability Statement
Conflicts of Interest
References
- Ishaan, D.; Anisha, S.; Maanas, S.; Nirjara, D.; Suvi, R. A systematic literature review on municipal solid waste management using machine learning and deep learning. Artif. Intell. Rev. 2025, 58, 183. [Google Scholar]
- Liu, M.Y.; Chen, L.P.; Sheng, X.R.; Xu, Y.; Yuan, X.L.; Wang, Q.S.; Ma, Q.; Zuo, J. Zero-waste city pilot and urban green and low-carbon transformation: Quasi-experimental evidence from China. Resour. Conserv. Recycl. 2024, 206, 107625. [Google Scholar] [CrossRef]
- Moktadir, M.A.; Ren, J.Z. Leveraging environmental, social, and governance strategies for sustainable tannery solid waste management towards achieving sustainable development goals. Sustain. Dev. 2024, 32, 2869–2898. [Google Scholar] [CrossRef]
- Yang, G.; Zhang, Q.; Zhao, Z.L.; Zhou, C.B. How does the “Zero-waste City” strategy contribute to carbon footprint reduction in China? Waste Manag. 2023, 156, 227–235. [Google Scholar] [CrossRef]
- Chava, S. Environmental Externalities and Cost of Capital. Manag. Sci. 2014, 60, 2223–2247. [Google Scholar] [CrossRef]
- Ma, S.; Ma, T. ESG Controversies and Firm Value: Evidence from A-Share Companies in China. Sustainability 2025, 17, 2750. [Google Scholar] [CrossRef]
- Tian, B.W.; Yu, J.Y.; Tian, Z.L. The impact of market-based environmental regulation on corporate ESG performance: A quasi-natural experiment based on China’s carbon emission trading scheme. Heliyon 2024, 10, e26687. [Google Scholar] [CrossRef]
- Zhu, N.P.; Zhang, S.Y.; Zhou, Y.Y. Impacts of environmental regulation on corporate ESG performance: Evidence from China. Rom. J. Econ. Forecast. 2023, 26, 62–82. [Google Scholar]
- Qian, J.; Chen, C.; Zhong, Y. Environmental Regulation and Sustainable Growth of Enterprise Value: Mediating Effect Analysis Based on Technological Innovation. Sustainability 2022, 14, 13723. [Google Scholar] [CrossRef]
- Cherniwchan, J.; Najjar, N. Do Environmental Regulations Affect the Decision to Export? Am. Econ. J. Econ. Policy 2022, 14, 125–160. [Google Scholar] [CrossRef]
- Porter, E. America’s green strategy. Sci. Am. 1991, 264, 168. [Google Scholar] [CrossRef]
- Amin, S.; Khandaker, M.K.; Jannat, J.; Khan, F.; Rahman, S.Z. Cooperative environmental governance in urban South Asia: Implications for municipal waste management and waste-to-energy. Environ. Sci. Pollut. Res. 2023, 30, 69550–69563. [Google Scholar] [CrossRef] [PubMed]
- Rao, C.J.; He, Y.W.; Xiao, X.P. Selection decision-making mechanism of “zero-waste city” in the Yangtze River Economic Zone. Environ. Dev. Sustain. 2023, 25, 11421–11454. [Google Scholar] [CrossRef]
- Cong, X.H.; Su, P.K.; Wang, L.; Wang, S.; Qi, Z.P.; Saparauskas, J.; Górecki, J.; Skibniewski, M.J. Measuring the Construction Efficiency of Zero-Waste City Clusters Based on an Undesirable Super-Efficiency Model and Kernel Density Estimation Method. Systems 2023, 11, 473. [Google Scholar] [CrossRef]
- Hao, M.G.; Xu, S.C.; Meng, X.N.; Xue, X.F. How does the digital economy affect the provincial “zero-waste city” construction? Evidence from China. Environ. Sci. Pollut. Res. 2024, 31, 18448–18464. [Google Scholar] [CrossRef]
- Clementino, E.; Perkins, R. How do companies respond to environmental, social and governance (ESG) ratings? Evidence from Italy. J. Bus. Ethics 2021, 171, 379–397. [Google Scholar] [CrossRef]
- Fu, T.; Chang, D.; Miao, C. Fuel regulation in a developing country: An interventional perspective. Energy Econ. 2022, 113, 106031. [Google Scholar] [CrossRef]
- Chen, Q.; Li, M.H. Environmental regulatory system reform and corporate ESG ratings: Evidence from China. Econ. Model. 2024, 135, 106710. [Google Scholar] [CrossRef]
- Gu, Y.; Ho, K.C.; Yan, C.; Gozgor, G. Public environmental concern, CEO turnover, and green investment: Evidence from a quasi-natural experiment in China. Energy Econ. 2021, 100, 105379. [Google Scholar] [CrossRef]
- Yan, K.; Chen, Z.W.; Wang, J.G.; Wang, P.P.; Liang, W.M. The power from folk monitoring: Leading Officials’ Natural Resources Accountability Audit (NRAA) and corporate ESG performance. Finance Res. Lett. 2023, 58, 104575. [Google Scholar] [CrossRef]
- Gui, Z.; Lu, X.Y. Strengthening of rule of law and ESG performance of corporations. Finance Res. Lett. 2024, 66, 105705. [Google Scholar] [CrossRef]
- Lv, Y.Q.; Fan, T.Z.; Zhao, B.; Zhang, J.N.; Zheng, Y.; Zhang, Z.Y. How do government environmental concerns affect haze pollution? Front. Environ. Sci. 2022, 10, 945226. [Google Scholar] [CrossRef]
- Wang, Z.W.; Sun, H.; Ding, C.X.; Zhang, X.F. Does public environmental concern cause pollution transfer? Evidence from Chinese firms’ off-site investments. J. Clean. Prod. 2024, 466, 142825. [Google Scholar] [CrossRef]
- Jia, J.S.; He, X.Y.; Zhu, T.Y.; Zhang, E.R.Y. Does green finance reform promote corporate green innovation? Evidence from China. Pac.-Basin Financ. J. 2023, 82, 102165. [Google Scholar] [CrossRef]
- Jacobson, L.S.; Lalonde, R.J.; Sullivan, D.G. Earnings losses of displaced workers. Am. Econ. Rev. 1993, 83, 685–709. [Google Scholar]
- Cai, X.Q.; Lu, Y.; Wu, M.Q. Does environmental regulation drive away inbound foreign direct investment? Evidence from a quasi-natural experiment in China. J. Dev. Econ. 2016, 123, 73–85. [Google Scholar] [CrossRef]
- Wang, Y.; Wang, D.D. The Dual Path of the Impact of Digital Technology Adoption on ESG Performance. Sustainability 2025, 17, 2341. [Google Scholar] [CrossRef]
- Xie, H.; Wu, F. Artificial Intelligence Technology and Corporate ESG Performance: Empirical Evidence from Chinese-Listed Firms. Sustainability 2025, 17, 420. [Google Scholar] [CrossRef]
- Alder, S.; Shao, L.; Zilibotti, F. Economic Reforms and Industrial Policy in a Panel of Chinese Cities. J. Econ. Growth 2016, 21, 305–349. [Google Scholar] [CrossRef]




| Variable Type | Variable Name | Variable Symbol | Variable Definition |
|---|---|---|---|
| Dependent variables | Corporate ESG ratings | ESG | Translating Huazheng ESG ratings from C to AAA into a 1–9 scoring range |
| Independent variables | Solid waste governance actions | SWGA | SWGA takes the value 1 if the enterprise is located in the zero-waste city pilot areas, and 0 otherwise |
| Mechanism variables | Government environmental concerns | GEC | The natural logarithm of the total frequency count of environmental protection-related terms in the Government Work Report |
| Public environmental concerns | PEC | The Baidu Search Index for “environmental pollution” | |
| Corporate green innovation | CGI | Independently obtained green utility model patents/total patents granted | |
| Control variables | Enterprise size | Size | Log of total assets |
| Enterprise gearing ratio | Lev | Total liabilities/total assets | |
| Enterprise return on assets | Roa | Net profit/total assets | |
| Enterprise growth rate of operating income | Grow | Annual revenue growth rate of listed companies | |
| Cash flow ratio | Cash | Cash flow from operating activities/liquid liabilities | |
| Degree of capital intensity | Density | Total assets/operating income | |
| Board size | Board | Number of board members | |
| Independent directors | Indep | The ratio of independent directors | |
| Dual-occupation rate | Dual | Chairman of the Board of Directors is also the CEO, Dual = 1, otherwise Dual = 0 | |
| Shareholding concentration | Top | Shareholding of the largest shareholder | |
| Enterprise age | Age | Number of years since listing | |
| Enterprise ownership | Soe | Soe = 1 for state-owned enterprises, otherwise Soe = 0 | |
| Year | Year | Dummy variable | |
| Enterprises | Id | Dummy variable |
| Variables | Obs | Mean | SD | Min | Median | Max |
|---|---|---|---|---|---|---|
| ESG | 34,456 | 4.165 | 1.013 | 1.000 | 4.000 | 8.000 |
| SWGA | 34,456 | 0.264 | 0.441 | 0.000 | 0.000 | 1.000 |
| Size | 34,456 | 22.267 | 1.305 | 19.943 | 22.068 | 26.364 |
| Lev | 34,456 | 0.410 | 0.202 | 0.055 | 0.400 | 0.890 |
| Roa | 34,456 | 0.034 | 0.065 | −0.258 | 0.036 | 0.196 |
| Grow | 34,456 | 0.142 | 0.367 | −0.563 | 0.088 | 2.100 |
| Cash | 34,456 | 0.857 | 1.276 | 0.023 | 0.418 | 8.062 |
| Density | 34,456 | 2.600 | 2.117 | 0.418 | 1.999 | 13.719 |
| Board | 34,456 | 2.102 | 0.197 | 1.609 | 2.197 | 2.639 |
| Indep | 34,456 | 0.378 | 0.053 | 0.333 | 0.364 | 0.571 |
| Dual | 34,456 | 0.312 | 0.463 | 0.000 | 0.000 | 1.000 |
| Top | 34,456 | 0.333 | 0.147 | 0.083 | 0.310 | 0.737 |
| Age | 34,456 | 2.071 | 0.944 | 0.000 | 2.197 | 3.401 |
| Soe | 34,456 | 0.302 | 0.459 | 0.000 | 0.000 | 1.000 |
| Variables | (1) | (2) |
|---|---|---|
| ESG | ESG | |
| SWGA | 0.064 *** | 0.069 *** |
| (2.84) | (3.14) | |
| Size | 0.277 *** | |
| (13.69) | ||
| Lev | −0.836 *** | |
| (−10.98) | ||
| Roa | 0.289 ** | |
| (2.23) | ||
| Grow | −0.079 *** | |
| (−5.13) | ||
| Cash | 0.002 | |
| (0.30) | ||
| Density | −0.028 *** | |
| (−5.14) | ||
| Board | 0.029 | |
| (0.37) | ||
| Indep | 1.122 *** | |
| (5.14) | ||
| Dual | 0.005 | |
| (0.23) | ||
| Top | −0.001 | |
| (−1.07) | ||
| Age | −0.226 *** | |
| (−10.33) | ||
| Soe | 0.063 | |
| (1.42) | ||
| Cons | 4.156 *** | −1.574 *** |
| (239.05) | (−3.31) | |
| Firm FE | Yes | Yes |
| Year FE | Yes | Yes |
| N | 34,456 | 34,456 |
| Adj.R2 | 0.010 | 0.039 |
| F | 46.545 | 41.516 |
| Variable | Coefficient | Standard Error | t-Statistic | p-Value | 95% Confidence Interval |
|---|---|---|---|---|---|
| Year-8 | - | - | - | - | - |
| Year-7 | −0.050 | 0.040 | −1.236 | 0.216 | [−0.128962, 0.0294774] |
| Year-6 | −0.029 | 0.042 | −0.678 | 0.497 | [−0.112393, 0.0548838] |
| Year-5 | −0.017 | 0.039 | −0.448 | 0.654 | [−0.09413, 0.0594764] |
| Year-4 | −0.018 | 0.044 | −0.406 | 0.684 | [−0.105403, 0.069427] |
| Year-3 | 0.017 | 0.048 | 0.365 | 0.714 | [−0.076846, 0.111768] |
| Year-2 | 0.016 | 0.047 | 0.333 | 0.739 | [−0.076872, 0.108138] |
| Year-1 | 0.081 | 0.048 | 1.684 | 0.092 | [−0.013783, 0.175219] |
| Year0 | 0.113 | 0.049 | 2.289 | 0.022 | [0.015548, 0.209594] |
| Variables | (1) | (2) | (3) | (4) | (5) | (6) | (7) | (8) | (9) | (10) |
|---|---|---|---|---|---|---|---|---|---|---|
| ESG | ESG2 | ESG3 | ESG | ESG | ESG | ESG | ESG | ESG | ESG | |
| SWGA | 0.068 *** | 0.633 ** | 0.064 *** | 0.069 *** | 0.068 *** | 0.068 *** | 0.100 *** | 0.094 *** | 0.076 ** | 0.060 * |
| (3.10) | (2.53) | (2.63) | (3.14) | (3.10) | (3.11) | (3.66) | (3.38) | (2.45) | (1.91) | |
| LCC | 0.058 | 0.058 | ||||||||
| (1.46) | (1.46) | |||||||||
| Etax | −0.027 | −0.026 | ||||||||
| (−0.61) | (−0.60) | |||||||||
| Size | 0.276 *** | −0.754 *** | 0.164 *** | 0.277 *** | 0.277 *** | 0.277 *** | 0.277 *** | 0.273 *** | 0.278 *** | 0.275 *** |
| (13.57) | (−3.83) | (7.53) | (13.66) | (13.68) | (13.66) | (13.70) | (13.20) | (12.85) | (12.60) | |
| Lev | −0.835 *** | −0.586 | −0.128 * | −0.832 *** | −0.836 *** | −0.833 *** | −0.830 *** | −0.797 *** | −0.899 *** | −0.847 *** |
| (−10.92) | (−0.77) | (−1.89) | (−10.94) | (−10.99) | (−10.96) | (−11.01) | (−10.52) | (−10.91) | (−10.40) | |
| Roa | 0.279 ** | −1.442 | −0.009 | 0.288 ** | 0.291 ** | 0.290 ** | 0.285 ** | 0.285 ** | 0.259 * | 0.250 * |
| (2.14) | (−1.25) | (−0.10) | (2.22) | (2.25) | (2.24) | (2.21) | (2.18) | (1.87) | (1.80) | |
| Grow | −0.079 *** | 0.015 | −0.033 *** | −0.080 *** | −0.079 *** | −0.079 *** | −0.080 *** | −0.081 *** | −0.074 *** | −0.080 *** |
| (−5.04) | (0.10) | (−2.68) | (−5.16) | (−5.10) | (−5.13) | (−5.22) | (−5.23) | (−4.44) | (−4.75) | |
| Cash | 0.004 | 0.216 *** | −0.006 | 0.003 | 0.002 | 0.003 | 0.005 | 0.005 | 0.003 | 0.005 |
| (0.43) | (2.65) | (−0.96) | (0.31) | (0.31) | (0.32) | (0.65) | (0.66) | (0.33) | (0.59) | |
| Density | −0.027 *** | 0.104 * | −0.011 *** | −0.028 *** | −0.028 *** | −0.028 *** | −0.030 *** | −0.031 *** | −0.030 *** | −0.034 *** |
| (−4.93) | (1.76) | (−2.63) | (−5.14) | (−5.15) | (−5.15) | (−5.48) | (−5.72) | (−5.18) | (−5.83) | |
| Board | 0.029 | −0.206 | 0.036 | 0.031 | 0.028 | 0.030 | 0.027 | 0.037 | 0.047 | 0.056 |
| (0.38) | (−0.27) | (0.54) | (0.40) | (0.37) | (0.39) | (0.35) | (0.48) | (0.59) | (0.69) | |
| Indep | 1.097 *** | −0.431 | −0.043 | 1.126 *** | 1.122 *** | 1.126 *** | 1.093 *** | 1.166 *** | 1.192 *** | 1.210 *** |
| (5.00) | (−0.20) | (−0.21) | (5.16) | (5.14) | (5.16) | (5.04) | (5.34) | (5.17) | (5.28) | |
| Dual | 0.004 | 0.220 | −0.000 | 0.005 | 0.005 | 0.005 | 0.003 | 0.006 | 0.015 | 0.016 |
| (0.21) | (1.09) | (−0.01) | (0.22) | (0.23) | (0.23) | (0.14) | (0.29) | (0.66) | (0.74) | |
| Top | −0.001 | −0.077 *** | 0.000 | −0.001 | −0.001 | −0.001 | −0.002 | −0.001 | −0.002 | −0.002 |
| (−1.13) | (−6.07) | (0.02) | (−1.10) | (−1.06) | (−1.09) | (−1.33) | (−1.01) | (−1.30) | (−1.29) | |
| Age | −0.228 *** | −2.687 *** | 0.016 | −0.227 *** | −0.227 *** | −0.228 *** | −0.224 *** | −0.227 *** | −0.218 *** | −0.219 *** |
| (−10.38) | (−11.50) | (0.74) | (−10.35) | (−10.36) | (−10.38) | (−10.26) | (−10.27) | (−9.25) | (−9.26) | |
| Soe | 0.063 | −0.485 | −0.010 | 0.062 | 0.063 | 0.062 | 0.060 | 0.065 | 0.077 | 0.081 * |
| (1.42) | (−1.10) | (−0.28) | (1.41) | (1.42) | (1.40) | (1.34) | (1.47) | (1.61) | (1.69) | |
| Rgdp | −0.006 | −0.158 | ||||||||
| (−0.08) | (−1.55) | |||||||||
| Urban | −0.256 | −0.631 *** | ||||||||
| (−1.12) | (−2.58) | |||||||||
| Fiscal | −0.420 | −1.296 ** | ||||||||
| (−0.69) | (−2.01) | |||||||||
| Cons | −1.519 *** | 37.452 *** | −2.737 *** | −1.605 *** | −1.570 *** | −1.602 *** | −1.587 *** | −1.573 *** | −1.345 | 0.836 |
| (−3.18) | (8.22) | (−5.42) | (−3.37) | (−3.30) | (−3.36) | (−3.25) | (−3.15) | (−1.26) | (0.66) | |
| Firm FE | Yes | Yes | Yes | Yes | Yes | Yes | Yes | Yes | Yes | Yes |
| Year FE | Yes | Yes | Yes | Yes | Yes | Yes | Yes | Yes | Yes | Yes |
| Industry FE | No | No | No | No | No | No | Yes | Yes | No | Yes |
| City FE | No | No | No | No | No | No | No | Yes | No | Yes |
| N | 34343 | 34456 | 34231 | 34456 | 34456 | 34456 | 34456 | 34456 | 30040 | 30040 |
| r2_a | 0.039 | 0.197 | 0.066 | 0.039 | 0.039 | 0.039 | 0.454 | 0.450 | 0.455 | 0.456 |
| F | 41.224 | 145.914 | 45.949 | 39.750 | 39.971 | 38.330 | 39.345 | 37.784 | 28.720 | 28.737 |
| Variables | (1) | (2) | (3) | (4) | (5) | (6) |
|---|---|---|---|---|---|---|
| GEC | ESG | PEC | ESG | CGI | ESG | |
| SWGA | 0.046 *** | 0.047 ** | 0.010 *** | 0.071 *** | 0.005 *** | 0.067 *** |
| (2.69) | (2.13) | (4.59) | (3.23) | (3.35) | (3.08) | |
| GEC | 0.022 ** | |||||
| (1.98) | ||||||
| PEC | 0.293 *** | |||||
| (3.53) | ||||||
| CGI | 0.183 ** | |||||
| (2.39) | ||||||
| Size | −0.027 | 0.290 *** | −0.000 | 0.280 *** | 0.002 * | 0.278 *** |
| (−1.53) | (14.33) | (−0.11) | (13.86) | (1.85) | (13.74) | |
| Lev | 0.039 | −0.920 *** | −0.010 | −0.830 *** | −0.003 | −0.833 *** |
| (0.72) | (−12.46) | (−1.43) | (−10.97) | (−0.58) | (−10.98) | |
| Roa | 0.092 | 0.200 | −0.018 * | 0.293 ** | −0.010 | 0.290 ** |
| (1.08) | (1.60) | (−1.78) | (2.28) | (−1.35) | (2.24) | |
| Grow | 0.008 | −0.085 *** | −0.001 | −0.082 *** | 0.000 | −0.079 *** |
| (0.86) | (−5.59) | (−0.69) | (−5.27) | (0.06) | (−5.12) | |
| Cash | 0.006 | 0.009 | −0.000 | 0.004 | −0.001 | 0.003 |
| (1.42) | (1.28) | (−0.58) | (0.49) | (−1.30) | (0.31) | |
| Density | 0.003 | −0.028 *** | 0.000 | −0.029 *** | −0.000 | −0.028 *** |
| (0.72) | (−5.33) | (0.62) | (−5.22) | (−0.52) | (−5.12) | |
| Board | −0.000 | −0.005 | 0.008 | 0.022 | −0.009 ** | 0.034 |
| (−0.01) | (−0.07) | (1.32) | (0.28) | (−2.03) | (0.45) | |
| Indep | 0.071 | 1.044 *** | 0.052 *** | 1.099 *** | −0.011 | 1.145 *** |
| (0.55) | (4.91) | (2.79) | (5.06) | (−0.84) | (5.27) | |
| Dual | 0.012 | 0.013 | 0.002 | 0.006 | 0.001 | 0.003 |
| (0.97) | (0.68) | (1.23) | (0.32) | (1.16) | (0.14) | |
| Top | −0.000 | −0.001 | 0.000 | −0.002 | 0.000 | −0.001 |
| (−0.02) | (−0.80) | (1.02) | (−1.19) | (0.57) | (−1.01) | |
| Age | 0.040 *** | −0.236 *** | 0.005 ** | −0.229 *** | 0.005 *** | −0.226 *** |
| (2.63) | (−11.15) | (2.34) | (−10.57) | (3.46) | (−10.31) | |
| Soe | 0.042 | 0.070 | 0.004 | 0.062 | −0.001 | 0.056 |
| (1.20) | (1.63) | (0.86) | (1.41) | (−0.19) | (1.27) | |
| Cons | 3.628 *** | −1.809 *** | 0.387 *** | −1.714 *** | −0.018 | −1.613 *** |
| (9.15) | (−3.82) | (8.35) | (−3.61) | (−0.68) | (−3.40) | |
| Firm FE | Yes | Yes | Yes | Yes | Yes | Yes |
| Year FE | Yes | Yes | Yes | Yes | Yes | Yes |
| Sobel Z | −3.84 *** | −3.75 *** | 7.22 *** | |||
| Bootstrap 95% confidence interval (1000 replications) | [−0.0070401, −0.0023262] | [−0.0074187, −0.0023338] | [0.0049031, 0.0081853] | |||
| N | 32521 | 32521 | 34406 | 34406 | 34386 | 34386 |
| r2_a | 0.038 | 0.045 | 0.290 | 0.040 | 0.005 | 0.039 |
| F | 98.284 | 39.379 | 179.844 | 40.266 | 5.310 | 39.543 |
| Variables | (1) | (2) | (3) | (4) |
|---|---|---|---|---|
| ESG | ESG | ESG | ESG | |
| SWGA | 0.110 *** | 0.068 *** | ||
| (6.81) | (3.11) | |||
| Radius | 0.543 ** | 0.553 ** | 0.529 ** | 0.537 ** |
| (2.19) | (2.19) | (2.14) | (2.15) | |
| Size | 0.285 *** | 0.278 *** | 0.275 *** | 0.277 *** |
| (15.19) | (13.66) | (14.68) | (13.66) | |
| Lev | −0.838 *** | −0.836 *** | −0.830 *** | −0.835 *** |
| (−11.09) | (−10.97) | (−11.01) | (−10.96) | |
| Roa | 0.239 * | 0.287 ** | 0.261 ** | 0.291 ** |
| (1.84) | (2.21) | (2.01) | (2.25) | |
| Grow | −0.103 *** | −0.079 *** | −0.094 *** | −0.079 *** |
| (−6.74) | (−5.11) | (−6.13) | (−5.11) | |
| Cash | 0.005 | 0.002 | 0.003 | 0.002 |
| (0.58) | (0.23) | (0.38) | (0.27) | |
| Density | −0.031 *** | −0.028 *** | −0.031 *** | −0.028 *** |
| (−5.64) | (−5.04) | (−5.64) | (−5.13) | |
| Board | 0.026 | 0.028 | 0.034 | 0.029 |
| (0.34) | (0.36) | (0.45) | (0.38) | |
| Indep | 1.180 *** | 1.127 *** | 1.160 *** | 1.122 *** |
| (5.36) | (5.15) | (5.30) | (5.14) | |
| Dual | 0.008 | 0.005 | 0.006 | 0.005 |
| (0.39) | (0.26) | (0.30) | (0.22) | |
| Top | −0.001 | −0.001 | −0.001 | −0.001 |
| (−0.82) | (−1.02) | (−0.72) | (−1.05) | |
| Age | −0.122 *** | −0.226 *** | −0.169 *** | −0.227 *** |
| (−6.91) | (−10.30) | (−9.06) | (−10.35) | |
| Soe | 0.038 | 0.062 | 0.043 | 0.063 |
| (0.87) | (1.39) | (0.96) | (1.42) | |
| Firm FE | Yes | Yes | Yes | Yes |
| Year FE | No | Yes | No | Yes |
| _cons | −2.528 *** | −2.134 *** | −2.236 *** | −2.108 *** |
| (−4.95) | (−3.99) | (−4.39) | (−3.96) | |
| N | 34456 | 34456 | 34456 | 34456 |
| r2_a | 0.028 | 0.039 | 0.030 | 0.039 |
| F | 33.679 | 41.180 | 34.923 | 39.913 |
| Variables | (1) | (2) | (3) | (4) | (5) | (6) | (7) | (8) | (9) | (10) | (11) | (12) |
|---|---|---|---|---|---|---|---|---|---|---|---|---|
| ESG High Information Quality | ESG Low Information Quality | ESG High Corporate Governance | ESG Low Corporate Governance | ESG High Solid Waste | ESG Low Solid Waste | ESG High-Tech | ESG Non-High-Tech | ESG Central and Eastern | ESG Western | ESG High Intimacy | ESG Low Intimacy | |
| SWGA | 0.053 ** | 0.098 | 0.084 *** | 0.045 | 0.099 *** | 0.005 | 0.098 *** | 0.030 | 0.074 *** | 0.007 | 0.098 ** | 0.046 |
| (2.17) | (1.24) | (2.71) | (1.37) | (3.76) | (0.12) | (3.55) | (0.85) | (3.17) | (0.10) | (2.49) | (1.54) | |
| Size | 0.246 *** | 0.330 *** | 0.269 *** | 0.292 *** | 0.292 *** | 0.235 *** | 0.286 *** | 0.239 *** | 0.283 *** | 0.265 *** | 0.295 *** | 0.257 *** |
| (9.14) | (5.21) | (7.65) | (9.59) | (11.22) | (6.23) | (10.91) | (7.03) | (12.91) | (4.86) | (9.55) | (9.13) | |
| Lev | −0.742 *** | −0.764 *** | −0.747 *** | −0.774 *** | −0.759 *** | −0.875 *** | −0.923 *** | −0.606 *** | −0.819 *** | −0.825 *** | −0.950 *** | −0.712 *** |
| (−7.90) | (−3.50) | (−6.02) | (−7.41) | (−7.97) | (−6.35) | (−9.28) | (−4.95) | (−9.95) | (−4.01) | (−8.63) | (−6.54) | |
| Roa | −0.007 | −0.655 ** | 0.296 | 0.071 | 0.262 | 0.312 | 0.098 | 0.513 ** | 0.213 | 0.721 * | −0.101 | 0.610 *** |
| (−0.05) | (−2.41) | (1.25) | (0.44) | (1.60) | (1.43) | (0.62) | (2.26) | (1.56) | (1.78) | (−0.55) | (3.27) | |
| Grow | −0.113 *** | 0.092 * | −0.108 *** | −0.039 * | −0.133 *** | −0.001 | −0.115 *** | −0.021 | −0.077 *** | −0.096 ** | −0.048 ** | −0.095 *** |
| (−6.20) | (1.93) | (−4.73) | (−1.67) | (−6.44) | (−0.03) | (−5.37) | (−0.93) | (−4.61) | (−2.23) | (−2.17) | (−4.27) | |
| Cash | 0.005 | 0.025 | 0.005 | 0.005 | 0.002 | 0.003 | −0.008 | 0.019 | −0.001 | 0.031 | −0.003 | 0.010 |
| (0.49) | (0.74) | (0.36) | (0.47) | (0.20) | (0.19) | (−0.77) | (1.35) | (−0.09) | (1.20) | (−0.23) | (0.87) | |
| Density | −0.031 *** | −0.007 | −0.034 ** | −0.021 *** | −0.044 *** | −0.019 ** | −0.035 *** | −0.021 *** | −0.027 *** | −0.033 ** | −0.026 *** | −0.027 *** |
| (−4.12) | (−0.60) | (−2.37) | (−2.99) | (−5.28) | (−2.51) | (−3.96) | (−3.00) | (−4.64) | (−2.28) | (−3.16) | (−3.45) | |
| Board | −0.003 | 0.175 | 0.060 | −0.016 | 0.065 | −0.033 | 0.071 | −0.030 | 0.020 | 0.178 | −0.063 | 0.128 |
| (−0.03) | (0.76) | (0.51) | (−0.16) | (0.68) | (−0.25) | (0.72) | (−0.25) | (0.24) | (0.82) | (−0.56) | (1.20) | |
| Indep | 1.064 *** | 1.570 ** | 1.364 *** | 1.154 *** | 1.128 *** | 1.204 *** | 1.034 *** | 1.201 *** | 1.140 *** | 1.178 * | 1.046 *** | 1.253 *** |
| (3.93) | (2.40) | (4.26) | (3.81) | (4.23) | (3.15) | (3.63) | (3.59) | (4.87) | (1.96) | (3.21) | (4.22) | |
| Dual | −0.002 | 0.059 | 0.015 | −0.002 | −0.012 | 0.025 | 0.013 | −0.021 | 0.004 | 0.005 | 0.025 | −0.020 |
| (−0.07) | (1.00) | (0.51) | (−0.08) | (−0.49) | (0.69) | (0.50) | (−0.64) | (0.20) | (0.08) | (0.90) | (−0.64) | |
| Top | −0.003 ** | −0.006 | −0.002 | −0.001 | −0.001 | −0.004 | −0.002 | −0.001 | −0.001 | −0.002 | −0.000 | −0.004 * |
| (−2.03) | (−1.08) | (−1.20) | (−0.69) | (−0.39) | (−1.44) | (−0.94) | (−0.32) | (−0.78) | (−0.72) | (−0.08) | (−1.90) | |
| Age | −0.190 *** | −0.623 *** | −0.217 *** | −0.258 *** | −0.293 *** | −0.057 | −0.311 *** | −0.132 *** | −0.246 *** | −0.072 | −0.281 *** | −0.152 *** |
| (−6.61) | (−3.84) | (−7.01) | (−7.60) | (−11.12) | (−1.45) | (−11.49) | (−3.47) | (−10.64) | (−1.02) | (−8.98) | (−4.56) | |
| soe | 0.041 | −0.129 | 0.083 | 0.077 | 0.103 * | −0.024 | 0.121 ** | −0.073 | 0.069 | 0.071 | 0.068 | 0.047 |
| (0.79) | (−1.17) | (1.19) | (1.27) | (1.85) | (−0.31) | (2.10) | (−1.09) | (1.45) | (0.58) | (1.01) | (0.79) | |
| Cons | −0.716 | −2.751 * | −1.578 * | −1.808 *** | −1.914 *** | −0.722 | −1.629 *** | −0.955 | −1.654 *** | −2.056 | −1.656 ** | −1.530 ** |
| (−1.14) | (−1.90) | (−1.92) | (−2.62) | (−3.11) | (−0.83) | (−2.61) | (−1.24) | (−3.22) | (−1.56) | (−2.32) | (−2.30) | |
| Firm FE | Yes | Yes | Yes | Yes | Yes | Yes | Yes | Yes | Yes | Yes | Yes | Yes |
| Year FE | Yes | Yes | Yes | Yes | Yes | Yes | Yes | Yes | Yes | Yes | Yes | Yes |
| N | 24,737 | 3918 | 17,226 | 17,230 | 24,067 | 10,389 | 21,136 | 13,320 | 30,340 | 4116 | 17,583 | 16,873 |
| r2_a | 0.033 | 0.114 | 0.040 | 0.036 | 0.043 | 0.032 | 0.049 | 0.034 | 0.038 | 0.050 | 0.042 | 0.037 |
| F | 26.594 | 10.391 | 22.533 | 17.255 | 33.754 | 10.594 | 31.405 | 13.737 | 35.422 | 7.497 | 20.307 | 20.490 |
Disclaimer/Publisher’s Note: The statements, opinions and data contained in all publications are solely those of the individual author(s) and contributor(s) and not of MDPI and/or the editor(s). MDPI and/or the editor(s) disclaim responsibility for any injury to people or property resulting from any ideas, methods, instructions or products referred to in the content. |
© 2025 by the authors. Licensee MDPI, Basel, Switzerland. This article is an open access article distributed under the terms and conditions of the Creative Commons Attribution (CC BY) license (https://creativecommons.org/licenses/by/4.0/).
Share and Cite
Zheng, X.; Li, L.; Wang, Z.; Cao, M. Solid Waste Governance Action and Corporate ESG Performance: Evidence from China’s “Zero-Waste City” Pilot Policy. Sustainability 2025, 17, 3625. https://doi.org/10.3390/su17083625
Zheng X, Li L, Wang Z, Cao M. Solid Waste Governance Action and Corporate ESG Performance: Evidence from China’s “Zero-Waste City” Pilot Policy. Sustainability. 2025; 17(8):3625. https://doi.org/10.3390/su17083625
Chicago/Turabian StyleZheng, Xiong, Lingling Li, Zhanjie Wang, and Mengni Cao. 2025. "Solid Waste Governance Action and Corporate ESG Performance: Evidence from China’s “Zero-Waste City” Pilot Policy" Sustainability 17, no. 8: 3625. https://doi.org/10.3390/su17083625
APA StyleZheng, X., Li, L., Wang, Z., & Cao, M. (2025). Solid Waste Governance Action and Corporate ESG Performance: Evidence from China’s “Zero-Waste City” Pilot Policy. Sustainability, 17(8), 3625. https://doi.org/10.3390/su17083625

