Cross-Border E-Business and Air Quality: A Quasi-Natural Experiment from the Perspective of Natural Resources
Abstract
1. Introduction
2. Literature Review
2.1. Agile Governance Effects Driven by Institutional Innovation
2.2. Reverse Innovation Effects of CBEC-PZs
2.3. Eco-Competitive Advantage Based on Digitalization
3. Data and Statistics
3.1. Data
3.1.1. CBEC-PZs
3.1.2. Air Quality Index Data
3.1.3. Renewable and Non-Renewable Resource Data
3.1.4. Socio-Economic Data
4. Research Methodology
4.1. Modeling
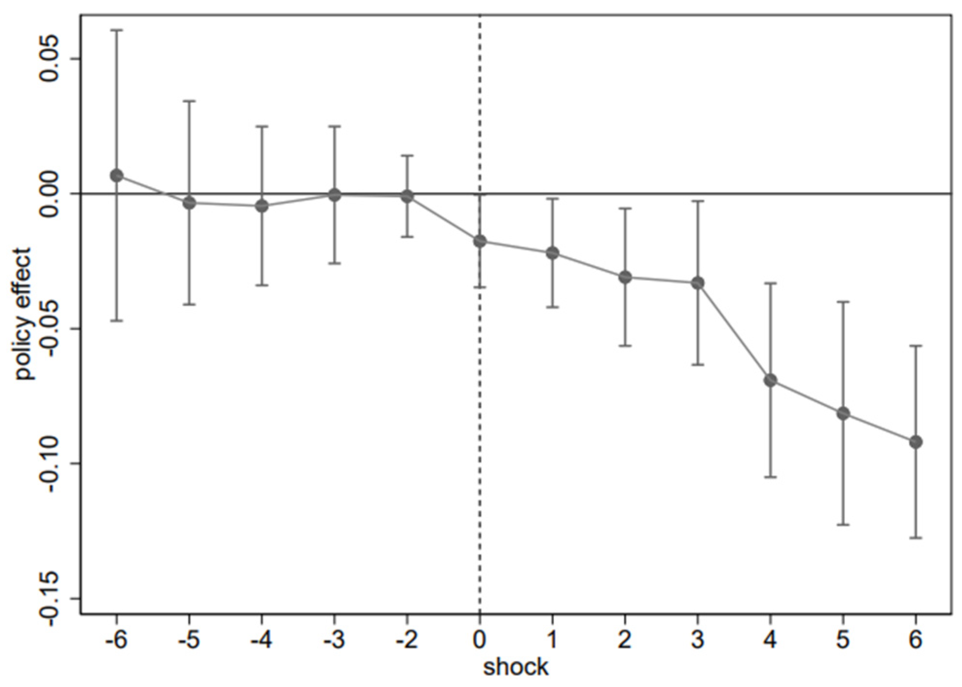
4.2. Empirical Analysis
4.3. Heterogeneity Analysis
5. Expanded Analysis
6. Conclusions
Author Contributions
Funding
Institutional Review Board Statement
Informed Consent Statement
Data Availability Statement
Acknowledgments
Conflicts of Interest
References
- Barbier, E. The Policy Challenges for Green Economy and Sustainable Economic Development. Nat. Resour. Forum 2011, 35, 233–245. [Google Scholar] [CrossRef]
- Begović, B. The Great Convergence: Information Technology and the New Globalization by Richard Baldwin. Panoeconomicus 2017, 64, 645–655. [Google Scholar]
- World Trade Organization. Digital Trade for Development; World Trade Organization: Geneva, Switzerland, 2023. [Google Scholar] [CrossRef]
- Song, L.; Yuan, J.; Li, T. Harmonizing digital trade for sustainable stride: Unveiling the industrial pollution reduction effect of China’s cross-border E-commerce comprehensive pilot zones. J. Environ. Manag. 2024, 370, 122834. [Google Scholar] [CrossRef]
- Sun, Y.; Gao, P.; Tian, W.; Guan, W. Green Innovation for Resource Efficiency and Sustainability: Empirical Analysis and Policy. Resour. Policy 2023, 81, 103369. [Google Scholar] [CrossRef]
- Heeks, R.; Ospina, A.V.; Foster, C.; Gao, P.; Han, X.; Jepson, N.; Schindler, S.; Zhou, Q. China’s Digital Expansion in the Global South: Systematic Literature Review and Future Research Agenda. Inf. Soc. 2024, 40, 69–95. [Google Scholar] [CrossRef]
- Yang, G.; Zhang, G.; Cao, D.; Gao, D.; Wang, X.; Yang, S.; Jiang, P.; Zha, D.; Shan, Y. A comprehensive city-level final energy consumption dataset including renewable energy for China, 2005–2021. Sci. Data 2024, 11, 738. [Google Scholar] [CrossRef]
- Alamelu, R.; Rengarajan, V.; Dinesh, S.; Nalini, R.; Shobhana, N.; Amudha, R. Sustainable Supply Chain Practices with Reverse Innovation in Healthcare Start-Ups—A Structural Equation Model (SEM) Approach. Mater. Today Proc. 2022, 52, 882–887. [Google Scholar] [CrossRef]
- Wasistiono, S.; Anggraini, W. Three Paradigms in Government (Good Governance, Dynamic Governance, and Agile Governance). Int. J. Kybernol. 2019, 4, 79–91. [Google Scholar]
- Xue, L.; Zhao, J. Toward Agile Governance: Exploring the Development and Regulatory Models of Emerging Industries. China Public Adm. 2019, 28, 28–34. [Google Scholar]
- Denfanapapol, S.; Setthasuravich, P.; Rattanakul, S.; Pukdeewut, A.; Kato, H. The Digital Divide, Wealth, and Inequality: An Examination of Socio-Economic Determinants of Collaborative Environmental Governance in Thailand Through Provincial-Level Panel Data Analysis. Sustainability 2024, 16, 4658. [Google Scholar] [CrossRef]
- Chen, N. Analysis of the Correlation Between Cross-Border E-Commerce and Economic Growth Based on Hierarchical Multilevel Gray Evaluation Model. J. Math. 2022, 2022, 8455404. [Google Scholar] [CrossRef]
- Bibri, S.E. Data-Driven Smart Eco-Cities and Sustainable Integrated Districts: A Best-Evidence Synthesis Approach to an Extensive Literature Review. Eur. J. Futures Res. 2021, 9, 16. [Google Scholar] [CrossRef]
- Barata, S.F.; Ferreira, F.A.; Carayannis, E.G.; Ferreira, J.J. Determinants of E-Commerce, Artificial Intelligence, and Agile Methods in Small-and Medium-Sized Enterprises. IEEE Trans. Eng. Manag. 2023, 71, 6903–6917. [Google Scholar] [CrossRef]
- Schlæger, J.; Zhou, J. Digital Environmental Monitoring in Urban China. In Greening China’s Urban Governance; Delman, J., Ren, Y., Luova, O., Burell, M., Almén, O., Eds.; ARI—Springer Asia Series; Springer Nature: Singapore, 2019; Volume 7, pp. 131–149. ISBN 9789811307393. [Google Scholar]
- Chen, S.; Zhao, X.; Zhou, L. Which Works Better? Comparing the Environmental Outcomes of Different Forms of Intergovernmental Collaboration in China’s Air Pollution Control. J. Environ. Pol. Plan. 2023, 25, 16–28. [Google Scholar] [CrossRef]
- Du, X.; Wang, N.; Lu, S.; Zhang, A.; Tsai, S.-B. Sustainable Competitive Advantage under Digital Transformation: An Eco-Strategy Perspective. Chin. Manag. Stud. 2024. ahead-of-print. [Google Scholar] [CrossRef]
- Kawa, A.; Pierański, B. Green Logistics in E-Commerce. LogForum 2021, 17, 183–192. [Google Scholar] [CrossRef]
- Neto, J.Q.F.; Bloemhof-Ruwaard, J.M.; van Nunen, J.A.; van Heck, E. Designing and Evaluating Sustainable Logistics Networks. Int. J. Prod. Econ. 2008, 111, 195–208. [Google Scholar] [CrossRef]
- Olasehinde-Williams, G.; Folorunsho, A. Environmental Policy, Green Trade and Sustainable Development in Europe: New Perspective on the Porter Hypothesis. Energy Environ. 2023. [Google Scholar] [CrossRef]
- Isik, M. Incentives for Technology Adoption Under Environmental Policy Uncertainty: Implications for Green Payment Programs. Environ. Resour. Econ. 2004, 27, 247–263. [Google Scholar] [CrossRef]
- Yang, Z.; Tauseef Ali, S.; Ali, F.; Sarwar, Z.; Khan, M.A. Outward Foreign Direct Investment and Corporate Green Innovation: An Institutional Pressure Perspective. S. Afr. J. Bus. Manag. 2020, 51, 12. [Google Scholar] [CrossRef]
- Antonioli, D.; Borghesi, S.; Mazzanti, M. Are Regional Systems Greening the Economy? Local Spillovers, Green Innovations and Firms’ Economic Performances. Econ. Innov. New Technol. 2016, 25, 692–713. [Google Scholar] [CrossRef]
- Escursell, S.; Llorach-Massana, P.; Roncero, M.B. Sustainability in E-Commerce Packaging: A Review. J. Cleaner Prod. 2021, 280, 124314. [Google Scholar] [CrossRef]
- Aldieri, L.; Carlucci, F.; Vinci, C.P.; Yigitcanlar, T. Environmental Innovation, Knowledge Spillovers and Policy Implications: A Systematic Review of the Economic Effects Literature. J. Cleaner Prod. 2019, 239, 118051. [Google Scholar] [CrossRef]
- Schuster, T.; Govindarajan, V.; Trimble, C. Reverse Innovation: Create Far from Home, Win Everywhere, Harvard Business Review Press, 2012. Manag. Int. Rev. 2014, 54, 277–282. [Google Scholar] [CrossRef]
- Bhatti, Y.A.; Ventresca, M. How Can ‘Frugal Innovation’ Be Conceptualized? 2013. Available online: https://papers.ssrn.com/sol3/papers.cfm?abstract_id=2203552 (accessed on 27 January 2025).
- Hart, S.L.; Christensen, C.M. The Great Leap: Driving Innovation from the Base of the Pyramid. MIT Sloan Manag. Rev. 2002, 44, 51. [Google Scholar]
- Zeschky, M.; Widenmayer, B.; Gassmann, O. Frugal Innovation in Emerging Markets. Res.-Technol. Manag. 2011, 54, 38–45. [Google Scholar] [CrossRef]
- Wood, J.; Wu, J.; Li, Y.; Jang, H. The Economic Impact of SPS Measures on Agricultural Exports to China: An Empirical Analysis Using the PPML Method. Soc. Sci. 2017, 6, 51. [Google Scholar] [CrossRef]
- Fernando, Y.; Jabbour, C.J.C.; Wah, W.-X. Pursuing Green Growth in Technology Firms Through the Connections Between Environmental Innovation and Sustainable Business Performance: Does Service Capability Matter? Resour. Conserv. Recycl. 2019, 141, 8–20. [Google Scholar] [CrossRef]
- Ashford, N.A.; Zwetsloot, G. Encouraging inherently safer production in European firms: A report from the field. J. Hazard. Mater. 2000, 78, 123–144. [Google Scholar] [CrossRef]
- Baldwin, J.; Lin, Z. Impediments to advanced technology adoption for Canadian manufacturers. Res. Policy 2002, 31, 1–18. [Google Scholar] [CrossRef]
- Lefebvre, E.; Lefebvre, L.A.; Talbot, S. Determinants and impacts of environmental performance in SMEs. R&D Manag. 2003, 3, 263–283. [Google Scholar] [CrossRef]
- Srivastava, S.K. Green Supply-Chain Management: A State-of-the-Art Literature Review. Int. J. Manag. Rev. 2007, 9, 53–80. [Google Scholar] [CrossRef]
- Yuan, H.; Zhou, P.; Zhou, D. What Is Low-Carbon Development? A Conceptual Analysis. Energy Procedia 2011, 5, 1706–1712. [Google Scholar] [CrossRef]
- Dutta, P.; Mishra, A.; Khandelwal, S.; Katthawala, I. A Multiobjective Optimization Model for Sustainable Reverse Logistics in Indian E-Commerce Market. J. Clean. Prod. 2020, 249, 119348. [Google Scholar] [CrossRef]
- Ren, X. Biodegradable Plastics: A Solution or a Challenge? J. Clean. Prod. 2003, 11, 27–40. [Google Scholar] [CrossRef]
- Immelt, J.R.; Govindarajan, V.; Trimble, C. How GE Is Disrupting Itself. Harv. Bus. Rev. 2009, 87, 56–65. [Google Scholar]
- Ibrahim, I.D.; Hamam, Y.; Sadiku, E.R.; Ndambuki, J.M.; Kupolati, W.K.; Jamiru, T.; Eze, A.A.; Snyman, J. Need for Sustainable Packaging: An Overview. Polymers 2022, 14, 4430. [Google Scholar] [CrossRef]
- Sinha, R. Reverse Innovation: A Gift from Developing Economy to Developed Economy. Bus. Perspect. Res. 2013, 2, 69–78. [Google Scholar] [CrossRef]
- Oduro, S.; Maccario, G.; De Nisco, A. Green Innovation: A Multidomain Systematic Review. Eur. J. Innov. Manag. 2022, 25, 567–591. [Google Scholar] [CrossRef]
- Porter, M.E.; Linde, C.V.D. Toward a New Conception of the Environment-Competitiveness Relationship. J. Econ. Perspect. 1995, 9, 97–118. [Google Scholar] [CrossRef]
- Yang, L.; Liu, J.; Yang, W. Impacts of the Sustainable Development of Cross-Border e-Commerce Pilot Zones on Regional Economic Growth. Sustainability 2023, 15, 13876. [Google Scholar] [CrossRef]
- Li, Y.; Zheng, Z.; Zhao, M.; Liu, Z. How Does Digital Trade Impact Urban Carbon Emissions Efficiency? Evidence from China’s Cross-Border e-Commerce Pilot Zones. J. Clean. Prod. 2024, 456, 142363. [Google Scholar] [CrossRef]
- Dallocchio, M.; Lambri, M.; Sironi, E.; Teti, E. The Role of Digitalization in Cross-Border e-Commerce Performance of Italian SMEs. Sustainability 2024, 16, 508. [Google Scholar] [CrossRef]
- Yuan, Q.; Ji, Y.; Zhang, W.; Lei, T. Cross-Border E-Commerce and Urban Entrepreneurial Vitality—A Quasi-Natural Experiment Evidence from China. Sustainability 2024, 16, 1802. [Google Scholar] [CrossRef]
- He, Y.; Wang, Z.; Liu, S.; Du, X. Construction and Implementation of Cross-Border e-Commerce Supply Chain System Under the Background of Green and Low-Carbon. J. Internet Digit. Econ. 2024, 4, 1–11. [Google Scholar] [CrossRef]
- Leng, Y.; Huang, C.; Lu, R.; Gao, X.; Zou, Y. A Proposed Framework of the Impact of Knowledge Management and Green Innovation on the Sustainable Development of Cross-Border E-Commerce Enterprises: The Moderating Role of Artificial Intelligence. Acad. J. Bus. Manag. 2023, 5, 178–184. [Google Scholar] [CrossRef]
- Wen, L.; Ma, S.; Zhao, G.; Liu, H. The Impact of Environmental Regulation on the Regional Cross-Border E-Commerce Green Innovation: Based on System GMM and Threshold Effects Modeling. Pol. J. Environ. Stud. 2024, 34, 1347–1362. [Google Scholar] [CrossRef]
- Zhou, F.; Liu, Y. Blockchain-Enabled Cross-Border e-Commerce Supply Chain Management: A Bibliometric Systematic Review. Sustainability 2022, 14, 15918. [Google Scholar] [CrossRef]
- Shen, Y.; Zhang, X. Intelligent manufacturing, green technological innovation and environmental pollution. J. Innov. Knowl. 2023, 8, 100384. [Google Scholar] [CrossRef]
- Girma, S.; Gong, Y.; Görg, H. Foreign direct investment, access to finance and innovation activity in Chinese enterprises. World Bank Econ. Rev. 2008, 22, 367–382. [Google Scholar] [CrossRef]
- Zhao, M.; Liu, F.; Song, Y.; Geng, J. Impact of Air Pollution Regulation and Technological Investment on Sustainable Development of Green Economy in Eastern China: Empirical Analysis with Panel Data Approach. Sustainability 2020, 12, 3073. [Google Scholar] [CrossRef]
- Ambient Air Quality Standards. Available online: https://www.mee.gov.cn/ywgz/fgbz/bz/bzwb/dqhjbh/dqhjzlbz/201203/t20120302_224165.shtml (accessed on 27 January 2025).
- Technical Regulation on Ambient Air Quality Index (on Trial). Available online: https://www.mee.gov.cn/ywgz/fgbz/bz/bzwb/jcffbz/201203/t20120302_224166.shtml (accessed on 27 January 2025).



| Variable Type | Variable Name | Variable Definition | Variable Symbol | Data Sources |
|---|---|---|---|---|
| Dependent variable | Regional air quality | Logarithmic value of urban air quality index | lnAQI | China Research Data Service Platform |
| Independent variable | CBEC-PZ | Cities implementing the policy are assigned a value of 1 for the policy shock year and subsequent years, while cities not implementing the policy and pre-implementation periods are assigned a value of 0 | policy | China Government Network |
| Mechanism variables | CBEC-PZ renewable energy | The logarithmic value of the final energy consumption of renewable resources in cities×CBEC-PZ | policy×sus | work out |
| Regional level of final energy consumption from renewable sources | The logarithmic value of the final energy consumption of renewable resources in cities | sus | Yang et al. [6] | |
| CBEC-PZ non-renewable resources | The logarithmic value of the final energy consumption of non-renewable resources in cities×CBEC-PZ | policy×usus | work out | |
| Regional level of final energy consumption from non-renewable resources | The logarithmic value of the final energy consumption of non-renewable resources | usus | Yang et al. [6] | |
| Control variables | Regional industrial structure | The value added by the secondary industry (ten thousand CNY)/total value added (ten thousand CNY) | stru | China’s Urban Statistical Yearbook, local statistical bureaus, and regional statistical offices |
| Level of regional economic development | Gross regional product per capita (CNY) | lnGDP | ||
| Regional level of innovation | The logarithmic number of patent applications (case) | lnin | ||
| Regional Education Priorities | Local education expenditures (ten thousand CNY)/expenditures within the general budget of local finance (ten thousand CNY) | edu | ||
| Level of physical capital inputs | Total investment in fixed assets (ten thousand CNY) | lnfixinv | ||
| Level of digitization of the population of the region | The number of cell phone subscribers at the end of the year (ten thousand households) | lnmphone | ||
| Regional trade levels | The logarithmic value of exports of goods for the year (ten thousand CNY) | lnex |
| Variable | n | Mean | Std. Dev. | Min | Max |
|---|---|---|---|---|---|
| policy | 1248 | 0.229 | 0.420 | 0 | 1 |
| lnAQI | 1248 | 4.254 | 0.317 | 3.173 | 5.182 |
| lnGDP | 1248 | 11.08 | 0.482 | 9.930 | 12.29 |
| stru | 1248 | 0.441 | 0.0962 | 0.141 | 0.755 |
| lnex | 1248 | 14.46 | 2.002 | 7.096 | 19.08 |
| lnin | 1248 | 8.966 | 1.468 | 5.421 | 12.56 |
| edu | 1248 | 0.173 | 0.0364 | 0.0733 | 0.304 |
| lnfixinv | 1248 | 16.93 | 1.063 | 10.90 | 19.62 |
| lnmphone | 1248 | 6.211 | 0.789 | 3.761 | 8.389 |
| (1) | (2) | (3) | |
|---|---|---|---|
| Variable | Model 1 | Model 2 | Model 3 |
| policy | −0.0194 ** | 0.0736 * | 0.1511 ** |
| (−2.1072) | (1.8449) | (2.2540) | |
| policy×sus | −0.0198 ** | ||
| (−2.3585) | |||
| sus | 0.0104 | ||
| (0.6583) | |||
| policy×usus | −0.0233 *** | ||
| (−2.6099) | |||
| usus | 0.0587 | ||
| (1.5386) | |||
| lnGDP | −0.0544 * | −0.0502 * | −0.0638 ** |
| (−1.7749) | (−1.6676) | (−2.1248) | |
| stru | 0.2315 ** | 0.2188 ** | 0.1641 |
| (2.1532) | (2.0316) | (1.5340) | |
| lnex | −0.0047 | −0.0045 | −0.0041 |
| (−0.5580) | (−0.5296) | (−0.4711) | |
| lnin | −0.0175 | −0.0202 | −0.0186 |
| (−1.3886) | (−1.6110) | (−1.5094) | |
| edu | 0.0732 | 0.1504 | 0.0986 |
| (0.3659) | (0.7428) | (0.5013) | |
| lnfixinv | −0.0003 | 0.0001 | −0.0018 |
| (−0.0372) | (0.0107) | (−0.2072) | |
| lnmphone | −0.0039 | −0.0044 | −0.0076 |
| (−0.0972) | (−0.1105) | (−0.1958) | |
| _cons | 5.0006 *** | 4.9238 *** | 4.7697 *** |
| (11.8632) | (11.8643) | (10.6428) | |
| City | YES | YES | YES |
| Year | YES | YES | YES |
| N | 1248 | 1248 | 1248 |
| 0.9508 | 0.9511 | 0.9513 |
| (1) | (2) | |
|---|---|---|
| Variable | Model 4 | Model 5 |
| policy×region | −0.0360 ** | |
| (−2.3345) | ||
| policy×river | 0.0189 | |
| (1.2252) | ||
| policy | 0.0025 | −0.0292 ** |
| (0.1992) | (−2.5212) | |
| lnGDP | −0.0606 ** | −0.0518 * |
| (−2.0335) | (−1.6881) | |
| stru | 0.2570 ** | 0.2376 ** |
| (2.3609) | (2.2231) | |
| lnex | −0.0046 | −0.0041 |
| (−0.5421) | (−0.4922) | |
| lnin | −0.0176 | −0.0173 |
| (−1.4306) | (−1.3698) | |
| edu | 0.0478 | 0.0914 |
| (0.2411) | (0.4574) | |
| lnfixinv | −0.0010 | 0.0006 |
| (−0.1123) | (0.0715) | |
| lnmphone | −0.0102 | −0.0066 |
| (−0.2593) | (−0.1635) | |
| _cons | 5.1125 *** | 4.9569 *** |
| (12.4469) | (11.7513) | |
| City | YES | YES |
| Year | YES | YES |
| N | 1248 | 1248 |
| 0.9512 | 0.9509 |
| Variable/Year | Economic Distance Matrix | |
|---|---|---|
| Moran’s I | p-Value | |
| 2014 | 0.299 | 0.000 |
| 2015 | 0.346 | 0.000 |
| 2016 | 0.346 | 0.000 |
| 2017 | 0.326 | 0.000 |
| 2018 | 0.323 | 0.000 |
| 2019 | 0.329 | 0.000 |
| 2020 | 0.356 | 0.000 |
| 2021 | 0.344 | 0.000 |
| (1) | (2) | (3) | |
|---|---|---|---|
| Variable | Model 6 | Model 7 | Model 8 |
| policy | −0.0182 *** | −0.0205 *** | −0.0179 *** |
| (−3.0096) | (−3.6091) | (−2.9645) | |
| lnGDPl | −0.0494 *** | −0.0466 ** | −0.0542 *** |
| (−2.7461) | (−2.2622) | (−2.6241) | |
| stru | 0.2679 *** | 0.2424 *** | 0.2720 *** |
| (4.5484) | (3.9695) | (4.4242) | |
| lnex | −0.0039 | −0.0056 * | −0.0034 |
| (−1.0773) | (−1.6525) | (−0.9199) | |
| lnin | −0.0135 ** | −0.0071 | −0.0117 * |
| (−2.2924) | (−1.2107) | (−1.9432) | |
| edu | 0.0407 | 0.0080 | 0.0026 |
| (0.3353) | (0.0675) | (0.0209) | |
| lnfixinv | 0.0008 | −0.0001 | −0.0012 |
| (0.1629) | (−0.0116) | (−0.1894) | |
| lnmphone | −0.0077 | −0.0051 | −0.0081 |
| (−0.3418) | (−0.2244) | (−0.3505) | |
| W policy | 0.0842 | ||
| (1.4175) | |||
| W lnGDP | −0.0748 | ||
| (−0.6418) | |||
| W stru | −0.1947 | ||
| (−0.4265) | |||
| W lnex | 0.0658 ** | ||
| (2.1311) | |||
| W lnin | −0.1227 ** | ||
| (−2.3940) | |||
| W lnfixinv | −0.0207 | ||
| (−0.7126) | |||
| W edu | 0.1386 | ||
| (0.1737) | |||
| W lnmphone | −0.0239 | ||
| (−0.1453) | |||
| 2.0900 *** | 2.0978 *** | ||
| (42.4655) | (42.8872) | ||
| lambda | 2.7440 *** | ||
| (64.3008) | |||
| City | YES | YES | YES |
| Year | YES | YES | YES |
| 0.3478 | 0.6852 | 0.1479 | |
| 0.0031 *** | 0.0031 *** | 0.0031 *** | |
| (24.8945) | (24.9502) | (24.9336) | |
| N | 1248 | 1248 | 1248 |
| (1) | (2) | (3) | |
|---|---|---|---|
| Variable | Direct Effect | Indirect Effect | Total Effect |
| policy | −0.0160 ** | −0.0492 | −0.0653 |
| (−2.2089) | (−0.8614) | (−1.2151) | |
| lnGDP | −0.0608 *** | 0.1728 * | 0.1120 |
| (−2.9698) | (1.7379) | (1.1338) | |
| stru | 0.2898 *** | −0.3295 | −0.0397 |
| (4.5417) | (−0.8061) | (−0.1015) | |
| lnex | −0.0015 | −0.0569 * | −0.0584 ** |
| (−0.3641) | (−1.8665) | (−2.0209) | |
| lnin | −0.0162 ** | 0.1402 *** | 0.1240 *** |
| (−2.4234) | (3.0090) | (2.7734) | |
| edu | 0.0154 | −0.1779 | −0.1625 |
| (0.1202) | (−0.2334) | (−0.2232) | |
| lnfixinv | −0.0018 | 0.0240 | 0.0223 |
| (−0.2692) | (1.0648) | (0.9614) | |
| lnmphone | −0.0098 | 0.0344 | 0.0246 |
| (−0.4173) | (0.2269) | (0.1664) |
| (1) | (2) | |
|---|---|---|
| Variable | Model 9 | Model 10 |
| policy×sus | −0.0184 *** | |
| (−3.1434) | ||
| lnsus | 0.0166 | |
| (1.2524) | ||
| policy×usus | −0.0151 ** | |
| (−2.3646) | ||
| lnusus | 0.0304 | |
| (1.4822) | ||
| policy | 0.0697 ** | 0.0930 * |
| (2.4866) | (1.9466) | |
| lnGDP | −0.0558 *** | −0.0564 *** |
| (−2.6566) | (−2.5871) | |
| stru | 0.2537 *** | 0.2344 *** |
| (4.0884) | (3.5964) | |
| lnex | −0.0049 | −0.0025 |
| (−1.3420) | (−0.6654) | |
| lnin | −0.0142 ** | −0.0124 ** |
| (−2.3498) | (−2.0557) | |
| edu | 0.0923 | 0.0254 |
| (0.7444) | (0.2045) | |
| lnfixinv | −0.0057 | −0.0016 |
| (−0.8690) | (−0.2435) | |
| lnmphone | −0.0132 | −0.0105 |
| (−0.5732) | (−0.4537) | |
| W policy sus | −0.0630 | |
| (−1.2743) | ||
| W lnsus | 0.0662 | |
| (1.5115) | ||
| W policy usus | −0.0085 | |
| (−0.1904) | ||
| W lnusus | 0.2253 | |
| (1.3715) | ||
| W policy | 0.4358 * | 0.1177 |
| (1.7913) | (0.3635) | |
| W lnGDP | 0.0413 | −0.0336 |
| (0.3439) | (−0.2808) | |
| W stru | −0.5876 | −0.3654 |
| (−1.2607) | (−0.7390) | |
| W lnex | 0.0405 | 0.0822 ** |
| (1.2729) | (2.5568) | |
| W lnin | −0.1904 *** | −0.1198 ** |
| (−3.5109) | (−2.2889) | |
| W edu | 0.5065 | 0.4222 |
| (0.6334) | (0.5096) | |
| W fixinv | −0.0092 | −0.0327 |
| (−0.3127) | (−1.0862) | |
| W lnmphone | −0.0866 | −0.0492 |
| (−0.5212) | (−0.2947) | |
| 2.0983 *** | 2.0819 *** | |
| (42.8243) | (41.4953) | |
| City | YES | YES |
| Year | YES | YES |
| 0.1642 | 0.0241 | |
| 0.0030 *** | 0.0031 *** | |
| (24.8088) | (24.8121) | |
| N | 1248 | 1248 |
Disclaimer/Publisher’s Note: The statements, opinions and data contained in all publications are solely those of the individual author(s) and contributor(s) and not of MDPI and/or the editor(s). MDPI and/or the editor(s) disclaim responsibility for any injury to people or property resulting from any ideas, methods, instructions or products referred to in the content. |
© 2025 by the authors. Licensee MDPI, Basel, Switzerland. This article is an open access article distributed under the terms and conditions of the Creative Commons Attribution (CC BY) license (https://creativecommons.org/licenses/by/4.0/).
Share and Cite
Qiao, L.; Huo, D.; Sun, T.; Zhao, Z.; Ma, L.; Wu, Z. Cross-Border E-Business and Air Quality: A Quasi-Natural Experiment from the Perspective of Natural Resources. Sustainability 2025, 17, 2836. https://doi.org/10.3390/su17072836
Qiao L, Huo D, Sun T, Zhao Z, Ma L, Wu Z. Cross-Border E-Business and Air Quality: A Quasi-Natural Experiment from the Perspective of Natural Resources. Sustainability. 2025; 17(7):2836. https://doi.org/10.3390/su17072836
Chicago/Turabian StyleQiao, Li, Da Huo, Tianying Sun, Zizhen Zhao, Lanjing Ma, and Zenglin Wu. 2025. "Cross-Border E-Business and Air Quality: A Quasi-Natural Experiment from the Perspective of Natural Resources" Sustainability 17, no. 7: 2836. https://doi.org/10.3390/su17072836
APA StyleQiao, L., Huo, D., Sun, T., Zhao, Z., Ma, L., & Wu, Z. (2025). Cross-Border E-Business and Air Quality: A Quasi-Natural Experiment from the Perspective of Natural Resources. Sustainability, 17(7), 2836. https://doi.org/10.3390/su17072836

