Analyses of Variation Trends of Winter Cold Snaps in Subarctic and Arctic Alaska
Abstract
1. Introduction
2. Location of Study Sites
3. Climate Analyses
3.1. Mean Annual Air Temperature (MAAT)
3.2. Long-Term Average Monthly Air Temperature
4. Variation Trends of Winter Cold Snaps
4.1. Definition of Winter Cold Snaps
4.2. Frequency and Duration
4.3. Average Cold Snap Intensity
4.4. Extreme Winter Cold Snaps and Their Variation Trends
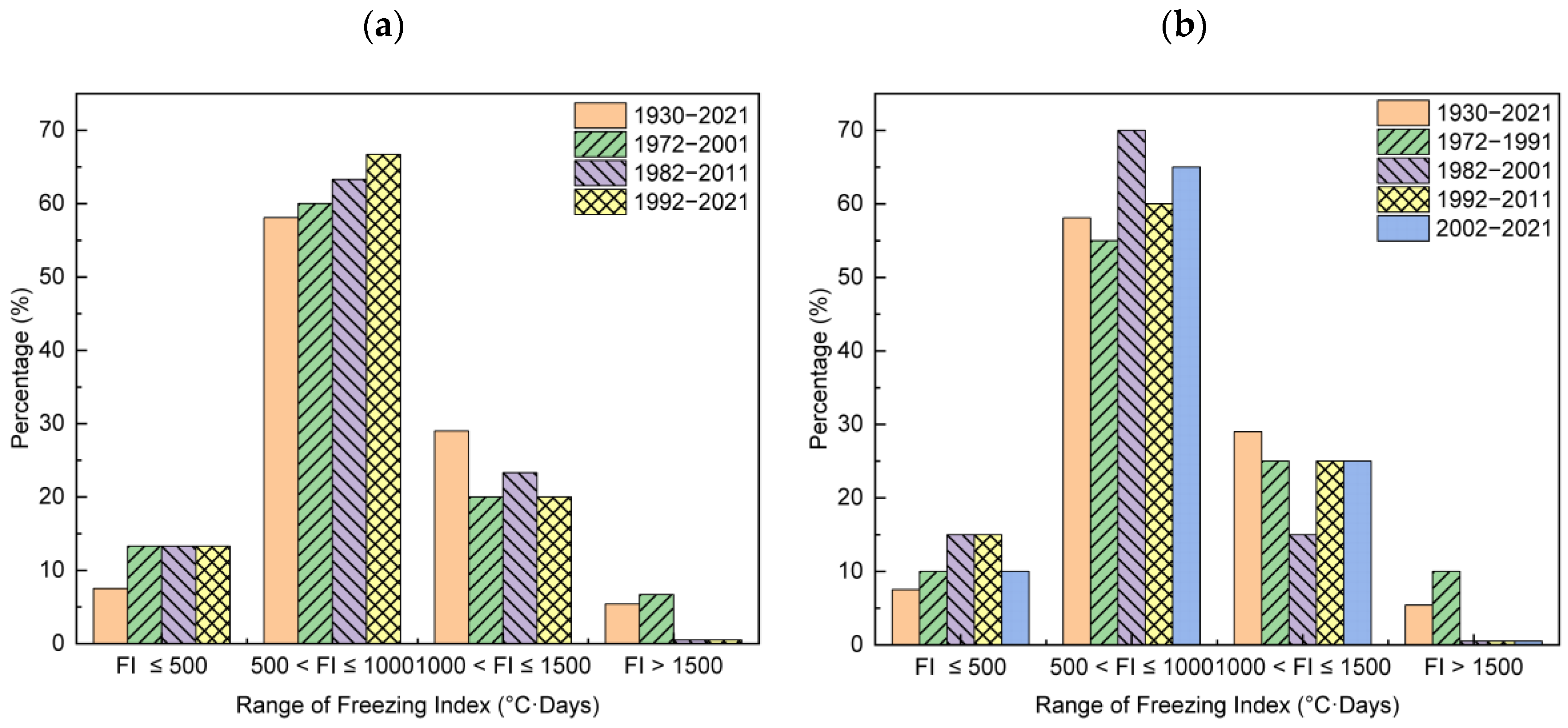
4.4.1. Maximum Winter Cold Snaps
4.4.2. Variation Trends
5. Discussion
6. Conclusions
- The mean annual air temperatures in all five study sites demonstrate a long-term warming trend. In particular, there was abrupt warming after 1975, confirming the climate regime shift in the Pacific and Alaska.
- The long-term average monthly temperature of all five study sites shows an upward trend, with a more significant increase in winter than in summer temperatures. The changes in mean monthly air temperature in winter are the largest for all five study sites, indicating more warming in winter than in summer.
- The winter cold snap frequency among the five study sites remains mostly unchanged. However, the duration and average intensity show a downtrend trend.
- Compared to historical data, all five study sites show a more pronounced decline in the maximum cold snap intensity as measured by the freezing index over the past 30 years, with the maximum cold snap freezing index reaching new lows in the last decade.
- For all five study sites, the proportions of the maximum cold snap freezing index in the highest category declined, whereas those in the lowest category rose.
Author Contributions
Funding
Institutional Review Board Statement
Informed Consent Statement
Data Availability Statement
Conflicts of Interest
References
- Singh, M.K.; Singh, B.R. Observation and Temperature Changes: Warming of The Climate System and Future of Global Warming in 21st Century. SAMRIDDHI A J. Phys. Sci. Eng. Technol. 2014, 5, 137–142. [Google Scholar] [CrossRef]
- You, Q.; Cai, Z.; Pepin, N.; Chen, D.; Ahrens, B.; Jiang, Z.; Wu, F.; Kang, S.; Zhang, R.; Wu, T.; et al. Warming amplification over the Arctic Pole and Third Pole: Trends, mechanisms and consequences. Earth-Sci. Rev. 2021, 217, 103625. [Google Scholar] [CrossRef]
- Overland, J.E.; Hanna, E.; Hanssen-Bauer, I.; Kim, J.; Walsh, J.E.; Wang, M.; Thomas, R.L. Arctic Report Card: Tracking Recent Environmental Changes Relative to Historical Records. Retrieved from Arctic Program. Available online: https://www.arctic.noaa.gov/report-card (accessed on 8 December 2022).
- Hoegh-Guldberg, O.; Jacob, D.; Taylor, M.; Guillén Bolaños, T.; Bindi, M.; Brown, S.; Diedhiou, A.; Djalante, R.; Ebi, K.; Engelbrecht, F.; et al. The human imperative of stabilizing global climate change at 1.5 °C. Science 2019, 365, eaaw6974. [Google Scholar] [CrossRef] [PubMed]
- Intergovernmental Panel on Climate Change (IPCC). Summary for Policymakers. In Global Warming of 1.5 °C. An IPCC Special Report on the Impacts of Global Warming of 1.5 °C Above Pre-Industrial Levels and Related Global Greenhouse Gas Emission Pathways, in the Context of Strengthening the Global Response to the Threat of Climate Change; Sustainable Development, and Efforts to Eradicate Poverty 32; IPCC Secretariat: Geneva, Switzerland, 2018. [Google Scholar]
- Wang, K.; Zhang, T.; Zhang, X.; Clow, G.D.; Jafarov, E.E.; Overeem, I.; Romanovsky, V.; Peng, X.; Cao, B. Continuously amplified warming in the Alaskan Arctic: Implications for estimating global warming hiatus. Geophys. Res. Lett. 2017, 44, 9029–9038. [Google Scholar] [CrossRef]
- Stewart, B.C.; Kunkel, K.E.; Stevens, L.E.; Sun, L.; Walsh, J.E. Regional Climate Trends and Scenarios for the US National Climate Assessment: Part 7; Climate of Alaska: Fairbanks, AK, USA, 2013.
- Taylor, P.C.; Maslowski, W.; Perlwitz, J.; Wuebbles, D.J. Arctic changes and their effects on Alaska and the rest of the United States. In Climate Science Special Report: Fourth National Climate Assessment; U.S. Global Change Research Program: Washington, DC, USA, 2017; Volume I, pp. 303–332. Available online: https://digitalcommons.unl.edu/usdeptcommercepub/582 (accessed on 15 December 2022).
- Serreze, M.; Walsh, J.; Chapin, F.; Osterkamp, T.; Dyurgerov, M.; Romanovsky, V.; Barry, R. Observational evidence of recent change in the northern high-latitude environment. Clim. Change 2000, 46, 159–207. [Google Scholar] [CrossRef]
- Bone, C.; Alessa, L.; Kliskey, A.; Altaweel, M. Influence of statistical methods and reference dates on describing temperature change in Alaska. J. Geophys. Res. Atmos. 2010, 115, D19122. [Google Scholar] [CrossRef]
- Gil-Alana, L.A. Long memory, seasonality and time trends in the average monthly temperatures in Alaska. Theor. Appl. Climatol. 2012, 108, 385–396. [Google Scholar] [CrossRef]
- Bieniek, P.A.; Walsh, J.E.; Thoman, R.L.; Bhatt, U.S. Using climate divisions to analyze variations and trends in Alaska temperature and precipitation. J. Clim. 2014, 27, 2800–2818. [Google Scholar] [CrossRef]
- Larsen, P.; Goldsmith, S.; Smith, O.; Wilson, M.; Strzepek, K.; Chinowsky, P.; Saylor, B. Estimating future costs for Alaska public infrastructure at risk from climate change. Glob. Environ. Chang. 2008, 18, 442–457. [Google Scholar] [CrossRef]
- Thoman, R.; Walsh, J.E. Alaska’s Changing Environment: Documenting Alaska’s Physical and Biological Changes Through Observations; McFarland, H.R., Ed.; International Arctic Research Center, University of Alaska Fairbanks: Fairbanks, AK, USA, 2019. [Google Scholar]
- Hartmann, B.; Wendler, G. The Significance of the 1976 Pacific Climate Shift in the Climatology of Alaska. J. Clim. 2005, 18, 4824–4839. [Google Scholar] [CrossRef]
- Ummenhofer, C.C.; Meehl, G.A. Extreme weather and climate events with ecological relevance: A review. Philos. Trans. R. Soc. B Biol. Sci. 2017, 372, 20160135. [Google Scholar] [CrossRef] [PubMed]
- Burakowski, E.A.; Contosta, A.R.; Grogan, D.; Nelson, S.J.; Garlick, S.; Casson, N. Future of winter in Northeastern North America: Climate indicators portray warming and snow loss that will impact ecosystems and communities. Northeast. Nat. 2022, 28, 180–207. [Google Scholar] [CrossRef]
- Balasubramanian, A. Extreme Climatic (Weather) Events. Status Report; Centre for Advance Studies in Earth Science, University of Mysore: Mysore, Karnataka, 2018. [Google Scholar] [CrossRef]
- Stewart, R.E.; Bachand, D.; Dunkley, R.R.; Giles, A.C.; Lawson, B.; Legal, L.; Miller, S.; Murphy, B.; Parker, M.; Yau, M.K. Winter storms over Canada. Atmos.-Ocean 1995, 33, 223–247. [Google Scholar] [CrossRef]
- Sheridan, S.C.; Lee, C.C. Temporal trends in absolute and relative extreme temperature events across North America. J. Geophys. Res. Atmos. 2018, 123, 11898. [Google Scholar] [CrossRef]
- Lynch, A.H.; Brunner, R.D. Context and climate change: An integrated assessment for Barrow, Alaska. Clim. Chang. 2007, 82, 93–111. [Google Scholar] [CrossRef]
- Melvin, A.M.; Larsen, P.; Boehlert, B.; Neumann, J.E.; Chinowsky, P.; Espinet, X.; Martinich, J.; Baumann, M.; Rennels, L.; Bothner, A.; et al. Climate change damages to Alaska public infrastructure and the economics of proactive adaptation. Proc. Natl. Acad. Sci. USA 2017, 114, E122–E131. [Google Scholar] [CrossRef] [PubMed]
- Grebenets, V.; Streletskiy, D.; Shiklomanov, N. Geotechnical safety issues in the cities of Polar Regions. Geogr. Environ. Sustain. 2012, 5, 104–119. [Google Scholar] [CrossRef]
- Raynolds, M.K.; Walker, D.A.; Ambrosius, K.J.; Brown, J.; Everett, K.R.; Kanevskiy, M.; Kofinas, G.; Romanovsky, V.; Shur, Y.; Webber, P.J. Cumulative geoecological effects of 62 years of infrastructure and climate change in ice-rich permafrost landscapes, Prudhoe Bay Oilfield, Alaska. Glob. Chang. Biol. 2014, 20, 1211–1224. [Google Scholar] [CrossRef]
- Hjort, J.; Karjalainen, O.; Aalto, J.; Westermann, S.; Romanovsky, V.; Nelson, F.; Etzelmüller, N.; Luoto, M. Degrading permafrost puts Arctic infrastructure at risk by mid-century. Nat. Commun. 2018, 9, 5147. [Google Scholar] [CrossRef]
- Nelson, F. Climate Change, Permafrost, and Impacts on Civil Infrastructure; US Arctic Research Commission, Permafrost Task Force, U.S. Arctic Research Commission: Arlington, Vigina, 2003.
- Pal, A.; Joshi, Y.K.; Beitelmal, M.H.; Patel, C.D.; Wenger, T.M. Design and performance evaluation of a compact thermosyphon. IEEE Trans. Compon. Packag. Technol. 2002, 25, 601–607. [Google Scholar] [CrossRef]
- Athienitis, A.K.; Santamouris, M. Thermal Analysis and Design of Passive Solar Buildings; Routledge: Milton Park, UK, 2013. [Google Scholar]
- Yarmak, E., Jr.; Zottola, J.T. Thermosyphon design for a changing arctic. In Congress on Technical Advancement; American Society of Civil Engineering: Anchorage, AK, USA, 2017; pp. 151–160. Available online: https://ascelibrary.org/doi/abs/10.1061/9780784481011.015 (accessed on 5 January 2023).
- Yarmak, E., Jr.; Long, E.L. The performance of a flat-loop evaporator thermosyphon at Deadhorse, Alaska. In Proceedings of the 15th International Conference on Cold Regions Engineering, Quebec, QC, Canada, 19–22 August 2012. [Google Scholar]
- Yan, Z.; Zhang, M.; Lai, Y.; Pei, W.; Luo, T.; Yu, F.; Yang, S. Countermeasures combined with thermosyphons against the thermal instability of high-grade highways in permafrost regions. Int. J. Heat Mass Transf. 2020, 153, 119047. [Google Scholar] [CrossRef]
- Jardine, J.D.; Long, E.L.; Yarmak, E. Thermal analysis of forced-air and thermosyphon cooling systems for the Inuvik airport expansion: Discussion. Can. Geotech. J. 1992, 29, 998–1001. [Google Scholar] [CrossRef]
- Wagner, A.M. Review of Thermosyphon Applications Cold Regions; ERDC/CRREL TR-14-1; Cold Regions Research and Engineering Laboratory: Hanover, NH, USA, February 2014. [Google Scholar]
- Armstrong, A.; Dorney, C.; Flood, M.; Garich, E.; Krcma, K.; Meyer, M.; Jerry, R.; Eli, S. Alaska Climate Trend Vulnerability Study (No. FHWA-WFL/TD-16-001). United States. Federal Highway Administration. Western Federal Lands Highway Division. 2016. Available online: https://rosap.ntl.bts.gov/view/dot/67113/dot_67113_DS1.pdf (accessed on 15 December 2022).
- Kettle, N.P.; Walsh, J.E.; Heaney, L.; Thoman, R.L.; Redilla, K.; Carroll, L. Integrating archival analysis, observational data, and climate projections to assess extreme event impacts in Alaska. Clim. Chang. 2020, 163, 669–687. [Google Scholar] [CrossRef]
- National Centers for Environmental Information. Available online: https://www.ncei.noaa.gov/products/land-based-station/us-climate-normals (accessed on 8 December 2022).
- Goodman, S.N. Toward evidence-based medical statistics. 1: The P value fallacy. Ann. Intern. Med. 1999, 130, 995–1004. [Google Scholar] [CrossRef]
- Budikova, D. Impact of the Pacific Decadal Oscillation on relationships between temperature and the Arctic Oscillation in the USA in winter. Clim. Res. 2005, 29, 199–208. [Google Scholar] [CrossRef]
- Comiso, J.C. Warming trends in the Arctic from clear sky satellite observations. J. Clim. 2003, 16, 3498–3510. [Google Scholar] [CrossRef]
- Yang, Z.J.; Lee, K.C.; Liu, H. Permafrost thaw and ground settlement considering long-term climate impact in northern Alaska. J. Infrastruct. Preserv. Resil. 2021, 2, 8. [Google Scholar] [CrossRef]















Disclaimer/Publisher’s Note: The statements, opinions and data contained in all publications are solely those of the individual author(s) and contributor(s) and not of MDPI and/or the editor(s). MDPI and/or the editor(s) disclaim responsibility for any injury to people or property resulting from any ideas, methods, instructions or products referred to in the content. |
© 2025 by the authors. Licensee MDPI, Basel, Switzerland. This article is an open access article distributed under the terms and conditions of the Creative Commons Attribution (CC BY) license (https://creativecommons.org/licenses/by/4.0/).
Share and Cite
Chang, X.; Yang, Z.; Zhu, Y.; Zhang, K.; Dai, C. Analyses of Variation Trends of Winter Cold Snaps in Subarctic and Arctic Alaska. Sustainability 2025, 17, 2438. https://doi.org/10.3390/su17062438
Chang X, Yang Z, Zhu Y, Zhang K, Dai C. Analyses of Variation Trends of Winter Cold Snaps in Subarctic and Arctic Alaska. Sustainability. 2025; 17(6):2438. https://doi.org/10.3390/su17062438
Chicago/Turabian StyleChang, Xiaofeng, Zhaohui Yang, Yimeng Zhu, Kaiwen Zhang, and Changlei Dai. 2025. "Analyses of Variation Trends of Winter Cold Snaps in Subarctic and Arctic Alaska" Sustainability 17, no. 6: 2438. https://doi.org/10.3390/su17062438
APA StyleChang, X., Yang, Z., Zhu, Y., Zhang, K., & Dai, C. (2025). Analyses of Variation Trends of Winter Cold Snaps in Subarctic and Arctic Alaska. Sustainability, 17(6), 2438. https://doi.org/10.3390/su17062438
