Analytical Study on Water and Heat Coupling Process of Black Soil Roadbed Slope in Seasonal Frozen Soil Region
Abstract
1. Introduction
2. Analytical Model of Black Soil Water–Heat Coupling in Seasonal Frozen Soil Region
2.1. Construction of Hydrothermal Coupling Model
2.2. Hydrothermal Physical Field Establishment
2.2.1. Moisture Field Modeling
2.2.2. Temperature Field Modeling
2.3. Model Validation
3. Analytical Model of Water–Heat Coupling of Black Soil Roadbed Slopes
3.1. Physical Parameter Values
3.2. Boundary Conditions
3.3. Analysis of Hydrothermal Evolution Pattern of Roadbed Slope
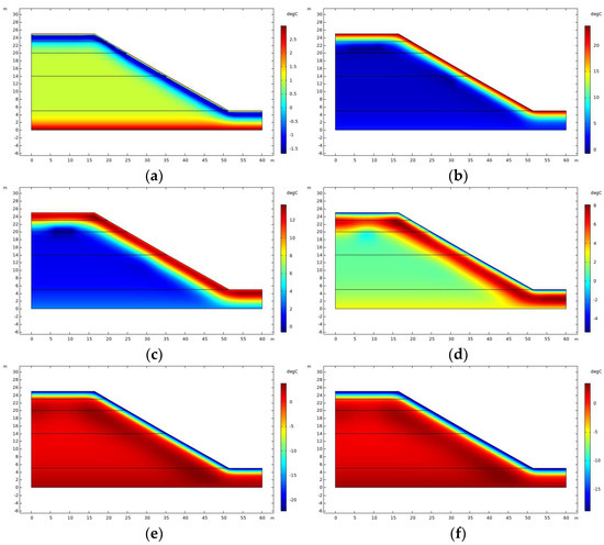
3.3.1. Temperature Field
3.3.2. Moisture Field
3.3.3. Distribution of Ice Content
4. Conclusions
- (1)
- According to the numerical model, the temperature field obtained during freezing and thawing in seasonal frozen soil regions is accurate and able to simulate the temperature field, moisture field, and ice content distribution law of black soil.
- (2)
- In the context of black soil roadbed slopes that have not yet reached the freezing threshold, an increase in external air temperature results in a corresponding rise in surface temperature at the upper section of the slope. The shallow 2 m layer of the slope exhibits significant fluctuations, while geothermal heat predominantly influences the deeper layers. Once the roadbed slope attains the freezing point, the 0 °C isotherm descends as the external ambient temperature gradually declines. Conversely, as external air temperatures rise, the surface temperature of the upper slope increases progressively, leading to an expansion in the thawing depth.
- (3)
- Black soil roadbed slopes with shallow water layers that have not reached the freezing point demonstrate considerable variations in water content in response to changes in external air temperature. During the freezing phase, the surface layer of the slope begins to freeze, resulting in a decrease in water content at the surface and the formation of a poly-ice zone approximately 2 m beneath the surface. In the subsequent melting phase, the roadbed slope undergoes thawing, allowing water to flow downward under the influence of gravity. However, since the lower soil layer remains frozen, the water is unable to migrate downward, leading to an accumulation of water content at the soil surface.
- (4)
- The distribution of ice content within black soil roadbeds during phase transitions is characterized by the formation of a partially frozen soil layer in the upper shallow section of the slope, which results in a gradual increase in volumetric ice content at the slope’s surface. As external air temperatures rise, the temperature of the upper surface of the slope gradually recovers, reaching the freezing point and initiating the melting process, which ultimately leads to the disappearance of ice lenses.
Author Contributions
Funding
Institutional Review Board Statement
Informed Consent Statement
Data Availability Statement
Conflicts of Interest
References
- Xu, X.; Wang, J.C.; Zhang, L.X. Frozen Soil Physics; Science Press: Beijing, China, 2001. [Google Scholar]
- Ling, X.; Zhang, F.; Zhu, Z.; Ding, L.; Hu, Q. Field experiment of subgrade vibration induced by passing train in a seasonally frozen region of Daqing. Earthq. Eng. Eng. Vib. 2009, 8, 149–157. [Google Scholar] [CrossRef]
- Ling, X.Z.; Chen, S.J.; Zhu, Z.Y.; Zhang, F.; Wang, L.N.; Zou, Z.Y. Field monitoring on the train-induced vibration response of track structure in the Beiluhe permafrost region along Qinghai–Tibet railway in China. Cold Reg. Sci. Technol. 2010, 60, 75–83. [Google Scholar] [CrossRef]
- Wang, M.; Meng, S.; Yuan, X.; Sun, Y.; Zhou, J. Experimental validation of vibration-excited subsidence model of seasonally frozen soil under cyclic loads. Cold Reg. Sci. Technol. 2018, 146, 175–181. [Google Scholar] [CrossRef]
- Wang, M.; Meng, S.; Sun, Y.; Fu, H. Shear strength of frozen clay under freezing-thawing cycles using triaxial tests. Earthq. Eng. Eng. Vib. 2018, 17, 761–769. [Google Scholar] [CrossRef]
- Liu, T.; Wang, M. Experimental research on the development of residual strain in seasonal frozen soil under freezing-thawing and impact type traffic loads. Earthq. Eng. Eng. Vib. 2021, 20, 335–345. [Google Scholar]
- Leng, J.; Fu, X.; Yang, J. Experimental research of the subgrade padding frost heaving of high-speed railway. J. Glaciol. Geocryol. 2015, 37, 440–445. [Google Scholar]
- Wang, Q.; Liu, J.; Tian, Y.; Fang, J.; Zhu, X. A study of orthogonal design tests on frost-heaving characteristics of graded crushed rock. Rock Soil Mech. 2015, 36, 2825–2830. [Google Scholar]
- Wang, Y.; Wang, D.; Guo, Y.; Lei, L.; Gu, T. Experimental study of the development characteristic of frost heaving ratio of of the saturated Tibetan silt under one-dimensional freezing. J. Glaciol. Geocryol. 2016, 38, 409–415. [Google Scholar]
- She, W.; Wei, L.; Zhao, G.; Yang, G.; Jiang, J.; Hong, J. New insights into the frost heave behavior of coarse grained soils for high-speed railway roadbed: Clustering effect of fines. Cold Reg. Sci. Technol. 2019, 167, 102863. [Google Scholar] [CrossRef]
- Jin, H.W.; Lee, J.; Ryun, H.; Shin, Y.; Jang, Y.E. Experimental Assessment of the Effect of Frozen Fringe Thinkness on Frost Heave. Geomech. Eng. 2019, 19, 193–199. [Google Scholar]
- Luo, Q.; Wu, P.; Wang, T. Evaluating frost heave susceptibility of well-graded gravel for HSR subgrade based on orthogonal array testing. Transp. Geotech. 2019, 21, 100283. [Google Scholar] [CrossRef]
- Yu, L.; Xu, X.; Ma, C. Combination effect of seasonal freezing and artificial freezing on frost heave of silty clay. J. Cent. South Univ. Technol. 2010, 17, 163–168. [Google Scholar] [CrossRef]
- Hai, M.; Su, A.; Wang, M.; Gao, S.; Lu, C.; Guo, Y.; Xiao, C. Large-Scale Freezing and Thawing Model Experiment and Analysis of Water–Heat Coupling Processes in Agricultural Soils in Cold Regions. Water 2023, 16, 19. [Google Scholar] [CrossRef]
- Wang, M.; Hai, M.; Su, A.; Meng, S.; Mu, H.; Guo, Y. Experimental Study on the Effect of Fines Content on the Frost Swelling Characteristics of Coarse-Grained Soil in Canal Base Under Open System. J. Offshore Mech. Arct. Eng. 2024, 146, 022101. [Google Scholar] [CrossRef]
- Wang, M.; Hai, M.; Su, A.; Xu, J.; Guo, Y.; Yan, H. Study of hydrothermal characteristics of large-scale water conveyance trunk canals in seasonally frozen ground regions under the influence of different initial water contents. River 2024, 3, 166–180. [Google Scholar] [CrossRef]
- Li, Z.; Chen, J.; Sugimoto, M.; Ge, H. Numerical simulation model of artificial ground freezing for tunneling under seepage flow conditions. Tunn. Undergr. Space Technol. 2019, 92, 103035. [Google Scholar] [CrossRef]
- Li, X.K.; Li, X.; Liu, S.; Qi, J.L. Thermal-seepage coupled numerical simulation methodology for the artificial ground freezing process. Comput. Geotech. 2023, 156, 105246. [Google Scholar] [CrossRef]
- Lai, Y.; Pei, W.; Zhang, M.; Zhou, J. Study on theory model of hydro-thermal–mechanical interaction process in saturated freezing silty soil. Int. J. Heat Mass Transf. 2014, 78, 805–819. [Google Scholar] [CrossRef]
- Harlan, R.L. Analysis of coupled heat-fluid transport in partially frozen soil. Water Resour. Res. 1973, 9, 1314–1323. [Google Scholar] [CrossRef]
- Bai, R.; Lai, Y.; Zhang, M.; Yu, F. Theory and application of a novel soil freezing characteristic curve. Appl. Therm. Eng. 2018, 129, 1106–1114. [Google Scholar] [CrossRef]
- Tan, X.; Chen, W.; Tian, H.; Cao, J. Water flow and heat transport including ice/water phase change in porous media: Numerical simulation and application. Cold Reg. Sci. Technol. 2011, 68, 74–84. [Google Scholar] [CrossRef]
- Tai, B.; Liu, J.; Wang, T.; Shen, Y.; Li, X. Numerical modelling of anti-frost heave measures of high-speed railway subgrade in cold regions. Cold Reg. Sci. Technol. 2017, 141, 28–35. [Google Scholar] [CrossRef]
- Zhou, J.; Li, D. Numerical analysis of coupled water, heat and stress in saturated freezing soil. Cold Reg. Sci. Technol. 2012, 72, 43–49. [Google Scholar] [CrossRef]
- Wang, T.; Liu, J.; Tai, B.; Zang, C.; Zhang, Z. Frost jacking characteristics of screw piles in seasonally frozen regions based on thermo-mechanical simulations. Comput. Geotech. 2017, 91, 27–38. [Google Scholar] [CrossRef]
- Zhou, Y.; Zhou, G. Numerical simulation of coupled heat-fluid transport in freezing soils using finite volume method. Heat Mass Transf. 2010, 46, 989–998. [Google Scholar] [CrossRef]
- Li, S.; Lai, Y.; Pei, W.; Zhang, S.; Zhong, H. Moisture–temperature changes and freeze–thaw hazards on a canal in seasonally frozen regions. Nat. Hazards 2014, 72, 287–308. [Google Scholar] [CrossRef]
- Ren, Z.; Liu, J.; Jiang, H.; Wang, E. Experimental study and simulation for unfrozen water and compressive strength of frozen soil based on artificial freezing technology. Cold Reg. Sci. Technol. 2023, 205, 103711. [Google Scholar] [CrossRef]
- Sun, Y.; Zhou, S.; Meng, S.; Wang, M.; Bai, H. Accumulative plastic strain of freezing-thawing subgrade clay under cyclic loading and its particle swarm optimization-back-propagation-based prediction model. Cold Reg. Sci. Technol. 2023, 214, 103946. [Google Scholar] [CrossRef]
- Sun, Y.; Zhou, S.; Meng, S.; Wang, M.; Mu, H. Principal component analysis–artificial neural network-based model for predicting the static strength of seasonally frozen soils. Sci. Rep. 2023, 13, 16085. [Google Scholar] [CrossRef]
- Wang, Q.; Bai, R.; Zhou, Z.; Zhu, W. Evaluating thermal conductivity of soil-rock mixtures in Qinghai-Tibet plateau based on theory models and machine learning methods. Int. J. Therm. Sci. 2024, 204, 109210. [Google Scholar] [CrossRef]
- Cheng, K.; Ping, X.; Han, B.; Wu, H.; Liu, H. Study on particle loss-induced deformation of gap-graded soils: Role of particle stress. Acta Geotech. 2024, 1–28. [Google Scholar] [CrossRef]
- Chang, D.; Yan, Y.; Liu, J.; Xu, A.; Feng, L.; Zhang, M. Micro-macroscopic mechanical behavior of frozen sand based on a large-scale direct shear test. Comput. Geotech. 2023, 159, 105484. [Google Scholar] [CrossRef]
- Yan, Y.; Chang, D.; Liu, J.; Xu, A.; Zhang, M.; Xie, Y. Design and validation of a new temperature-controlled large-scale direct shear apparatus. Cold Reg. Sci. Technol. 2023, 216, 103992. [Google Scholar] [CrossRef]
- Yan, Y.; Chang, D.; Liu, J.; Xu, A. Multiscale mechanical analysis of Frozen Clay: Triaxial testing and discrete element modeling. Cold Reg. Sci. Technol. 2024, 224, 104250. [Google Scholar] [CrossRef]
- Wu, H.; Shi, A.; Ni, W.; Zhao, L.; Cheng, Z.; Zhong, Q. Numerical simulation on potential landslide–induced wave hazards by a novel hybrid method. Eng. Geol. 2024, 331, 107429. [Google Scholar] [CrossRef]
- Taylor, G.S.; Luthin, J.N. A model for coupled heat and moisture transfer during soil freezing. Can. Geotech. J. 1978, 15, 548–555. [Google Scholar] [CrossRef]
- Van Genuchten, M.T. A closed-form equation for predicting the hydraulic conductivity of unsaturated soils. Soil Sci. Soc. Am. J. 1980, 44, 892–898. [Google Scholar] [CrossRef]
- Gardner, W.R. Some steady-state solutions of the unsaturated moisture flow equation with application to evaporation from a water table. Soil Sci. 1958, 85, 228–232. [Google Scholar] [CrossRef]
- Comsol, A.B. COMSOL multiphysics user’s guide. Version Sept. 2005, 10, 333. [Google Scholar]








| Parameter | Value | Unit | Parameter | Value | Unit |
|---|---|---|---|---|---|
Disclaimer/Publisher’s Note: The statements, opinions and data contained in all publications are solely those of the individual author(s) and contributor(s) and not of MDPI and/or the editor(s). MDPI and/or the editor(s) disclaim responsibility for any injury to people or property resulting from any ideas, methods, instructions or products referred to in the content. |
© 2024 by the authors. Licensee MDPI, Basel, Switzerland. This article is an open access article distributed under the terms and conditions of the Creative Commons Attribution (CC BY) license (https://creativecommons.org/licenses/by/4.0/).
Share and Cite
Su, A.; Hai, M.; Wang, M.; Zhang, Q.; Zhou, B.; Zhao, Z.; Lu, C.; Guo, Y.; Wang, F.; Liu, Y.; et al. Analytical Study on Water and Heat Coupling Process of Black Soil Roadbed Slope in Seasonal Frozen Soil Region. Sustainability 2024, 16, 8427. https://doi.org/10.3390/su16198427
Su A, Hai M, Wang M, Zhang Q, Zhou B, Zhao Z, Lu C, Guo Y, Wang F, Liu Y, et al. Analytical Study on Water and Heat Coupling Process of Black Soil Roadbed Slope in Seasonal Frozen Soil Region. Sustainability. 2024; 16(19):8427. https://doi.org/10.3390/su16198427
Chicago/Turabian StyleSu, Anshuang, Mingwei Hai, Miao Wang, Qi Zhang, Bin Zhou, Zhuo Zhao, Chuan Lu, Yanxiu Guo, Fukun Wang, Yuxuan Liu, and et al. 2024. "Analytical Study on Water and Heat Coupling Process of Black Soil Roadbed Slope in Seasonal Frozen Soil Region" Sustainability 16, no. 19: 8427. https://doi.org/10.3390/su16198427
APA StyleSu, A., Hai, M., Wang, M., Zhang, Q., Zhou, B., Zhao, Z., Lu, C., Guo, Y., Wang, F., Liu, Y., Ji, Y., Chen, B., & Wang, X. (2024). Analytical Study on Water and Heat Coupling Process of Black Soil Roadbed Slope in Seasonal Frozen Soil Region. Sustainability, 16(19), 8427. https://doi.org/10.3390/su16198427

