Next Article in Journal
Transforming Circular Economy Thinking Using the Forest as a Metaphor
Previous Article in Journal
Analysis of the Sustainable Development Pathway of Urban–Rural Integration from the Perspective of Spatial Planning: A Case Study of the Urban–Rural Fringe of Beijing
 
 
Font Type:
Arial Georgia Verdana
Font Size:
Aa Aa Aa
Line Spacing:
Column Width:
Background:
Article

The Impact of Digital Infrastructure on Rural Household Financial Vulnerability: A Quasi-Natural Experiment from the Broadband China Strategy

1
School of Economics and Management, University of Chinese Academy of Sciences, Zhongguancun Nanyitiao 3, Beijing 100190, China
2
School of Insurance and Economics, University of International Business and Economics, East Huixin Street 10, Beijing 100029, China
*
Author to whom correspondence should be addressed.
Sustainability 2025, 17(5), 1856; https://doi.org/10.3390/su17051856
Submission received: 22 January 2025 / Revised: 19 February 2025 / Accepted: 21 February 2025 / Published: 21 February 2025

Abstract

A digital infrastructure has the potential to mitigate the digital exclusion in rural areas, offering a pathway to alleviate the financial vulnerability of rural households. This paper investigates the impact of the Broadband China pilot policy—an important government initiative—on rural household financial vulnerability, utilizing data from five waves of the China family panel studies (CFPS) spanning from 2012 to 2020. By leveraging the quasi-natural experiment provided by the Broadband China initiative, this study makes a novel contribution to understanding how a digital infrastructure affects financial sustainability in rural households. The findings show that the Broadband China pilot policy significantly reduces rural household financial vulnerability, with particularly strong effects on female-headed households, spousal-headed households, and those in regions with a limited traditional or advanced digital finance infrastructure. Further analysis reveals that a digital infrastructure enhances rural household financial resilience by increasing land transfer opportunities through an ‘income effect’ and by fostering non-farm employment and financial literacy through a ‘security effect’. This paper contributes to the literature by shedding light on the specific mechanisms through which a digital infrastructure enhances the financial sustainability of rural households and offers valuable insights into policies aimed at bridging the rural–urban divide.

1. Introduction

Improving the financial vulnerability of rural households is a crucial component for achieving sustainable growth and a key means of promoting common prosperity [1]. At present, agriculture and rural areas remain the weakest link in China’s modernization process, and the financial risks faced by rural households not only reflect the welfare levels of these households, but also pose a significant hidden danger that could trigger systemic risks. These risks impede the high-quality development of agriculture and rural areas [2]. Unlike traditional financial risk assessments, household financial vulnerability is based on the changes in household assets and liabilities, considers the correlation and interdependence of risks, and can serve as a predictor of potential financial crises in the future [3]. Compared to urban households, those in rural China generally have lower incomes, a more limited income structure, and face greater uncertainty [4]. In recent years, the percentage of financially vulnerable households in rural areas has been significantly higher than that in urban areas, with this gap showing signs of gradual expansion [5]. The lack of sufficient financial services, a widespread financial exclusion, and the reliance on a single-industry structure in rural areas make it difficult for rural residents to effectively cope with risk shocks, such as natural disasters or public health emergencies. This deepens the financial vulnerability of rural households and exacerbates the regional financial risks posed by rural areas [6]. Therefore, addressing rural household financial vulnerability has become a critical focus for both academic research and policy formulation, particularly within the broader context of financial sustainability.
The digital economy is widely recognized as a key driver of high-quality economic growth, with the development of digital infrastructure becoming a global priority [7,8]. Being among the most important components of digital infrastructure, broadband Internet is expanding rapidly worldwide and is considered a critical accelerator of economic growth and innovation [9,10,11,12]. However, the impact of broadband Internet development on rural household financial vulnerability remains inconclusive. On one hand, existing studies suggest that Internet development and adoption may increase employment rates and wages, particularly benefiting the high-skilled workforce, while the low-skilled workforce may be displaced, leading to employment polarization and greater income inequality [13,14,15,16]. On the other hand, broadband Internet can reduce information asymmetry and searching costs, which may increase job opportunities [17]. Furthermore, the development of a digital infrastructure can help bridge the urban–rural income gap by promoting digital finance in rural areas. This, in turn, boosts the demand for low-skilled labor, facilitates the workers’ participation in digital economy-related jobs, and enhances the wages and asset incomes [6,18,19,20]. These conflicting findings highlight the need for further research in this area, especially considering the gap in understanding how the digital infrastructure impacts financial vulnerability at the household level.
In the past two decades, the Chinese government has made significant efforts to provide basic social security, such as pensions, healthcare, and employment support, for rural residents. The existing literature has examined the effects of welfare policies such as the New Rural Pension Schemes (NRPS) and New Rural Cooperative Medical Schemes (NRCMS) on health outcomes, financial protection, and poverty alleviation [21,22,23]. However, unlike these welfare policies, which are based on the urban–rural household registration system and aim to narrow the urban–rural financial gap, the impact of a digital infrastructure is more inclusive and widespread. Digital infrastructure not only addresses financial vulnerability but also bridges the divide between urban and rural areas in a more comprehensive and sustainable manner.
In light of the Broadband China pilot policy, which aims to enhance the efficiency of digital resource allocation and unlock the value of digital infrastructure, this paper utilizes data from five waves of the China family panel studies (CFPS)—2012, 2014, 2016, 2018, and 2020—to construct an indicator of rural household financial vulnerability. By employing a difference-in-differences (DID) approach, the study assesses the effects of a digital infrastructure on rural household financial vulnerability, uncovering two key mechanisms: the income effect (increasing the likelihood of land transfer) and the security effect (promoting non-farm entrepreneurship and financial literacy). Additionally, this paper explores the long-term effects of a digital infrastructure on reducing rural household financial vulnerability.
This paper contributes to the existing literature in three main aspects. First, it extends the research on the economic impact of a policy-driven digital infrastructure by focusing on micro-level household outcomes. As a regional macroeconomic policy tool, the Broadband China pilot policy effectively leverages the benefits of a digital infrastructure. While previous studies have primarily focused on policy outcomes at the regional and industrial level, such as productivity revival [11], labor market outcomes [15,16,18], and economic growth [9,10] there has been limited empirical evidence on the welfare improvements at the micro-household level. Specifically, the enhancement of household financial vulnerability, which best reflects the impact of government digital infrastructure policies on household-level sustainability, has been largely overlooked. Therefore, this paper fills the research gap by providing theoretical evidence on the impact of the Broadband China pilot policy on household financial vulnerability. Second, this paper contributes to the literature examining the impact of digital infrastructure on employment polarization and inequality [13,14,15,16,19,20]. Existing studies have yet to reach a consensus on the role of a digital infrastructure in this context. In contrast, we provide evidence that a digital infrastructure reduces rural household financial vulnerability through the income and security effects. This paper confirms the inclusive role of a digital infrastructure in rural areas and complements the theoretical framework of the digital infrastructure policy effects. Third, we provide empirical evidence from China, the world’s largest developing economy, addressing the scarcity of such studies in developing countries due to data limitations [10]. By merging CFPS data with regions benefiting from the Broadband China pilot policy, this paper presents new insights into the role of digital infrastructure in mitigating rural household financial vulnerability.
The remaining sections of this paper are arranged as follows: The institutional background and literature review is outlined in Section 2. The research design is presented in Section 3. Section 4 reports the empirical results. The mechanism analysis and time-effects test are discussed in Section 5. We draw the conclusions and implications in Section 6.

2. Institutional Background and Literature Review

2.1. Institutional Background

Considering the critical role of a digital infrastructure in economic development, the State Council of China issued China’s Broadband Strategic Program and its implementation plan in 2013. Subsequently, the State Council officially launched the Broadband China strategy to outline the goals for future broadband Internet development across the country. The Broadband China strategy was implemented in three phases. The first batch of pilot cities, including major urban centers like Beijing, Shanghai, and Guangzhou, was launched in 2014, encompassing a total of 39 cities (or city clusters). The second and third batches were rolled out in 2015 and 2016, respectively (the list of pilot cities is available at: https://www.gov.cn, accessed on 16 November 2015).
The positive implications of accelerating the Broadband China strategy for China’s economic development are threefold: First, broadband Internet, as a national strategic public infrastructure, facilitates the development of public goods and services. Second, broadband infrastructure plays a key role in the “Internet+” initiative, promoting the integration of Internet technologies into various sectors of the economy. Finally, enhancing broadband access fosters the growth of new technologies and industries that rely on a robust broadband infrastructure. While the existing literature has explored the impacts of the Broadband China strategy on employment [18] and enterprise innovation [12], fewer studies have focused on the effect of policy-driven digital infrastructure development on rural household financial vulnerability.

2.2. Literature Review

2.2.1. The Driving Factors of Household Financial Vulnerability

Household financial vulnerability is shaped by both internal household factors and external conditions, and these factors have been extensively discussed in the literature. One of the most important elements in reducing financial vulnerability is financial inclusion, which has been recognized as a key factor in improving the financial resilience of rural households. Financial inclusion encompasses not only access to basic financial services like savings accounts, credit, and insurance, but also the financial literacy that enables individuals to manage their resources effectively [4]. Studies have documented that factors such as household size, income, educational attainment, and the age and gender of the household members significantly contribute to financial vulnerability [24,25,26,27]. Access to financial products and services, such as microfinance institutions or community-based savings schemes, is especially crucial for rural households, as these services allow them to diversify their income sources and mitigate financial risks) [28,29]. Financial training programs have also proven effective in enhancing the financial management skills of rural residents, thereby improving their ability to cope with financial shocks.
The development of a digital infrastructure, such as broadband Internet, has further expanded opportunities for financial inclusion in rural areas. As the digital economy has grown, digital literacy programs and access to digital financial tools have become increasingly significant in reducing financial vulnerability. These tools provide rural households with the ability to engage with the formal financial system, reducing searching costs and offering services that were previously unavailable or difficult to access [8]. The availability of broadband Internet and mobile devices enables rural residents to use online payment systems, mobile banking, and other digital platforms, which facilitate a greater access to financial products and services [19]. These innovations help bridge the gap between urban and rural areas by reducing transaction costs and providing new opportunities for financial participation.
While digital inclusion plays a crucial role in reducing financial vulnerability, it must be understood within the broader context of rural household self-sufficiency. Unlike urban households, which are more dependent on diverse income sources and external financial services, rural families often rely heavily on agriculture and local resources for their livelihood. This self-reliance shapes their financial behavior and resilience to external shocks. Consequently, factors such as agricultural productivity, technological adoption in farming, and the ability to adapt to external challenges significantly influence the financial vulnerability of rural households [30]. Additionally, rural household financial vulnerability is further compounded by external factors such as natural disasters [31,32] and social welfare policies [33], which can disrupt their already limited economic foundation. Therefore, while digital inclusion provides important tools for enhancing financial resilience, it must be seen as a complementary strategy to address the inherent vulnerabilities tied to the self-sufficient, agriculture-based nature of rural livelihoods.

2.2.2. Digital Infrastructure and Rural Household Financial Vulnerability

The Broadband China strategy serves as a critical policy tool aimed at promoting the development of a digital infrastructure, which can enhance the financial stability of rural households. It achieves this by increasing the probability of rural land transfer and lowering the threshold for accessing financial services. This paper decomposes the effect of the digital infrastructure development on the financial vulnerability of rural households into two distinct aspects: the income effect and the security effect. Figure 1 visualizes the relationship between the digital infrastructure and rural household financial vulnerability.
1.
Income effect
It is widely acknowledged in the theoretical literature that the development of a digital infrastructure significantly enhances rural–industrial integration) [34], reduces information asymmetry in rural areas, and alleviates constraints on the mobility of land elements. As a result, a digital infrastructure plays a crucial role in increasing the likelihood of land transfer among rural households [35]. Specifically, while a digital infrastructure may influence land transfer decisions in both directions) [36,37], its effect on facilitating land transfer-out and transfer-in is clear and direct [38]. This mechanism generates a significant income effect for rural households, helping to reduce poverty and enhance the financial sustainability of these households [39,40,41].
2.
Security effect
In addition to the income effect, a digital infrastructure also exerts a safeguard effect on rural households through two main channels: non-farm labor decisions and financial literacy.
First, regarding non-farm labor decisions, a digital infrastructure increases the demand for low-skilled labor, encouraging rural households to seek non-farm part-time jobs or full-time non-farm employment opportunities, especially after land transfer [6,18]. This enables them to participate in digital economy-related jobs that require lower skill levels. Moreover, digital infrastructure improves access to resources by alleviating the constraints of traditional financial scarcity, thereby facilitating non-farm entrepreneurship. These new income sources improve financial stability for rural households and contribute to the reduction in their financial vulnerability [35].
Second, a digital infrastructure also enhances financial literacy among rural residents. An improved financial literacy helps rural households make more informed financial decisions, correct irrational asset allocation structures, and expand their understanding of risk management tools, such as insurance and other financial services. These improvements reduce the financial risks faced by rural households [42].
In summary, the impact of a digital infrastructure on rural household financial vulnerability can be divided into two parts: first, the policy-driven development of a digital infrastructure increases the probability of land transfer through the income effect, which facilitates the intensive and large-scale development of agricultural production and improves the transfer income of rural residents. This process helps mitigate financial vulnerability. Second, digital infrastructure plays a security effect by promoting non-farm labor decisions and enhancing financial literacy, both of which reduce the financial vulnerability of rural households. Based on the above discussion, we derived two hypotheses:
Hypothesis 1: 
A digital infrastructure effectively reduces the financial vulnerability of rural households.
Hypothesis 2: 
A digital infrastructure reduces the financial vulnerability of rural households through both the income effect and the security effect.

3. Research Design

3.1. Data and Sample

The data for this study is derived from the China family panel studies (CFPS), a comprehensive, biennial survey conducted by the China Center for Social Science Surveys (CCSS) at Peking University. The CFPS is designed to monitor the economic development and social change in China through longitudinal surveys of a nationally representative sample of urban and rural households, along with their family members. Importantly, the full set of variables required for this study were only included from the 2012 survey onward; thus, the analysis is based on five waves of data collected between 2012 and 2020, a total of five survey periods, covering the time span that captures a critical period in the implementation of the Broadband China initiative.
This paper focuses on the digital dividends of rural households. Following Ning et al. [21] and Guo et al. [22], who also investigated rural households in China, we restrict the samples to rural household heads older than 16 years old. Additionally, we follow established procedures for data cleaning, which includes the exclusion of households with missing key variables. Specifically, the missing data for key variables is minimal, with the highest missing rate for any variable being less than 5%, which is consistent with the existing research standards. As such, the exclusion of missing observations, representing less than 10% of the total sample, is unlikely to introduce a significant selection bias. To further minimize the potential impact of selection bias from missing values, we applied a multiple imputation sensitivity analysis as part of the robustness checks. Detailed missing information for each variable is reported in Supplementary Materials Table S1. After excluding the samples with missing values and outliers, a total of 29,838 valid household samples remained usable for analysis in this study (the survey data of CFPS can be accessed through the official CFPS website (http://isss.pku.edu.cn/sjsj/cfpsxm/index.htm, accessed on 1 November 2024), and the pseudocode used for the main regressions in Stata18 is available upon request from the authors).

3.2. Empirical Model

Building on the theoretical analysis presented above, this paper hypothesizes a negative correlation between digital infrastructure and rural household financial vulnerability. To further test the validity and accuracy of this hypothesis, the following model is employed:
H F V i t = β 0 + β 1 B r o a d b a n d i t + γ C o n t r o l s i t + T i m e F E + P r o v i n c e F E + ε i t
where H F V i t is the financial vulnerability of rural household i in year t . The higher the value, the higher the degree of financial vulnerability of the household. B r o a d b a n d i t is the core explanatory variable, which represents whether the household i belongs to the pilot region of broadband China. C o n t r o l s i t is the control variables set, including the characteristics of the household head and the characteristics of the family. We also include the year fixed effect T i m e F E and the province fixed effect P r o v i n c e F E to control some unobservable factors. Specifically, TimeFE represents dummy variables constructed according to different years; ProvinceFE denotes dummy variables constructed according to different provinces. To avoid interactions within and across households, this paper needs to adjust the regression standard errors for clustering at the household level. β 1 is the key coefficient of interest in this paper. If β 1 < 0 , it indicates that a digital infrastructure contributes to the reduction in household financial vulnerability. ε i t is the random disturbance term, capturing the unobservable factors that affect household financial vulnerability.
Considering that the explained variable HFV is an ordered categorical variable, the traditional linear regression model may cause statistical distortion and estimation bias. The related literature often treats household financial vulnerability as a discrete variable and commonly applies the Logistic model [24]. Building on the existing literature, this paper employs the Ordinal Logistic regression model for empirical analysis, further classifying household financial vulnerability into three categories: high, low, and no vulnerability [43]. Under the assumption of ignoring the endogeneity of digital infrastructure, and normal distribution of ε i t , we can derive the probability distribution function of HFV:
Pr H F V i t = 2 C o n t r o l s i t = 1 Φ α 1 β 1 B r o a d b a n d i t γ C o n t r o l s i t Pr H F V i t = 1 C o n t r o l s i t = Φ α 1 β 1 B r o a d b a n d i t γ C o n t r o l s i t Φ α 2 β 1 B r o a d b a n d i t γ C o n t r o l s i t Pr H F V i t = 0 C o n t r o l s i t = Φ α 2 β 1 B r o a d b a n d i t γ C o n t r o l s i t
where Φ is the cumulative density function of the standard normal distribution, and α 1 and α 2 are threshold parameters that define the cut-off points between the different categories of financial vulnerability.

3.3. Variable Selection

3.3.1. Dependent Variable

The dependent variable in this paper is the rural household financial vulnerability, which refers to their ability to withstand various expenditures in the face of uncertainty shocks, reflecting both the accumulation of household financial risk and the households’ capacity to bear such risk [44]. We adopt the measurement approaches of Ampudia et al. [24] and Anderloni et al. [26] to define household financial vulnerability. This is based on the use of financial margins to assess the accumulation of household financial risk, and household solvency to measure its ability to cope with uncertainty shocks. The specific methodology is outlined as follows:
Financial margins:
R C i t = Y i t E D i t
Household Solvency:
R D i t = ( Y i t + L A i t ) / E D i t
Household financial vulnerability:
H F V i t = 0 ,   R C i t 0 , Households   without   vulnerability 1 ,   R C i t 0 ,   and   1 R D i t 1 + L A i t E D i t ,   Households   with   low   vulnerability 2 ,   R C i t 0 ,   and   R D i t < 1 ,   Households   with   high   vulnerability
In Equation (3), R C i t represents the household financial margin, which reflects the household’s financial liquidity, i.e., the degree of accumulated financial risk. Y i t denotes the net income of the household, while E D i t represents household expenditures, including basic living expenditures, consumption expenditures, transfer expenditures, welfare expenditures, and liabilities, such as bank loans and informal borrowing (e.g., from family, friends, or private lenders). In Equation (4), R D i t represents the solvency of the household, which indicates its ability to cope with financial risks. L A i t denotes the household’s liquid assets, including cash, bank deposits, and other financial assets. By combining Equations (3) and (4), we arrive at Equation (5), where H F V i t represents the household financial vulnerability. Specifically, H F V i t = 0 indicates rural households with no financial vulnerability, meaning the household income can fully cover basic expenditures and liabilities. H F V i t = 1 indicates rural households with low financial vulnerability, where the household income cannot entirely cover expenditures and liabilities, but liquid assets can partially compensate for basic living expenses. H F V i t = 2 indicates rural households with high financial vulnerability, where the combined total of household income and liquid assets is insufficient to cover basic expenditures and liabilities.

3.3.2. Independent Variable

The core explanatory variable of this paper is B r o a d b a n d i t , i.e., whether the area where the household is located belongs to the provinces of the Broadband China pilot policy in the year of the survey. Therefore, if a rural household belongs to a Broadband China pilot policy province in the survey conducted after the year of policy promulgation, it is defined as B r o a d b a n d i t = 1 ; otherwise, it is 0.

3.3.3. Control Variables

Based on the studies of Behrman et al. [42] and Yang and Zhang [19], this paper controls for several variables that may influence the financial vulnerability of households. These include individual characteristics of the household head, such as gender, age (and the age-squared term), marital status, education, and self-assessment of health. Additionally, household characteristics are also considered, including household size, proportion of elderly population, proportion of children, the net worth of the household, and household income. Considering the impact of rural family farming technology and financial infrastructure, we add control variables such as the level of agricultural machinery and the number of financial institutions (including banks, rural credit cooperatives and microfinance institutions) into the model [4,30]. Table 1 presents the specific descriptions of these variables.

3.4. Descriptive Statistics

Table 2 presents the descriptive statistics for the main variables. The financial vulnerability profile of the households indicates that, on average, they exhibit low financial vulnerability. Regarding the coverage of the Broadband China pilot policy, we observe that 18.2% of the overall household sample is part of the treatment group. The average age of the household heads in the sample is 50.49 years, with 58.7% of household heads being male. Additionally, 84.6% of the household heads are married, and the average education level of household heads is at junior high school level or below, reflecting the generally low educational attainment among rural residents. The self-assessed health status of household heads is 3.168, which corresponds to a medium level of health. On average, rural households have fewer than four members, with the elderly population comprising 16.4% and the child population 11.6%. There are an average of 32 financial institutions in each county.
In addition, we report the descriptive statistics for the differences before and after the Broadband China pilot policy in Table S1, and perform t-tests on both the dependent and control variables, based on the grouping of the treatment and control groups to ensure that there are no significant differences in the control variables prior to the policy. The results indicate that, both for the dependent variable and the control variables, there are no significant differences between the experimental and control groups before the policy. This suggests that neither observable nor unobservable factors, including financial infrastructure, influence the division between the experimental and control groups. Therefore, the establishment of the DID regression model in this study is valid.

4. Empirical Results

4.1. Baseline Results

Table 3 examines the relationship between the digital infrastructure and the financial vulnerability of rural households. Panel A reports the regression coefficients of the Ordinal Logistic model, and Panel B reports the marginal effects for different HFV values. Columns (1) to (4) display the regression estimates of the impact of a digital infrastructure on the financial vulnerability of rural households, with varying sets of control variables: column (1) reports results without control variables, column (2) includes control variables for household head characteristics only, column (3) includes control variables for household characteristics only, and column (4) includes all control variables. Based on the results in column (4), the estimated coefficient of Broadband is negative and statistically significant at the 5% level. This suggests that the Broadband China pilot policy reduces the household financial vulnerability. Regarding the estimated effects of the control variables, being married, having a higher education level, better health status, larger household size, higher household income, and higher level of household agriculture machinery all significantly reduce household financial vulnerability (in the CFPS questionnaire design, very healthy = 1 and very unhealthy = 5, i.e., the smaller the value, the better the health status). Conversely, a higher proportion of elderly household members and children significantly exacerbates the financial vulnerability of rural households.
Since the parameter estimates in Table 3 (Panel A) provide limited information regarding the significance and the direction of effects, we further examine how these variables influence the probability of rural households experiencing financial vulnerability by analyzing the marginal effect of Broadband on rural household financial vulnerability. As shown in Table 3 (Panel B), Broadband significantly reduces the probability of financial vulnerability for both high-risk households (by 1.8%) and low-risk households (by 0.2%).

4.2. Robustness Tests

4.2.1. Parallel Trends Tests

The difference in the financial vulnerability of rural households before and after the Broadband China pilot policy implementation might not necessarily be attributed solely to the pilot policy itself. The underlying assumption in our DID model is that the difference in financial vulnerability between the treatment and control groups would have followed a parallel trend in the absence of the Broadband China pilot policy. The estimates derived from Equation (1) are meaningful only if this parallel trend assumption holds. However, fully testing this assumption is not feasible using the current econometric methods.
To address this, we adopt the event study approach, as suggested by Beck et al. [45], to examine the pre-treatment trends and test the significance of any differences in the financial vulnerability of rural households before the launch of the Broadband China strategy. This approach allows us to verify whether the treatment and control groups exhibit similar trends prior to the intervention, thereby strengthening the validity of our DID estimates. In this study, we carefully select a one-year time window to capture the dynamic effects of the Broadband China pilot policy. The event study model is specified as follows:
H F V i t = α + t 3 ,   t 0 5 β t B r o a d b a n d i t   + γ C o n t r o l s i t + T i m e F E + P r o v i n c e F E + ε i t
where t < 0 means the period before the announcement of Broadband China pilot policy and t > 0 represents the post-event period. Meanwhile, t = 0   indicates the policy year, which is used as the base period. In Equation (6), we focus on the significance of coefficient β t when t < 0 . If it is not significant, we can demonstrate that the parallel trend test has been passed.
Figure 2 presents the estimation results for the pre-event parallel trend test (the dotted line in the figure is meant to be the point in time when the annual policy is announced, and to avoid the effect of multiple covariance, we assume the period before the event as the base period). It is evident that, prior to the implementation of the Broadband China pilot policy, there were no significant differences in the financial vulnerability between the treatment and control groups, and both groups exhibited similar trends, reinforcing the robustness of our benchmark results. Specifically, the parallel trend assumption appears to hold, as the pre-treatment trends of the treatment and control groups align closely.
Additionally, we observe that the estimated coefficient for rural household financial vulnerability is significantly negative in the first period following the policy’s implementation, and the confidence interval does not include zero. This suggests that the policy had a rapid and noticeable impact on reducing the financial vulnerability of rural households. The estimated coefficients for both the −3 and −2 periods are not statistically significant, as their confidence intervals include zero. This indicates that there is no significant difference between the treatment and control groups prior to the policy implementation, thereby supporting the parallel trend assumption (furthermore, the dynamic effect coefficients presented in Table S3 reinforce this finding, showing that the coefficients for pre_3 and pre_2 are also not significant before the policy was implemented).

4.2.2. Placebo Tests

To address concerns regarding the potential influence of random factors and omitted variables, we conduct placebo tests by randomly constructing alternative treatment groups and artificially shifting the policy adoption time. In the context of DID analysis, a placebo test involves introducing a “false treatment time” or “false treatment group” to test whether we can still detect a policy effect when there is no actual policy intervention [46]. If a significant effect is found under these false conditions, it would suggest that the observed policy impact of Broadband China in the benchmark regression may be spurious, potentially driven by unobserved factors rather than the actual policy intervention. Therefore, the placebo test serves as a robustness check, helping to confirm that the results are genuinely due to the policy change and not random fluctuations or other confounding influences.
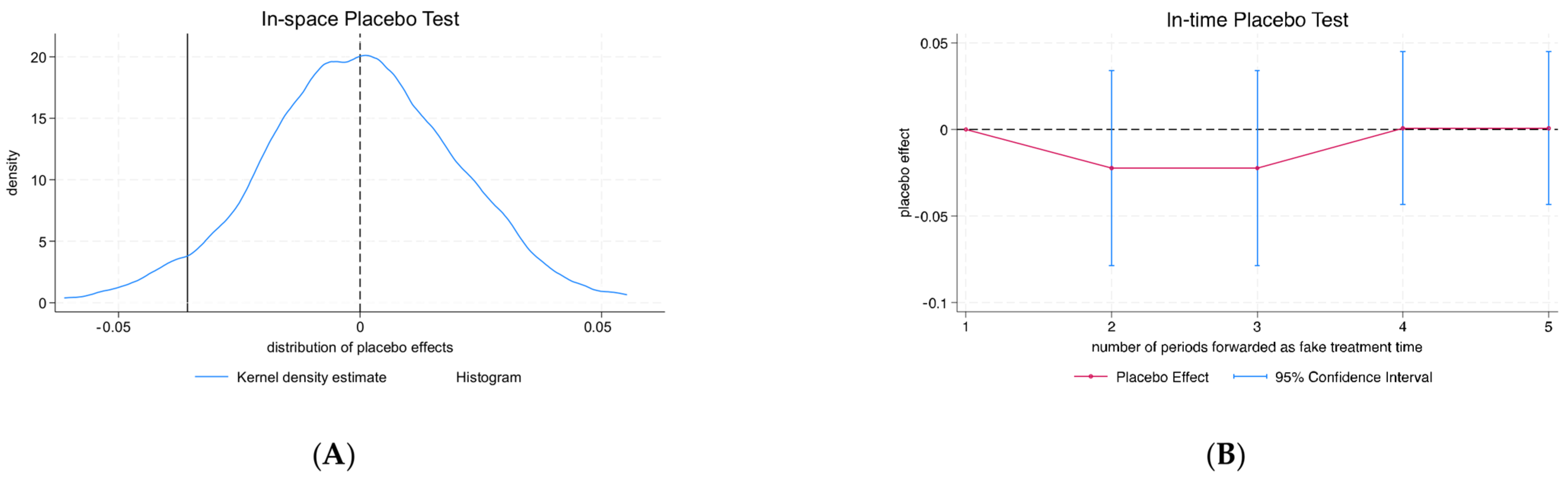
Specifically, we first conduct a spatial placebo test by randomly reassigning individuals’ group affiliations while keeping the policy implementation time and group structure fixed. This test involves performing a two-way fixed-effects estimation (TWFE) and repeating the process 500 times to generate 500 regression coefficients. The resulting density distribution is shown in Figure 3A, where we observe that the mean of the 500 randomly generated coefficients is effectively zero. The solid black line in the figure represents the true coefficient from the baseline regression. Moreover, the random sampling coefficients follow a normal distribution centered around zero, with only a few values deviating from the actual regression coefficient.
Next, we perform a time-placebo test by estimating the DID model with a shifted “pseudo-policy time”, moving the Broadband China pilot policy time by 2 to 5 years. Figure 3B illustrates the 95% confidence intervals of the time-placebo effect. As shown, the placebo effect is not statistically significant for any of the periods. This suggests that there is no policy effect from the pseudo-policy, confirming that the observed reduction in financial vulnerability among rural households in the treatment group is indeed attributable to the implementation of the Broadband China pilot policy. The results demonstrate that the policy effect is robust and not influenced by other factors.

4.2.3. Endogeneity Test

One of the concerns regarding the endogeneity problem is that if there are some unobservable factors, like other location-oriented policies, it may still lead to a biased estimation of the policy effects. Considering the characteristics of the geographical environment and economic development of the pilot cities, this paper further adopts an instrumental variable (IV) for digital infrastructure to solve the potential endogeneity problem.
According to Wei and Zhang [47], the historical postal and telecommunications data of each city in 1984 are used as IVs for digital infrastructure. As the continuation of traditional communication technology, the local historical telecommunications infrastructure will affect the application of digital infrastructure in the subsequent stage in factors such as technical level and usage habits. However, the impact of traditional telecommunications tools, such as fixed-line phones, on the household financial vulnerability gradually weakens, as the frequency of use decreases, which meets the exclusivity. It should be noted that the original data of the selected IVs are in cross-sectional form and cannot be directly used for the econometric analysis of panel data. To address this problem, a time-varying variable is introduced to construct a panel instrumental variable [48]. Specifically, the interaction term between the number of Internet users in the province, where each city is located in year t-1 and the number of telephones per 100 people in each city in 1984, is used, and further multiplied by the post variable representing the year of policy implementation as the IVs of Broadband in model (1).
Table 4 presents the results of the two-stage least squares (2SLS) regression using instrumental variables. Column (1) reports the first-stage estimation. The coefficient of the instrumental variable is significantly positive at the 1% level, indicating that regions with better historical telecommunications infrastructure (measured by the 1984 local telecommunications infrastructure) are more likely to be included in the Broadband China pilot regions. This finding is consistent with the expectations.
Column (2) shows the results from the second-stage estimation. The coefficient of the Broadband China pilot policy remains significantly negative, indicating that the implementation of the policy continues to have a statistically significant impact on reducing the financial vulnerability of rural households. The robustness of the estimated effects supports the conclusion that the Broadband China pilot policy has a genuine, causal effect on alleviating financial vulnerability in rural areas (in addition, the tests of under-identification, weak identification and overidentification prove that it is reasonable to choose these variables as instrumental variables).

4.2.4. Other Robustness Tests

To further validate the robustness of our baseline results, we conduct a series of robustness tests, including altering the dependent variable, adjusting the sample range, employing Propensity Score Matching Difference-in-Differences (PSM-DID) estimates, performing multiple imputation sensitivity tests, and clustering standard errors. These tests are designed to ensure that our findings remain robust to different model specifications and are consistent across various methodologies and data variations.
First, we test the robustness of our results by using an alternative proxy for the digital infrastructure. Following Cai et al. [6], we use a county-level Digital Finance Inclusion Index (DFII) sourced from the Institute of Digital Finance at Peking University as an alternative proxy for broadband access. Column (1) of Table 5 reports the results using this proxy variable. The coefficient on the Broadband remains significantly negative at the 1% level, suggesting that a digital infrastructure continues to play a significant role in mitigating the financial vulnerability of rural households, further confirming our initial results.
Second, we address the potential concerns regarding the impact of external shocks such as the COVID-19 pandemic, which could affect household financial vulnerability. To ensure that our findings are not driven by such shocks, we remove the sample from the 2020 survey from the analysis. Column (2) of Table 5 reports the results after excluding the 2020 data. The coefficient on the Broadband remains significantly negative, indicating that the effect of digital infrastructure on reducing rural household financial vulnerability holds even when accounting for pandemic-related shocks.
Third, we apply an alternative estimation method to address the potential endogeneity concerns. We use the PSM-DID model to control for selection bias. Nearest neighbor matching shows high data quality (LR chi2 = 344.61, p = 0.000). Column (3) of Table 5 demonstrates that after matching treatment and control groups, the coefficients of the core explanatory variables remain largely consistent with the baseline results, supporting the conclusion that the Broadband China pilot policy effectively reduces rural household financial vulnerability.
To further minimize the potential for bias from missing values, we apply a multiple imputation sensitivity analysis as part of the robustness checks. This approach allows us to assess the reliability of our findings and address the concerns regarding missing data [49]. As shown in column (4), the estimated coefficient remains significantly negative at the 5% significance level after imputing the missing data, further confirming the robustness of our findings.
Finally, we assess the sensitivity of our results to different clustering levels of standard errors. Column (5) of Table 5 presents results with robust standard errors, which continue to show a significant negative effect of digital infrastructure on rural household financial vulnerability at the 5% significance level. This indicates that the benchmark results are robust to variations in the clustering of errors, reinforcing the robustness of our conclusions.

4.3. Heterogeneity Analysis

4.3.1. Household Head Characteristics

From the perspective of household head characteristics, many studies have argued that the gender and marital status of the head of the household have different impacts on household financial vulnerability [26]. To examine the heterogeneous impact of digital infrastructure on the financial vulnerability of rural households, this paper conducts group regressions based on household head characteristics, including gender and marital status. The results are presented in Table 6.
The results from the grouping by gender of the household head reveal that a digital infrastructure is more effective in alleviating financial vulnerability for female-headed households, compared to male-headed households. This difference may be attributed to the fact that female-headed households are often more eager to utilize digital infrastructure to overcome information barriers and digital isolation. As a result, they are better able to leverage the policy dividends of the Broadband China pilot. Therefore, female-headed households tend to make more use of the policy to reduce financial vulnerability.
The analysis by marital status shows that a digital infrastructure has a more pronounced effect in alleviating the financial vulnerability of households where the head of household has a spouse. In contrast, there is no significant effect observed for unmarried, divorced, or widowed household heads. This suggests that the stability provided by a household structure with a spouse is a crucial factor in enabling rural households to effectively engage in for-profit activities. The presence of a spouse may contribute to better household coordination, which in turn enhances the ability to take full advantage of digital infrastructure and policy interventions.
Although the positive impact of digital infrastructure on alleviating financial vulnerability in female-headed households and households with a spouse has been demonstrated, future research should pay particular attention to the households facing challenges in digital access and those with lower digital literacy [50]. These groups may not fully benefit from digital infrastructure, exacerbating the existing digital divide in rural areas. How to bridge this potential digital gap and ensure that all rural households can effectively utilize digital resources remains a critical area for future investigation. Addressing the digital divide will be crucial in ensuring that the benefits of a digital infrastructure are equitably distributed, especially in underserved rural regions.

4.3.2. Household Characteristics

In addition to examining household head characteristics, the impact of digital infrastructure on the financial vulnerability of rural households exhibits significant heterogeneity due to variations in natural geographic conditions, economic endowments, and cultural practices across different regions. To capture these regional and household-specific differences, this paper divides rural households into distinct groups based on geography and household size. The results are presented in Table 7.
The impact of digital infrastructure is first analyzed based on the geographical divide of the Qinling-Huaihe River line, categorizing rural households into northern and southern regions in China. The findings in columns (1) and (2) of Table 7 show that a digital infrastructure has a significant mitigating effect on the financial vulnerability of rural households in the northern region, as indicated by the significantly negative coefficient of Broadband for northern households. However, the effect is not significant for southern households, suggesting that digital infrastructure has a more pronounced impact on northern rural households. This may be attributed to regional disparities in economic development, digital technology adoption, and infrastructure quality.
The analysis is further refined by dividing the rural households into sub-samples based on the eastern and central-western regions. The results in columns (3) and (4) of Table 7 indicate that the Broadband China pilot policy significantly reduces the financial vulnerability of rural households in the eastern region, at a 1% significance level, while it does not have a significant effect on households in the central and western regions. The difference in impact is likely due to the relatively higher economic and technological endowment in the eastern region, which enables better utilization of a digital infrastructure and, consequently, a greater welfare effect for local rural households. In contrast, the central and western regions, with a relatively lower economic development, may not benefit from digital infrastructure to the same extent.
Additionally, the paper also examines the impact of digital infrastructure on different household sizes. The results in columns (5) and (6) of Table 7 show that the Broadband China pilot policy significantly reduces the financial vulnerability of large-scale households, while the effect on small-scale households is not statistically significant. This suggests that larger households may benefit more from the policy, possibly due to the greater need for financial resources and better access to digital infrastructure, which enhances their ability to manage financial risks. Smaller households, in contrast, may not face the same degree of financial vulnerability, leading to a smaller effect from digital infrastructure improvements.

4.3.3. Financial Infrastructure

Regional financial infrastructure plays a crucial role in determining the financial vulnerability of rural households. Financial infrastructure encompasses services such as bank credit, savings, commercial insurance provided by credit institutions, and digital finance, all of which contribute to enhancing the financial resilience of rural households and mitigating their financial risks [4]. To examine the differential impacts of these infrastructure components, this paper classifies rural households into distinct groups based on the availability of traditional and digital financial infrastructures at the regional level. The results are summarized in Table 8.
The impact of a digital infrastructure is first analyzed by categorizing rural households into two groups, based on the median number of financial institutions at the county level—those in regions with low traditional finance and those in regions with higher traditional finance. The results in columns (1) and (2) of Table 8 indicate that digital infrastructure has a significant mitigating effect on the financial vulnerability of rural households in areas with limited access to traditional financial services. However, no significant effect is observed in regions with more extensive traditional financial infrastructure, suggesting that the positive impact of digital infrastructure is most pronounced in areas with limited traditional financial supply. This finding underscores the inclusivity of digital infrastructure, as it helps overcome the constraints posed by insufficient traditional financial services in rural areas.
The analysis is further refined by dividing rural households into sub-samples based on the digital finance index. The results in columns (3) and (4) of Table 8 show that the Broadband China pilot policy significantly reduces the financial vulnerability of households in high digital finance regions at the 1% significance level. In contrast, no significant effect is found in low digital finance regions. This suggests that for households in areas with low digital literacy, the construction of digital infrastructure alone may not substantially reduce financial vulnerability in the short term. It highlights the need for targeted interventions to improve digital literacy, particularly in regions where digital isolation prevails. Without addressing digital literacy, the potential of digital infrastructure to alleviate financial vulnerability remains limited, as these households may struggle to effectively engage with digital financial tools and services.
By considering both traditional and digital financial infrastructure, this study provides a more nuanced understanding of the factors influencing the financial vulnerability of rural households. Moreover, it emphasizes the importance of policies such as the Broadband China pilot in fostering sustainable development. However, future research should explore how to bridge the digital divide in rural areas by promoting digital literacy and addressing barriers to digital access. Such initiatives would be essential for ensuring that a digital infrastructure can be leveraged to its full potential in reducing the financial vulnerability of rural households, particularly those in more disadvantaged regions.

5. Further Analysis

5.1. Mechanism Analysis

5.1.1. Income Effect

Land transfer plays a crucial role in transforming the rural households’ agricultural production patterns, promoting the shift from small-scale farming to large-scale operations. This transition can significantly increase the rural households’ transfer incomes, reduce the economic burden on these households, and facilitate the modernization of agricultural practices. To investigate the potential effects of the Broadband China pilot policy on the rural households’ land transfer decisions, this paper analyzes the impact of digital infrastructure on land transfer behaviors.
As shown in column (1) of Table 9, the Broadband China pilot policy significantly increases the probability of rural households engaging in land transfer decisions at the 10% significance level. This suggests that the availability of digital infrastructure encourages rural households to participate in land transfer, potentially leading to higher transfer incomes and a reduction in financial vulnerability. By enabling better access to information and more efficient land management, digital infrastructure can serve as a catalyst for rural households to participate in land transfer markets. Further analysis divides land transfer decisions into two categories: land transfer-out (selling or leasing land to others) and land transfer-in (leasing land from others). The results in columns (2) and (3) of Table 9 reveal that digital infrastructure significantly increases the likelihood of land transfer-out, thereby enhancing the rental income from the land leased or sold to others. However, no significant effect is found for land transfer-in, indicating that the Broadband China pilot policy primarily influences the households to transfer land out, rather than to acquire land from others. This effect may be attributed to the opportunities a digital infrastructure provides for rural households to access broader land rental markets, increasing the incentive to lease out their land for additional income.
The development of the digital economy incentivizes rural households to allocate more labor to the non-farm sector, where they can earn industrial and commercial production or wage income. By promoting the transfer of land, the Broadband China pilot policy contributes to the scaling-up and intensification of an agricultural production. As households increasingly engage in moderate-scale operations, they can benefit from higher land rental incomes. This not only provides a steady source of income for rural households but also plays a crucial role in alleviating their financial vulnerability. Thus, the policy promotes both agricultural modernization and financial resilience by encouraging efficient land use and increasing household income through land transfer.

5.1.2. Security Effect

Digital infrastructure, particularly the Broadband China pilot policy, plays a significant role in improving the economic resilience of rural households. On the one hand, it opens new avenues for rural households, such as self-employment and non-farm employment, contributing to better economic stability and reduced financial vulnerability. On the other hand, it also enhances the financial literacy and risk-coping ability of rural households, acting as a safeguard for their long-term financial sustainability. This section explores the mechanisms through which the Broadband China pilot policy achieves these effects by examining its impact on rural households’ employment patterns and financial literacy.
One of the primary ways in which a digital infrastructure can enhance economic resilience is by promoting non-farm employment and entrepreneurship. To test this, the paper constructs two key variables: self-employment and non-farm employment, based on responses regarding household members’ employment status. The results reported in columns (1) and (2) of Table 10 indicate that the Broadband China pilot policy significantly increases the probability of self-employment among rural households, at the 5% significance level. However, no significant effect is found on non-farm employment, suggesting that while digital infrastructure is helpful for fostering entrepreneurial activities, it does not directly lead to higher levels of employment in non-farm sectors.
Beyond the employment opportunities, the Broadband China pilot policy also plays a crucial role in enhancing the financial literacy and risk coping ability of rural households. To examine this, the paper replaces the dependent variables in the regression model with indicators that measure financial literacy and risk management behaviors. Specifically, the study looks at whether households have bank loans other than mortgages, the amount of bank loans, and whether they have commercial insurance. The results in columns (3)–(5) of Table 10 show that the Broadband China pilot policy significantly reduces the loan burden of rural households, with a reduction in their overall debt levels at the 1% significance level. Additionally, the policy significantly increases the participation rate of rural households in commercial insurance.
The findings suggest that the Broadband China pilot policy has a ‘security effect’, improving both the employment prospects and financial behaviors of rural households. On the employment side, digital infrastructure facilitates the off-farm transfer of rural household members, particularly through entrepreneurship. This shift allows rural households to diversify their sources of income, reducing their reliance on traditional farming, and thereby mitigating economic vulnerability. On the financial side, a digital infrastructure improves the financial literacy of rural households, enabling them to make more informed decisions regarding loans and insurance. By reducing the household loan ratio and increasing participation in commercial insurance, the Broadband China pilot policy helps rural households manage risks more effectively and enhances their financial sustainability.

5.2. Time-Effects Tests

To further examine the temporal dynamics of a digital infrastructure in alleviating the rural household financial vulnerability, this paper explores the long-term effects of the Broadband China pilot policy. Building on the baseline regression, we replace the Broadband China pilot policy variable with a pilot duration variable, allowing us to assess how the length of time a region has been involved in the pilot influences its impact on financial vulnerability. We classify the pilot duration based on the number of months since the announcement of the pilot policy. Specifically, we categorize the pilot duration into two groups: (1) implementation periods of less than 12 months, and (2) pilot duration of more than 12 months. The regression results are shown in Table 11, where the estimated coefficient of the pilot duration variable is −0.043, and is significant at the 1% level. This indicates that the alleviating effect of the Broadband China pilot policy on rural household financial vulnerability becomes more pronounced as the duration of the policy increases. The longer the policy has been in effect, the greater its impact on reducing rural household financial vulnerability.
Further examination of the effects of the pilot duration on other key variables is reported in columns (2)–(5) of Table 11. These results show that the crowding-in effect of the Broadband China pilot policy on land transfer-out increases gradually with the length of time the policy has been in place. This suggests that over time, rural households become more likely to engage in land transfer activities as they benefit from the improvements of digital infrastructure. However, the policy’s effect on non-farm entrepreneurship and financial literacy does not exhibit a similar long-term trend, suggesting that while the policy continues to reduce financial vulnerability through land transfer, it does not have a sustained long-term impact on encouraging entrepreneurship or improving financial literacy.
These findings imply that the alleviating effects of the Broadband China pilot policy on rural household financial vulnerability are primarily driven by long-term, income-related mechanisms, such as land transfer and economic diversification. The increasing impact over time suggests that rural households gradually adapt to and benefit from the digital infrastructure, especially through activities that generate additional income streams. In contrast, the absence of long-term effects on non-farm entrepreneurship and financial literacy suggests that while the digital infrastructure enables immediate economic changes, its influence on enhancing broader entrepreneurial skills and financial knowledge is not sustained over time.

6. Conclusions and Policy Implications

6.1. Conclusions

This paper examines the impact of digital infrastructure on the rural household financial vulnerability using five periods of CFPS data from 2012, 2014, 2016, 2018, and 2020. Leveraging a quasi-natural experiment of the Broadband China pilot, we explore the heterogeneous effects on various household head characteristics and different household types. Additionally, we analyze the mechanisms and time effects of digital infrastructure in alleviating rural household financial vulnerability. Our findings suggest that the Broadband China pilot policy significantly reduces the financial vulnerability of rural households, with robust results across a series of sensitivity tests. We also observe that the ameliorating effects of a digital infrastructure are more pronounced in female-, and spousal-headed households, households in northern and eastern regions, and households with inadequate traditional or advanced digital finance infrastructure. In a further analysis, we identify two primary mechanisms at play. First, the income effect: the Broadband China pilot policy increases the probability of land transfer, facilitating land outflow and increasing rental income from land. Second, the security effect: the policy promotes non-farm entrepreneurship, enhances financial literacy, and improves the ability of rural households to manage financial risks. These combined effects lead to a reduction in the financial vulnerability of rural households. Furthermore, the alleviating impact of a digital infrastructure intensifies as the duration of the pilot increases, highlighting the growing benefits over time.

6.2. Policy Implications

The findings of this study offer several important policy recommendations:
(1)
Nationwide Rollout of the Broadband China pilot: Given the proven effectiveness of a digital infrastructure in reducing financial vulnerability, policymakers should consider expanding the Broadband China pilot nationwide. This would enhance the digitalization of rural areas, support agricultural development, and bridge the gap in digital literacy. It is essential not only to improve digital access, but also to address the digital divide in terms of Internet usage and literacy, ensuring that rural households are equipped with the skills to fully leverage digital tools for income generation and risk management.
(2)
Targeted and Diversified Digital Inclusion Policies: Our analysis reveals that the effects of the policy vary by household characteristics, particularly in terms of gender, marital status, and region. Policymakers should design targeted programs that cater to households headed by women, those without spouses, and households in economically disadvantaged regions. Providing specific policy incentives and support mechanisms for these groups will maximize the impact of digital infrastructure on reducing financial vulnerability.
(3)
Enhancing the Mechanism of Digital Infrastructure for Poverty Alleviation: The study underscores the income and security effects of digital infrastructure in improving financial outcomes for rural households. Policymakers should strengthen the role of a digital infrastructure in poverty alleviation by enhancing protections for vulnerable households and promoting scalable farming operations and non-farm entrepreneurship. A continued investment in digital infrastructure, alongside efforts to improve financial literacy, can help break the systemic barriers rural residents face in career choices and financial management. This, in turn, will contribute to high-quality employment opportunities, improve household financial literacy, and reduce the financial vulnerability of rural communities.
By leveraging the full potential of digital infrastructure, China can take a significant step towards reducing the financial vulnerability of rural households, promoting sustainable agricultural development, and improving the overall well-being of rural populations.

6.3. Limitations and Future Research Directions

This study has certain limitations that warrant further investigation. First, while this study has carefully addressed and mitigated a potential selection bias, future research should consider broader and more diverse samples. Specifically, it would be valuable to investigate rural households that migrate to urban areas for work or other reasons, as well as households in the transitional areas between urban and rural regions. These groups may experience distinct dynamics in relation to digital infrastructure and financial vulnerability, and their inclusion could provide deeper insights into the broader impact of digital infrastructure. Second, future research should explore how digital infrastructure affects digital adaptation, particularly among vulnerable groups, such as the elderly, and those with lower educational levels, to assess the potential digital inequality. The digital literacy of the workforce in the agricultural sector is generally lower than that of employees in other industries. Therefore, it is worth paying attention to the extent to which digitalization has improved the financial vulnerability of households in these groups. Additionally, the external validity of the findings across different national or regional contexts should be examined. While this study focuses on China, it remains important to investigate whether the benefits of digital infrastructure can be generalized to other countries or regions, with different socio-economic and technological contexts, especially considering varying levels of digital literacy and infrastructure.

Supplementary Materials

The following supporting information can be downloaded at: https://www.mdpi.com/article/10.3390/su17051856/s1, Table S1. Multivariate imputation; Table S2. Descriptive statistics of different groups; Table S3. Dynamic effect of the Broadband China policy on household financial vulnerability: event study estimates.

Author Contributions

Conceptualization, Y.D. and B.Y.; methodology, Y.D.; software, B.Y.; data curation, H.T.; writing—original draft preparation, Y.D. and B.Y.; writing—review and editing, H.T. and X.S.; supervision, X.S.; project administration, X.S.; funding acquisition, B.Y. and X.S. All the authors contributed to drafting the manuscript and approved the final version of the manuscript. All authors have read and agreed to the published version of the manuscript.

Funding

This study was supported by the National Social Science Fund of China (Grant No.717ZDA090) and the Fundamental Research Funds for the Central Universities in UIBE (20QN01).

Institutional Review Board Statement

Not applicable.

Informed Consent Statement

Not applicable.

Data Availability Statement

Publicly available datasets were analyzed in this study. This data is available online: http://isss.pku.edu.cn/sjsj/cfpsxm/index.htm (accessed on 1 November 2024).

Conflicts of Interest

The authors declare no conflict of interest.

References

  1. Bialowolski, P.; Weziak-Bialowolska, D. The index of household financial condition, combining subjective and objective indicators: An appraisal of Italian households. Soc. Indic. Res. 2014, 118, 365–385. [Google Scholar] [CrossRef]
  2. Alpanda, S.; Zubairy, S. Addressing household indebtedness: Monetary, fiscal or macroprudential policy? Eur. Econ. Rev. 2017, 92, 47–73. [Google Scholar] [CrossRef]
  3. O’Connor, G.E.; Newmeyer, C.E.; Wong, N.Y.C.; Bayuk, J.B.; Cook, L.A.; Komarova, Y.; Warmath, D. Conceptualizing the multiple dimensions of consumer financial vulnerability. J. Bus. Res. 2019, 100, 421–430. [Google Scholar] [CrossRef]
  4. Niu, G.; Jin, X.; Wang, Q.; Zhou, Y. Broadband infrastructure and digital financial inclusion in rural China. China Econ. Rev. 2022, 76, 101853. [Google Scholar] [CrossRef]
  5. Piketty, T.; Yang, L.; Zucman, G. Capital accumulation, private property, and rising inequality in China, 1978–2015. Am. Econ. Rev. 2019, 109, 2469–2496. [Google Scholar] [CrossRef]
  6. Cai, Y.; Huang, Z.; Zhang, X. FinTech adoption and rural economic development: Evidence from China. Pac.-Basin Financ. J. 2024, 83, 102264. [Google Scholar] [CrossRef]
  7. Acemoglu, D.; Restrepo, P. Automation and new tasks: How technology displaces and reinstates labor. J. Econ. Perspect. 2019, 33, 3–30. [Google Scholar] [CrossRef]
  8. Goldfarb, A.; Tucker, C. Digital economics. J. Econ. Lit. 2019, 57, 3–43. [Google Scholar] [CrossRef]
  9. Czernich, N.; Falck, O.; Kretschmer, T.; Woessmann, L. Broadband infrastructure and economic growth. Econ. J. 2011, 121, 505–532. [Google Scholar] [CrossRef]
  10. Niebel, T. ICT and economic growth–comparing developing, emerging and developed countries. World Dev. 2018, 104, 197–211. [Google Scholar] [CrossRef]
  11. Stiroh, K.J. Information technology and the US productivity revival: What do the industry data say? Am. Econ. Rev. 2002, 92, 1559–1576. [Google Scholar] [CrossRef]
  12. Yang, M.; Zheng, S.; Zhou, L. Broadband internet and enterprise innovation. China Econ. Rev. 2022, 74, 101802. [Google Scholar] [CrossRef]
  13. Akerman, A.; Gaarder, I.; Mogstad, M. The skill complementarity of broadband internet. Q. J. Econ. 2015, 130, 1781–1824. [Google Scholar] [CrossRef]
  14. Atasoy, H. The effects of broadband internet expansion on labor market outcomes. ILR Rev. 2013, 66, 315–345. [Google Scholar] [CrossRef]
  15. Forman, C.; Goldfarb, A.; Greenstein, S. The Internet and local wages: A puzzle. Am. Econ. Rev. 2012, 102, 556–575. [Google Scholar] [CrossRef]
  16. Hjort, J.; Poulsen, J. The arrival of fast internet and employment in Africa. Am. Econ. Rev. 2019, 109, 1032–1079. [Google Scholar] [CrossRef]
  17. Kuhn, P.; Skuterud, M. Internet job search and unemployment durations. Am. Econ. Rev. 2004, 94, 218–232. [Google Scholar] [CrossRef]
  18. Jin, X.; Ma, B.; Zhang, H. Impact of fast internet access on employment: Evidence from a broadband expansion in China. China Econ. Rev. 2023, 81, 102038. [Google Scholar] [CrossRef]
  19. Yang, T.; Zhang, X. FinTech adoption and financial inclusion: Evidence from household consumption in China. J. Bank. Financ. 2022, 145, 106668. [Google Scholar] [CrossRef]
  20. Fernandes, A.M.; Mattoo, A.; Nguyen, H.; Schiffbauer, M. The internet and Chinese exports in the pre-ali baba era. J. Dev. Econ. 2019, 138, 57–76. [Google Scholar] [CrossRef]
  21. Ning, M.; Gong, J.; Zheng, X.; Zhuang, J. Does new rural pension scheme decrease elderly labor supply? Evidence from CHARLS. China Econ. Rev. 2016, 41, 315–330. [Google Scholar] [CrossRef]
  22. Guo, N.; Huang, W.; Wang, R. Public pensions and family dynamics: Eldercare, child investment, and son preference in rural China. J. Dev. Econ. 2025, 172, 103390. [Google Scholar] [CrossRef]
  23. Sun, X.; Jackson, S.; Carmichael, G.; Sleigh, A.C. Catastrophic medical payment and financial protection in rural China: Evidence from the New Cooperative Medical Scheme in Shandong Province. Health Econ. 2009, 18, 103–119. [Google Scholar] [CrossRef] [PubMed]
  24. Ampudia, M.; Van Vlokhoven, H.; Żochowski, D. Financial fragility of euro area households. J. Financ. Stab. 2016, 27, 250–262. [Google Scholar] [CrossRef]
  25. Daud, S.N.M.; Marzuki, A.; Ahmad, N.; Kefeli, Z. Financial vulnerability and its determinants: Survey evidence from Malaysian households. Emerg. Mark. Financ. Trade 2019, 55, 1991–2003. [Google Scholar] [CrossRef]
  26. Anderloni, L.; Bacchiocchi, E.; Vandone, D. Household financial vulnerability: An empirical analysis. Res. Econ. 2012, 66, 284–296. [Google Scholar] [CrossRef]
  27. Lusardi, A.; Michaud, P.C.; Mitchell, O.S. Optimal financial knowledge and wealth inequality. J. Political Econ. 2017, 125, 431–477. [Google Scholar] [CrossRef]
  28. Noerhidajati, S.; Purwoko, A.B.; Werdaningtyas, H.; Kamil, A.I.; Dartanto, T. Household financial vulnerability in Indonesia: Measurement and determinants. Econ. Model. 2021, 96, 433–444. [Google Scholar] [CrossRef]
  29. Yusof, S.A.; Rokis, R.A.; Jusoh, W.J.W. Financial fragility of urban households in Malaysia. J. Ekon. Malays. 2015, 49, 15–24. [Google Scholar] [CrossRef]
  30. Cunguara, B.; Darnhofer, I. Assessing the impact of improved agricultural technologies on household income in rural Mozambique. Food Policy 2011, 36, 378–390. [Google Scholar] [CrossRef]
  31. Gallagher, J.; Hartley, D. Household finance after a natural disaster: The case of hurricane Katrina. Am. Econ. J. Econ. Policy 2017, 9, 199–228. [Google Scholar] [CrossRef]
  32. Del Valle, A.; Scharlemann, T.; Shore, S. Household financial decision-making after natural disasters: Evidence from Hurricane Harvey. J. Financ. Quant. Anal. 2024, 59, 2459–2485. [Google Scholar] [CrossRef]
  33. Jappelli, T.; Pagano, M.; Di Maggio, M. Households’ indebtedness and financial fragility. J. Financ. Manag. Mark. Inst. 2013, 1, 23–46. [Google Scholar]
  34. Yan, M.; Cao, X. Digital Economy Development, Rural Land Certification, and Rural Industrial Integration. Sustainability 2024, 16, 4640. [Google Scholar] [CrossRef]
  35. Shen, Y.; Guo, X.; Zhang, X. Digital financial inclusion, land transfer, and agricultural green total factor productivity. Sustainability 2023, 15, 6436. [Google Scholar] [CrossRef]
  36. Zeng, H.; Chen, J.; Gao, Q. The impact of digital technology use on farmers’ land transfer-in: Empirical evidence from Jiangsu, China. Agriculture 2024, 14, 89. [Google Scholar] [CrossRef]
  37. Zhang, F.; Bao, X.; Deng, X.; Xu, D. Rural land transfer in the information age: Can internet use affect farmers’ land transfer-in? Land 2022, 11, 1761. [Google Scholar] [CrossRef]
  38. Zheng, P.; Li, Y.; Li, X. The impact of the digital economy on land transfer-out decisions among Chinese farmers: Evidence from CHFS micro-data. Sci. Rep. 2024, 14, 19684. [Google Scholar] [CrossRef]
  39. Peng, K.; Yang, C.; Chen, Y. Land transfer in rural China: Incentives, influencing factors and income effects. Appl. Econ. 2020, 52, 5477–5490. [Google Scholar] [CrossRef]
  40. Liu, S.; Xu, H.; Deng, L. Does land transfer help alleviate relative poverty in China? An analysis based on income and capability perspective. Appl. Econ. 2024, 57, 723–735. [Google Scholar] [CrossRef]
  41. Zhang, Y.; Bie, M.; Li, Y.; Zhang, S. Promoting Sustainability: Land Transfer and Income Inequality Among Farm Households. Land 2024, 13, 1757. [Google Scholar] [CrossRef]
  42. Behrman, J.R.; Mitchell, O.S.; Soo, C.K.; Bravo, D. How financial literacy affects household wealth accumulation. Am. Econ. Rev. 2012, 102, 300–304. [Google Scholar] [CrossRef] [PubMed]
  43. Dobson, A.J.; Barnett, A.G. An Introduction to Generalized Linear Models; Chapman and Hall/CRC: Boca Raton, FL, USA, 2018. [Google Scholar]
  44. Lusardi, A.; Schneider, D.J.; Tufano, P. Financially Fragile Households: Evidence and Implications (No. w17072); National Bureau of Economic Research: Cambridge, MA, USA, 2011. [Google Scholar]
  45. Beck, T.; Levine, R.; Levkov, A. Big bad banks? The winners and losers from bank deregulation in the United States. J. Financ. 2010, 65, 1637–1667. [Google Scholar] [CrossRef]
  46. Kong, D.; Li, J.; Jin, Z. Can Digital Economy Drive Income Level Growth in the Context of Sustainable Development? Fresh Evidence from “Broadband China”. Sustainability 2023, 15, 13170. [Google Scholar] [CrossRef]
  47. Wei, J.; Zhang, X. The role of big data in promoting green development: Based on the quasi-natural experiment of the big data experimental zone. Int. J. Environ. Res. Public Health 2023, 20, 4097. [Google Scholar] [CrossRef]
  48. Nunn, N.; Qian, N. US food aid and civil conflict. Am. Econ. Rev. 2014, 104, 1630–1666. [Google Scholar] [CrossRef]
  49. Faisal, S.; Tutz, G. Multiple imputation using nearest neighbor methods. Inf. Sci. 2021, 570, 500–516. [Google Scholar] [CrossRef]
  50. Zhang, Y.; Feng, D.; Wang, Y.; Yao, B.; Deng, Y. Can intergenerational relationships mitigate digital exclusion among China’s elderly population? Appl. Econ. 2024, 1–21. [Google Scholar] [CrossRef]
Figure 1. Relationship between digital infrastructure and rural household financial vulnerability.
Figure 1. Relationship between digital infrastructure and rural household financial vulnerability.
Sustainability 17 01856 g001
Figure 2. Pre-event parallel trend tests.
Figure 2. Pre-event parallel trend tests.
Sustainability 17 01856 g002
Figure 3. Placebo test. (A) In-space placebo test; (B) In-time placebo test.
Figure 3. Placebo test. (A) In-space placebo test; (B) In-time placebo test.
Sustainability 17 01856 g003
Table 1. Definitions and constructions of key variables.
Table 1. Definitions and constructions of key variables.
TypeVariablesDescription
Dependent variableHFVHousehold financial vulnerability
Independent variableBroadbandWhether the household is located in the Broadband China pilot policy
Household head controlsGenderGender of household head
AgeAge of household head
Age2Square of age of household head
MarriageMarital status
EducationEducation background of household head
HealthSelf-reported health of household head
PensionWhether the household head receives a pension
Family controlsHouse_sizeHousehold size
House_oldPopulation aged 65 and over as a proportion of total household size
House_childPopulation aged 16 and less as a proportion of total household size
House_assetHousehold asset-household loan
House_incomeHousehold net income
House_machineryTotal value of household agricultural machinery
InstitutionNumber of financial institutions in the county where the household is located
Table 2. Descriptive statistics.
Table 2. Descriptive statistics.
(1)(2)(3)(4)(5)
VariablesNMeanSdMinMax
HFV29,8380.8190.90602
Broadband29,8380.1610.36801
Gender29,8380.5870.49201
Age29,83850.4914.191695
Age229,838275114492569025
Marriage29,8380.8460.36101
Education29,8382.3761.38019
Health29,8383.1681.27015
Pension29,8380.4310.49501
House_size29,8383.9161.958121
House_old29,8380.1640.29801
House_child29,8380.1160.18501
House_asset29,838291,683950,118−7.992 × 1075.018 × 107
House_income29,83844,03582,87608.336 × 106
House_machinery29,838187911,5920700,000
Institution29,83831.9664.290875
Note: The data on financial institutions in each county is sourced from the State Administration of Financial Supervision and Administration, while other data are obtained from the CFPS database.
Table 3. Baseline results.
Table 3. Baseline results.
Panel A. Regression Coefficients of Ordinal Logistic Model
(1) OLogit(2) OLogit(3) OLogit(4) OLogit
VariablesHFVHFVHFVHFV
Broadband−0.096 ***−0.083 **−0.074 **−0.076 **
(0.036)(0.036)(0.037)(0.037)
Gender −0.008 0.008
(0.026) (0.026)
Age −0.033 *** −0.007
(0.006) (0.006)
Age2 0.000 *** −0.000
(0.000) (0.000)
Marriage −0.128 *** −0.027
(0.037) (0.038)
Education −0.062 *** 0.003
(0.010) (0.010)
Health 0.100 *** 0.086 ***
(0.010) (0.010)
Pension −0.031 0.012
(0.026) (0.026)
House_size 0.0050.010
(0.008)(0.008)
House_old 0.219 ***0.452 ***
(0.046)(0.056)
House_child 0.554 ***0.401 ***
(0.070)(0.073)
House_asset 0.0000.000
(0.000)(0.000)
House_income −0.000 ***−0.000 ***
(0.000)(0.000)
House_machinery −0.000 ***−0.000 ***
(0.000)(0.000)
Institution −0.000−0.000
(0.000)(0.000)
Constant0.827 ***1.177 ***0.897 ***0.955 ***
(0.007)(0.062)(0.019)(0.068)
Province FEYesYesYesYes
Year FEYesYesYesYes
Observations29,83029,83029,83029,830
Pseudo R-squared0.0100.0140.0430.046
Panel B. Marginal Effects
No Vulnerability (HFV = 0)Low Vulnerability (HFV = 1)High Vulnerability (HFV = 2)
Broadband0.020 **−0.002 **−0.018 **
(0.009)(0.001)(0.008)
Note: Standard errors in parenthesis are clustered at the household level. **, and *** denote significant at the 5%, and 1% levels, respectively.
Table 4. Endogeneity test: IV.
Table 4. Endogeneity test: IV.
(1)(2)
VariablesBroadbandHFV
Broadband −0.127 **
(0.053)
Tele × Users × Post0.787 ***
(0.015)
ControlsYesYes
Province FEYesYes
Year FEYesYes
Observations12,78312,783
Adjusted R-squared0.5640.026
Underidentification test (Anderson canon. corr. LM statistic): 2602.03
Chi-sq (1) p-val 0.0000
Weak identification test (Cragg-Donald Wald F statistic): 3257.34
(Stock-Wright LM S statistic): 5.72
Hansen J statistic (overidentification test of all instruments): 0.000
Note: Standard errors in parenthesis are clustered at the household level. **, and *** denote significant at the 5% and 1% levels, respectively.
Table 5. Robustness tests.
Table 5. Robustness tests.
(1) OLogit(2) OLogit(3) PSM-DID(4) OLogit(5) OLogit
VariablesHFVHFVHFVHFVHFV
Broadband−0.008 ***−0.097 **−0.097 ***−0.076 **−0.083 **
(0.002)(0.040)(0.037)(0.036)(0.033)
ControlsYesYesYesYesYes
Province FEYesYesYesYesYes
Year FEYesYesYesYesYes
Observations19,89325,38227,72732,37829,830
Pseudo R-squared0.0160.0130.0140.0430.014
Note: Standard errors in parenthesis are clustered at the household level from the columns (1)–(4). **, and *** denote significant at the 5%, and 1% levels, respectively.
Table 6. Heterogeneity analysis: household head characteristics.
Table 6. Heterogeneity analysis: household head characteristics.
(1) OLogit(2) OLogit(3) OLogit(4) OLogit
VariablesHFVHFVHFVHFV
ModelsFemaleMaleNo SpouseSpouse
Broadband−0.158 ***−0.023−0.099−0.086 **
(0.055)(0.047)(0.095)(0.039)
ControlsYesYesYesYes
Province FEYesYesYesYes
Year FEYesYesYesYes
Observations12,30817,522459025,240
Pseudo R-squared0.0140.0170.0170.015
Note: Standard errors in parenthesis are clustered at the household level. ** and *** denote significant at the 5% and 1% levels, respectively.
Table 7. Heterogeneity analysis: household characteristics.
Table 7. Heterogeneity analysis: household characteristics.
(1) OLogit(2) OLogit(3) OLogit(4) OLogit(5) OLogit(6) OLogit
VariablesHFVHFVHFVHFVHFVHFV
ModelsNorthSouthEasternWestern and CentralSmall-SizedLarge-Sized
Broadband−0.094 **−0.061−0.245 ***−0.078−0.060−0.118 **
(0.045)(0.061)(0.058)(0.067)(0.053)(0.049)
ControlsYesYesYesYesYesYes
Province FEYesYesYesYesYesYes
Year FEYesYesYesYesYesYes
Observations18,83810,99213,371856213,59916,231
Pseudo R-squared0.0120.0190.0190.0120.0210.018
Note: Standard errors in parenthesis are clustered at the household level. ** and *** denote significant at the 5% and 1% levels, respectively.
Table 8. Heterogeneity analysis: financial infrastructure.
Table 8. Heterogeneity analysis: financial infrastructure.
(1) OLogit(2) OLogit(3) OLogit(4) OLogit
VariablesHFVHFVHFVHFV
ModelsLow Traditional FinanceHigh Traditional FinanceLow Digital FinanceHigh Digital Finance
Broadband−0.267 ***−0.040−0.031−0.134 ***
(0.083)(0.079)(0.057)(0.046)
ControlsYesYesYesYes
Province FEYesYesYesYes
Year FEYesYesYesYes
Observations14,29815,53210,02519,805
Pseudo R-squared0.01550.01700.01100.0166
Note: Standard errors in parenthesis are clustered at the household level. *** denotes significance at the 1% level. Columns (1) and (2) group the data using the number of county-level financial institutions as a proxy for traditional finance. Columns (3) and (4) use the Digital Finance Depth Index of DFII from Peking University to measure digital finance, which is a comprehensive indicator of digital payment, digital credit, digital insurance, and digital consumption.
Table 9. Mechanism analysis: income effect.
Table 9. Mechanism analysis: income effect.
(1) OLS(2) OLS(3) OLS
VariablesLandtransferLandoutLandin
Broadband0.014 *0.017 ***−0.001
(0.007)(0.006)(0.006)
ControlsYesYesYes
Province FEYesYesYes
Year FEYesYesYes
Observations29,83029,83029,830
Adjusted R-squared0.0350.0390.047
Note: Standard errors in parenthesis are clustered at the household level. * and *** denote significant at the 10% and 1% levels, respectively.
Table 10. Mechanism analysis: security effect.
Table 10. Mechanism analysis: security effect.
(1) OLS(2) OLS(3) OLS(4) OLS(5) OLS
VariablesStartupEmployedIsloanLoanInsurance
Broadband0.007 **−0.002−0.004−494.379 ***0.021 ***
(0.003)(0.007)(0.005)(177.848)(0.007)
ControlsYesYesYesYesYes
Province FEYesYesYesYesYes
Year FEYesYesYesYesYes
Observations29,83029,83029,83029,83029,830
Adjusted R-squared0.0320.2350.0590.0360.109
Note: Standard errors in parenthesis are clustered at the household level. ** and *** denote significant at the 5% and 1% levels, respectively.
Table 11. Time-effects test.
Table 11. Time-effects test.
(1) OLogit(2) OLS(3) OLS(4) OLS(5) OLS
Variables HFV Landtransfer Landout Startup Insurance
Time−0.043 ***0.022 ***0.014 ***−0.000−0.001
(0.013)(0.007)(0.005)(0.003)(0.006)
ControlsYesYesYesYesYes
Province FEYesYesYesYesYes
Year FEYesYesYesYesYes
Observations29,83029,83029,83029,83029,830
Adjusted R-squared0.0490.0350.0390.0320.109
Note: Standard errors in parenthesis are clustered at the household level. *** denotes significant at the 1% level.
Disclaimer/Publisher’s Note: The statements, opinions and data contained in all publications are solely those of the individual author(s) and contributor(s) and not of MDPI and/or the editor(s). MDPI and/or the editor(s) disclaim responsibility for any injury to people or property resulting from any ideas, methods, instructions or products referred to in the content.

Share and Cite

MDPI and ACS Style

Deng, Y.; Tao, H.; Yao, B.; Shi, X. The Impact of Digital Infrastructure on Rural Household Financial Vulnerability: A Quasi-Natural Experiment from the Broadband China Strategy. Sustainability 2025, 17, 1856. https://doi.org/10.3390/su17051856

AMA Style

Deng Y, Tao H, Yao B, Shi X. The Impact of Digital Infrastructure on Rural Household Financial Vulnerability: A Quasi-Natural Experiment from the Broadband China Strategy. Sustainability. 2025; 17(5):1856. https://doi.org/10.3390/su17051856

Chicago/Turabian Style

Deng, Yunke, Haixin Tao, Bolun Yao, and Xuezhu Shi. 2025. "The Impact of Digital Infrastructure on Rural Household Financial Vulnerability: A Quasi-Natural Experiment from the Broadband China Strategy" Sustainability 17, no. 5: 1856. https://doi.org/10.3390/su17051856

APA Style

Deng, Y., Tao, H., Yao, B., & Shi, X. (2025). The Impact of Digital Infrastructure on Rural Household Financial Vulnerability: A Quasi-Natural Experiment from the Broadband China Strategy. Sustainability, 17(5), 1856. https://doi.org/10.3390/su17051856

Note that from the first issue of 2016, this journal uses article numbers instead of page numbers. See further details here.

Article Metrics

Back to TopTop