Toward Sustainable Infrastructure: Advanced Hazard Prediction and Geotechnical Risk Management in the Jiroft Dam Project, Iran
Abstract
1. Introduction
2. Landslide Mechanics and Stabilization Strategies
2.1. Key Factors in Landslide Initiation
2.2. Displacement Evaluation in Landslides
2.3. Fundamental Solutions for Landslides
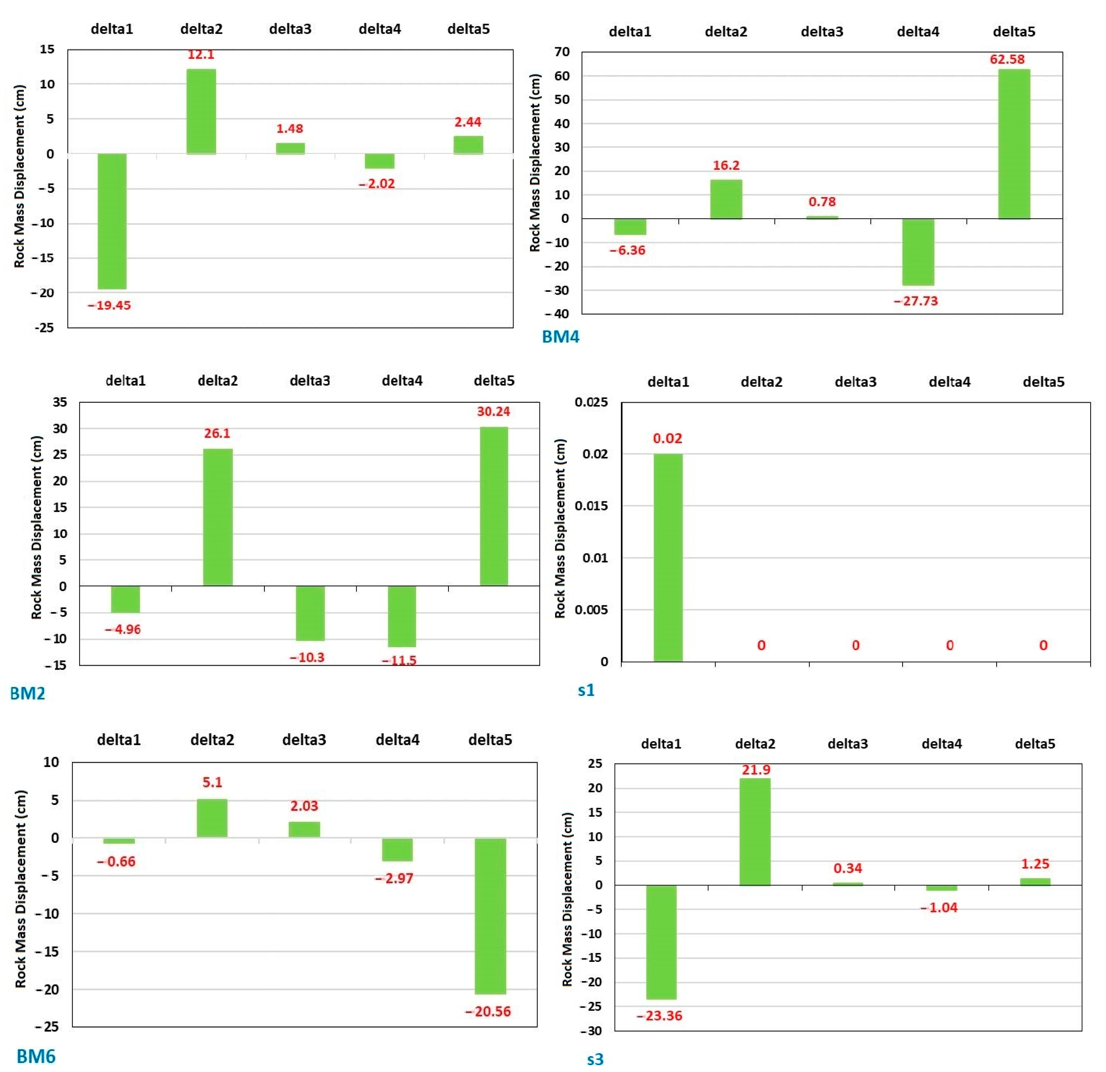
3. Case Study
Field Measurement and Equipment Efficiency
4. Discussion
Global Landslide Events and Stabilization Techniques
5. Conclusions
Author Contributions
Funding
Institutional Review Board Statement
Informed Consent Statement
Data Availability Statement
Conflicts of Interest
References
- Krøgli, I.K.; Devoli, G.; Colleuille, H.; Boje, S.; Sund, M.; Engen, I.K. The Norwegian forecasting and warning service for rainfall-and snowmelt-induced landslides. Nat. Hazards Earth Syst. Sci. 2018, 18, 1427–1450. [Google Scholar] [CrossRef]
- Akpan, A.E.; Ekwok, S.E.; Ebong, E.D. Seasonal reversals in groundwater flow direction and its role in the recurrent Agwagune landslide problem: A geophysical and geological appraisal. Environ. Earth Sci. 2016, 75, 429. [Google Scholar] [CrossRef]
- Guthrie, R.H.; Mitchell, S.J.; Lanquaye-Opoku, N.; Evans, S.G. Extreme weather and landslide initiation in coastal British Columbia. Q. J. Eng. Geol. Hydrogeol. 2010, 43, 417–428. [Google Scholar] [CrossRef]
- Borgatti, L.; Corsini, A.; Barbieri, M.; Sartini, G.; Truffelli, G.; Caputo, G.; Puglisi, C. Large reactivated landslides in weak rock masses: A case study from the Northern Apennines (Italy). Landslides 2006, 3, 115–124. [Google Scholar] [CrossRef]
- Brand, E.W.; Premchitt, J.E.R.A.S.A.K.; Phillipson, H.B. Relationship between rainfall and landslides in Hong Kong. In Proceedings of the 4th International Symposium on Landslides, Toronto, OT, Canada, 16–21 September 1984; Canadian Geotechnical Society: Toronto, OT, Canada, 1984; Volume 1, pp. 276–284. [Google Scholar]
- Yin, Y.; Cheng, Y.; Liang, J.; Wang, W. Heavy-rainfall-induced catastrophic rockslide-debris flow at Sanxicun, Dujiangyan, after the Wenchuan Ms 8.0 earthquake. Landslides 2016, 13, 9–23. [Google Scholar] [CrossRef]
- Chen, H.; Dadson, S.; Chi, Y.G. Recent rainfall-induced landslides and debris flow in northern Taiwan. Geomorphology 2006, 77, 112–125. [Google Scholar] [CrossRef]
- Peng, J.; Fan, Z.; Wu, D.; Zhuang, J.; Dai, F.; Chen, W.; Zhao, C. Heavy rainfall triggered loess–mudstone landslide and subsequent debris flow in Tianshui, China. Eng. Geol. 2015, 186, 79–90. [Google Scholar] [CrossRef]
- Li, C.; Ma, T.; Zhu, X.; Li, W. The power–law relationship between landslide occurrence and rainfall level. Geomorphology 2011, 130, 221–229. [Google Scholar] [CrossRef]
- Hong, Y.; Hiura, H.; Shino, K.; Sassa, K.; Suemine, A.; Fukuoka, H.; Wang, G. The influence of intense rainfall on the activity of large-scale crystalline schist landslides in Shikoku Island, Japan. Landslides 2005, 2, 97–105. [Google Scholar] [CrossRef]
- Tang, C.; Zhu, J.; Qi, X.; Ding, J. Landslides induced by the Wenchuan earthquake and the subsequent strong rainfall event: A case study in the Beichuan area of China. Eng. Geol. 2011, 122, 22–33. [Google Scholar] [CrossRef]
- Wen, B.; Wang, S.; Wang, E.; Zhang, J. Characteristics of rapid giant landslides in China. Landslides 2004, 1, 247–261. [Google Scholar] [CrossRef]
- Durgin, P.B. Landslides and the Weathering of Granitic Rocks. In Reviews in Engineering Geology; Geological Society of America: Boulder, CO, USA, 1977; Volume III. [Google Scholar]
- Chen, H.; Lee, C.F. A dynamic model for rainfall-induced landslides on natural slopes. Geomorphology 2003, 51, 269–288. [Google Scholar] [CrossRef]
- Sassa, K.; Fukuoka, H.; Wang, F.; Wang, G. Landslides induced by a combined effect of earthquake and rainfall. Prog. Landslide Sci 2007, 1, 193–207. [Google Scholar]
- Gariano, S.L.; Guzzetti, F. Landslides in a changing climate. Earth-Sci. Rev. 2016, 162, 227–252. [Google Scholar] [CrossRef]
- Sujatha, E.R.; Sudarsan, J.S.; Nithiyanantham, S. A review on sustainable reinforcing techniques to stabilize slopes against landslides. Int. J. Environ. Sci. Technol. 2023, 20, 13873–13882. [Google Scholar] [CrossRef]
- Guzzetti, F.; Gariano, S.L.; Peruccacci, S.; Brunetti, M.T.; Melillo, M. Rainfall and landslide initiation. In Rainfall; Elsevier: Amsterdam, The Netherlands, 2022; pp. 427–450. [Google Scholar]
- Amarasinghe, U.B. Mechanism of slow-moving slope failure in Kahagolla, Sri Lanka. J. Geol. Soc. Sri Lanka 2022, 23, 55–67. [Google Scholar] [CrossRef]
- Ishii, Y.; Ota, K.; Kuraoka, S.; Tsunaki, R. Evaluation of slope stability by finite element method using observed displacement of landslide. Landslides 2012, 9, 335–348. [Google Scholar] [CrossRef]
- Murgia, I.; Giadrossich, F.; Mao, Z.; Cohen, D.; Capra, G.F.; Schwarz, M. Modeling shallow landslides and root reinforcement: A review. Ecol. Eng. 2022, 181, 106671. [Google Scholar] [CrossRef]
- Kim, S.S.; Kim, D.Y.; Nho, H. Risk Assessment of Steep Slope Using Drone Mapping and Terrestrial LIDAR in Korea. Int. Arch. Photogramm. Remote Sens. Spat. Inf. Sci. 2020, 44, 81–86. [Google Scholar] [CrossRef]
- Savvaidis, P.D. Existing landslide monitoring systems and techniques. In Proceedings of the Conference from Stars to Earth and Culture, Thessaloniki, Greece; 2003; Volume 1, pp. 242–258. [Google Scholar]
- Sitar, N.; Dooley, J. Landslide stabilization techniques for the La Conchita landslide, California. J. Geotech. Geoenviron. Eng. 2007, 133, 1715–1725. [Google Scholar]
- Crozier, M.J. Landslide risk assessment and management in the La Conchita area: A case study. Landslides 2010, 7, 247–256. [Google Scholar]
- He, Y.; Liu, S. Application of geo-grids in slope stabilization after the La Conchita landslide. Soil Dyn. Earthq. Eng. 2015, 75, 34–42. [Google Scholar]
- Zhao, L.; Zhang, Y. Stabilization measures for landslides in Gansu Province, China: A case study. Eng. Geol. 2013, 163, 1–12. [Google Scholar] [CrossRef]
- Liu, J.; Wang, L. Seismic stability analysis of slopes in Gansu Province, China, and mitigation strategies. Landslides 2014, 11, 723–732. [Google Scholar]
- Coccia, S.; Vannucci, P. The Vajont disaster: Geotechnical analysis and lessons learned. Landslides 2010, 7, 475–485. [Google Scholar]
- Todorov, M.; Stoyanov, S. Landslide mitigation and monitoring systems at dams: Lessons from the Vajont disaster. Geotech. Test. J. 2012, 35, 198–210. [Google Scholar]






| ID | Stage 0 Elevation | Stage 1 Elevation | Stage 2 Elevation | Stage 3 Elevation | Stage 4 Elevation | Stage 5 Elevation | Stage 6 Elevation | Difference Elevation Codes (cm) | Standard Deviation (cm) | Accuracy (cm) |
|---|---|---|---|---|---|---|---|---|---|---|
| BM2 | 1099.0614 | 1099.0614 | 1099.111 | 1098.85 | 1098.953 | 1099.068 | 1098.766 | 29.58 | 0.12 | 0.12 |
| BM4 | 1121.8484 | 1121.8484 | 1121.912 | 1121.75 | 1121.7422 | 1122.0195 | 1121.3937 | 45.47 | 0.1 | 0.05 |
| BM6 | 1074.9424 | 1074.9424 | 1074.949 | 1074.898 | 1074.8777 | 1074.9074 | 1075.113 | −17.06 | 0.05 | 0.13 |
| S1 | 1084.3152 | 1084.3152 | 1084.315 | 1084.315 | 1084.315 | 1084.315 | 1084.315 | 0.02 | 0.09 | 0.11 |
| S3 | 1116.5554 | 1116.5554 | 1116.789 | 1116.57 | 1116.5666 | 1116.577 | 1116.5645 | −0.91 | 0.11 | 0.06 |
| S5 | 1090.478 | 1070.4785 | 1070.673 | 1070.552 | 1070.5372 | 1070.5574 | 1070.533 | −5.45 | 0.05 | 0.08 |
Disclaimer/Publisher’s Note: The statements, opinions and data contained in all publications are solely those of the individual author(s) and contributor(s) and not of MDPI and/or the editor(s). MDPI and/or the editor(s) disclaim responsibility for any injury to people or property resulting from any ideas, methods, instructions or products referred to in the content. |
© 2025 by the authors. Licensee MDPI, Basel, Switzerland. This article is an open access article distributed under the terms and conditions of the Creative Commons Attribution (CC BY) license (https://creativecommons.org/licenses/by/4.0/).
Share and Cite
Soltaninejad, S.; Abdollahi, M.S.; BP, N.; Marandi, S.M.; Abdollahi, M.; Abdollahi, S. Toward Sustainable Infrastructure: Advanced Hazard Prediction and Geotechnical Risk Management in the Jiroft Dam Project, Iran. Sustainability 2025, 17, 1465. https://doi.org/10.3390/su17041465
Soltaninejad S, Abdollahi MS, BP N, Marandi SM, Abdollahi M, Abdollahi S. Toward Sustainable Infrastructure: Advanced Hazard Prediction and Geotechnical Risk Management in the Jiroft Dam Project, Iran. Sustainability. 2025; 17(4):1465. https://doi.org/10.3390/su17041465
Chicago/Turabian StyleSoltaninejad, Sanaz, Mohammad Sina Abdollahi, Naveen BP, Seyed Morteza Marandi, Marziyeh Abdollahi, and Saranaz Abdollahi. 2025. "Toward Sustainable Infrastructure: Advanced Hazard Prediction and Geotechnical Risk Management in the Jiroft Dam Project, Iran" Sustainability 17, no. 4: 1465. https://doi.org/10.3390/su17041465
APA StyleSoltaninejad, S., Abdollahi, M. S., BP, N., Marandi, S. M., Abdollahi, M., & Abdollahi, S. (2025). Toward Sustainable Infrastructure: Advanced Hazard Prediction and Geotechnical Risk Management in the Jiroft Dam Project, Iran. Sustainability, 17(4), 1465. https://doi.org/10.3390/su17041465

