A Comprehensive Analysis of Soil Erosion in Coastal Areas Based on an Unmanned Aerial Vehicle and Deep Learning Approach
Abstract
1. Introduction
- Five machine learning techniques are applied to model the classification of soil erosion intensity.
- The convolutional neural network model demonstrates the best performance in soil erosion modeling.
- The normalized difference salinity index is identified as the most important factor influencing soil erosion.
2. Related Works
3. Materials and Methods
3.1. Study Area
3.2. Data Collection and Pre-Processing
3.3. Methods
3.3.1. Machine Learning Models
3.3.2. SHAP Interpretation Techniques
3.4. Model Evaluation
4. Results and Discussion
4.1. Model Results
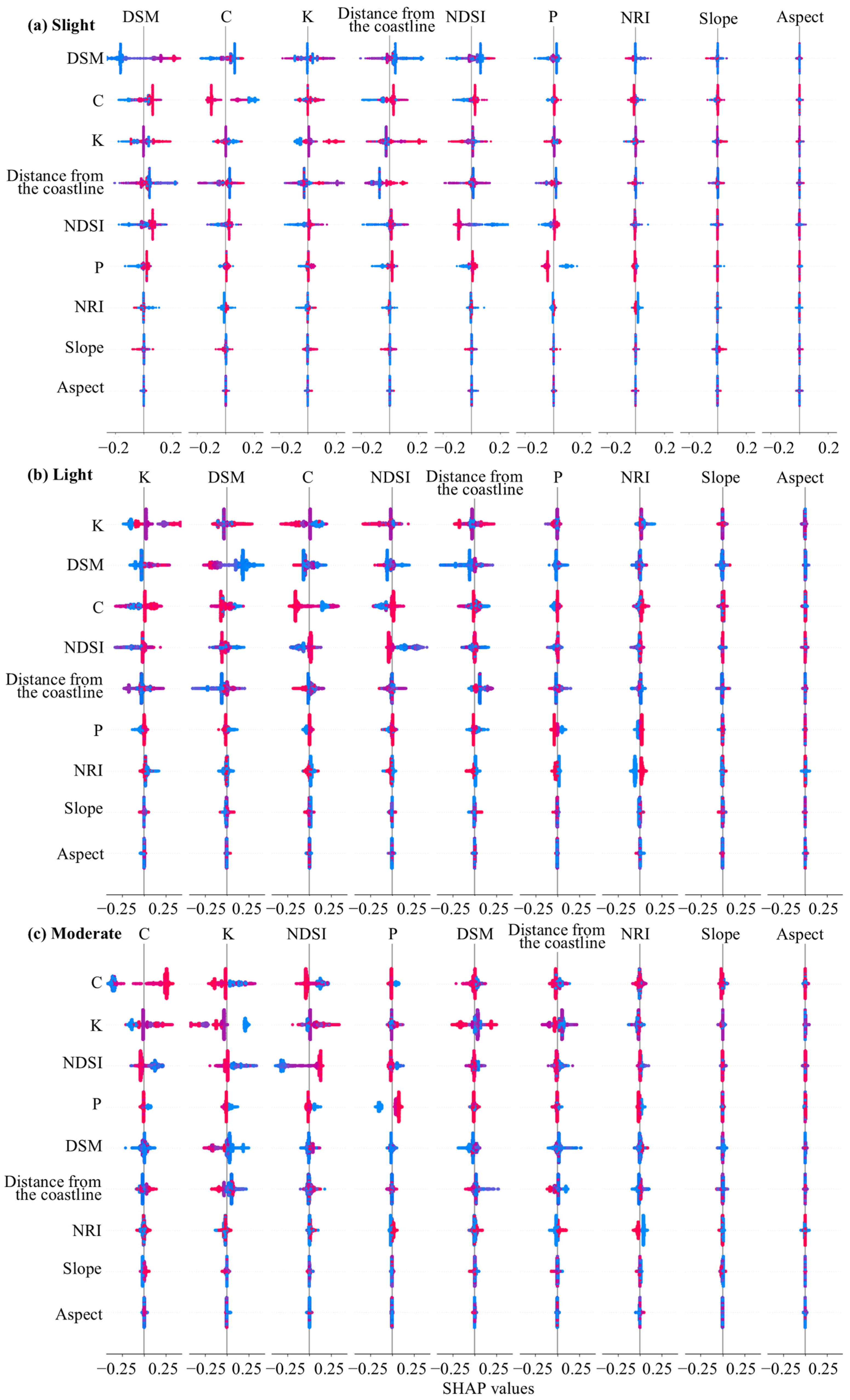
4.2. Enhanced Explainability of the ML Model
4.3. Discussion
5. Conclusions
Author Contributions
Funding
Data Availability Statement
Conflicts of Interest
Abbreviations
| ANN | Artificial neural network |
| C | Cover management factor |
| CNN | Convolutional neural network |
| DSM | Digital surface model |
| FCNN | Fully connected neural network |
| K | Soil erodibility factor |
| ML | Machine learning |
| NDSI | Normalized difference salinity index |
| NRI | Nitrogen reflectance index |
| P | Support practice factor |
| P4M | Phantom 4 Multispectral |
| RF | Random forest |
| RUSLE | Revised Universal Soil Loss Equation |
| SHAP | SHapley additive explanations |
| SVC | Support vector classification |
| UAV | Unmanned aerial vehicle |
| XGBoost | Extreme gradient boosting |
References
- Wu, Y.; Li, X.Y.; Zeng, H.D.; Zhong, X.J.; Kuang, S.N. Analysis of Carbon Sink Benefits from Comprehensive Soil and Water Conservation in the Loess Hilly Gently Slope Aeolian Sand Region. Water 2024, 16, 3434. [Google Scholar] [CrossRef]
- Mosaid, H.; Barakat, A.; John, K.; Faouzi, E.; Bustillo, V.; El Garnaoui, M.; Heung, B. Improved soil carbon stock spatial prediction in a Mediterranean soil erosion site through robust machine learning techniques. Environ. Monit. Assess. 2024, 196, 130. [Google Scholar] [CrossRef] [PubMed]
- Guerra, C.A.; Rosa, I.M.D.; Valentini, E.; Wolf, F.; Filipponi, F.; Karger, D.N.; Nguyen Xuan, A.; Mathieu, J.; Lavelle, P.; Eisenhauer, N. Global vulnerability of soil ecosystems to erosion. Landscape Ecol. 2020, 35, 823–842. [Google Scholar] [CrossRef] [PubMed]
- Tsatsaris, A.; Kalogeropoulos, K.; Stathopoulos, N.; Louka, P.; Tsanakas, K.; Tsesmelis, D.E.; Krassanakis, V.; Petropoulos, G.P.; Pappas, V.; Chalkias, C. Geoinformation Technologies in Support of Environmental Hazards Monitoring under Climate Change: An Extensive Review. ISPRS Int. J. Geo-Inf. 2021, 10, 94. [Google Scholar] [CrossRef]
- Luetzenburg, G.; Bittner, M.J.; Calsamiglia, A.; Renschler, C.S.; Estrany, J.; Poeppl, R. Climate and land use change effects on soil erosion in two small agricultural catchment systems Fugnitz—Austria, Can Revull-Spain. Sci. Total Environ. 2020, 704, 135389. [Google Scholar] [CrossRef]
- Tuo, D.; Lu, Q.; Wu, B.; Li, Q.; Yao, B.; Cheng, L.L.; Zhu, J.L. Effects of Wind-Water Erosion and Topographic Factor on Soil Properties in the Loess Hilly Region of China. Plants 2023, 12, 2568. [Google Scholar] [CrossRef] [PubMed]
- Cao, Y.F.; Hua, L.; Tang, Q.; Liu, L.; Cai, C.F. Evaluation of monthly-scale soil erosion spatio-temporal dynamics and identification of their driving factors in Northeast China. Ecol. Indic. 2023, 150, 110187. [Google Scholar] [CrossRef]
- Lin, H.; Zhao, Y. Soil Erosion Assessment of Alpine Grassland in the Source Park of the Yellow River on the Qinghai-Tibetan Plateau, China. Front. Ecol. Evol. 2022, 9, 771439. [Google Scholar] [CrossRef]
- Gholami, H.; Jalali, M.; Rezaei, M.; Mohamadifar, A.; Song, Y.; Li, Y.; Wang, Y.; Niu, B.; Omidvar, E.; Kaskaoutis, D.G. An explainable integrated machine learning model for mapping soil erosion by wind and water in a catchment with three desiccated lakes. Aeolian Res. 2024, 67–69, 100924. [Google Scholar] [CrossRef]
- Bueno-Hurtado, P.; Seidou, O. Empirical and physical modelling of soil erosion in agricultural hillslopes. J. Hydrol. Hydromech. 2024, 72, 279–291. [Google Scholar] [CrossRef]
- Sud, A.; Sajan, B.; Kanga, S.; Singh, S.K.; Singh, S.; Durin, B.; Kumar, P.; Meraj, G.; Sahariah, D.; Debnath, J.; et al. Integrating RUSLE Model with Cloud-Based Geospatial Analysis: A Google Earth Engine Approach for Soil Erosion Assessment in the Satluj Watershed. Water 2024, 16, 1073. [Google Scholar] [CrossRef]
- Delgado, M.I.; Carol, E. Soil loss and its possible consequences at a flatland watershed. Case of study: El Pescado Creek, Central-Eastern Argentina. Nat. Hazards 2024, 120, 6105–6123. [Google Scholar] [CrossRef]
- Pijl, A.; Reuter, L.E.H.; Quarella, E.; Vogel, T.A.; Tarolli, P. GIS-based soil erosion modelling under various steep-slope vineyard practices. Catena 2020, 193, 104604. [Google Scholar] [CrossRef]
- Mohammed, S.; Jouhra, A.; Enaruvbe, G.O.; Bashir, B.; Barakat, M.; Alsilibe, F.; Kulimushi, L.C.; Alsalman, A.; Szabó, S. Performance evaluation of machine learning algorithms to assess soil erosion in Mediterranean farmland: A case-study in Syria. Land. Degrad. Dev. 2023, 34, 2896–2911. [Google Scholar] [CrossRef]
- Sun, L.H.; Liu, F.; Zhu, X.C.; Zhang, G.L. High-resolution digital mapping of soil erodibility in China. Geoderma 2024, 444, 116853. [Google Scholar] [CrossRef]
- Gelete, T.B.; Pasala, P.; Abay, N.G.; Woldemariam, G.W.; Yasin, K.H.; Kebede, E.; Aliyi, I. Integrated machine learning and geospatial analysis enhanced gully erosion susceptibility modeling in the Erer watershed in Eastern Ethiopia. Front. Environ. Sci. 2024, 12, 1410741. [Google Scholar] [CrossRef]
- Sadia, H.; Sarkar, S.K.; Haydar, M. Soil erosion susceptibility mapping in Bangladesh. Ecol. Indic. 2023, 156, 111182. [Google Scholar] [CrossRef]
- Van der Westhuizen, S.; Heuvelink, G.; Gardner-Lubbe, S.; Clarke, C.E. Biplots for understanding machine learning predictions in digital soil mapping. Ecol. Inform. 2024, 84, 102892. [Google Scholar] [CrossRef]
- Chen, Z.Y.; Lian, Z.C.; Xu, Z. Interpretable Model-Agnostic Explanations Based on Feature Relationships for High-Performance Computing. Axioms 2023, 12, 997. [Google Scholar] [CrossRef]
- Hu, J.X.; Fan, T.H.; Tang, X.L.; Yang, Z.J.; Ren, Y.J. Nonlinear relations of urban morphology to thermal anomalies: A cross-time comparative study based on Grad-CAM and SHAP. Ecol. Indic. 2024, 162, 112024. [Google Scholar] [CrossRef]
- Lin, N.; Zhang, D.; Feng, S.S.; Ding, K.; Tan, L.B.; Wang, B.; Chen, T.; Li, W.L.; Dai, X.A.; Pan, J.P.; et al. Rapid Landslide Extraction from High-Resolution Remote Sensing Images Using SHAP-OPT-XGBoost. Remote Sens. 2023, 15, 3901. [Google Scholar] [CrossRef]
- Sun, J.; Sun, C.K.; Tang, Y.X.; Liu, T.C.; Lu, C.J. Application of SHAP for Explainable Machine Learning on Age-Based Subgrouping Mammography Questionnaire Data for Positive Mammography Prediction and Risk Factor Identification. Healthcare 2023, 11, 2000. [Google Scholar] [CrossRef]
- Alshuhail, A.; Thakur, A.; Chandramma, R.; Mahesh, T.R.; Almusharraf, A.; Kumar, V.; Khan, S.B. Refining neural network algorithms for accurate brain tumor classification in MRI imagery. BMC Med. Imaging 2024, 24, 118. [Google Scholar] [CrossRef] [PubMed]
- Mortier, S.; Hamedpour, A.; Bussmann, B.; Wandji, R.; Latré, S.; Sigurdsson, B.D.; De Schepper, T.; Verdonck, T. Inferring the relationship between soil temperature and the normalized difference vegetation index with machine learning. Ecol. Inform. 2024, 82, 102730. [Google Scholar] [CrossRef]
- FAO. IIASA Harmonized World Soil Database Version 2.0. In Rome and Laxenburg; FAO: Rome, Italy, 2023. [Google Scholar]
- Yu, H.; Zhu, W.; Jin, R. Future soil erosion assessment based on changing land cover and different climate change scenarios in a transboundary river basin. Int. J. Digit. Earth 2024, 17, 2301434. [Google Scholar] [CrossRef]
- Saha, S.; Sarkar, R.; Thapa, G.; Roy, J. Modeling gully erosion susceptibility in Phuentsholing, Bhutan using deep learning and basic machine learning algorithms. Environ. Earth Sci. 2021, 80, 295. [Google Scholar] [CrossRef]
- Faouzi, E.; Arioua, A.; Namous, M.; Barakat, A.; Mosaid, H.; Ismaili, M.; Eloudi, H.; Houmma, I.H. Spatial mapping of hydrologic soil groups using machine learning in the Mediterranean region. Catena 2023, 232, 107364. [Google Scholar] [CrossRef]
- Pal, S.; Paul, S.; Debanshi, S. Identifying sensitivity of factor cluster based gully erosion susceptibility models. Environ. Sci. Pollut. R 2022, 29, 90964–90983. [Google Scholar] [CrossRef]
- Rainio, O.; Teuho, J.; Klén, R. Evaluation metrics and statistical tests for machine learning. Sci. Rep. 2024, 14, 6086. [Google Scholar] [CrossRef] [PubMed]
- Yu, Q.J.; Suo, L.Z.; Qi, J.; Wang, Y.; Hu, Q.L.; Shan, Y.; Zhao, Y. Soil habitat condition shapes Tamarix chinensis community diversity in the coastal saline-alkali soils. Front. Plant Sci. 2023, 14, 1156297. [Google Scholar] [CrossRef] [PubMed]
- Hou, J.W.; Ye, M. Effects of Dynamic Changes of Soil Moisture and Salinity on Plant Community in the Bosten Lake Basin. Sustainability 2022, 14, 14081. [Google Scholar] [CrossRef]
- Dahanayake, A.C.; Webb, J.A.; Greet, J.; Brookes, J.D. How do plants reduce erosion? An Eco Evidence assessment. Plant Ecol. 2024, 225, 593–604. [Google Scholar] [CrossRef]
- Olii, M.R.; Olii, A.; Pakaya, R.; Olii, M. GIS-based analytic hierarchy process (AHP) for soil erosion-prone areas mapping in the Bone Watershed, Gorontalo, Indonesia. Environ. Earth Sci. 2023, 82, 225. [Google Scholar] [CrossRef]
- Nguyen, K.A.; Chen, W.; Lin, B.S.; Seeboonruang, U.; Thomas, K. Predicting Sheet and Rill Erosion of Shihmen Reservoir Watershed in Taiwan Using Machine Learning. Sustainability 2019, 11, 3615. [Google Scholar] [CrossRef]







| Indicators | Calculation Method | Source |
|---|---|---|
| K | where SNI = 1 − SAN/100; SAN is the sand content, %; SIL is silt content, %; CLA is clay content, %; and C is the organic carbon content, %. | HWSD 2.0 [25] |
| Slope | ArcGIS technology | Collected UAV images |
| Aspect | ArcGIS technology | |
| DSM | ArcGIS technology | |
| Distance from the coastline | Euclidean distance tool of ArcGIS 10.8 | |
| NDSI | ||
| NRI | ||
| C | where FVC is the vegetation coverage. | |
| P | Assign values based on land use types [26]. |
| Type of Land Use | Cropland | Woodland | Grassland | Waters | Bare Land | Construction Land |
|---|---|---|---|---|---|---|
| P | 0.35 | 0.20 | 0.70 | 0.00 | 0.90 | 0.00 |
Disclaimer/Publisher’s Note: The statements, opinions and data contained in all publications are solely those of the individual author(s) and contributor(s) and not of MDPI and/or the editor(s). MDPI and/or the editor(s) disclaim responsibility for any injury to people or property resulting from any ideas, methods, instructions or products referred to in the content. |
© 2025 by the authors. Licensee MDPI, Basel, Switzerland. This article is an open access article distributed under the terms and conditions of the Creative Commons Attribution (CC BY) license (https://creativecommons.org/licenses/by/4.0/).
Share and Cite
Li, H.; Miao, S.; Qi, Y.; Gao, H.; Duan, H.; Liu, C.; Gao, W. A Comprehensive Analysis of Soil Erosion in Coastal Areas Based on an Unmanned Aerial Vehicle and Deep Learning Approach. Sustainability 2025, 17, 1261. https://doi.org/10.3390/su17031261
Li H, Miao S, Qi Y, Gao H, Duan H, Liu C, Gao W. A Comprehensive Analysis of Soil Erosion in Coastal Areas Based on an Unmanned Aerial Vehicle and Deep Learning Approach. Sustainability. 2025; 17(3):1261. https://doi.org/10.3390/su17031261
Chicago/Turabian StyleLi, Han, Sheng Miao, Yansu Qi, Huiwen Gao, Haoyan Duan, Chao Liu, and Weijun Gao. 2025. "A Comprehensive Analysis of Soil Erosion in Coastal Areas Based on an Unmanned Aerial Vehicle and Deep Learning Approach" Sustainability 17, no. 3: 1261. https://doi.org/10.3390/su17031261
APA StyleLi, H., Miao, S., Qi, Y., Gao, H., Duan, H., Liu, C., & Gao, W. (2025). A Comprehensive Analysis of Soil Erosion in Coastal Areas Based on an Unmanned Aerial Vehicle and Deep Learning Approach. Sustainability, 17(3), 1261. https://doi.org/10.3390/su17031261

