Forchlorfenuron as a Safe Growth Regulator Significantly Improves Yield and Quality of Glycyrrhiza uralensis
Abstract
1. Introduction
2. Materials and Methods
2.1. Materials
2.2. Experimental Design
2.3. Determination of Photosynthetic Indexes
2.4. Determination of Endogenous Hormones
2.5. Determination of Growth Index
2.6. Determination of Main Medicinal Components
2.7. Determination of CPPU Residue
2.8. Statistical Analysis
3. Results
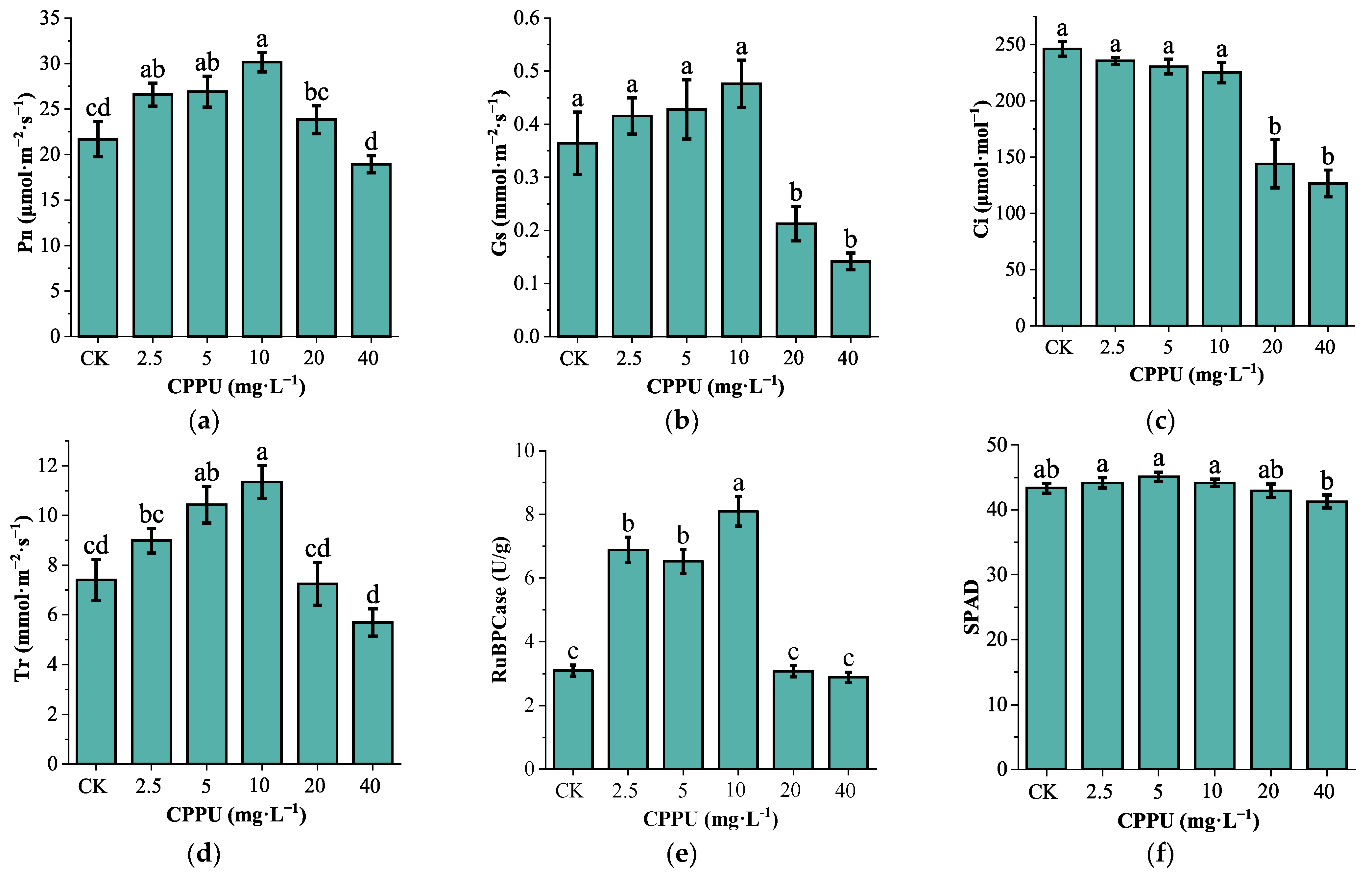
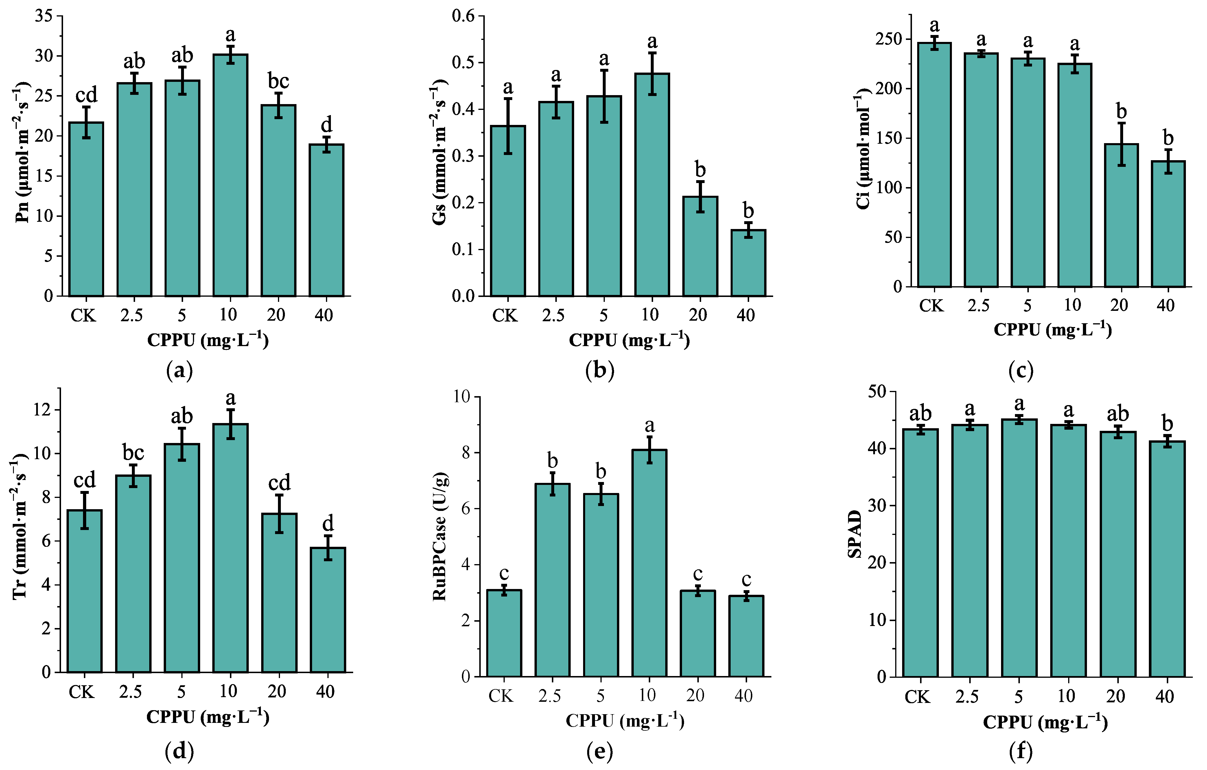
3.1. Effects of CPPU on Photosynthetic Indexes
3.2. Effect of CPPU on Concentration of Endogenous Hormones
3.3. EFFECT of CPPU on Growth Index
3.4. Effects of CPPU on the Yield and Quality of G. uralensis
3.5. Degradation Dynamics of CPPU in Roots of G. uralensis
4. Discussion
Author Contributions
Funding
Institutional Review Board Statement
Informed Consent Statement
Data Availability Statement
Acknowledgments
Conflicts of Interest
References
- Song, L.; Wang, J.; Gong, M.; Duan, Y.; Zhang, Y.; Li, Y.; Qin, L.; He, Q.; Ji, L.; Zhang, T.; et al. Investigation of the principle of concoction by using the processing excipient Glycyrrhiza uralensis Fisch. juice to reduce the main toxicity of Dioscorea bulbifera L. and enhance its main efficacy as expectorant and cough suppressant. J. Ethnopharmacol. 2024, 319, 117372. [Google Scholar] [CrossRef]
- Barati, S.; Feizabadi, F.; Khalaj, H.; Sheikhzadeh, H.; Jamaati, H.R.; Farajidavar, H.; Dastan, F. Evaluation of noscapine-licorice combination effects on cough relieving in COVID-19 outpatients: A randomized controlled trial. Front. Pharmacol. 2023, 14, 1663–9812. [Google Scholar] [CrossRef]
- Sarkar, S.; Shaw, P.; Singh, P.; Chowdhury, A.A. Emerging neuroprotective potential of Liquorice: Mechanistic insights for neurological disorders. S. Afr. J. Bot. 2023, 154, 149–158. [Google Scholar] [CrossRef]
- Zuo, J.; Meng, T.; Wang, Y.; Tang, W. A review of the antiviral activities of glycyrrhizic acid, glycyrrhetinic acid and glycyrrhetinic acid monoglucuronide. Pharmaceuticals 2023, 16, 641. [Google Scholar] [CrossRef]
- Hajirahimkhan, A.; Mbachu, O.; Simmler, C.; Ellis, S.G.; Dong, H.; Nikolic, D.; Lankin, D.C.; van Breemen, R.B.; Chen, S.-N.; Pauli, G.F.; et al. Estrogen receptor (ER) subtype selectivity identifies 8-Prenylapigenin as an ERβ agonist from Glycyrrhiza inflata and highlights the importance of chemical and biological authentication. J. Nat. Prod. 2018, 81, 966–975. [Google Scholar] [CrossRef]
- Ruchi, S.; Singla, R.K.; Subhadip, B.; Rohit, S. Revisiting Licorice as a functional food in the management of neurological disorders: Bench to trend. Neurosci. Biobehav. Rev. 2023, 155, 105452. [Google Scholar] [CrossRef] [PubMed]
- Wang, C.; Chen, L.; Xu, C.; Shi, J.; Chen, S.; Tan, M.; Chen, J.; Zou, L.; Chen, C.; Liu, Z.; et al. A comprehensive review for phytochemical, pharmacological, and biosynthesis studies on Glycyrrhiza spp. Am. J. Chinese Med. 2020, 48, 17–45. [Google Scholar] [CrossRef] [PubMed]
- Fatemeh, A.M.; Erfan, A.; Reza, M.; Mohammad, Y.A.; Jalal, P. Effect of chewing gum containing Glycyrrhiza glabra, honey, and Vitamin E on oral Health. J. Herb. Med. 2024, 43, 2210–8033. [Google Scholar] [CrossRef]
- Tayebe, A.; Mehrdad, N.; Seyed, M.; Bagher, H.; Luisa, T. A three-step sensory-based approach to maximize consumer acceptability for new low-sugar licorice-chocolate-flavored milk drink. LWT-Food Sci. Technol. 2018, 91, 375–381. [Google Scholar] [CrossRef]
- Nardini, M.; Foddai, M.S. Phenolics profile and antioxidant activity of special beers. Molecules 2020, 25, 2466. [Google Scholar] [CrossRef]
- Carmines, E.L.; Lemus, R.; Gaworski, C.L. Toxicologic evaluation of licorice extract as a cigarette ingredient. Food Chem. Toxicol. 2005, 43, 1303–1322. [Google Scholar] [CrossRef]
- Wang, H.; Song, W.; Tao, W.; Zhang, J.; Zhang, X.; Zhao, J.; Yong, J.; Gao, X.; Guo, L. Identification wild and cultivated licorice by multidimensional analysis. Food Chem. 2021, 339, 128111. [Google Scholar] [CrossRef] [PubMed]
- AL-Hmadi, H.B.; Romdhani, A.; Majdoub, S.; Dhaouadi, H.; Zengin, G.; Hammami, S. Chemical composition, antioxidant and multi-enzymatic inhibitory potential of licorice harvested from wild populations in Iraq. S. Afr. J. Bot. 2023, 158, 56–62. [Google Scholar] [CrossRef]
- Wang, C.; Cai, H.; Zhao, H.; Yan, Y.; Shi, J.; Chen, S.; Tan, M.; Chen, J.; Zou, L.; Chen, C.; et al. Distribution patterns for metabolites in medicinal parts of wild and cultivated licorice. J. Pharm. Biomed. 2018, 161, 464–473. [Google Scholar] [CrossRef] [PubMed]
- Lang, D.; Li, X.; Yang, L.; Xiao, X.; Zhang, X.; Long, W. Comparison of flavonoids contents in cultivated Glycyrrhiza uralensis of different producing areas and the correlation with soil factors. J. Chin. Med. Mater. 2022, 45, 1531–1537. (In Chinese) [Google Scholar] [CrossRef]
- Valverde, A.; Aguilera, A.; Ferrer, C.; Camacho, F.; Cammarano, A. Analysis of forchlorfenuron in vegetables by LC/TOF-MS after extraction with the buffered quechers method. J. Agric. Food Chem. 2010, 58, 2818–2823. [Google Scholar] [CrossRef]
- Ainalidou, A.; Tanou, G.; Belghazi, M.; Samiotaki, M.; Diamantidis, G.; Molassiotis, A.; Karamanoli, K. Integrated analysis of metabolites and proteins reveal aspects of the tissue-specific function of synthetic cytokinin in kiwifruit development and ripening. J. Proteom. 2016, 143, 318–333. [Google Scholar] [CrossRef]
- Zhang, J.; Yang, X.; Guo, L.; Zeng, D.; Xiao, D.; He, L.; Wang, A. Effects of forchlorfenuron on yield and quality of kudzu root. J. South. Agric. 2017, 48, 1581–1586. (In Chinese) [Google Scholar]
- Yin, N.; Ma, X.; Zhang, W.; Feng, D.; Wang, H.; Kong, L.; Tian, J. Analysis of differential proteins induced by forchlorfenuron in wheat. Plant Mol. Biol. Rep. 2012, 30, 949–956. [Google Scholar] [CrossRef]
- Roussos, P.A.; Ntanos, E.; Denaxa, N.K.; Tsafouros, A.; Bouali, I.; Nikolakakos, V.; Assimakopoulou, A. Auxin (triclopyr) and cytokinin (forchlorfenuron) differentially affect fruit physiological, organoleptic and phytochemical properties of two apricot cultivars. Acta Physiol. Plant 2021, 43, 25. [Google Scholar] [CrossRef]
- Wang, J.; Cai, X.; Zeng, S.; Zhang, Z.; Chi, Q.; Guo, W. Effect of forchlorfenuron and thidiazuron on kiwifruits’ internal qualities, optical properties and their relationship during growth. Spectrochim. Acta A 2024, 308, 123749. [Google Scholar] [CrossRef] [PubMed]
- Zhang, Z.; Tang, T.; Xu, H.; Li, Z.; Yang, G.; Wang, Q. Dietary intake risk assessment of chlorpyriprole residues in fruits and vegetables. Chin. J. Agric. Sci. 2012, 45, 1982–1991. (In Chinese) [Google Scholar]
- Chen, B.; Tan, R.; Hu, Y.; Li, G. Chemiluminescence method based on the KIO4−K2CO3−Mn2+ reaction for rapid and sensitive determination of forchlorfenuron in dried fruit. Luminescence 2023, 38, 1639. [Google Scholar] [CrossRef]
- Wang, Q.; Li, X.; Wang, H.; Li, S.; Zhang, C.; Chen, X.; Dong, J.; Shao, H.; Wang, J.; Jin, F. Spatial Distribution and Migration Characteristic of Forchlorfenuron in Oriental Melon Fruit by Matrix-Assisted Laser Desorption/Ionization Mass Spectrometry Imaging. Foods 2023, 12, 2858. [Google Scholar] [CrossRef]
- Shan, T.; Zhang, X.; Guo, C.; Guo, S.; Zhao, X.; Yuan, Y.; Yue, T. Identity, synthesis, and cytotoxicity of forchlorfenuron metabolites in kiwifruit. J. Agr. Food Chem. 2021, 69, 9529–9535. [Google Scholar] [CrossRef]
- Xiang, Y.; Song, X.; Qiao, J.; Zang, Y.; Li, Y.; Liu, Y.; Liu, C. An ultrahigh-performance liquid chromatography method with electrospray ionization tandem mass spectrometry for simultaneous quantification of five phytohormones in medicinal plant Glycyrrhiza uralensis under abscisic acid stress. J. Nat. Med. 2015, 69, 278–286. [Google Scholar] [CrossRef] [PubMed]
- Mare, R.; Pujia, R.; Maurotti, S.; Greco, S.; Cardamone, A.; Coppoletta, A.R.; Bonacci, S.; Procopio, A.; Pujia, A. Assessment of Mediterranean Citrus Peel Flavonoids and Their Antioxidant Capacity Using an Innovative UV-Vis Spectrophotometric Approach. Plants 2023, 12, 4046. [Google Scholar] [CrossRef]
- Wang, J.; Dong, W.; He, Z.; Dong, L.; Zhao, L. Simultaneous determination of eight active components in Astragali Radix and Glycyrrhizae Radix by UPLC-MS/MS. J. Harbin Univ. Comm. 2020, 36, 665–670. (In Chinese) [Google Scholar]
- Jiang, Y.; Wang, C.; Wang, G.; Liu, X. Determination of forchlorfenuron residue in eggplant by ultra performance liquid chromatography-tandem mass spectrometry. J. Zhejiang Agric. Sci. 2015, 56, 1736–1737+1746. (In Chinese) [Google Scholar]
- Zhou, L.; Jiang, Y.; Lin, Q.; Wang, X.; Zhang, X.; Xu, J.; Chen, Z. Residue transfer and risk assessment of carbendazim in tea. J. Sci. Food Agr. 2018, 98, 5329–5334. [Google Scholar] [CrossRef]
- Lv, M.; Xiang, C.; Su, C.; Huang, F.; Wang, H.; Jia, X.; Du, W. Analysis of trends and factors of vegetable consumption of adult in China from 1991 to 2018. Chin. J. Food Hyg. 2018, 36, 955–961. (In Chinese) [Google Scholar] [CrossRef]
- Gregori, D.; French, M.; Gallipoli, S.; Lorenzoni, G.; Ghidina, M. Consumption of fruit and vegetables: The ROUND (world map of cnsumption of fruit and vegetables and Nutrient Deficits) project. Proc. Nutr. Soc. 2020, 79, E698. [Google Scholar] [CrossRef]
- Fayet-Moore, F.; McConnell, A.; Cassettari, T.; Tuck, K.; Petocz, P.; Kim, J. Vegetable intake in Australian children and adolescents: The importance of consumption frequency, eating occasion and its association with dietary and sociodemographic factors. Public Health Nutr. 2020, 23, 474–487. [Google Scholar] [CrossRef]
- Yuan, X.; Tajima, R.; Matsumoto, M.; Fujiwara, A.; Aoyama, T.; Okada, C.; Okada, E.; Takimoto, H. Analysing food groups and nutrient intake in adults who met and did not meet the daily recommended vegetable intake of 350g: The 2016 National Health and Nutrition Survey in Japan. J. Nutr. Sci. 2024, 13, e12. [Google Scholar] [CrossRef]
- Peng, C.; Cai, H.; Zhu, X.; Li, D.; Yang, Y.; Hou, R.; Wan, X. Analysis of naturally occurring fluoride in commercial teas and estimation of its daily intake through tea consumption. J. Food Sci. 2016, 81, 235–239. [Google Scholar] [CrossRef] [PubMed]
- Marjan, S.H.; Morteza, E.; Javier, A.; Saeid, K.; Rasoul, A. Growth, phytochemical parameters and glycyrrhizin production in licorice (Glycyrrhiza glabra L.) grown in the field with saline water irrigation. Ind. Crop Prod. 2022, 177, 114444. [Google Scholar] [CrossRef]
- Jia, T.; Chen, B.; Ma, M. Effects of planting density on the growth, taproots yield and quality of Glycyrrhiza uralensis. Legume Res. 2023, 46, 62–68. [Google Scholar] [CrossRef]
- Tahereh, G.; Leila, T.; Vahideh, N.; Mohammad, E. Nutrient distribution in various tissues of licorice (Glycyrrhiza glabra L.) and the influence of soil fertility on the levels of its bioactive compounds. Ind. Crop Prod. 2024, 209, 118073. [Google Scholar] [CrossRef]
- Liu, Q.; Guo, S.; Zheng, X.; Shen, X.; Zhang, T.; Liao, B.; He, W.; Hu, H.; Cheng, R.; Xu, J. Licorice germplasm resources identification using DNA barcodes inner-variants. Plants 2021, 10, 2036. [Google Scholar] [CrossRef] [PubMed]
- Peppi, M.C.; Fidelibus, M.W. Effects of forchlorfenuron and abscisic acid on the quality of ‘Flame Seedless’ grapes. HortScience 2008, 43, 173–176. [Google Scholar] [CrossRef]
- Fröschle, M.; Horn, H.; Spring, O. Effects of the cytokinins 6-benzyladenine and forchlorfenuron on fruit-, seed- and yield parameters according to developmental stages of flowers of the biofuel plant Jatropha curcas L. (Euphorbiaceae). Plant Growth Regul. 2017, 81, 293–303. [Google Scholar] [CrossRef]
- Zhang, Z.; Xu, C.; Liu, J. The effects of chlorpyriprole and sodium chlorophenoxyacetate on cucumber fruit growth. North. Hortic. 2016, 20, 37–40. (In Chinese) [Google Scholar]
- Marie, A.; María-Rosa, G.; Rafael, M.; Pedro, M. Effects of the application of forchlorfenuron (CPPU) on the composition of verdejo grapes. BIO Web Conf. 2023, 56, 01022. [Google Scholar] [CrossRef]
- Bi, Y.; Qiao, C.; Han, L.; Xie, H.; Xu, Y.; Wu, D.; Zhuang, M.; Lv, X.; Cao, M. Key metabolites and mechanistic insights in forchlorfenuron controlling kiwifruit development. Food Res. Int. 2022, 164, 112412. [Google Scholar] [CrossRef]
- Li, C.; Wang, J.; Xu, J.; He, L.; He, H. Effects of forchlorfenuron and paclobutrazol combination on the physiological characteristics of yam leaves. J. South. Agric. 2012, 43, 1952–1957. (In Chinese) [Google Scholar]
- Huang, H.; He, W. Application of exogenous cytokinin regulates cytokinin oxidase and antioxidant activity to maintain chlorophyll pigment during ripening of banana fruit. Food Biosci. 2023, 55, 102998. [Google Scholar] [CrossRef]
- Dong, Q.; Yan, Y.; Guo, S.; Ling, H.; Yang, X.; Gao, J.; Shen, J.; Zu, C. Influence of exogenous forchlorfenuron on quality of upper leaves of flue-cured tobacco and its mechanism. Tob. Sci. Technol. 2024, 57, 26–35. (In Chinese) [Google Scholar] [CrossRef]
- Ahmad, I.; Kamran, M.; Meng, X.; Ali, S.; Bilegjargal, B.; Cai, T.; Liu, T.; Han, Q.F. Effects of plant growth regulators on seed filling, endogenous hormone contents and maize production in semiarid regions. J. Plant Growth Regul. 2019, 38, 1467–1480. [Google Scholar] [CrossRef]
- La, V.H.; Tran, D.H.; Han, V.; Nguyen, T.D.; Duong, V.C.; Nguyen, V.H.; Tran, A.T.; Nguyen, T.H.G.; Ngo, X.B. Drought stress-responsive abscisic acid and salicylic acid crosstalk with the phenylpropanoid pathway in soybean seeds. Physiol. Plant 2023, 175, e14050. [Google Scholar] [CrossRef] [PubMed]
- Sun, L.R.; Bin Wang, Y.; Bin He, S.; Hao, F.S. Mechanisms for abscisic acid inhibition of primary root growth. Plant Signal Behav. 2018, 13, e1500069. [Google Scholar] [CrossRef] [PubMed]
- Arena, M.; Auteri, D.; Barmaz, S.; Bellisai, G.; Brancato, A.; Brocca, D.; Bura, L.; Byers, H.; Chiusolo, A.; Marques, D.C.; et al. Peer review of the pesticide risk assessment of the active substance forchlorfenuron. Efsa J. 2017, 15, 4874. [Google Scholar] [CrossRef]
- Wang, Q.; Su, H.; Yue, N.; Li, M.; Li, C.; Wang, J.; Jin, F. Dissipation and risk assessment of forchlorfenuron and its major metabolites in oriental melon under greenhouse cultivation. Ecotox Environ. Safe 2021, 225, 112700. [Google Scholar] [CrossRef] [PubMed]
- Wu, T. Solid-phase extraction-gas chromatography was used to determine the degradation dynamics and residual amount of forchlorfenuron in watermelon. Shanghai Agric. Sci. Technol. 2019, 2, 43–45. (In Chinese) [Google Scholar]
- Ugare, B.; Banerjee, K.; Ramteke, S.D.; Pradhan, S.; Oulkar, D.P.; Utture, S.C.; Pandurang, G.A.; Bharat, U.; Kaushik, B.; Ramteke, S.D.; et al. Dissipation kinetics of forchlorfenuron, 6-benzyl aminopurine, gibberellic acid and ethephon residues in table grapes (Vitis vinifera). Food Chem. 2013, 141, 4208–4214. [Google Scholar] [CrossRef] [PubMed]
- Chen, W.; Jiao, B.; Su, X.; Zhao, Q.; Qin, D.; Wang, C. Dissipation and residue of forchlorfenuron in citrus fruits. B Environ. Contam. Tox. 2013, 90, 756–760. [Google Scholar] [CrossRef] [PubMed]





| Secondary Metabolite | Parent Ion (m·z−1) | Daughter Ion (m·z−1) | Ionization Mode | Voltage (V) | Collisional Energy (eV) | Retention Time (min) | Regression Equation | R2 | Linear over (ng·mL−1) |
|---|---|---|---|---|---|---|---|---|---|
| Zeatin | 219.9 | 135.9 * | − | 46 | 16 | 0.6 | y = 19,707.8x + 2295.31 | 0.998 | 1.0–96.9 |
| 147.9 | 46 | 16 | |||||||
| Salicylic acid | 137.1 | 93.0 * | − | 14 | 22 | 2.68 | y = 1782.18x − 402.849 | 0.998 | 4.7–101.1 |
| 65 | 14 | 24 | |||||||
| Abscisic acid | 263.2 | 153.0 * | − | 22 | 12 | 2.82 | y = 3566.98x + 434.445 | 0.999 | 0.8–96.5 |
| 203.9 | 22 | 18 | |||||||
| Glycyrrhizic acid | 821.2 | 350.9 * | − | 62 | 42 | 2.48 | y = 87.2x − 3.76 | 0.999 | 1.0–978.0 |
| 113 | 62 | 56 | |||||||
| Liquiritin | 417 | 254.9 * | − | 52 | 20 | 1 | y = 750.9x + 356.9 | 0.999 | 1.0–992.3 |
| 134.9 | 52 | 30 | |||||||
| CPPU | 246 | 127.1 * | + | 10 | 25 | 2.8 | y = 1957.35x + 3915.69 | 0.991 | 0.8–98.7 |
| 91.1 | 10 | 20 |
| Time (min) | Flow Velocity (mL·min−1) | 0.1% Formic Acid-Water (%) | Methanol (%) |
|---|---|---|---|
| 0 | 0.3 | 70 | 30 |
| 0.5 | 0.3 | 70 | 30 |
| 2.5 | 0.3 | 0 | 100 |
| 3.5 | 0.3 | 70 | 30 |
| 3.6 | 0.3 | 70 | 30 |
| 5.0 | 0.3 | 70 | 30 |
| Treatment (mg·L−1) | Biomass of Root (g) | Concentration of Main Active Substances | ||
|---|---|---|---|---|
| Glycyrrhizic Acid (mg.g−1) | Liquiritin (mg.g−1) | Total Flavonoids (mg.g−1) | ||
| CK | 7.51 ± 1.97 b | 1.13 ± 0.11 b | 2.23 ± 0.22 c | 13.78 ± 0.69 c |
| 2.5 | 7.9 ± 2.41 b | 1.39 ± 0.14 b | 3.39 ± 0.34 b | 14.09 ± 0.71 bc |
| 5 | 8.15 ± 2.6 b | 2.01 ± 0.20 a | 4.29 ± 0.43 a | 15.12 ± 0.76 a |
| 10 | 10.95 ± 3.98 a | 2.17 ± 0.22 a | 4.43 ± 0.45 a | 15.90 ± 0.8 ab |
| 20 | 7.95 ± 3.02 b | 1.9 ± 0.16 a | 3.99 ± 0.4 ab | 13.60 ± 0.68 c |
| 40 | 5.23 ± 1.34 c | 1.16 ± 0.12 b | 2.06 ± 0.2 c | 13.08 ± 0.66 c |
| Agricultural Products | China | European Union | America | Australia | Japan |
|---|---|---|---|---|---|
| Kiwifruit | 0.05 | 0.05 | 0.04 | 0.01 | 0.1 |
| Grape | 0.05 | 0.05 | 0.03 | 0.01 | 0.1 |
| Watermelon | 0.1 | 0.05 | ND * | ND * | 0.1 |
| Muskmelon | 0.1 | 0.05 | ND * | ND * | 0.1 |
| Cucumber | 0.1 | 0.05 | ND * | ND * | 0.1 |
| Parameter | China | EU | America | Australia | Japan |
|---|---|---|---|---|---|
| ADI (mg·kg−1·bw−1) | 0.1 | 0.05 | 0.07 | 0.07 | 0.093 |
| Vegetable intake (g·d−1) | 0.279 | 0.552 | 0.616 | 0.205 | 0.348 |
| EDI of roots (mg·kg−1) | 2.39 × 10−6 | 4.71 × 10−6 | 5.26 × 10−6 | 1.75 × 10−6 | 2.97 × 10−6 |
| RQ of roots | 0.00% | 0.01% | 0.01% | 0.00% | 0.00% |
Disclaimer/Publisher’s Note: The statements, opinions and data contained in all publications are solely those of the individual author(s) and contributor(s) and not of MDPI and/or the editor(s). MDPI and/or the editor(s) disclaim responsibility for any injury to people or property resulting from any ideas, methods, instructions or products referred to in the content. |
© 2025 by the authors. Licensee MDPI, Basel, Switzerland. This article is an open access article distributed under the terms and conditions of the Creative Commons Attribution (CC BY) license (https://creativecommons.org/licenses/by/4.0/).
Share and Cite
Gu, J.; Li, H.; Yao, S.; Ma, M. Forchlorfenuron as a Safe Growth Regulator Significantly Improves Yield and Quality of Glycyrrhiza uralensis. Sustainability 2025, 17, 10213. https://doi.org/10.3390/su172210213
Gu J, Li H, Yao S, Ma M. Forchlorfenuron as a Safe Growth Regulator Significantly Improves Yield and Quality of Glycyrrhiza uralensis. Sustainability. 2025; 17(22):10213. https://doi.org/10.3390/su172210213
Chicago/Turabian StyleGu, Junjun, Haotian Li, Shaoxuan Yao, and Miao Ma. 2025. "Forchlorfenuron as a Safe Growth Regulator Significantly Improves Yield and Quality of Glycyrrhiza uralensis" Sustainability 17, no. 22: 10213. https://doi.org/10.3390/su172210213
APA StyleGu, J., Li, H., Yao, S., & Ma, M. (2025). Forchlorfenuron as a Safe Growth Regulator Significantly Improves Yield and Quality of Glycyrrhiza uralensis. Sustainability, 17(22), 10213. https://doi.org/10.3390/su172210213

