Blockchain-Enabled Digital Supply Chain Regulation: Mitigating Greenwashing to Advance Sustainable Development
Abstract
1. Introduction
Background and Motivation
2. Literature Review
2.1. Environmental Information Disclosure and Falsification
2.2. Information Regulation
2.3. Application of Blockchain in the Supply Chain
2.4. Knowledge Gaps
3. Main Models
3.1. Model Setup
3.2. Before the Introduction of Blockchain Technology
3.3. After the Introduction of Blockchain Technology
4. Example Analysis
4.1. Conditions for Companies to Provide True Green Information
4.2. Green Information Manipulation Behavior of the Company
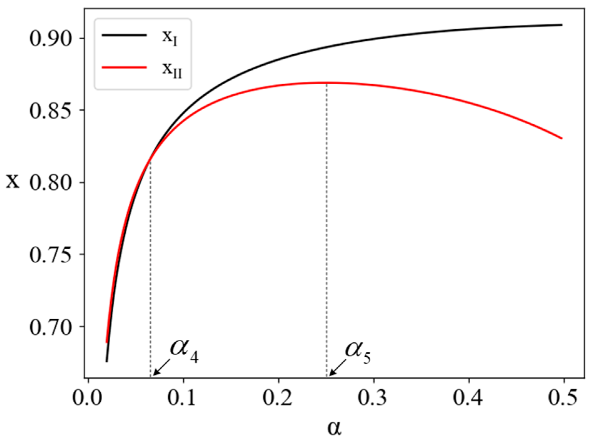
4.3. The Probability of Greenwashing Being Detected
5. Conclusions, Implications and Directions for Future Studies
5.1. Summary of Findings
5.2. Policy and Management Implications
5.3. Limitations
5.4. Future Research
Author Contributions
Funding
Institutional Review Board Statement
Informed Consent Statement
Data Availability Statement
Conflicts of Interest
Appendix A. Proof of the Model

Appendix B. Proof of Propositions
- Step 1: When :
- 1.
- Compare the limits of and :
- 2.
- Compare the limits of and :
- 3.
- Compare and :
- Step 2: When :
- 1.
- The difference between and :
- 2.
- The limit of :
- 3.
- The limit of :
- 4.
- Compare and :
- 5.
- (negative) × (negative) = positive.
- Step 3:
- Step 1: When
- Step 2: When
- Step 1: on the monotonicity of
References
- Zeng, M.; Zheng, L.; Huang, Z.; Cheng, X.; Zeng, H. Does vertical supervision promote regional green transformation? Evidence from Central Environmental Protection Inspection. J. Environ. Manag. 2023, 326, 116681. [Google Scholar] [CrossRef] [PubMed]
- Ozorhon, B.; Batmaz, A.; Caglayan, S. Generating a framework to facilitate decision making in renewable energy investments. Renew. Sustain. Energy Rev. 2018, 95, 217–226. [Google Scholar] [CrossRef]
- Arouri, M.; El Ghoul, S.; Gomes, M. Greenwashing and product market competition. Financ. Res. Lett. 2021, 42, 101927. [Google Scholar] [CrossRef]
- Farooq, Y.; Wicaksono, H. Advancing on the analysis of causes and consequences of green skepticism. J. Clean. Prod. 2021, 320, 128927. [Google Scholar] [CrossRef]
- Liu, C.; Song, Y.; Wang, W.; Shi, X. The governance of manufacturers’ greenwashing behaviors: A tripartite evolutionary game analysis of electric vehicles. Appl. Energy 2023, 333, 120498. [Google Scholar] [CrossRef]
- Berrone, P.; Fosfuri, A.; Gelabert, L. Does Greenwashing Pay Off? Understanding the Relationship Between Environmental Actions and Environmental Legitimacy. J. Bus. Ethics 2017, 144, 363–379. [Google Scholar] [CrossRef]
- Zerbib, O.D. The effect of pro-environmental preferences on bond prices: Evidence from green bonds. J. Bank. Financ. 2019, 98, 39–60. [Google Scholar] [CrossRef]
- Zhao, N.; Xia, T.; Yu, T.; Liu, C. Subsidy-Related Deception Behavior in Energy-Saving Products Based on Game Theory. Front. Energy Res. 2020, 7, 154. [Google Scholar] [CrossRef]
- Zhang, S.; Niu, Y.; Zhang, J.; Li, J.; Wang, S.; Guan, Y. Effects of Supply Chain Digitization on Different Types of Corporate Green Innovation: Empirical Evidence from Double Machine Learning (DML). Sustainability 2025, 17, 7509. [Google Scholar] [CrossRef]
- Bromley, P.; Powell, W.W. From Smoke and Mirrors to Walking the Talk: Decoupling in the Contemporary World. Acad. Manag. Ann. 2012, 6, 483–530. [Google Scholar] [CrossRef]
- Delmas, M.A.; Burbano, V.C. The drivers of greenwashing. Calif. Manag. Rev. 2011, 54, 64–87. [Google Scholar] [CrossRef]
- Yu, E.P.-y.; Van Luu, B.; Chen, C.H. Greenwashing in environmental, social and governance disclosures. Res. Int. Bus. Financ. 2020, 52, 101192. [Google Scholar] [CrossRef]
- Martínez, M.P.; Cremasco, C.P.; Gabriel Filho, L.R.A.; Braga Junior, S.S.; Bednaski, A.V.; Quevedo-Silva, F.; Correa, C.M.; da Silva, D.; Moura-Leite Padgett, R.C. Fuzzy inference system to study the behavior of the green consumer facing the perception of greenwashing. J. Clean. Prod. 2020, 242, 116064. [Google Scholar] [CrossRef]
- Lin, J.; Lin, S.; Benitez, J.; Luo, X.; Ajamieh, A. How to build supply chain resilience: The role of fit mechanisms between digitally-driven business capability and supply chain governance. Inf. Manag. 2023, 60, 103747. [Google Scholar] [CrossRef]
- Yi, E. Corporate governance, information disclosure and investment—Cash flow sensitivity. Financ. Res. Lett. 2023, 55, 103942. [Google Scholar] [CrossRef]
- Bai, Q.; Chen, J.; Xu, J. Energy conservation investment and supply chain structure under cap-and-trade regulation for a green product. Omega 2023, 119, 102886. [Google Scholar] [CrossRef]
- Ma, X.; Zhang, K.; Li, T. Research on Government–Enterprise Collaborative Recycling Strategies: An Examination of Consumer Value Perception in the Context of Carbon Generalized System of Preferences. Sustainability 2025, 17, 7462. [Google Scholar] [CrossRef]
- Li, Q.-X.; Ji, H.-M.; Huang, Y.-M. The information leakage strategies of the supply chain under the block chain technology introduction. Omega 2022, 110, 102616. [Google Scholar] [CrossRef]
- Mangla, S.K.; Kazancoglu, Y.; Ekinci, E.; Liu, M.; Özbiltekin, M.; Sezer, M.D. Using system dynamics to analyze the societal impacts of blockchain technology in milk supply chainsrefer. Transp. Res. Part E Logist. Transp. Rev. 2021, 149, 102289. [Google Scholar] [CrossRef]
- Letunovska, N.; Owusu-Mensah, M.M.; Bonsu, D.O.; Offei, F.A. The Boundary Conditions of Information Sharing and Sustainability: The Mediating Role of Supply Chain Resilience. Sustainability 2025, 17, 7266. [Google Scholar] [CrossRef]
- Shi, X.; Chan, H.L.; Dong, C. Value of Bargaining Contract in a Supply Chain System With Sustainability Investment: An Incentive Analysis. IEEE Trans. Syst. Man Cybern. Syst. 2018, 50, 1622–1634. [Google Scholar] [CrossRef]
- Zhang, D.; Jin, Y. R&D and environmentally induced innovation: Does financial constraint play a facilitating role? Int. Rev. Financ. Anal. 2021, 78, 101918. [Google Scholar]
- Gatti, L.; Pizzetti, M.; Seele, P. Green lies and their effect on intention to invest. J. Bus. Res. 2021, 127, 228–240. [Google Scholar] [CrossRef]
- Dong, C.; Huang, Q.; Pan, Y.; Ng, C.T.; Liu, R. Logistics outsourcing: Effects of greenwashing and blockchain technology. Transp. Res. Part E Logist. Transp. Rev. 2023, 170, 103015. [Google Scholar] [CrossRef]
- Guo, R.; Tao, L.; Li, C.B.; Wang, T. A path analysis of greenwashing in a trust crisis among Chinese energy companies: The role of brand legitimacy and brand loyalty. J. Bus. Ethics 2017, 140, 523–536. [Google Scholar] [CrossRef]
- Hong, Z.; Guo, X. Green product supply chain contracts considering environmental responsibilities. Omega 2019, 83, 155–166. [Google Scholar] [CrossRef]
- Wen, H.; Lee, C.C.; Zhou, F. How does fiscal policy uncertainty affect corporate innovation investment? Evidence from China’s new energy industry. Energy Econ. 2022, 105, 105767. [Google Scholar] [CrossRef]
- Zhang, D. Subsidy expiration and greenwashing decision: Is there a role of bankruptcy risk? Energy Econ. 2023, 118, 106530. [Google Scholar] [CrossRef]
- Wu, Y.; Zhang, K.; Xie, J. Bad greenwashing, good greenwashing: Corporate social responsibility and information transparency. Manag. Sci. 2020, 66, 3095–3112. [Google Scholar] [CrossRef]
- Roulet, T.J.; Touboul, S. The Intentions with Which the Road is Paved: Attitudes to Liberalism as Determinants of Greenwashing. J. Bus. Ethics 2015, 128, 305–320. [Google Scholar] [CrossRef]
- Cho, C.H.; Laine, M.; Roberts, R.W.; Rodrigue, M. Organized hypocrisy, organizational faades, and sustainability reporting. Account. Organ. Soc. 2015, 40, 78–94. [Google Scholar] [CrossRef]
- Mateo-Márquez, A.J.; González-González, J.M.; Zamora-Ramírez, C. An international empirical study of greenwashing and voluntary carbon disclosure. J. Clean. Prod. 2022, 363, 132567. [Google Scholar] [CrossRef]
- Hsueh, L. Voluntary climate action and credible regulatory threat: Evidence from the carbon disclosure project. J. Regul. Econ. 2019, 56, 188–225. [Google Scholar] [CrossRef]
- Bowen, F. After Greenwashing: Symbolic Corporate Environmentalism and Society; Cambridge University Press: Cambridge, UK, 2014. [Google Scholar]
- Siano, A.; Vollero, A.; Conte, F.; Amabile, S. “More than words”: Expanding the taxonomy of greenwashing after the Volkswagen scandal. J. Bus. Res. 2017, 71, 27–37. [Google Scholar] [CrossRef]
- Tang, S.; Demeritt, D. Climate change and mandatory carbon reporting: Impacts on business process and performance. Bus. Strategy Environ. 2018, 27, 437–455. [Google Scholar] [CrossRef]
- Choi, T.-M.; Feng, L.; Li, R. Information disclosure structure in supply chains with rental service platforms in the blockchain technology era. Int. J. Prod. Econ. 2020, 221, 107473. [Google Scholar] [CrossRef]
- Dutta, P.; Choi, T.-M.; Somani, S.; Butala, R. Blockchain technology in supply chain operations: Applications, challenges and research opportunities. Transp. Res. Part E Logist. Transp. Rev. 2020, 142, 102067. [Google Scholar]
- Friedman, N.; Ormiston, J. Blockchain as a sustainability-oriented innovation?: Opportunities for and resistance to Blockchain technology as a driver of sustainability in global food supply chains. Technol. Forecast. Soc. Change 2022, 175, 121403. [Google Scholar]
- Yousefi, S.; Tosarkani, B.M. An analytical approach for evaluating the impact of blockchain technology on sustainable supply chain performance. Int. J. Prod. Econ. 2022, 246, 108429. [Google Scholar] [CrossRef]
- Zhang, T.; Dong, P.; Chen, X.; Gong, Y. The impacts of blockchain adoption on a dual-channel supply chain with risk-averse members. Omega 2023, 114, 102747. [Google Scholar]
- Lu, W.; Jiang, Y.; Chen, Z.; Ji, X. Blockchain adoption in a supply chain system to combat counterfeiting. Comput. Ind. Eng. 2022, 171, 108408. [Google Scholar] [CrossRef]
- Bajra, U.Q.; Ermir, R.; Avdiaj, S. Cryptocurrency blockchain and its carbon footprint: Anticipating future challenges. Technol. Soc. 2024, 77, 102571. [Google Scholar] [CrossRef]
- Li, X.; Liu, Q.; Wu, S.; Cao, Z.; Bai, Q. Game theory based compatible incentive mechanism design for non-cryptocurrency blockchain systems. J. Ind. Inf. Integr. 2023, 31, 100426. [Google Scholar] [CrossRef]
- Zhang, L.; Zhang, Z.; Li, T.; Zhang, S. A consensus-based solution for cryptocurrencies arbitrage bots in intelligent blockchain. Digit. Commun. Netw. 2025, 11, 700–710. [Google Scholar] [CrossRef]
- Burgess, P.; Sunmola, F.; Wertheim-Heck, S. Information needs for transparency in blockchain-enabled sustainable food supply chains. Int. J. Inf. Manag. Data Insights 2024, 4, 100262. [Google Scholar] [CrossRef]
- Li, P.; Guo, X.; Wang, F.; Zhang, Q. Digital transformation and corporate innovation boundaries: Role of supply chain concentration and transparency. Int. Rev. Financ. Anal. 2025, 98, 103922. [Google Scholar] [CrossRef]
- Sègbotangni, E.A.; Laguir, I.; Gupta, S. Exploring the effect of supply chain integration and supply chain transparency on SME environmental performance under conditions of environmental unpredictability. J. Environ. Manag. 2025, 375, 124225. [Google Scholar] [CrossRef]
- Lim, M.K.; Li, Y.; Wang, C.; Tseng, M.-L. A literature review of blockchain technology applications in supply chains: A comprehensive analysis of themes, methodologies and industries. Comput. Ind. Eng. 2021, 154, 107133. [Google Scholar] [CrossRef]
- Borah, M.D.; Naik, V.B.; Patgiri, R.; Bhargav, A.; Phukan, B.; Basani, S.G. Supply chain management in agriculture using blockchain and IoT. In Advanced Applications of Blockchain Technology; Springer: Berlin/Heidelberg, Germany, 2020; pp. 227–242. [Google Scholar]
- Huang, R.; Xie, X.; Zhou, H. ‘Isomorphic’ behavior of corporate greenwashing. Chin. J. Popul. Resour. Environ. 2022, 20, 29–39. [Google Scholar] [CrossRef]
- Matejek, S.; Gössling, T. Beyond legitimacy: A case study in BP’s “green lashing”. J. Bus. Ethics 2014, 120, 571–584. [Google Scholar] [CrossRef]
- Cong, L.W.; He, Z. Blockchain Disruption and Smart Contracts. Rev. Financ. Stud. 2019, 32, 1754–1797. [Google Scholar] [CrossRef]
- Soori, M.; Jough, F.K.G.; Dastres, R.; Arezoo, B. Blockchains for industrial Internet of Things in sustainable supply chain management of industry 4.0, a review. Sustain. Manuf. Serv. Econ. 2024, 3, 100026. [Google Scholar] [CrossRef]
- Shi, X.; Xiao, H.; Liu, W.; Lackner, K.S.; Buterin, V.; Stocker, T.F. Confronting the Carbon-Footprint Challenge of Blockchain. Environ. Sci. Technol. 2023, 57, 1403–1410. [Google Scholar] [CrossRef]







| Dimension | Traditional Regulation (TR) | DSCR (Blockchain-Enabled) |
|---|---|---|
| Information Processing | Offline verification; info decay (k < 1) | On-chain immutability (k = 1); cross-enterprise validation |
| Greenwashing Detection | Exponential decay with supply chain tiers | Network-effect-driven (n ≥ 15 nodes → 32% efficiency gain) |
| Cost Structure | High manual audit costs (USD 500–2000/verification) | Fixed platform cost + USD 0.10/transaction |
Disclaimer/Publisher’s Note: The statements, opinions and data contained in all publications are solely those of the individual author(s) and contributor(s) and not of MDPI and/or the editor(s). MDPI and/or the editor(s) disclaim responsibility for any injury to people or property resulting from any ideas, methods, instructions or products referred to in the content. |
© 2025 by the authors. Licensee MDPI, Basel, Switzerland. This article is an open access article distributed under the terms and conditions of the Creative Commons Attribution (CC BY) license (https://creativecommons.org/licenses/by/4.0/).
Share and Cite
Pan, H.; Wang, P.; Zhang, S. Blockchain-Enabled Digital Supply Chain Regulation: Mitigating Greenwashing to Advance Sustainable Development. Sustainability 2025, 17, 10019. https://doi.org/10.3390/su172210019
Pan H, Wang P, Zhang S. Blockchain-Enabled Digital Supply Chain Regulation: Mitigating Greenwashing to Advance Sustainable Development. Sustainability. 2025; 17(22):10019. https://doi.org/10.3390/su172210019
Chicago/Turabian StylePan, Hua, Pengcheng Wang, and Shutong Zhang. 2025. "Blockchain-Enabled Digital Supply Chain Regulation: Mitigating Greenwashing to Advance Sustainable Development" Sustainability 17, no. 22: 10019. https://doi.org/10.3390/su172210019
APA StylePan, H., Wang, P., & Zhang, S. (2025). Blockchain-Enabled Digital Supply Chain Regulation: Mitigating Greenwashing to Advance Sustainable Development. Sustainability, 17(22), 10019. https://doi.org/10.3390/su172210019
