Abstract
The River Chief System (RCS), an innovative policy for sustainable water governance in China, has diffused through parallel and hierarchical modes, exerting heterogeneous impacts on corporate green innovation—a key driver of sustainable development. Using a multi-period difference-in-differences (DID) design and data from A-share listed companies in Shanghai and Shenzhen (2005–2022), this study examines how these diffusion modes affect corporate green innovation, including its breakthrough and incremental forms. The study finds that (1) under the parallel diffusion mode, RCS does not significantly promote corporate green innovation overall and even exhibits an inhibitory effect in capital-intensive industries; (2) Under the hierarchical diffusion mode, the RCS significantly improves the level of corporate green innovation, with a notably stronger promoting effect on breakthrough innovation than incremental innovation; (3) The hierarchical diffusion mode promotes green innovation by alleviating corporate financing constraints and enhancing management’s green awareness; (4) Heterogeneity analysis further reveals clear regional and industrial disparities in policy effectiveness: hierarchical diffusion shows significant effects in eastern and western regions as well as in technology-intensive industries, but still exerts an inhibitory effect in the central region and labor-intensive industries. This study provides empirical evidence on the differential effects of environmental policy dissemination and offers insights for optimizing RCS implementation and promoting sustainable economic development.
1. Introduction
As global environmental issues grow increasingly severe, water pollution control has become a critical topic for countries striving to achieve sustainable development. As a nation undergoing rapid industrialization with uneven water resource distribution, China faces particularly prominent impacts of industrial pollution on its water bodies, including rivers and lakes [1,2]. To address this challenge, China innovatively established the River Chief System (RCS), a policy centered on the “river chiefs” mechanism designed to strengthen water pollution control and water resource protection. By clarifying the primary responsibility of local Party and government leaders in river and lake governance, this policy has built a hierarchical supervision system from the central government to local governments, covering major water areas across the country, which has effectively resolved many challenges in river ecosystem management and water resource utilization. The diffusion of the RCS has occurred through two primary modes, which shape its effectiveness: parallel diffusion, driven by inter-local government coordination and competition, and hierarchical diffusion, mandated through top-down administrative orders to ensure implementation consistency and enforceability [3]. These mechanisms collectively encourage enterprises to engage in green innovation and drive the sustainable development of the green economy [4].
The existing literature on RCS has primarily focused on its pollution control effects. While some studies report significant reductions in pollutant discharge at both regional and enterprise levels [5,6], others point to its limited impact on key pollutants [7,8], indicating mixed evidence and context-dependent outcomes. This predominant focus on macro-level impacts, however, has largely overlooked the incentive effects on enterprises’ micro-level innovation behaviors. Regarding policy diffusion, a body of research has theoretically elaborated on the mechanisms of parallel and hierarchical diffusion [9]. However, systematic empirical evidence remains relatively limited concerning how these diffusion modes lead to divergent RCS policy effects, particularly in the domain of corporate green innovation, and current research still focuses primarily on theoretical construction with insufficient empirical support to identify differences in implementation efficiency across modes. Green innovation is widely recognized as a key pathway for aligning economic development with environmental sustainability [10]. A small but growing number of studies have begun to explore the RCS–green innovation nexus. For instance, Wang identified executive compensation and media attention as relevant channels [11]; Ding and Sun argued that government governance, official incentives, and social supervision can contribute to the enhancement of the RCS effect on green innovation [12]. Nevertheless, few studies have systematically examined how different diffusion modes influence varied types of green innovation—such as breakthrough versus incremental innovation—or compared the underlying mechanisms, such as financing constraints and managerial cognition, across these modes, reflecting a general lack of differentiation between green innovation types. These shortcomings collectively limit a comprehensive understanding of the RCS policy effects. This study therefore seeks to build upon and extend the existing findings by offering a comparative and mechanism-based analysis in this under-explored area.
Therefore, against the policy backdrop of the RCS, this study utilizes panel data from A-share listed companies in Shanghai and Shenzhen from 2005 to 2022 as the research sample. Using a multi-period difference-in-differences (DID) method, this study moves beyond estimating the average policy effect to compare and analyze the differences in effects and internal operational mechanisms of the RCS policy on corporate green innovation (including breakthrough and incremental types) under the parallel diffusion mode and hierarchical diffusion mode. The aim is to enhance understanding of policy innovation diffusion and to inform improvements in the environmental policy system, contributing to a more sustainable future.
Compared with previous studies, the contributions of this paper are mainly reflected in the following aspects: At the theoretical level, it introduces a policy diffusion perspective to examine how RCS differently influences corporate green innovation under distinct implementation modes, thereby enriching the theoretical scope of environmental regulation research. While previous studies have mostly focused on the overall effects of environmental policies, few have systematically distinguished the heterogeneity of policy implementation mechanisms. Using a DID approach, this paper demonstrates that the hierarchical diffusion mode, with its enforceability and unified standards, significantly enhances green technology innovation in high-pollution firms. In contrast, the parallel diffusion mode shows limited effects due to fragmented regional implementation. This finding not only extends the application of intergovernmental relations theory in the context of environmental policy but also deepens the understanding of externality theory by revealing how policy implementation channels shape corporate innovation behavior. At the practical level, the research provides actionable insights for improving RCS implementation and fostering corporate green innovation. Given the stronger effect of hierarchical diffusion, we recommend enhancing cross-regional coordination and establishing unified supervision standards—such as introducing national technical guidelines and monitoring mechanisms. It is also suggested that high-pollution firms increase investment in green process R&D to better respond to policy requirements, while local governments should design supporting incentives, including green technology subsidies and tax benefits, to jointly promote environmental governance and high-quality development. These implications may also serve as a useful reference for other developing countries seeking to balance water pollution control with innovation incentives.
2. Theoretical Analysis and Research Hypotheses
2.1. RCS Diffusion Modes and Corporate Green Innovation Modes
While green innovation serves as a key pathway for enterprises to achieve dual environmental and economic benefits, its adoption faces significant barriers due to high costs and risks, which highlights the pivotal role of government policy [13,14,15]. RCS influences corporate green innovation primarily through its diffusion mechanisms, namely hierarchical and parallel modes [16]. Drawing on policy diffusion theory, this study posits that the hierarchical diffusion mode, characterized by top-down mandates and systematic oversight, establishes strong institutional pressure and policy clarity, thereby effectively encouraging substantive green innovation. In contrast, the parallel diffusion mode, which relies on regional imitation, often results in inconsistent implementation and weaker incentives for firms [17]. Grounded in intergovernmental relation theory, the hierarchical approach enhances inter-agency coordination, reduces policy uncertainty, and helps alleviate financing constraints while strengthening managerial environmental awareness [18]. The following sections will analyze the distinct impacts and theoretical logics of these two diffusion modes on corporate green innovation.
2.1.1. Parallel Diffusion Mode and Green Innovation
The parallel diffusion mode refers to the active adoption of the RCS by local governments driven by learning or competition mechanisms, where the autonomy of local governments plays a central role in policy diffusion [19]. Under the learning mechanism, local governments may replicate RCS practices from other regions without a thorough understanding of local basin conditions, leading to poor policy adaptation and ineffective implementation coordination. For instance, some localities may imitate superficial institutional arrangements—such as setting up river chief offices—while overlooking local enterprises’ technological and financial constraints, thereby weakening the policy’s incentive effect on green innovation [20]. Under the competition mechanism, regions that adopt the RCS earlier may withhold key implementation details to maintain their competitive edge, which limits the effectiveness of policy transfer to later adopters [21]. Moreover, parallel diffusion often leads to inconsistencies in policy content and enforcement intensity across regions, which reduces public awareness and oversight of the RCS and creates insufficient external pressure for firms to change. As a result, enterprises tend to maintain business as usual, showing little motivation to pursue green innovation. Thus, the effect of the RCS on corporate green innovation remains limited under the parallel diffusion mode.
Based on this, the following hypothesis is proposed:
Hypothesis H1a.
Under the parallel diffusion mode, the RCS policy has no significant impact on corporate green innovation.
2.1.2. Hierarchical Diffusion Mode and Green Innovation
The hierarchical diffusion mode describes the top-down implementation of policies through administrative directives from the central government, where central control and policy orientation act as the primary drivers. Grounded in intergovernmental relations theory, the hierarchical mode enhances policy implementation efficiency by establishing clear objectives, exerting mandatory pressure, and providing resource support, thereby creating synergistic effects across government tiers [22]. In the context of the RCS, the hierarchical diffusion mode influences corporate green innovation in several ways. First, the central government establishes a unified policy framework and assessment standards, which clarify environmental protection responsibilities for local governments. This reduces policy uncertainty and encourages local authorities to strengthen both supervision and support for enterprises. Second, coordinated efforts between central and local governments offer incentives such as tax benefits and green subsidies, which help alleviate the high costs and risks associated with corporate green innovation and strengthen firms’ willingness to innovate. Additionally, under this mode, the government promotes environmental awareness through public campaigns, generating external supervisory pressure that motivates enterprises to fulfill social responsibilities and engage proactively in green innovation. Green innovation can further be categorized into breakthrough and incremental types [23,24]. Breakthrough green innovation aims at technological disruption and market competitiveness, requiring significant R&D investment and technical capability, whereas incremental green innovation focuses on compliance-oriented improvements with lower technical and financial thresholds [25]. Under the hierarchical diffusion mode, mandatory pressure combined with resource support drives enterprises to pursue breakthrough green innovation, helping them meet stringent environmental standards and secure long-term competitive advantages. Based on this, the following hypotheses are proposed:
Hypothesis H1b.
Under the hierarchical diffusion mode, the RCS policy significantly promotes corporate green innovation.
Hypothesis H1c.
Under the hierarchical diffusion mode, the RCS has a stronger promoting effect on breakthrough green innovation than on incremental green innovation.
2.2. Impact Mechanisms of the RCS Under the Hierarchical Diffusion Mode
The River Chief System, as a macro-level environmental policy, influences corporate green innovation at the micro level through specific transmission channels. By examining both external financing constraints and internal drivers such as top management’s green awareness, this study explores the underlying mechanisms of the RCS under the hierarchical diffusion mode, and establish a coherent theoretical model by innovation theory, signal transmission theory, and upper echelons theory.
2.2.1. External Mechanism: Alleviating Financing Constraints
The high investment and long-cycle nature of green innovation imposes high demands on corporate capital supply [26]. Financing constraints often limit firms’ R&D spending, thereby reducing their motivation to pursue green innovation [27]. Innovation theory emphasizes that stable financial support is essential for successful technological advancement. When facing severe financial pressure, capital shortages can intensify liquidity problems, leading firms to reduce capital allocation for green initiatives and become more cautious in launching green innovation projects [28].
Under the hierarchical diffusion mode, the RCS alleviates financing constraints through the following pathways: First, the central government introduces measures such as tax incentives, green subsidies, and preferential loans to lower the capital costs of corporate green innovation. For example, following directives from the central government, local authorities may establish special environmental protection funds to support pollution-intensive industries in technological upgrading [29,30]. Second, in line with signaling theory, the high-level promotion of the RCS sends a positive message to capital markets, demonstrating the government’s sustained commitment to green development, which helps attract private capital into green innovation sectors [31].As designated implementation leads, “river chiefs” often mobilize resources and introduce supportive policies to ease financial pressure on firms, thereby mitigating accountability risks. Moreover, the consistency of policy implementation under the hierarchical diffusion mode strengthens investor confidence, reduces financing costs, and encourages greater investment in green R&D. In summary, the RCS alleviates financing constraints through policy support and effective signaling, thereby facilitating corporate green innovation.
Based on this, the following hypothesis is proposed:
Hypothesis H2a.
Under the hierarchical diffusion mode, the RCS improves corporate green innovation by alleviating financing constraints.
2.2.2. Internal Mechanism: Top Management’s Green Awareness
Top management’s green awareness serves as a fundamental driver for corporate green strategy formulation [32]. According to upper echelons theory, corporate managers make decisions and implement management practices based on their perception and interpretation of the external environment. When confronting complex or unexpected situations, senior executives tend to rely on their past experiences and personal inclinations to guide their choices [33,34].
Under the hierarchical diffusion mode, the RCS enhances top management’s green awareness through the following pathways. First, mandatory pressure from the central government is transmitted to firms through “river chiefs”, raising executives’ awareness of environmental compliance risks. For instance, random water quality inspections and strict penalty mechanisms encourage management to address environmental risks by adopting technological upgrades and cleaner production strategies. Second, within this diffusion mode, the government reinforces executives’ recognition of the benefits of green practices through policy promotion and training activities. For instance, local governments organize seminars on green innovation to highlight market opportunities created by environmental policies and motivate management to develop long-term green strategies [8]. Furthermore, drawing on legitimacy theory, firms often seek to enhance their environmental management systems and provide green skill training to employees in order to gain social recognition and competitive advantage—thereby facilitating green innovation [35]. Breakthrough green innovation, given its high technological requirements and market-oriented nature, depends particularly strongly on top management’s deep understanding of environmental benefits. In summary, the RCS promotes corporate green innovation by strengthening top management’s green awareness. Based on this, the following hypothesis is proposed:
Hypothesis H2b.
Under the hierarchical diffusion mode, the RCS improves corporate green innovation by enhancing top management’s green awareness.
The theoretical mechanisms and pathways for the two diffusion modes are visually summarized in Figure 1.
Figure 1.
Theoretical Mechanism and Pathway Comparison of the River Chief System (RCS) under Parallel Diffusion Modes (a) and Hierarchical Diffusion Mode (b).
3. Research Design
3.1. Model Design
Given that the River Chief System (RCS) policy was implemented in phases between 2007 and 2017, the traditional difference-in-differences (DID) model fails to capture its dynamic effects. This study adopts the multi-period DID model [36] to test H1a, H1b and H1c (Hypothesis 1), with Model (1) specified as follows:
In this model, it represents the level of green innovation of enterprise i in year t, including total green innovation (it), breakthrough green innovation (it), and incremental green innovation (it), it is a policy dummy variable, Postit is a time dummy variable, and it denotes control variables, , and control for firm, city, and year fixed effects, respectively, while is the random error term. By comparing the differences between the treatment group and the control group before and after the policy implementation, this model identifies the causal effect of the RCS.
To test the mechanism through which the RCS affects green innovation via financing constraints and top management’s green awareness, this study employs the two-step mediating effect test [37], with Model (2) specified as follows:
Here, it refers to mediating variables, including financing constraints (FCit, SAit) and top management’s green awareness (GreConit).
3.2. Variable Definitions
3.2.1. Explained Variables
Corporate green innovation is measured by the number of green patents. Referring to the method of Zhang, this measurement is based on the green patent classification of the State Intellectual Property Office (SIPO) [38]. The explained variables include three categories:
- (1)
- Total Green Innovation (GrePat): The total number of independent green patent applications filed by an enterprise in a given year, reflecting the overall level of green innovation.
- (2)
- Breakthrough Green Innovation (GreInPat): The number of green invention patents, representing high-tech, market-oriented innovation activities.
- (3)
- Incremental Green Innovation (GreUtPat): The number of green utility model patents, reflecting low-tech compliance-oriented improvements.
For enhanced robustness, this study additionally introduces the average citation count of green patents as an indicator of patent quality to capture the depth of impact of green innovation. Data are sourced from the SIPO and the CSMAR Database to ensure accuracy and consistency.
3.2.2. Explanatory Variables
Compared with other industries, high-pollution industries are more substantially affected by the RCS and are thus more likely to engage in green innovation. Meanwhile, in accordance with the Action Plan for Water Pollution Prevention and Control and the Measures for the Management of the List of Key Polluting Units, these enterprises are classified as key regulated targets due to their high water consumption and high emissions [39]. Therefore, with reference to the Catalogue for the Classification and Management of Environmental Protection Inspection of Listed Companies, the industry classification of the China Securities Regulatory Commission (CSRC), and local RCS policy documents, this study covers 16 industries including thermal power, electrolytic aluminum, iron and steel, and coal, etc. [8]. Enterprises in these 16 industries are designated as the treatment group (Treat = 1), while enterprises in other industries form the control group (Treat = 0).
A time dummy variable POST is also set: Post = 1 indicates the year when the RCS was implemented in the prefecture-level city where the enterprise is located and all subsequent years; otherwise, Post = 0. For municipalities directly under the central government, 2014 is used as the cutoff point, as it marks the year when the Ministry of Water Resources initiated the nationwide promotion of the RCS. The explanatory variable design accounts for spatiotemporal heterogeneity in policy implementation, thereby strengthening the credibility of causal inference.
3.2.3. Mediating Variables
Financing Constraints: The KZ Index comprehensively assesses the degree of financing constraints based on financial indicators [40]; the SA Index reduces endogeneity by using firm size and age [41].
Top Management’s Green Awareness: Measured by the word frequency (GreCon) of 8 water pollution governance-related terms (such as “River Chief System”, “basin protection”, and “ecological restoration”) in corporate annual reports and social responsibility reports [42].
3.2.4. Control Variables
To control for the potential impact of firm characteristics on green innovation, the following control variables are selected [43]: ① Firm Size (Size): Natural logarithm of total assets, reflecting the resource endowment of the enterprise. ② Firm Age (Age): Take the logarithm of (current year–establishment year), measuring the maturity of the enterprise. ③ Asset-Liability Ratio (Lev): Total liabilities divided by total assets, reflecting financial risks. ④ Gross Profit Margin (GProfit): (Operating income–Operating costs) divided by operating income, measuring profitability. ⑤ Financial Leverage (FL): (Net profit + Income tax expense + Financial expenses) divided by (Net profit + Income tax expense), reflecting capital structure. ⑥ Board Size (Board): Natural logarithm of the number of board members, reflecting corporate governance structure. ⑦ Separation of Ownership and Control (Separate): the control right ratio–the ownership ratio of the actual controller, measuring the decentralization of corporate governance. ⑧ Book-to-Market Ratio (BM): Book value divided by total market value, reflecting market valuation.
Detailed definitions of all variables are presented in Table A1 of the Appendix A.
3.3. Sample Selection and Data Sources
To conduct a comprehensive assessment of the heterogeneous impact of the River Chief System (RCS) policy on corporate green innovation, this study selects A-share listed companies in Shanghai and Shenzhen from 2005 to 2022 as the research sample. This time frame covers the full cycle of the RCS, from its pilot implementation in Wuxi, Jiangsu Province in 2007 to its nationwide promotion in 2017. The data processing steps are as follows: excluding samples with missing key variables; removing samples from the financial and insurance sectors; deleting samples labeled as ST, ST*, and those with abnormal asset-liability ratios (either greater than 1 or less than 0); excluding samples of companies listed after the RCS implementation (1482 observations); and performing 1% winsorization on continuous variables to reduce interference from extreme values. The final sample includes 33,176 observations from 2558 enterprises, with all data processing completed using STATA 16.0. To enhance robustness, data sources are integrated, including corporate annual reports, the CSMAR Database, and green patent data from the State Intellectual Property Office (SIPO), ensuring the accuracy and consistency of variable measurement. Table A2 in the Appendix A reports the descriptive statistics of the main variables in this paper.
4. Descriptive Statistics
4.1. Benchmark Regression Analysis
The benchmark regression results indicate that the implementation of the River Chief System (RCS) policy significantly promotes corporate green innovation. As shown in Table 1, the coefficients of the core explanatory variable Treat × Post, are 1.324, 0.862, and 0.462, respectively—all statistically significant at the 10% level. This finding aligns with prior research pointing to the limitations of voluntary environmental measures, and suggests that, following the introduction of the RCS, firms in the treatment group exhibited significantly higher levels of total green innovation (GrePat), breakthrough green innovation (GreInPat), and incremental green innovation (GreUtPat) compared to the control group. Among these outcomes, Treat × Post exerts the strongest positive effect on GrePat, implying that the RCS policy broadly enhances both the scope and volume of corporate green innovation. In contrast, its influence on GreInPat and GreUtPat reveals a more nuanced pattern, which suggests that firms may adopt distinct technological upgrading strategies in response to policy pressure. On one hand, the rise in breakthrough green innovation reflects a tendency among firms to pursue high-tech, market-oriented green technology breakthroughs in order to comply with stricter environmental regulations. On the other hand, the increase in incremental green innovation indicates that some firms may opt for minor technological adjustments to meet compliance requirements in the short term.
Table 1.
Impact of the River Chief System on Corporate Green Innovation.
Further, Table 2 presents grouped regression results comparing the parallel and hierarchical diffusion modes in terms of their effects on overall green innovation, breakthrough green innovation, and incremental green innovation. Under the parallel diffusion mode, the coefficients of the core explanatory variable Treat × Post are statistically insignificant across all three green innovation measures: total green innovation (GrePat), breakthrough green innovation (GreInPat), and incremental green innovation (GreUtPat). This suggests that when local governments adopt the RCS voluntarily—without top-down mandate—their motivations may be driven more by policy experimentation, image-building, or political responsiveness than by substantive regulatory intent. As a result, the policy fails to generate sufficient institutional pressure or incentive mechanisms to significantly promote corporate green innovation, thus supporting Hypothesis H1a. In contrast, under the hierarchical diffusion mode, the coefficients of Treat × Post are significantly positive across all three innovation types. This pattern indicates that the RCS, when implemented through a top-down, systematically designed, and strongly enforced approach, effectively promotes corporate green innovation, verifying Hypothesis H1b.
Table 2.
Impact of the River Chief System on Corporate Green Innovation under Different Diffusion Modes.
Notably, the coefficient for breakthrough green innovation (GreInPat, 1.109) is larger than that for incremental green innovation (GreUtPat, 0.644), implying that the RCS exerts a stronger effect on high-level green innovation than on minor technological improvements. This result supports Hypothesis H1c and refines existing understandings by showing that not all types of green innovation are equally stimulated—hierarchical diffusion particularly fosters high-level innovative activities. The hierarchical diffusion mode is characterized by greater institutional rigidity and policy continuity. In this context, local governments face stronger supervisory pressure while also having better access to supporting resources and implementation guidance. These conditions collectively create an environment conducive to fostering corporate green innovation, particularly in the form of breakthrough developments.
4.2. Parallel Trend Test
Prior to implementing the DID test, this study examines whether the treatment and control groups satisfy the parallel trends assumption. Therefore, we estimate the dynamic effects of the RCS policy year by year. Using the initial year of RCS implementation as the baseline, we construct a series of dummy variables for the pre- and post-policy periods and plot the corresponding parallel trends graph for the full sample, as shown in Figure 2. The results indicate that before the RCS was implemented, none of the coefficients differ significantly from zero, whereas after its introduction, most coefficients become statistically significant. This pattern confirms that the parallel trends assumption holds for the full sample.
Figure 2.
Parallel Trend Test Chart of the River Chief System for the Full Sample.
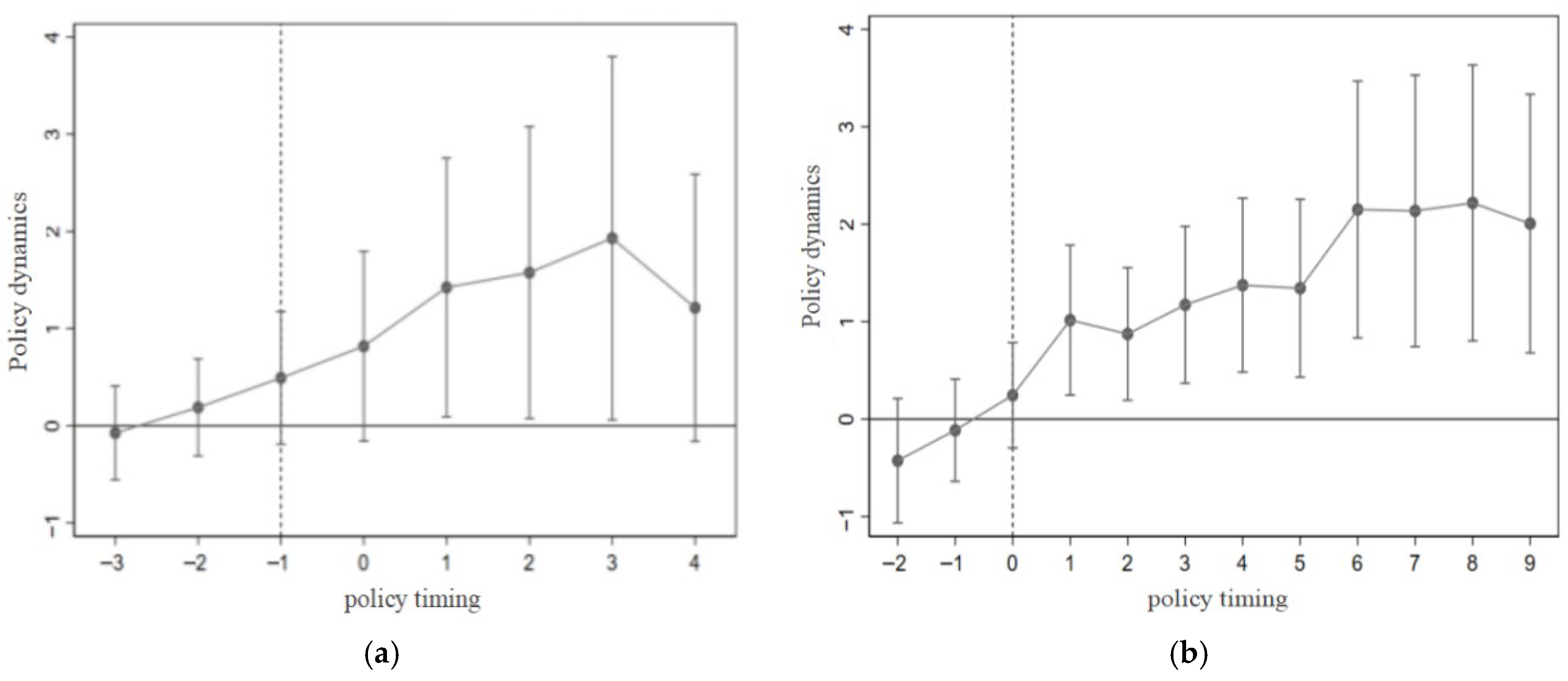
Panel (a) of Figure 3 presents the parallel trends test results for the RCS under the parallel diffusion mode, while panel (b) shows the corresponding results under the hierarchical diffusion mode. As illustrated in both panels, the estimated coefficients are not statistically different from zero in the periods prior to RCS implementation, but become significantly different from zero after the policy takes effect. These patterns confirm that the parallel trends assumption is satisfied under both diffusion modes.
Figure 3.
(a) Parallel Trend Test Chart of the RCS under the Parallel Diffusion Modes. (b) Parallel Trend Test Chart of the RCS under the Hierarchical Diffusion Modes.
4.3. Robustness Test
4.3.1. Placebo Test
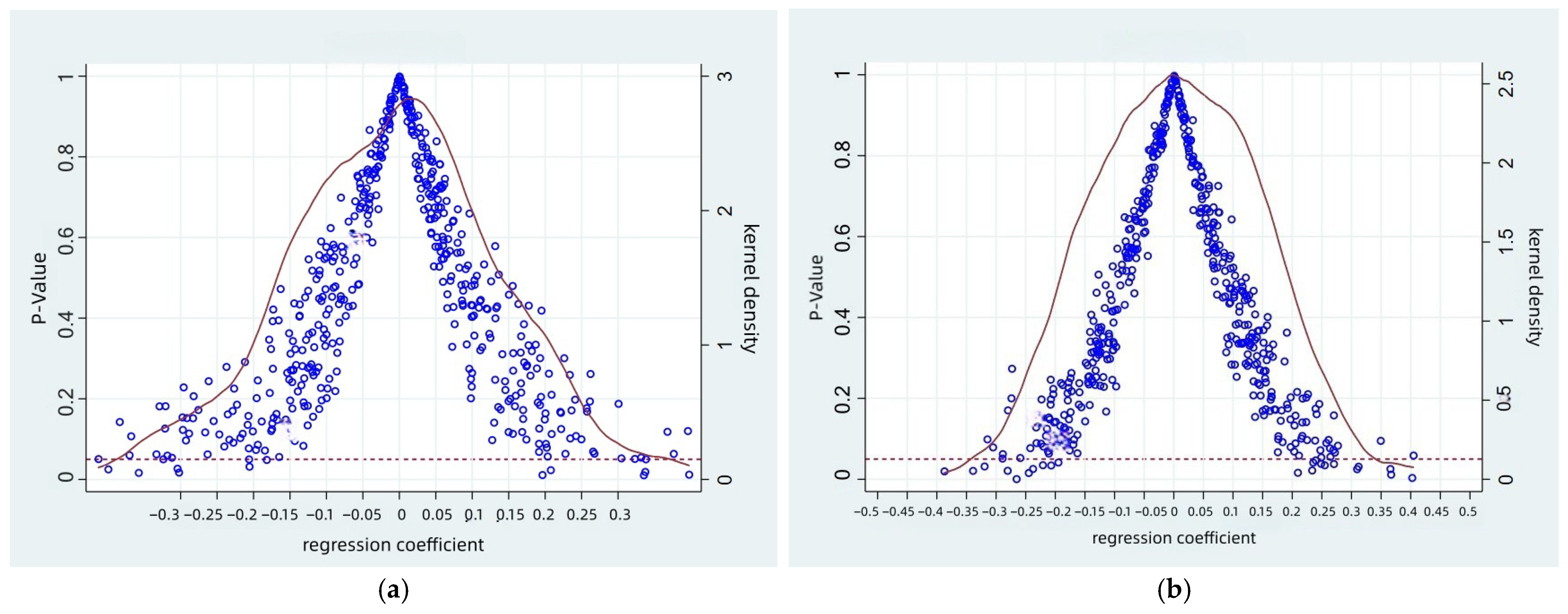
To exclude the impact of omitted variables, this paper refers to the method of Wang and conducts a placebo test by randomly generating treatment groups [44]. We design a virtual RCS variable, randomly select enterprises as the treatment group, and impose this virtual policy shock on these enterprises. This process is repeated 500 times, with each shock incorporated into the regression model for testing. The results for the full sample, as well as for the parallel and hierarchical diffusion mode, are shown in Figure 4 and Figure 5. The results show that for the full sample, the estimated coefficient of corporate green innovation are densely distributed around zero, and clearly distinct from the actual estimated coefficient of Treat × Post (0.9796). A similar pattern is observed under the parallel and hierarchical diffusion mode. It indicates that randomly generating treatment groups has no policy effect, while the RCS policy significantly promotes corporate green innovation. The estimation in this paper is not interfered by unobservable omitted variables, and the research results are robust.
Figure 4.
Placebo Test Chart of the River Chief System for the Full Sample.
Figure 5.
(a) Placebo Test Chart of the RCS under the Parallel Diffusion Mode. (b) Placebo Test Chart of the RCS under the Hierarchical Diffusion Mode.
4.3.2. Replacing the Explained Variable
Given that the diffusion mode of the RCS policy may influence not only the quantity but also the quality of corporate green innovation, to capture these potential heterogeneous effects more comprehensively, this study follows the approach of Shi [45] and adopts two additional metrics—the number of citations received by green patents (InCite) and the number of citations received by other patents (InCite1)—as proxies for green innovation quality. As shown in columns (2) to (3) of Table 3, the coefficient of Treat × Post remains significantly positive at the 1% le vel, indicating that the policy’s promoting effect identified in the baseline regressions persists even after accounting for innovation quality. To further address the concern that time-invariant unobservable factors embedded in the “industry–city–year” fixed effects may absorb too much of the policy variation, we replace the firm fixed effects in the baseline model with high-dimensional “industry–city–year” fixed effects and re-estimate the model. The results show that the sign and significance of the core explanatory variable Treat × Post remain consistent with the baseline estimates, providing further support for the robustness of our main conclusions.
Table 3.
Robustness test of replacing explained variables in hierarchical diffusion model.
4.3.3. Changing the Sample Period
To exclude the potential interference of the COVID-19 pandemic on policy evaluation, this paper shortens the sample period to 2005–2019 and re-estimates. The results in Table 4 show: First, in the full sample, the regression coefficient of Treat × Post is still significantly positive, indicating that the promoting effect of RCS on the total amount of green innovation remains robust after excluding the pandemic period. Second, the grouped regression further consolidates the previous conclusion. The coefficient is insignificant under the parallel diffusion mode, which again confirms that the “symbolic pilot” of local governments hardly triggers substantive innovation in enterprises; while the coefficient rises to 1.628 and is significant under the hierarchical diffusion mode, indicating that the net effect of central-led mandatory diffusion on green innovation is instead amplified after excluding the interference of the pandemic. In summary, the results of the robustness test for the sample period show that the core finding of this paper regarding the heterogeneous impact of the RCS diffusion modes has good time robustness, and the pandemic has not become a confounding factor interfering with policy causal identification.
Table 4.
Robustness test of green innovation effect of RCS under different diffusion models.
4.4. Endogeneity Test
Although the RCS policy was rolled out in batches at the provincial level and has the characteristics of a quasi-natural experiment, there may still be sample selection bias, such as non-random selection process based on pre-treatment characteristics will confuse the net assessment of policy effects [46]. To overcome this endogeneity problem, this paper follows the approach of Zhou and uses Treat × Post in the year before policy implementation (t − 1) as an instrumental variable, employing the two-stage least squares (2SLS) method for endogeneity testing [47], as shown in Table A4 of Appendix A. In the first stage, the C-D Wald F statistics are all much higher than the Stock-Yogo 10% critical value, and the LM statistics are all significant at the 1% level, rejecting the null hypotheses of “weak instrumental variable” and “unidentifiable”. The Sargan over-identification test statistic is 0.000, indicating that there is no over-identification problem, and the validity of the instrumental variable is satisfied. The second-stage results show: (1) For the full sample, the coefficient of L.Treat × Post is 1.393, which is consistent in direction with the benchmark DID coefficient and significantly positive, indicating that after excluding potential endogeneity, the RCS still significantly improves corporate green innovation. (2) From the perspective of diffusion modes, the coefficient of L.Treat × Post under the hierarchical diffusion mode is significantly positive at the 5% significance level, while it is not significant under the parallel diffusion mode, further verifying the conclusion that hierarchical diffusion effectively drives corporate green innovation through vertical pressure and supporting incentives.
Overall, after accounting for potential endogeneity through instrumental variable estimation, the positive impact of the RCS on corporate green innovation remains statistically significant and is primarily driven by the hierarchical diffusion mode, consistent with earlier findings.
5. Further Analysis
5.1. Mechanism Test
Table 5 reports the regression results examining the relationship between RCS, financing constraints, and top management’s green awareness. As shown in column (2), the coefficient of the interaction term Treat × Post with the financing constraint (FC) variable is −0.105 (p < 0.05), which suggests that the implementation of the RCS has significantly alleviated financing constraints on firms. In the hierarchical implementation structure of the RCS, local governments face considerable pressure to control river basin pollution. To meet environmental targets set by higher authorities, they often introduce supportive policies—such as tax incentives and environmental subsidies—to help firms conduct green innovation activities. These measures lower the cost of obtaining R&D funding, thus reducing the financial burden of green innovation. Moreover, firms that actively respond to the RCS and voluntarily disclose environmental governance information send positive signals to capital markets, demonstrating their commitment to environmental responsibility. This helps enhance investor confidence, attract external financing, and further ease financing difficulties. Therefore, Hypothesis 2a is supported.
Table 5.
Green innovation effect paths of the river chief system policy.
However, since the KZ index for financing constraints includes components such as dividend payments that could be influenced by firms’ internal decisions, potential endogeneity issues may arise. For instance, firms with higher levels of green innovation might inherently have better access to financing, leading to reverse causality. To address this, we use the one-period lagged financing constraint variable (L.FC) to mitigate feedback effects from current innovation activities. The result in column (3) shows a coefficient of −0.128 (p < 0.01). The larger absolute value compared to column (2) suggests that the alleviating effect of the RCS on financing constraints remains robust and even stronger after controlling for potential reverse causality. This supports the causal pathway of “policy implementation → improved financing conditions → enhanced green innovation,” rather than innovation driving financing improvements. Additionally, to ensure that the results are not sensitive to how financing constraints are measured, we employ the SA index as an alternative, more exogenous measure. As shown in column (4), the coefficient on Treat × Post is −0.014 (p < 0.01), confirming that the RCS significantly reduces financing constraints. These results indicate that the financing constraint mitigation effect is robust across different measurement approaches.
Column (5) presents the result for the interaction between the RCS policy variable (Treat × Post) and top management’s green awareness (GreCon). The coefficient is 1.085 (p < 0.01), indicating a notable improvement in managerial green awareness after the RCS was implemented. Under the RCS, ‘river chiefs’ enforce compliance through stricter penalties for violations, which heightens management’s sensitivity to environmental regulatory risks and reduces short-sighted behavior. At the same time, incentive policies linked to the RCS enhance management’s perception of potential benefits from green practices. Driven by both risk avoidance and benefit perception, management’s green awareness is significantly strengthened, thereby facilitating corporate green innovation. Thus, Hypothesis 2b is verified.
5.2. Heterogeneity Analysis
5.2.1. Heterogeneity Analysis by Industry Nature
To further investigate how the green innovation effect of the RCS policy varies across industries, we categorize the sample into three types—labor-intensive, technology-intensive, and capital-intensive—based on industrial characteristics, and conduct subgroup regression analyses under both the parallel and hierarchical diffusion modes. The results are presented in Table 6.
Table 6.
Industry Heterogeneity of RCS under Different Diffusion Modes.
In the full-sample regressions, the coefficient of Treat × Post is positive and significant at the 10% level in technology-intensive industries, indicating that the RCS policy significantly promotes green innovation in this category. By contrast, the coefficients for labor- and capital-intensive industries are not statistically significant. This suggests that the policy is more conducive to helping technology-intensive firms achieve both environmental compliance and competitive advantage through green innovation, while its incentive effect is limited in sectors dominated by labor or capital inputs.
Further analysis under the parallel diffusion mode reveals that only the coefficient for capital-intensive industries is significantly negative (p < 0.1), with no significant effects observed in the other two industry types. This implies that under the parallel diffusion path—where local governments voluntarily imitate and implement the policy—the RCS exerts a weak incentive effect on corporate green innovation, and may even inhibit innovation in capital-intensive industries. This outcome may be attributed to fragmented implementation and a lack of systematic supporting measures. In comparison, under the hierarchical diffusion mode, the coefficients of Treat × Post exhibit more distinct variation across industries: −0.488 in labor-intensive industries, 3.460 in technology-intensive industries, and an insignificant coefficient in capital-intensive industries. This pattern highlights the critical role of policy diffusion mechanisms in moderating industry heterogeneity. In technology-intensive industries, the policy effect under hierarchical diffusion is even stronger than in the full sample, indicating that top-down implementation—supported by administrative mandates and performance accountability—can significantly enhance strategic guidance and resource support for green innovation, sending a stronger incentive signal. In labor-intensive industries, although the coefficient remains negative, the inhibitory effect is more evident under the hierarchical mode. A plausible explanation is that the heightened intensity of environmental enforcement under this approach may compel firms with already narrow profit margins to prioritize survival-related expenditures over long-term investments such as green innovation.
Although the coefficient for capital-intensive industries remains statistically insignificant under the hierarchical mode, it turns positive—compared to the significantly negative estimate under the parallel mode. This shift suggests that stronger policy enforcement may help alleviate firms’ adaptation challenges and provide more room for buffering and support during green transition.
In summary, the empirical results in Table 6 systematically reveal significant heterogeneity in the green innovation effects of the RCS policy across industries. Technology-intensive industries emerge as the primary beneficiaries, especially under the hierarchical diffusion mode, whereas labor- and capital-intensive industries face dual challenges of either “insufficient incentives” or “implementation overload” under different diffusion pathways.
5.2.2. Heterogeneity Analysis by Region
The effects of the RCS policy exhibit notable regional heterogeneity, influenced by disparities in economic development, technological capacity, and resource endowments across different areas. The full-sample regression results in Table 7 show that the overall impact of the RCS on corporate green innovation varies substantially by region: it promotes green innovation in the eastern and western regions but appears to inhibit it in the central region.
Table 7.
Regional heterogeneity of RCS under different diffusion models.
A closer examination under the parallel diffusion mode reveals no statistically significant effects of the RCS on green innovation in any of the three regions—the coefficients of Treat × Post are −0.076 for the east, −0.209 for the central region, and 0.799 for the west, all insignificant. This pattern reflects the fragmented implementation typical of the parallel diffusion approach, where the absence of coordinated guidance and resource support prevents the policy from generating meaningful incentives. When local governments independently mimic policy measures from leading regions without adapting them to local basin characteristics or firms’ technical constraints, the result is often policy “maladaptation,” which fails to effectively stimulate corporate green innovation.
Under the hierarchical diffusion mode, by contrast, regional differences become more pronounced. The coefficient of Treat × Post is significantly positive in the eastern region (2.654, p < 0.1) and the western region (2.033, p < 0.1), but significantly negative in the central region (−1.713, p < 0.1). These results suggest that the RCS more effectively encourages green innovation in the economically developed eastern region and the resource-rich western region, whereas it has a limited or even adverse effect in the central region, where technological foundations are weaker and resource allocation is less adequate. The hierarchical diffusion mode enhances the rigidity and consistency of policy implementation through top-down planning and mandatory pressure. The eastern region, with its solid economic foundation, mature industrial system, and strong innovation capacity, is better positioned to leverage policy incentives such as tax benefits and green subsidies, thereby engaging in more breakthrough green innovation. Although the western region is less economically developed, its abundant natural resources and policy support—such as the Western Development Strategy—provide financial and market backing for green technology R&D, encouraging firms to pursue green innovation actively. In contrast, the central region, as a transitional zone undergoing economic restructuring, faces pressure to upgrade its industrial structure while constrained by limited technological R&D capability. In this context, firms may prioritize short-term regulatory compliance over long-term innovation, leading to suppressed motivation for substantive green innovation.
6. Conclusions and Policy Implications
6.1. Conclusions
Based on data from Shanghai and Shenzhen A-share listed companies spanning 2005 to 2022, this study employs a multi-period difference-in-differences (DID) approach to systematically examine the heterogeneous effects of the River Chief System (RCS) on corporate green innovation under parallel and hierarchical diffusion modes. The analysis further uncovers industrial and regional variations in policy effectiveness, as well as underlying mechanisms, thereby offering a theoretical and practical foundation for optimizing environmental policy design and advancing green economic development. The main findings are as follows: (1) Under the parallel diffusion mode, RCS does not significantly promote corporate green innovation, which lacks effect stems from local governments’ indiscriminate replication of the policy, resulting in poor local adaptation and a failure to build coordinated governance capacity. (2) In contrast, under the hierarchical diffusion mode, the RCS significantly enhances the level of corporate green innovation, particularly breakthrough green innovation, with a more pronounced effect than on incremental innovation. (3) Mechanism analysis indicates that the hierarchical diffusion mode facilitates green innovation mainly by alleviating corporate financing constraints and strengthening management’s green awareness. Specific pathways include policy support in the form of tax incentives and green subsidies, alongside mandatory pressure and publicity campaigns that elevate managerial environmental consciousness. (4) Heterogeneity analysis further reveals that under parallel diffusion, the policy not only exhibits an overall weak effect but also suppresses green innovation in capital-intensive industries. By comparison, under hierarchical diffusion, the policy promotes corporate green innovation in eastern and western regions, shows a stronger effect in technology-intensive industries, but inhibits innovation in labor-intensive industries and enterprises in central China.
6.2. Policy Implications
Based on the findings, this study proposes the following policy recommendations:
- Optimize the Policy Dissemination Mode and Enhance Hierarchical Execution Capacity
Given its stronger effect on spurring green innovation, the hierarchical diffusion mode should be prioritized to achieve sustainable environmental governance. The central government should strengthen top-level design by establishing unified implementation and evaluation standards, while providing clear guidance and oversight to ensure policy consistency and long-term sustainability, and local governments should adapt these guidelines to local ecological conditions, avoiding blind replication of policies from other regions to improve relevance and effectiveness.
- 2.
- Provide Targeted Support for Sustainable Breakthrough Innovation
Breakthrough green innovation should receive specific policy support as it contributes significantly to sustainable economic transformation. Under the hierarchical diffusion framework, this can include establishing special sustainability funds, offering higher subsidies or tax incentives for R&D in green technologies, and creating innovation platforms to facilitate industry–university–research collaboration and accelerate the market application of sustainable technologies.
- 3.
- Develop Sustainable Financing Mechanisms
To ease financing constraints that hinder corporate green innovation, the government should expand sustainable financial instruments such as green credit, green bonds, and environmental funds. Financial institutions should be encouraged to develop sustainable innovation-related products, thereby lowering financing costs and stimulating greater corporate investment in green R&D for long-term sustainable development.
- 4.
- Strengthen Sustainable Awareness on Green Cognition Among Corporate Leadership
Top management’s environmental cognition plays a critical role in shaping sustainable business strategies. The government should organize sustainability training sessions and workshops to deepen executives’ understanding of green innovation, while enforcing stricter penalties for pollution violations to compel attention to environmental risks and encourage proactive sustainable planning.
- 5.
- Formulate Policies Based on Industrial Nature and Regional Differences
Policy design should reflect industrial and regional heterogeneity to achieve balanced sustainable development: For technology-intensive industries should receive R&D subsidies and collaboration platforms to offset compliance costs while promoting sustainable technological advancement. For labor-intensive industries need low-cost green equipment and skill training to ensure a just transition to sustainable production. For capital-intensive firms may benefit from innovative tools such as green asset securitization and phased compliance schedules that consider sustainable transformation pathways; Regionally, the eastern region should leverage its strengths to pioneer sustainable innovation; the western region ought to enhance pollution control and policy enforcement; and the central region should foster interregional cooperation to adopt advanced technologies and sustainable governance experience.
- 6.
- Establish Sustainable Implementation Mechanisms
To help the RCS transition from symbolic adoption to substantive impact, a long-term monitoring and evaluation mechanism should be established with sustainability indicators. Increasing public participation and awareness can build external supervision and strengthen corporate responsiveness to RCS requirements, ultimately supporting the sustainable development goals of both economic growth and environmental protection.
However, this study has certain limitations. Firstly, we do not explicitly account for the possibility that the impact of RCS in one region may extend to and influence green innovation in neighboring areas. Future research could quantitatively analyze these direct and indirect spillover effects to develop a more comprehensive understanding of the policy’s overall impact. Secondly, within the context of staggered policy implementation, our model may be subject to the potential influence of staggered treatment bias, which has not been fully ruled out in the current analysis. If data conditions permit, subsequent studies could employ more flexible estimators to further verify the robustness of the findings.
Author Contributions
Conceptualization, Y.T. and D.Z.; methodology, D.Z. and Y.Q.; software, Danyang and Y.Q.; validation, Y.H. and F.T.; formal analysis, D.Z. and Y.Q.; investigation, Y.T.; resources, Y.T. and F.T.; data curation, D.Z. and Y.Q.; writing—original draft preparation, D.Z. and Y.Q.; writing—review and editing, Y.T. and D.Z.; visualization, Y.H.; supervision, Y.T.; project administration, F.T. and Y.Q.; funding acquisition, Y.T. All authors have read and agreed to the published version of the manuscript.
Funding
This research was funded by National Social Science Fund Projects: 25BGL101; the Later-stage Projects of Jiangsu Provincial Social Science Fund: 23HQB012; Fundamental Research Funds for the Central Universities: B240207055.
Institutional Review Board Statement
Not applicable.
Informed Consent Statement
Not applicable.
Data Availability Statement
All data can be obtained from the corporate annual report, the CSMAR database, and the State Intellectual Property Office.
Acknowledgments
We sincerely thank the editors, anonymous referees and others for their help, whose remarks and suggestions have been very constructive and inspiring in preparing the final version of the paper.
Conflicts of Interest
The authors declare no conflicts of interest.
Appendix A
Appendix A.1. Variable Definition
Table A1.
Variable definition.
Table A1.
Variable definition.
| Variable Category | Variable Name | Variable Symbol | Variable Definition |
|---|---|---|---|
| Explained Variable | Green Innovation | GrePat | Natural logarithm of total assets |
| Breakthrough Green Innovation | GreInPat | Take the logarithm of (current year–establishment year) | |
| Incremental Green Innovation | GreUtPat | Total liabilities/Total assets | |
| Patent Quality | CitePat | (Operating income–Operating cost)/Operating income | |
| Explanatory Variable | Policy Dummy Variable | Treat | (Net profit + Income tax + Financial expenses)/(Net profit + Income tax) |
| Time Dummy Variable | Post | Natural logarithm of the number of board members | |
| Mediating Variable | Financing Constraint | FC | Control right ratio–Ownership right ratio |
| Financing Constraint | SA | Book value/Total market value | |
| Top Management’s Green Cognition | GreCon | City fixed effect | |
| Control Variable | Firm Size | Size | Natural logarithm of total assets |
| Firm Age | Age | Take the logarithm of (current year–establishment year) | |
| Asset-Liability Ratio | Lev | Total liabilities/Total assets | |
| Gross Profit Margin | GProfit | (Operating income–Operating cost)/Operating income | |
| Financial Leverage | FL | (Net profit + Income tax + Financial expenses)/(Net profit + Income tax) | |
| Number of Board Members | Board | Natural logarithm of the number of board members | |
| Separation of Ownership and Control | Separate | Control right ratio–Ownership right ratio | |
| Book-to-Market Ratio | BM | Book value/Total market value | |
| Enterprise | Code | Enterprise fixed effect | |
| City | City | City fixed effect | |
| Year | Year | Year fixed effect |
Appendix A.2. Descriptive Statistics
Table A2 reports the descriptive statistical results of the main variables in this paper. Among them, the mean value of enterprises’ breakthrough green innovation (GreInPat) is 1.045, the maximum value is 559.000, the minimum value is 0.000, and the standard deviation is 9.016; the mean value of incremental green innovation (GreUtPat) is 0.676, the maximum value is 382.000, the minimum value is 0.000, and the standard deviation is 5.018. This shows that Chinese enterprises pay more attention to breakthrough environmental improvement and the improvement of resource utilization efficiency in terms of green innovation, rather than just staying at strategic or superficial innovation. This change may be related to enterprises’ in-depth understanding and positive response to the concept of green development, showing a positive transformation of Chinese enterprises on the road of green development.
Table A2.
Descriptive Statistics.
Table A2.
Descriptive Statistics.
| Variable | Observations | Mean | Median | Standard Deviation | Minimum | Maximum |
|---|---|---|---|---|---|---|
| GrePat | 33,176 | 1.721 | 0.000 | 13.261 | 0.000 | 941.000 |
| GreInPat | 33,176 | 1.045 | 0.000 | 9.016 | 0.000 | 559.000 |
| GreUtPat | 33,176 | 0.676 | 0.000 | 5.018 | 0.000 | 382.000 |
| Treat × Post | 33,176 | 0.293 | 0.000 | 0.455 | 0.000 | 1.000 |
| SA | 33,176 | −3.761 | −3.758 | 0.286 | −5.358 | −2.094 |
| FC | 33,176 | 0.486 | 0.502 | 0.283 | −0.0330 | 1.215 |
| GreCon | 33,176 | 2.411 | 1.0000 | 6.884 | 0.000 | 416.000 |
| Size | 33,176 | 22.157 | 21.95 | 1.342 | 19.050 | 28.64 |
| Lev | 33,176 | 0.415 | 0.412 | 0.197 | 0.00700 | 1.718 |
| Age | 33,176 | 2.818 | 2.890 | 0.396 | 0.000 | 4.025 |
| GProfit | 33,176 | 0.291 | 0.257 | 0.178 | −2.978 | 3.764 |
| FL | 33,176 | 1.350 | 1.059 | 14.62 | −582.6 | 2403 |
| Board | 33,176 | 2.140 | 2.197 | 0.203 | 0.693 | 2.890 |
| Separate | 33,176 | 4.509 | 0.000 | 7.938 | −138.6 | 97.070 |
| BM | 33,176 | 0.635 | 0.632 | 0.247 | −0.173 | 1.601 |
Appendix A.3. Poisson Pseudo-Maximum Likelihood
To further assess the robustness of the impact of the River Chief System (RCS) on corporate green innovation, this study employs the Poisson Pseudo-Maximum Likelihood (PPML) method to re-estimate the baseline regression. As shown in Table A3 of Appendix A, the coefficients of Treat × Post for GrePat, GrelnPat, and GreUtPat in the full sample are 0.296, 0.380, and 0.208, respectively, all statistically significant at conventional levels. These results confirm that the RCS continues to exhibit a significant positive effect on corporate green innovation. Further analysis by diffusion mode reveals that this effect is primarily driven by the hierarchical diffusion mode. Specifically, under this mode, the coefficient for GrelnPat is 0.420 (p < 0.05), and that for GreUtPat is 0.199 (p < 0.1), providing strong support for Hypotheses H1b and H1c. in contrast, the effect under the parallel diffusion mode remains insignificant, which aligns with H1a.These findings are highly consistent with the baseline results, further strengthening the reliability of the causal inference.
Table A3.
Poisson Regression Results.
Table A3.
Poisson Regression Results.
| Full Sample | Parallel Diffusion | Hierarchical Diffusion | |||||||
|---|---|---|---|---|---|---|---|---|---|
| GrePat | GreInPat | GreUtPat | GrePat | GreInPat | GreUtPat | GrePat | GreInPat | GreUtPat | |
| Treat × Post | 0.296 * | 0.380 ** | 0.208 * | 0.017 | −0.021 | 0.001 | 0.308 ** | 0.420 ** | 0.199 * |
| (1.913) | (2.128) | (1.306) | (0.059) | (−0.067) | (0.003) | (2.014) | (2.312) | (1.389) | |
| Size | 0.421 *** | 0.364 ** | 0.489 *** | 0.074 | 0.155 | −0.042 | 0.510 *** | 0.433 ** | 0.635 *** |
| (2.663) | (1.967) | (3.320) | (0.322) | (0.639) | (−0.186) | (3.004) | (2.121) | (4.417) | |
| Lev | −1.403 ** | −1.486 * | −1.146 * | −0.440 | −0.669 | −0.088 | −1.672 ** | −1.723 * | −1.430 ** |
| (−1.998) | (−1.873) | (−1.805) | (−0.870) | (−1.079) | (−0.173) | (−2.127) | (−1.906) | (−2.090) | |
| Age | 0.872 ** | 1.268 *** | 0.306 | 1.083 | 1.556 * | 0.761 | 0.801 ** | 1.157 ** | 0.165 |
| (2.324) | (2.942) | (0.815) | (1.380) | (1.929) | (0.980) | (2.074) | (2.452) | (0.551) | |
| GProfit | −0.252 | −0.172 | −0.256 | −0.781 | −0.387 | −1.032 * | −0.118 | −0.031 | −0.123 |
| (−0.852) | (−0.438) | (−0.896) | (−1.149) | (−0.381) | (−1.775) | (−0.369) | (−0.072) | (−0.400) | |
| FL | 0.000 *** | −0.000 | 0.000 *** | 0.002 | 0.002 | 0.005 | 0.000 ** | −0.000 | 0.000 ** |
| (2.869) | (−0.170) | (3.024) | (0.396) | (0.422) | (0.571) | (2.576) | (−0.448) | (2.257) | |
| Board | 0.189 | 0.457 | −0.197 | −0.471 | 0.093 | −0.921 * | 0.219 | 0.422 | −0.097 |
| (0.509) | (0.989) | (−0.793) | (−0.839) | (0.118) | (−1.856) | (0.524) | (0.821) | (−0.351) | |
| Separate | −0.011 | −0.017 | 0.000 | 0.005 | 0.007 | 0.004 | −0.017 * | −0.024 * | −0.002 |
| (−1.252) | (−1.381) | (0.032) | (0.524) | (0.627) | (0.387) | (−1.788) | (−1.899) | (−0.396) | |
| BM | −0.583 *** | −0.658 ** | −0.511 *** | 0.013 | −0.342 | 0.413 | −0.710 *** | −0.695 ** | −0.773 *** |
| (−2.919) | (−2.544) | (−2.662) | (0.048) | (−1.172) | (1.409) | (−3.092) | (−2.331) | (−3.988) | |
| Enterprise | YES | YES | YES | YES | YES | YES | YES | YES | YES |
| City | YES | YES | YES | YES | YES | YES | YES | YES | YES |
| Year | YES | YES | YES | YES | YES | YES | YES | YES | YES |
| N | 19,337.000 | 16,314.000 | 15,336.000 | 4816.000 | 3860.000 | 3982.000 | 14,501.000 | 12,439.000 | 11,343.000 |
Note: * p < 0.1, ** p < 0.05, *** p < 0.01. Numbers in parentheses are t-values.
Appendix A.4. Endogeneity Test
Table A4.
Endogeneity test.
Table A4.
Endogeneity test.
| Full Sample | Parallel Diffusion Mode | Hierarchical Diffusion Mode | ||||
|---|---|---|---|---|---|---|
| GrePat | GrePat | GrePat | GrePat | GrePat | GrePat | |
| L.Treat × Post | 1.393 * | −0.080 | 1.919 * | |||
| (1.771) | (−0.265) | (1.836) | ||||
| Treat × Post | 1.874 * | −0.115 | 2.551 * | |||
| (1.771) | (−0.266) | (1.837) | ||||
| Size | 0.938 * | 0.962 * | 0.122 | 0.122 | 1.287 * | 1.324 * |
| (1.688) | (1.697) | (0.509) | (0.504) | (1.664) | (1.676) | |
| Lev | −1.782 | −1.761 | −0.748 | −0.753 | −2.268 | −2.255 |
| (−1.080) | (−1.074) | (−1.224) | (−1.234) | (−1.004) | (−1.001) | |
| Age | −1.278 | −1.339 | 2.548 | 2.554 | −2.717 | −2.789 |
| (−0.385) | (−0.400) | (0.722) | (0.721) | (−0.642) | (−0.655) | |
| GProfit | −2.073 ** | −2.154 ** | −1.170 ** | −1.173 ** | −2.620 ** | −2.792 ** |
| (−2.542) | (−2.552) | (−2.019) | (−2.019) | (−2.302) | (−2.327) | |
| FL | 0.001 * | 0.001 ** | 0.001 | 0.001 | 0.001 ** | 0.001 ** |
| (1.919) | (2.026) | (0.383) | (0.392) | (1.989) | (2.072) | |
| Board | −0.467 | −0.423 | −0.518 | −0.516 | −0.541 | −0.444 |
| (−0.599) | (−0.552) | (−0.841) | (−0.836) | (−0.540) | (−0.456) | |
| Separate | −0.022 | −0.023 | −0.004 | −0.004 | −0.029 | −0.030 |
| (−1.493) | (−1.519) | (−0.367) | (−0.363) | (−1.393) | (−1.419) | |
| BM | −1.889 | −1.903 | 0.563 | 0.559 | −2.997 * | −3.042 * |
| (−1.501) | (−1.504) | (0.651) | (0.651) | (−1.711) | (−1.715) | |
| C-D Wald F statistic | 40,947.56 | 8702.38 | 31,076.89 | |||
| LM statistic | 1104.93 *** | 212.98 *** | 963.174 *** | |||
| Sargan statistic | 0.000 | 0.000 | 0.000 | |||
| Code | Yes | Yes | Yes | |||
| City | Yes | Yes | Yes | |||
| Year | Yes | Yes | Yes | |||
| _cons | −12.158 ** | −7.419 | −14.439 ** | |||
| (−2.371) | (−1.039) | (−2.182) | ||||
| N | 30,314 | 30,314 | 7972 | 7972 | 22,335 | 22,335 |
| r2 | 0.547 | 0.003 | 0.429 | 0.002 | 0.556 | 0.004 |
| r2_a | 0.496 | −0.009 | 0.364 | −0.008 | 0.505 | −0.010 |
Note: * p < 0.1, ** p < 0.05, *** p < 0.01. Numbers in parentheses are t-values.
References
- Ren, S.G.; Zheng, J.J.; Liu, D.H. Does the Emission Trading Scheme Improve Corporate Total Factor Productivity? Evidence from Chinese Listed Companies. China Ind. Econ. 2019, 5–23. [Google Scholar] [CrossRef]
- Han, Q.; Zhang, X.J. Does Industrial Specialization Agglomeration Aggravate Environmental Pollution?—An Empirical Study Based on Panel Data of Industrial Sectors. Shanghai J. Econ. 2023, 84–94. [Google Scholar] [CrossRef]
- Xie, R.H. Green Technological Progress, Positive Externalities and China’s Environmental Pollution Governance. Manag. Rev. 2021, 33, 111–121. [Google Scholar]
- Du, K.R.; Cheng, Y.Y.; Yao, X. Environmental regulation, green technology innovation, and industrial structure upgrading: Theroad to the green transformation of Chinese cities. Energy Econ. 2021, 98, 105247. [Google Scholar] [CrossRef]
- Zhou, L.; Li, L.Z.; Huang, J.K. The River Chief System and Agricultural Non-Point Source Water Pollution Control in China. J. Integr. Agric. 2021, 20, 1382–1395. [Google Scholar] [CrossRef]
- Li, Q.; Wang, Y. Environmental Decentralization, Environmental Interview and Environmental Pollution. Stat. Res. 2020, 37, 66–78. [Google Scholar]
- Shen, K.R.; Jin, G. Policy Effects of Local Government Environmental Governance in China: A Study Based on the Evolution of the “River Chief System”. Soc. Sci. China 2018, 41, 92–115+206. [Google Scholar]
- Li, X.S.; Zhou, M.; Wang, C.P. Local Government Environmental Policy Innovation and Corporate Environmental Performance: A Micro-Empirical Study Based on the River Chief System Policy in the Yangtze River Delta. Chin. J. Pop. Resour. Environ. 2023, 33, 77–90. [Google Scholar]
- Li, L.Z.; Yang, Y.; Zhou, L. Boundary of the river chief: Reflection on administrative power in basin water pollution control. Chin. J. Pop. Resour. Environ. 2022, 32, 147–154. [Google Scholar]
- Li, Q.Y.; Xiao, Z.H. Heterogeneous Environmental Regulation Tools and Incentives for Corporate Green Innovation: Evidence from Green Patents of Listed Companies. Econ. Res. J. 2020, 55, 192–208. [Google Scholar]
- Wang, C.J.; Li, S.H.; Zeng, S. Can the “River Chief System” Policy Stimulate Green Innovation? Chin. J. Pop. Resour. Environ. 2023, 33, 161–171. [Google Scholar]
- Ding, R.; Sun, F. Impact of River Chief System on Green Technology Innovation: Empirical Evidence from the Yangtze River Economic Belt. Sustainability 2023, 15, 6575. [Google Scholar] [CrossRef]
- Wang, B.B.; Qi, S.Z. The Effect of Market-Oriented and Command-and-Control Policy Tools on Energy Conservation and Emission Reduction Technology Innovation: An Empirical Study Based on Patent Data of China’s Industrial Sectors. China Ind. Econ. 2016, 91–108. [Google Scholar] [CrossRef]
- Liu, H.J.; Hu, H.G.; Zhang, S.S. Green Innovation Effect of Supply Chain Digitalization. J. Fin. Econ. 2023, 49, 4–18. [Google Scholar]
- Zhang, Z.; Luo, C.; Zhang, G. New Energy Policy and Green Technology Innovation of New Energy Enterprises: Evidence from China. Energy Econ. 2024, 136, 107743. [Google Scholar] [CrossRef]
- Pan, Z.C.; Ma, L.Y.; Zhu, Y.C. Quantitative Evaluation of China’s River Chief System Policy Based on Characteristic Analysis. Soft Sci. 2023, 37, 134–144. [Google Scholar]
- Wang, B.B.; Mo, Q.H.; Qian, H.Q. The Diffusion Mode and Implementation Effect of Local Environmental Policy Innovation: A Micro-Empirical Study Based on the Diffusion of the River Chief System Policy. China Ind. Econ. 2020, 99–117. [Google Scholar] [CrossRef]
- Wang, Q.; Ren, X.M. The Dissemination Mechanism of Local Government Policy Innovation through Intergovernmental Relations: A Genealogical Examination of the River Chief System. Theory Mon. 2024, 41–50. [Google Scholar] [CrossRef]
- Zhu, X.F.; Zhao, H. The Diffusion of Social Policies from the Perspective of Intergovernmental Relations: A Case Study of the Urban Minimum Living Security System (1993–1999). Soc. Sci. China 2016, 39, 95–116+206. [Google Scholar]
- Wang, Z.; Chen, C. Hotspots of the Policy Diffusion Research in China and Its Evolution-An Analysis Based on CiteSpace Knowledge Mapping. Soft Sci. 2025, 39, 1–14. [Google Scholar]
- He, B.; Li, S.; Wang, N. Central Policy Attitudes and Innovation Diffusion of Local Government: The Case of China’s River Chief System. Environ. Sci. Pollut. Res. 2024, 31, 57099–57113. [Google Scholar] [CrossRef]
- Li, Z.C. The Multiple Logics of Policy Pilot Promotion: An Analysis Based on China’s Smart City Pilots. J. Public Manag. 2019, 16, 145–156+175. [Google Scholar]
- Hu, S.; Yu, Y.Z. Digital Economy and Corporate Innovation: Breakthrough Innovation or Incremental Innovation? Res. Financ. Econ. Lss. 2022, 42–51. [Google Scholar] [CrossRef]
- Irene, F.; Tabby, G.; Ciro, T. Antecedents of Successful Diffusion of Breakthrough Innovations Past the Formative Phase: Perceptions of Innovation-Engaged Practitioners. Technovation 2023, 127, 102851. [Google Scholar] [CrossRef]
- Zeng, J.W. Cross-Boundary Search and Breakthrough Innovation: The Role of Knowledge Inertia and Knowledge Synergy Capability. Sci. Res. Manag. 2023, 44, 144–152. [Google Scholar]
- Xu, J.; Cui, J.B. Low-Carbon Cities and Corporate Green Technology Innovation. China Ind. Econ. 2020, 178–196. [Google Scholar] [CrossRef]
- Hu, J.; Yu, X.R.; Han, Y.M. Can ESG Ratings Promote Corporate Green Transformation? Verification Based on the Multi-Period Difference-in-Differences Method. J. Quant. Tech. Econ. 2023, 40, 90–111. [Google Scholar]
- He, Z.H.; Cheng, S.; Li, J.L. The Influence of Digital Economy on Regional Green Innovation and its Spatial Effect Analysis: Based on Empirical Evidence from 271 Cities in China. Sci. Sci. Manag. S. T. 2025, 46, 30–47. [Google Scholar]
- Liu, J.K.; Xiao, Y.Y. China’s Environmental Protection Tax and Green Innovation: Incentive Effect or Crowding-out Effect? Econ. Res. 2022, 57, 72–88. [Google Scholar]
- Wang, Y.G.; Li, X. Promoting or Inhibiting: The Impact of Government R&D Subsidies on the Green Innovation Performance of Firms. China Ind. Econ. 2023, 131–149. [Google Scholar] [CrossRef]
- Wang, X.; Wang, Y. Research on Green Credit Policy Promoting Green Innovation. Manag. World 2021, 37, 173–188+11. [Google Scholar]
- Wu, J.Z.; Hua, X.Y. Top Management Team Attention and Firm Green Innovation Strategy: Empirical Evidence from Listed Chinese Manufacturing companies. Sci. Sci. Manag. S T 2021, 42, 122–142. [Google Scholar]
- Hojnik, J.; Ruzzier, M. The Driving Forces of Process Eco-Innovation and Its Impact on Performance: Insights from Slovenia. J. Clean. Prod. 2016, 133, 812–825. [Google Scholar] [CrossRef]
- Chang, Q.; Wei, J.R.; Zhang, L. Traceability, Knowledge Structure, and Prospect of Upper Echelons Theory. Chin. J. Manag. 2024, 21, 1411–1422. [Google Scholar]
- Xi, L.S.; Zhao, H. Top Management’s Ambidextrous Environmental Cognition, Green Innovation, and Corporate Sustainable Development Performance. Bus. Manag. J. 2022, 44, 139–158. [Google Scholar]
- Beck, T.; Levine, R.; Levkov, A. Big Bad Banks? The Winners and Losers from Bank Deregulation in the United States. J. Fin. 2010, 65, 1637–1667. [Google Scholar] [CrossRef]
- Jiang, T. Mediating Effect and Moderating Effect in Empirical Studies of Causal Inference. China Ind. Econ. 2022, 100–120. [Google Scholar] [CrossRef]
- Zhang, Z.N.; Qian, X.Y.; Cao, X.W. Research on the green innovation effect of enterprise digital transformation: Substantive innovation or strategic innovation? Ind. Econ. Res. 2023, 86–100. [Google Scholar] [CrossRef]
- Yang, Q.Y.; Gao, D.; Song, D.Y.; Li, Y. Environmental Regulation, Pollution Reduction and Green Innovation: The Case of the Chinese Water Ecological Civilization City Pilot Policy. Econ. Syst. 2021, 45, 100911. [Google Scholar] [CrossRef]
- Kaplan, S.; Zingales, L. Do Investment-Cash Flow Sensitivities Provide Useful Measures of Financing Constraints? Q. J. Econ. 1997, 112, 169–215. [Google Scholar] [CrossRef]
- Hadlock, C.J.; Pierce, J.R. New Evidence on Measuring Financial Constraints: Moving Beyond the KZ Index. Rev. Financ. Stud. 2010, 23, 1909–1940. [Google Scholar] [CrossRef]
- Pan, A.E.; Guo, Q.S. Government Supervision and Corporate Environmental Information Disclosure: The Moderating Role of Top Management’s Environmental Awareness. Soft Sci. 2018, 32, 84–87. [Google Scholar]
- Qi, S.Z.; Lin, S.; Cui, J.B. Can Environmental Rights Trading Markets Induce Green Innovation? Evidence from Green Patent Data of Listed Companies in China. Econ. Res. J. 2018, 53, 129–143. [Google Scholar]
- Wang, F.; Ge, X. Does Low-Carbon Transition Impact Employment? Empirical Evidence from Low-Carbon City Pilots. China Ind. Econ. 2022, 81–99. [Google Scholar] [CrossRef]
- Shi, X.; Zhang, Y. Impact of Green Finance Policy on Green Technological Innovation and the Mechanism Underlying the Impact—A Quasi-Natural Experiment Based on Reform and Innovation Pilot Zone. Manag. Rev. 2024, 36, 107–118. [Google Scholar]
- He, G.; Wang, S.; Zhang, B. Watering Down Environmental Regulation in China*. Q. J. Econ. 2020, 135, 2135–2185. [Google Scholar] [CrossRef]
- Zhou, Q.; Huang, G.X.; Ma, Y.S.; Ren, S.G. The Impact of River Chief Policy on Corporate Environmental Governance Strategies. Reform 2024, 127–146. [Google Scholar]
Disclaimer/Publisher’s Note: The statements, opinions and data contained in all publications are solely those of the individual author(s) and contributor(s) and not of MDPI and/or the editor(s). MDPI and/or the editor(s) disclaim responsibility for any injury to people or property resulting from any ideas, methods, instructions or products referred to in the content. |
© 2025 by the authors. Licensee MDPI, Basel, Switzerland. This article is an open access article distributed under the terms and conditions of the Creative Commons Attribution (CC BY) license (https://creativecommons.org/licenses/by/4.0/).




