Influence of Loadshedding on Air Quality: A South African Scenario
Abstract
1. Introduction
2. Study Area
3. Data and Methods
3.1. Sentinel-5P (TROPOMI)
3.2. Atmospheric Infrared Sounder (AIRS)
3.3. Global Precipitation Measurement (GPM)
3.4. Pearson’s Correlation
4. Results
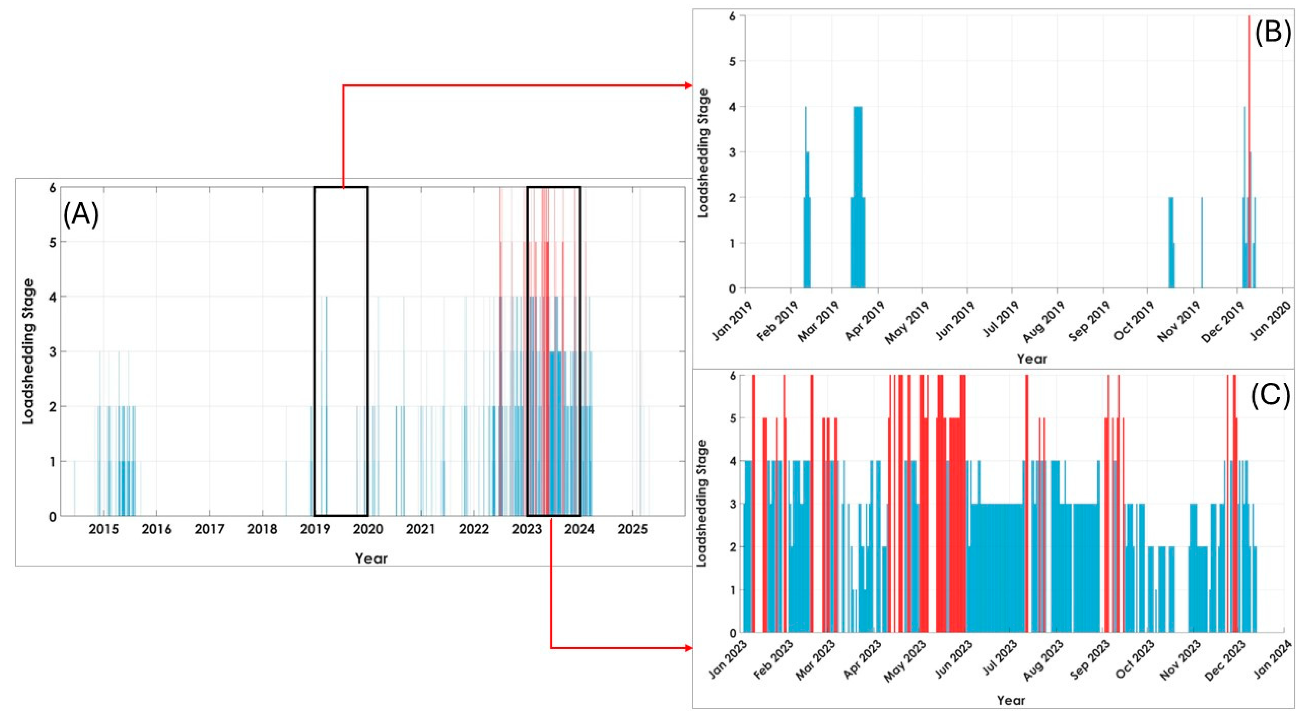
4.1. Loadshedding Stages Timeseries
4.2. NO2 and SO2 Concentrations in 2019 and 2023
4.3. Temperature and Precipitation Timeseries for 2019 and 2023
4.4. Correlation Matrices
5. Discussion and Conclusions
Author Contributions
Funding
Institutional Review Board Statement
Informed Consent Statement
Data Availability Statement
Acknowledgments
Conflicts of Interest
References
- Pegels, A. Renewable Energy in South Africa: Potentials, Barriers and Options for Support. Energy Policy 2010, 38, 4945–4954. [Google Scholar] [CrossRef]
- Meles, T.H. Impact of Power Outages on Households in Developing Countries: Evidence from Ethiopia. Energy Econ. 2020, 91, 104882. [Google Scholar] [CrossRef]
- Harald, W.; Samantha, K.; Andrew, M. Climate Finance to Transform Energy as Part of a Just Transition in South Africa; University of Cape Town: Cape Town, South Africa, 2020. [Google Scholar]
- Kusakana, K. Techno-Economic Analysis of Hydro Aeropower Systems for Energy Cost Reduction in Farming Activities. Int. J. Smart Grid Clean Energy 2020, 9, 989–999. [Google Scholar] [CrossRef]
- Ateba, B.B.; Prinsloo, J.J.; Gawlik, R. The Significance of Electricity Supply Sustainability to Industrial Growth in South Africa. Energy Rep. 2019, 5, 1324–1338. [Google Scholar] [CrossRef]
- Schoeman, T.; Saunders, M. The Impact of Power Outages on Small Businesses in the City of Johannesburg. In Proceedings of the International Conference on Education, Business, Humanities and Social Science Studies, Cape Town, South Africa, 19–20 November 2018; pp. 328–333. [Google Scholar]
- Western Cape Government. Load Shedding Fact Sheet; Western Cape Government: Cape Town, South Africa, 2019.
- du Venage, G. South Africa Comes to Standstill with Eskom’s Load Shedding. Available online: https://www.e-mj.com/news/this-month-in-coal/south-africa-comes-to-standstill-with-eskoms-load-shedding (accessed on 18 June 2025).
- Daily Maverick It’s Now Official: South Africa Has Now Had More Load Shedding in 2023 to Date Than in 2022 Combined. Available online: https://www.dailymaverick.co.za/article/2023-05-12-its-now-official-south-africa-has-now-had-more-load-shedding-in-2023-to-date-than-in-2022-combined (accessed on 18 June 2025).
- Alhelou, H.H.; Hamedani-Golshan, M.E.; Njenda, T.C.; Siano, P. A Survey on Power System Blackout and Cascading Events: Research Motivations and Challenges. Energies 2019, 12, 682. [Google Scholar] [CrossRef]
- Shikwambana, L.; Mhangara, P.; Mbatha, N. Trend Analysis and First Time Observations of Sulphur Dioxide and Nitrogen Dioxide in South Africa Using TROPOMI/Sentinel-5P Data. Int. J. Appl. Earth Obs. Geoinf. 2020, 91, 102130. [Google Scholar] [CrossRef]
- Fouladi-Fard, R.; Naddafi, K.; Hosseini, M.R.; Yunesian, M.; Nodehi, R.N.; Dehghani, M.H.; Hassanvand, M.S.; Dehabadi, M.; Fiore, M.; Rahimi, N.R. The Effect of Power Plant Fuel Change on the Air Pollution (SO2 and NOX) of Surrounding Areas: A Passive Measurement Method and Health Risk Assessment. Res. Sq. 2022, 1–20. [Google Scholar] [CrossRef]
- Marais, E.A.; Wiedinmyer, C. Air Quality Impact of Diffuse and Inefficient Combustion Emissions in Africa (DICE-Africa). Env. Sci. Technol. 2016, 50, 10739–10745. [Google Scholar] [CrossRef] [PubMed]
- Rafaj, P.; Kiesewetter, G.; Gül, T.; Schöpp, W.; Cofala, J.; Klimont, Z.; Purohit, P.; Heyes, C.; Amann, M.; Borken-Kleefeld, J. Outlook for Clean Air in the Context of Sustainable Development Goals. Glob. Environ. Chang. 2018, 53, 1–11. [Google Scholar] [CrossRef]
- Emberson, L.D.; Ashmore, M.R.; Murray, F.; Kuylenstierna, J.C.I.; Percy, K.E.; Izuta, T.; Zheng, Y.; Shimizu, H.; Sheu, B.H.; Liu, C.P.; et al. Impacts of Air Pollutants on Vegetation in Developing Countries. Water Air Soil Pollut. 2001, 130, 107–118. [Google Scholar] [CrossRef]
- World Health Organization. Ambient Air Pollution: A Global Assessment of Exposure and Burden of Disease; WHO: Geneva, Switzerland, 2016.
- Department of Forestry, Fisheries & Environment. National Environmental Management: Air Quality Act: Second-Generation Highveld Priority Area Air Quality Management Plan; Department of Forestry, Fisheries & Environment: Pretoria, South Africa, 2025.
- Dahiya, S.; Anhäuser, A.; Farrow, A.; Thieriot, H.; Kumar, A.; Myllyvirta, L. Global SO2 Emission Database; Centre for Research on Energy and Clean Air (CREA): Delhi, India, 2020. [Google Scholar]
- Levelt, P.F.; Joiner, J.; Tamminen, J.; Veefkind, J.P.; Bhartia, P.K.; Zweers, D.C.S.; Duncan, B.N.; Streets, D.G.; Eskes, H.; Van Der, R.A.; et al. The Ozone Monitoring Instrument: Overview of 14 Years in Space. Atmos. Chem. Phys. 2018, 18, 5699–5745. [Google Scholar] [CrossRef]
- Veefkind, J.P.; Aben, I.; McMullan, K.; Förster, H.; de Vries, J.; Otter, G.; Claas, J.; Eskes, H.J.; de Haan, J.F.; Kleipool, Q.; et al. TROPOMI on the ESA Sentinel-5 Precursor: A GMES Mission for Global Observations of the Atmospheric Composition for Climate, Air Quality and Ozone Layer Applications. Remote Sens. Environ. 2012, 120, 70–83. [Google Scholar] [CrossRef]
- Garnham, B.L.; Langerman, K.E. Mercury emissions from South Africa’s coal-fired power stations. Clean Air J. 2016, 26, 14–20. [Google Scholar] [CrossRef]
- Keli, Z.; Mhangara, P.; Shikwambana, L. Monitoring the Trends in Emissions from Coal-Fired Power Stations in Lephalale (Limpopo) during the 2010–2022 Period Using Remotely Sensed Data. Clean Air J. 2024, 34, 1–10. [Google Scholar] [CrossRef]
- Sekonya, K.G. Development of a 6 MV Tandem Accelerator Mass Spectrometry Facility and Its Applications. Master’s Thesis, University of the Witwatersrand, Johannesburg, South Africa, 2019. [Google Scholar]
- Mwale, S.; Davidson, I. Power Deficits and Outage Planning in South Africa. J. Energy Chall. Mech. 2014, 1, 19–21. [Google Scholar]
- Data World. Mpumalanga Spatial Development Framework; Data World Pty Limited: Durban, South Africa, 2018. [Google Scholar]
- Chabedi, K.; Mhlongo, S. Mining of the Waterberg—A Unique Deposit Requiring Innovative Solutions. Int. J. Georesour. Environ. 2018, 4, 127–132. [Google Scholar]
- Myllyvirta, L.; Kelly, J. Health Impacts of Delaying Coal Power Plant Decommissioning in South Africa. Centre for Research on Energy and Clean Air. 2023. Available online: https://energyandcleanair.org (accessed on 9 June 2025).
- Lephalale Municipality. Lephalale Municipality Annual Report 2023–2024; Lephalale Municipality: Lephalale, South Africa, 2024.
- Campbell, M.; Nel, V.; Mphambukeli, T. eMalahleni. In Secondary Cities and Development; Campbell, M., Nel, V., Mphambukeli, T., Eds.; Routledge: London, UK, 2017; pp. 61–78. [Google Scholar]
- Maswanganyi, C.; Tshilongo, J.; Mkhohlakali, A.; Martin, L. Evaluation of Ambient NO2 and SO2 Concentrations at Lephalale, Polokwane, and Steelpoort Area in the Limpopo Province of South Africa. Open J. Air Pollut. 2024, 13, 111–126. [Google Scholar] [CrossRef]
- Magagula, M.; Atangana, E.; Oberholster, P. Assessment of the Impact of Coal Mining on Water Resources in Middelburg, Mpumalanga Province, South Africa: Using Different Water Quality Indices. Hydrology 2024, 11, 113. [Google Scholar] [CrossRef]
- Lourens, A.S.; Beukes, J.P.; van Zyl, P.G.; Fourie, G.D.; Burger, J.W.; Pienaar, J.J.; Read, C.E.; Jordaan, J.H. Spatial and Temporal Assessment of Gaseous Pollutants in the Highveld of South Africa. S. Afr. J. Sci. 2011, 107, 1–8. [Google Scholar] [CrossRef]
- Aurela, M.; Beukes, J.P.; Van Zyl, P.; Vakkari, V.; Teinilä, K.; Saarikoski, S.; Laakso, L. The composition of ambient and fresh biomass burning aerosols at a savannah site, South Africa. S. Afr. J. Sci. 2016, 112, 1–8. [Google Scholar] [CrossRef]
- Theys, N.; Hedelt, P.; De Smedt, I.; Lerot, C.; Yu, H.; Vlietinck, J.; Pedergnana, M.; Arellano, S.; Galle, B.; Fernandez, D.; et al. Global monitoring of volcanic SO2 degassing with unprecedented resolution from TROPOMI onboard Sentinel-5 Precursor. Sci. Rep. 2019, 9, 2643. [Google Scholar] [CrossRef] [PubMed]
- Tilstra, L.G.; de Graaf, M.; Wang, P.; Stammes, P. In-orbit Earth reflectance validation of TROPOMI on board the Sentinel-5 Precursor satellite. Atmos. Meas. Tech. 2020, 13, 4479–4497. [Google Scholar] [CrossRef]
- Verhoelst, T.; Compernolle, S.; Pinardi, G.; Lambert, J.-C.; Eskes, H.J.; Eichmann, K.-U.; Fjæraa, A.M.; Granville, J.; Nie-meijer, S.; Cede, A.; et al. Ground-based validation of the Copernicus Sentinel-5P TROPOMI NO2 measurements with the NDACC ZSL-DOAS, MAX-DOAS and Pandonia global networks. Atmos. Meas. Tech. 2021, 14, 481–510. [Google Scholar] [CrossRef]
- Hartmut, H.; Aumann, H.; Miller, C.R. Atmospheric infrared sounder (AIRS) on the earth observing system. In Advanced and Next-Generation Satellites; SPIE: Bellingham, WA, USA, 1995; Volume 2583. [Google Scholar]
- Chahine, M.T.; Pagano, T.; Aumann, H.; Atlas, R.; Barnet, C.; Blaisdell, J.; Chen, L.; Divakarla, M.; Fetzer, E.; Goldberg, M.; et al. AIRS: Improving weather forecasting and providing new data on greenhouse gases. Bull. Am. Meteorol. Soc. 2006, 87, 911–926. [Google Scholar] [CrossRef]
- Menzel, W.P.; Schmit, T.J.; Zhang, P.; Li, J. Satellite-Based Atmospheric Infrared Sounder Development and Applications. Bull. Am. Meteorol. Soc. 2018, 99, 583–603. [Google Scholar] [CrossRef]
- Skofronick-Jackson, G.; Kirschbaum, D.; Petersen, W.; Huffman, G.; Kidd, C.; Stocker, E.; Kakar, R. The Global Precipitation Measurement (GPM) mission’s scientific achievements and societal contributions: Reviewing four years of advanced rain and snow observations. Q. J. R. Meteorol. Soc. 2018, 144, 27–48. [Google Scholar] [CrossRef] [PubMed]
- National Aeronautics and Space Administration. Global Precipitation Measurement. Available online: https://gpm.nasa.gov/ (accessed on 27 September 2022).
- Skofronick-Jackson, G.; Petersen, W.A.; Berg, W.; Kidd, C.; Stocker, E.F.; Kirschbaum, D.B.; Kakar, R.; Braun, S.A.; Huffman, G.J.; Iguchi, T.; et al. The Global Precipitation Measurement (GPM) mission for science and society. Bull. Am. Meteorol. Soc. 2017, 98, 1679–1695. [Google Scholar] [CrossRef]
- Skofronick-Jackson, G.M.; Johnson, B.T.; Munchak, S.J. Detection thresholds of falling snow from satellite-borne active and passive sensors. IEEE Trans. Geosci. Remote Sens. 2013, 51, 4177–4189. [Google Scholar] [CrossRef]
- Kirch, W. (Ed.) Pearson’s Correlation Coefficient. In Encyclopedia of Public Health; Springer: Dordrecht, The Netherlands, 2008; pp. 1090–1091. [Google Scholar]
- Benesty, J.; Chen, J.; Huang, Y.; Cohen, I. Pearson Correlation Coefficient. In Noise Reduction in Speech Processing; Springer: Berlin/Heidelberg, Germany, 2009; Volume 2, pp. 37–40. [Google Scholar]
- Shikwambana, L.; Xongo, K.; Mashalane, M.; Mhangara, P. Climatic and Vegetation Response Patterns over South Africa during the 2010/2011 and 2015/2016 Strong ENSO Phases. Atmosphere 2023, 14, 416. [Google Scholar] [CrossRef]
- Masingaand, F.; Madzivhandila, T. Loadshedding Impact on Food Spoilage: An Analysis of Household Experiences in South Africa. Afr. J. Gov. Dev. 2023, 12, 182–197. [Google Scholar] [CrossRef]
- Naidoo, C. The Impact of Load Shedding on the South Africa Economy. J. Public Adm. 2023, 58, 7–11. Available online: https://hdl.handle.net/10520/ejc-jpad_v58_n1_a2 (accessed on 27 September 2025).
- Laher, A.E.; van Aardt, B.J.; Craythorne, A.D.; van Welie, M.; Malinga, D.M.; Madi, S. ‘Getting out of the dark’: Implications of load shedding on healthcare in South Africa and strategies to enhance preparedness. S. Afr. Med. J. 2019, 109, 899–901. [Google Scholar] [CrossRef] [PubMed]
- Booysen, M.J.; Abraham, C.J.; Rix, A.J.; Giliomee, J.H. Electrification of minibus taxis in the shadow of load shedding and energy scarcity. S. Afr. J. 2022, 118. [Google Scholar] [CrossRef] [PubMed]






| Input Data Source | Product Used | Output Data |
|---|---|---|
| Sentinel-5P | NO2 and SO2 concentration (µg·m−3) | Spatial distribution maps of NO2 and SO2 Timeseries plots of NO2 and SO2 (monthly) |
| AIRS | Temperature (°C) | Timeseries plot of temperature (monthly) |
| GPM | Precipitation (mm/month) | Timeseries plot of precipitation (monthly) |
| ESKOM | Loadshedding stages | Timeseries plot of loadshedding stages (monthly) |
Disclaimer/Publisher’s Note: The statements, opinions and data contained in all publications are solely those of the individual author(s) and contributor(s) and not of MDPI and/or the editor(s). MDPI and/or the editor(s) disclaim responsibility for any injury to people or property resulting from any ideas, methods, instructions or products referred to in the content. |
© 2025 by the authors. Licensee MDPI, Basel, Switzerland. This article is an open access article distributed under the terms and conditions of the Creative Commons Attribution (CC BY) license (https://creativecommons.org/licenses/by/4.0/).
Share and Cite
Xongo, K.; Molefe, M.; Shikwambana, L. Influence of Loadshedding on Air Quality: A South African Scenario. Sustainability 2025, 17, 8758. https://doi.org/10.3390/su17198758
Xongo K, Molefe M, Shikwambana L. Influence of Loadshedding on Air Quality: A South African Scenario. Sustainability. 2025; 17(19):8758. https://doi.org/10.3390/su17198758
Chicago/Turabian StyleXongo, Kanya, Moleboheng Molefe, and Lerato Shikwambana. 2025. "Influence of Loadshedding on Air Quality: A South African Scenario" Sustainability 17, no. 19: 8758. https://doi.org/10.3390/su17198758
APA StyleXongo, K., Molefe, M., & Shikwambana, L. (2025). Influence of Loadshedding on Air Quality: A South African Scenario. Sustainability, 17(19), 8758. https://doi.org/10.3390/su17198758

