Research on Green Supply Chain Decision-Making Considering Government Subsidies and Service Levels Under Different Dominant-Force Structures
Abstract
1. Introduction
- (1)
- How do different dominant-power structures affect manufacturers’ product greenness and e-commerce platform self-operators’ service level decisions under government subsidies and no subsidy conditions?
- (2)
- Under different dominant-power structures, can government subsidies always improve the overall performance of the supply chain?
- (3)
- Under what dominant-force structure and subsidy mechanism can the supply chain members and system performance be optimized and the green product promotion effect be best?
2. Literature Review
2.1. Research on Supply Chains with Different Dominant-Force Structures
2.2. The Impact of Product Greenness on the Supply Chain
2.3. Impact of Service Level on Supply Chain
2.4. The Impact of Government Subsidies on the Supply Chain
- Theoretical innovation: introducing the perspective of multiple dominant-force structures’ refining the new green supply chain operation model dominated by e-commerce platform self-operators, responding to the evolution trend of supply chain dominance in the background of the digital economy, revealing the role of the “service–subsidy” synergy mechanism in green consumption incentives, and enriching the research on the intersection of the green supply chain and digital operation.
- Methodological innovation: constructing a green supply chain game model that includes product greenness, service level and government subsidies, comparing the optimal strategies under three typical dominant-force structures (centralized decision-making, manufacturer-led, and e-commerce platform self-operator-led), revealing the changing laws of product greenness, service level and profit performance under the interaction of subsidy mechanism and dominant-force structure, and providing theoretical support and practical reference for government green policy optimization and corporate strategy formulation.
3. Problem Description and Model Assumptions
3.1. Problem Description
3.2. Basic Assumptions
4. Model Construction and Solution
4.1. Supply Chain Decision Model Without Government Subsidy
4.1.1. Centralized Decision-Making Model (AC Model)
4.1.2. Manufacturer-Led Decision-Making Model (AM Model)
4.1.3. E-Commerce Platform Self-Operator-Led Decision-Making Model (AE Model)
4.2. Supply Chain Decision Model When Government Subsidizes Manufacturers
4.2.1. Centralized Decision-Making Model (BC Model)
4.2.2. Manufacturer-Led Decision-Making Model (BM Model)
4.2.3. E-Commerce Platform Self-Operator-Led Decision-Making Model (BE Model)
4.3. Analysis of Equilibrium Results
4.3.1. Comparative Analysis Between AC Model and BC Model
4.3.2. Comparison of AM, AE, BM, and BE Models
4.3.3. Profit Comparison Between A Model and B Model
4.3.4. The Effect on Decision Variables and Profits
5. Numerical Analysis
5.1. Research Objectives and Data Sources
5.2. Numerical Simulation Design and Results Analysis
5.2.1. Longitudinal Comparison
5.2.2. Horizontal Comparison
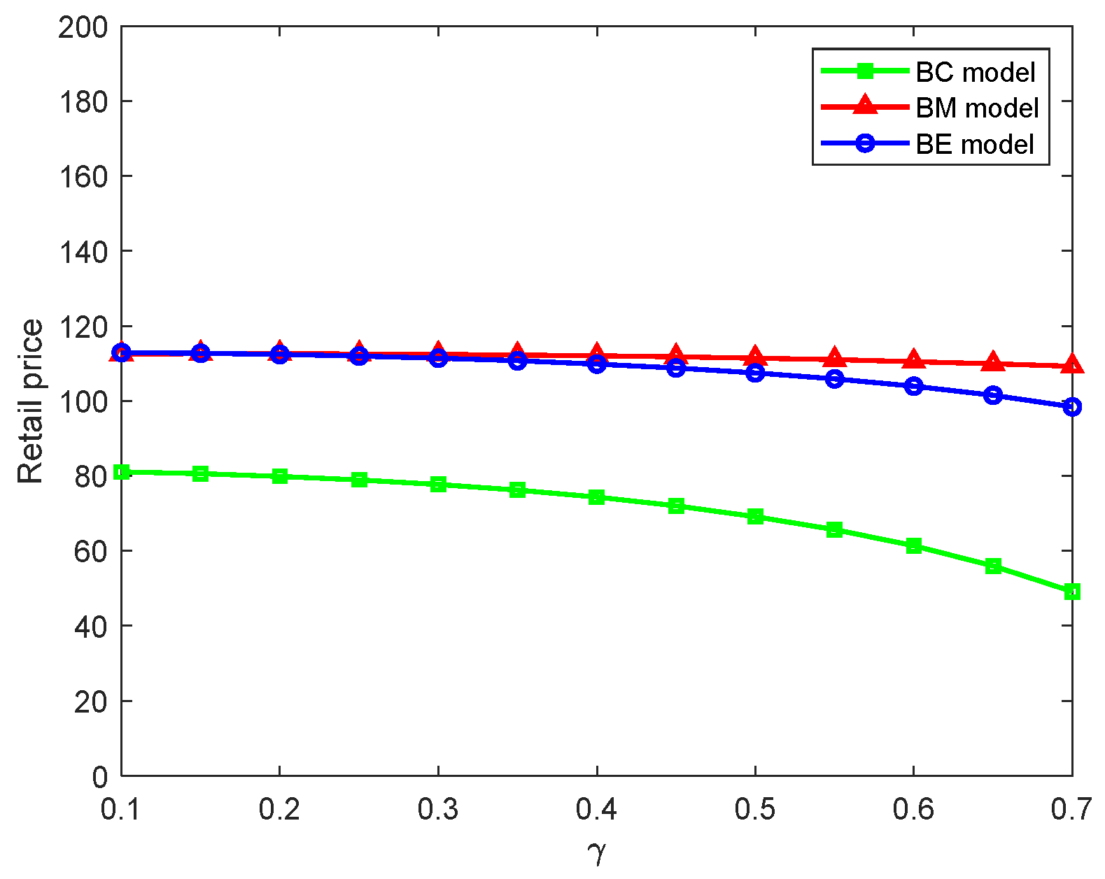
5.2.3. Changes in Decision Variables and Profits Under the BC, BM, and BE Modes
5.3. Case Analysis
6. Conclusions
6.1. Theoretical Application Analysis
6.1.1. Double Marginalization Theory
6.1.2. Subsidy Transmission Mechanism
6.2. Research Conclusions
- (1)
- In the absence of government subsidies, centralized decision-making (AC model) exhibits higher product greenness, service levels, and system profits than decentralized decision-making (AM and AE models). Under government subsidies, centralized decision-making (BC model) optimizes manufacturers’ green investments and e-commerce platform self-operators’ service levels, highlighting the importance of supply chain collaboration. In the BM model, manufacturers directly benefit from government subsidies, leading to a significant increase in green investment and a corresponding improvement in the service levels of e-commerce platform self-operators. In the BE model, e-commerce platform self-operators proactively improve service levels and lower prices to expand market demand, resulting in a greater improvement in service levels than the BM model. This suggests that government subsidies have the strongest incentive effect in centralized decision-making structures, while decentralized ones are influenced by dominant power, resulting in structural differences in the improvements in greenness and service levels.
- (2)
- Government subsidies improve the overall supply chain performance under all dominant-power structures, but the magnitude of these improvements varies. In the BC model, the subsidy effect is maximized, resulting in the most significant increase in system profits because it avoids double marginalization. The BM model exhibits limited profit growth because manufacturers’ technological innovation for green products increases their costs, resulting in profit losses even with subsidies. The BE model exhibits significant profit improvements, but these improvements are primarily dependent on demand expansion and result in higher service levels than the BM model. Therefore, subsidies are not equivalent under all structures; the effectiveness of policy incentives is influenced by pricing strategies, service levels, and the distribution of power.
- (3)
- When centralized decision-making is possible, the BC model achieves global optimization in greenness, service levels, and system profits at any subsidy level, representing the optimal solution for green supply chain systems. However, the “optimal green product promotion effect” is often achieved in the short term by the BE model when high subsidies are combined with supporting service incentives. Policymakers should strike a balance between these two approaches: If the government prioritizes long-term systemic benefits and sustained investment in green technologies, centralized decision-making or incentives that internalize externalities should be encouraged. If the goal is to expand the green consumer market in the short term, rapid promotion can be achieved through a combination of subsidies for manufacturers and service incentives for platform self-operators.
- (1)
- Consistent with prior studies [28], the centralized decision-making model achieves the highest supply chain market demand and total system profit. However, unlike earlier works focusing mainly on profits, this study further investigates how government subsidy coefficients and service level sensitivity coefficients affect product greenness, service level, and supply chain coordination efficiency across different power structures, thereby enriching the understanding of green supply chain game dynamics.
- (2)
- While most existing research examines the impact of either product greenness or e-commerce platform service level individually [38], this paper integrates both as joint decision variables. Considering consumers’ dual sensitivity to green attributes and service quality, it systematically analyzes their interaction on optimal strategies and overall supply chain performance with and without subsidies. This linkage reveals the synergistic mechanism by which greenness enhancement and service optimization jointly stimulate demand and improve profits, expanding the scope of green supply chain decision research.
- (3)
- Previous studies often focus on the subsidy effects of a single supply chain member (e.g., manufacturer or retailer) [55] and lack thorough analysis of subsidy–power structure interactions. Using a Stackelberg game framework, this paper constructs six game models with and without subsidies to systematically compare subsidy impacts on product greenness, service level, pricing, and profits across power structures. It reveals the dynamics of subsidy incentives and performance improvement, highlighting that subsidies are most effective under centralized decision-making, while the platform-dominated structure shows strong green promotion potential at high subsidy levels. These findings provide new theoretical guidance for designing targeted government green incentive policies.
6.3. Management Implications
6.4. Limitations and Future Research Directions
Author Contributions
Funding
Institutional Review Board Statement
Informed Consent Statement
Data Availability Statement
Conflicts of Interest
Appendix A
Appendix B
Appendix C
Appendix D
Appendix E
Appendix F
References
- Wang, Y.M. Changes unseen in a century, high-quality development, and the construction of a new development pattern. J. Manag. World 2020, 36, 1–13. [Google Scholar]
- Song, S.N.; Dong, Y.; Kull, T.; Carter, C.; Xu, K.F. Supply chain leakage of greenhouse gas emissions and supplier innovation. Prod. Oper. Manag. 2023, 32, 882–903. [Google Scholar] [CrossRef]
- Duan, L.; Yuan, L.Y. Green supply chain with technological innovation and partner selection decision. Comput. Integr. Manuf. Syst. 2023, 29, 3086–3099. [Google Scholar]
- Hany, H.E.; Karim, G.; Emad, H. Urban characterization by the green supply chain management concept: A review. inter. J. Supply. Chain. Manag. 2020, 9, 962–971. [Google Scholar]
- Zhu, Q.H.; Dou, Y.J. A game model for green supply chain management based on government subsidies. J. Manag. Sci. China 2011, 14, 86–95. [Google Scholar]
- Seung, H.J.; Feng, T.J. Government subsidies for green technology development under uncertainty. Eur. J. Oper. Res. 2020, 286, 726–739. [Google Scholar] [CrossRef]
- Zhang, H.; Huang, J.M.; Cui, Y.Y. Game models and contract of green supply chain considering fairness preference and government subsidies. J. Ind. Technol. Econ. 2018, 37, 111–121. [Google Scholar]
- Luan, Y.J. Research on digital technology empowering the intelligent upgrading of e-commerce supply chains. J. Trad. Fair. Econ. 2022, 16, 82–84. [Google Scholar]
- Rong, D.; Zhao, Y.J.; Han, C.J.; Yang, M.; Liu, F.T. Research on dual channel supply chain decision making of new retailing enterprises considering service behavior in the era of big data. J. Glob. Inf. Manag. 2022, 30, 1–16. [Google Scholar] [CrossRef]
- Zhao, M. Innovation path of digital economy enabling high quality development during the “14th Five-Year Plan” period. J. Southwest. Finan. 2023, 3, 84–95. [Google Scholar]
- Gayapada, S.; Tarun, M.; Bibhas, C. Green or non-green product: A game-theoretic framework to make optimal decision in a two-level supply chain. Manag. Decis. Econ. 2024, 45, 5825–5845. [Google Scholar]
- Guan, Z.M.; Zhao, Y.; Mou, Y.X.; Ye, T. Green innovation and pricing decisions in an e-commerce closed-loop supply chain under the subsidy policy. J. Northeastern Univer. (Nat. Sci.) 2023, 44, 871–879. [Google Scholar]
- Yao, F.M.; Zhang, L.J.; Yan, Y.L.; Sun, J.Y. Recycling decision and subsidy strategy of e-commerce supply chain considering green technology innovation. J. Comput. Integ. Manu. Syst. 2024, 30, 4099–4113. [Google Scholar]
- Liu, R.J.; Luo, Y.J. Research on e-commerce supply chain decision based on different supply chain powers of third-party logistics service provider. Chin. J. Manag. Sci. 2022, 30, 156–166. [Google Scholar]
- Huang, X.T.; Zhan, W.T.; Chao, W.L.; Ma, T.; Hong, T. Collaborative decision-making of the supply chain system considering green innovation capability. Kybernetes 2024, 10, 2023–2183. [Google Scholar] [CrossRef]
- Yang, H.X.; Chen, X.R.; Li, L.; Sun, Y.Q. Supply chain decision-making of green products considering a retailer’s fairness concerns under a pre-sale mode. J. Clean. Prod. 2023, 414, 137457. [Google Scholar] [CrossRef]
- He, Q.R.; Shi, T.W.; Wang, P. Mathematical modeling of pricing and service in the dual channel supply chain considering underservice. Mathematics 2022, 10, 1002. [Google Scholar] [CrossRef]
- Wu, Y.C.; Wang, J.G.; Chen, L. Optimization and decision of supply chain considering negative spillover effect and service competition. Sustainability 2021, 13, 2320. [Google Scholar] [CrossRef]
- Zou, Y.J.; He, D.Y.; Sun, R. Research on the mechanism of collaborative innovation in green technology among supply chain enterprises based on cost sharing and market competition. Sustainability 2024, 16, 6295. [Google Scholar] [CrossRef]
- Liang, Y.J.; Liang, X.; Wei, H. Differential game study of competitive green supply chain based on green public technology innovation and product greenness. IEEE Access 2023, 11, 103725–103742. [Google Scholar] [CrossRef]
- Wang, X.H.; Xie, X. Mechanism and path of green and low-carbon transformation of logistics industry driven by digital science and technology innovation—A case study of JD Logistics. J. Resear. Econ. Manag. 2024, 45, 21–40. [Google Scholar]
- Ma, Z.H.; Zhou, S.Y.; Xu, L. Under the different leading structures, cooperative emission reduction strategy of low carbon supply chain based on contract with self-executing and payment by others. J. Chongqing Univ. Tech. (Nat. Sci.) 2019, 33, 128–138. [Google Scholar]
- Tu, J.; Gao, F.Y.; Huang, M. Stochastic differential game of supply chain emission reduction strategies under different power structures. Control Decis. 2024, 39, 291–300. [Google Scholar]
- Huang, J.I.; Wang, X.X.; Luo, Y.X.; Yu, L.Y.; Zhang, Z.Y.; Sładkowski, J.; Makowski, M. Joint green marketing decision-making of green supply chain considering power structure and corporate social responsibility. Entropy 2021, 23, 564. [Google Scholar] [CrossRef] [PubMed]
- Shu, T.; Huang, C.F.; Chen, S.; Wang, S.Y.; Lai, K.K. Trade-old-for-remanufactured closed-loop supply chains with carbon tax and government subsidies. Sustainability 2018, 10, 3935. [Google Scholar] [CrossRef]
- Wang, W.; Liu, X.J.; Zhang, W.S.; Gao, G.; Zhang, H. Coordination of a green supply chain with one manufacturer and two competing retailers under different power structures. Discrete Dyn. Nat. Soc. 2019, 2019, 3453850. [Google Scholar] [CrossRef]
- Huang, F.; Hu, H.H.; Song, H.; Li, H.Y.; Zhang, S.S.; Zhai, J. Allocation of the carbon emission abatement target in low carbon supply chain considering power structure. Sustainability 2023, 15, 10469. [Google Scholar] [CrossRef]
- Liu, T.; Feng, Q.H. R&D mode and coordination of green products in sustainable supply chain considering power structures. PLoS ONE 2023, 18, e0291351. [Google Scholar]
- Xue, W.X.; Xu, Z.D. The impacts of government subsidies and consumer preferences on food supply chain traceability under different power structures. Sustainability 2023, 15, 470. [Google Scholar] [CrossRef]
- Zhang, J.J.; Song, Z.G. Decision optimization of four-level supply chain with the participation of two-echelon logistics service providers under different power structures. Math. Probl. Eng. 2021, 2021, 5518840. [Google Scholar] [CrossRef]
- Wan, N.N. Impacts of platform coupons and power structure on an e-commerce supply chain. Manag. Decis. Econ. 2023, 45, 283–299. [Google Scholar] [CrossRef]
- Xi, X.; Zhang, Y.L. Complexity analysis of pricing, service level, and emission reduction effort in an e-commerce supply chain under different power structures. Int. J. Bifurcat. Chaos Appl. Sci. Eng. 2022, 32, 2250023. [Google Scholar] [CrossRef]
- Zhao, A.B.; Du, J.G.; Guan, H.J. Evolution of Enterprise Environmental Innovation Behavior under Heterogeneity Demand of Consumer. Chin. J. Manag. Sci. 2018, 26, 124–132. [Google Scholar]
- Cao, K.; Mei, Y.L. Green supply chain decision and management under manufacturer’s fairness concern and risk aversion. Sustainability 2022, 14, 16006. [Google Scholar] [CrossRef]
- Zand, F.; Yaghoubi, S. Effects of a dominant retailer on green supply chain activities with government cooperation. Environ. Dev. Sustain. 2022, 24, 1313–1334. [Google Scholar] [CrossRef]
- Wang, R.P.; Lou, Z.K.; Lou, X.M. Manufacturer’s channel strategy and demand information sharing in a retailer-led green supply chain. Sustainability 2024, 16, 6207. [Google Scholar] [CrossRef]
- Gupta, S.K.; Mishra, V.K. Pricing and green quality decisions in two-stage green supply chain for substitutable green products: A game-theoretic approach. Rairo Oper. Res. 2024, 58, 4069–4092. [Google Scholar] [CrossRef]
- Li, X.; Zhu, G.L. Green supply chain coordination considering carbon emissions and product green level dependent demand. Mathematics 2023, 11, 2355. [Google Scholar] [CrossRef]
- Wang, S.J.; Wang, G.W.; Zhao, S.Q.; Li, W.X.; Liu, L.Z. Pricing and green decision-making in a three-echelon supply chain considering fairness concern with the participation of green logistics. Evol. Intell. 2023, 16, 1285–1307. [Google Scholar] [CrossRef]
- Lin, Z.; Chen, M.; Duan, M. Green supply chain decisions with consideration of demand disruption and corporate social responsibility. Comput. Integr. Manuf. Syst. 2023, 29, 638–649. [Google Scholar]
- Yao, F.M.; Xie, T.T.; Yan, Y.L.; Sun, J.Y. Recycling decision of closed-loop supply chain considering green design and CSR under EPR policy. Comput. Integr. Manuf. Syst. 2024, 30, 2213–2227. [Google Scholar]
- Wang, Y.Y.; Fan, R.J.; Shen, L.; Jin, M.Z. Decisions and coordination of green e-commerce supply chain considering green manufacturer’s fairness concerns. Int. J. Prod. Res. 2020, 58, 7471–7489. [Google Scholar] [CrossRef]
- Toktaş-Palut, P. An integrated contract for coordinating a three-stage green forward and reverse supply chain under fairness concerns. J. Clean. Prod. 2021, 279, 123735. [Google Scholar] [CrossRef]
- Zhang, X.L.; Xu, H.L.; Zhang, C.H.; Xiao, S.; Zhang, Y. Pricing decision models of the dual channel supply chain with service level and return. Energies 2022, 15, 9237. [Google Scholar] [CrossRef]
- Lu, Q.; Wang, Y.; Guan, M.K.; Zhou, Z.G.; Wu, Y.J.; Zhang, J.M. Pricing strategy research in the dual-channel pharmaceutical supply chain considering service. Front. Public Health 2024, 12, 1265171. [Google Scholar] [CrossRef]
- He, P.; Wang, T.Y. Channel structure and evolutionary stability analysis between traditional and green service supply chains. Soft Comput. 2023, 27, 2465–2477. [Google Scholar] [CrossRef]
- Yang, H.L.; Zhao, S.Q.; Peng, J.W. Optimal retail price and service level in a dual-channel supply chain with reference price effect. J. Ind. Manag. Optim. 2023, 19, 3883–3912. [Google Scholar] [CrossRef]
- Wang, Y.Y.; Fan, R.J.; Shen, L.; Guo, Y.L. Research on different dominant models of three-echelon e-commerce supply chain considering product quality and sales service. J. Ind. Eng. Eng. Manag. 2021, 35, 258–268. [Google Scholar]
- Guan, Y.F.; Wan, C.; Wang, W. Dual-channel supply chain coordination considering green and service inputs. Sustainability 2024, 16, 6492. [Google Scholar] [CrossRef]
- Chen, Y.T.; Wu, M.L. Pricing decisions in dual-channel supply chains considering the offline channel preference and service level. Mathematics 2024, 12, 2468. [Google Scholar] [CrossRef]
- Li, M.W.; Shan, M.Y.; Meng, Q.F. Pricing and promotion efforts strategies of dual-channel green supply chain considering service cooperation and free-riding between online and offline retailers. Environ. Dev. Sustain. 2024, 26, 3507–3527. [Google Scholar] [CrossRef]
- Goswami, M.; Daultani, Y.; Tripathi, A. Evolving a bi-objective optimization model for an after-sales supply chain in presence of information asymmetry and service level requirement. Int. J. Qual. Reliab. Manag. 2021, 39, 387–407. [Google Scholar] [CrossRef]
- Madani, S.R.; Rasti-Barzoki, M. Sustainable supply chain management with pricing, greening and governmental tariffs determining strategies: A game-theoretic approach. Comput. Ind. Eng. 2017, 105, 287–298. [Google Scholar] [CrossRef]
- Zeng, F.; Lu, Z.P.; Lu, C.Y. Power battery recycling model of closed-loop supply chains considering different power structures under government subsidies. Sustainability 2024, 16, 9589. [Google Scholar] [CrossRef]
- Yang, H.; Liu, Y.; Peng, J. Dynamic pricing in green supply chain management with government subsidy and strategic consumers. Comput. Integr. Manuf. Syst. 2023, 29, 1708–1719. [Google Scholar]
- Wu, R.; Chen, Y.Q.; Jiang, M.; Zhang, J. Research on government green subsidy strategy of heterogeneous agricultural product supply chain. Discrete Dyn. Nat. Soc. 2023, 2023, 8040707. [Google Scholar] [CrossRef]
- Yuan, X.G.; Zhang, X.Q.; Zhang, D.L. Research on the dynamics game model in a green supply chain: Government subsidy strategies under the retailer’s selling effort level. Complexity 2020, 2020, 3083761. [Google Scholar] [CrossRef]
- Yan, Z.S.; Hu, H.Q.; Wang, Z.Q.; Liang, Z.K.; Kong, W.W. The effect of government subsidies on cooperative green innovation of supply chains from the perspective of cost sharing. J. Bus. Ind. Mark. 2025, 40, 415–431. [Google Scholar] [CrossRef]
- Mondal, C.; Giri, B.C. A comparative analysis of greening policies and CSR efforts in a government-led sustainable supply chain across different channel powers. Int. J. Bus. Glob. 2025, 39, 200–225. [Google Scholar] [CrossRef]
- Meng, Q.F.; Li, M.W.; Li, Z.; Zhu, J. How different government subsidy objects impact on green supply chain decision considering consumer group complexity. Math. Probl. Eng. 2020, 2020, 5387867. [Google Scholar] [CrossRef]
- Zhang, X.; Yousaf, H.M. Green supply chain coordination considering government intervention, green investment, and customer green preferences in the petroleum industry. J. Clean. Prod. 2020, 246, 118984. [Google Scholar] [CrossRef]
- Cai, Z.H.; Luo, X.Y. Supply chain decision-making and contract selection of enterprises’ green technology innovation under the government R&D subsidy model. J. Beijing Univer. Chemical. Tech. (Nat. Sci.) 2023, 50, 109–117. [Google Scholar]
- Wang, S.N.; Hu, Z.H. Logistics service supply chain decision-making analysis considering impact of environment and service level. Polish J. Environ. Stud. 2022, 31, 5285–5297. [Google Scholar] [CrossRef]
- Jamali, M.B.; Rasti-Barzoki, M. A game theoretic approach for green and non-green product pricing in chain-to-chain competitive sustainable and regular dual-channel supply chains. J. Clean. Prod. 2018, 170, 1029–1043. [Google Scholar] [CrossRef]
- Jian, H.Y.; Huang, Q.Y.; Yu, M.L. Research on cooperative promotions of internet recycling platform in closed-loop supply chain. Chin. J. Manag. Sci. 2022, 30, 64–73. [Google Scholar]
- Zhou, H.; Liu, L.; Liu, J. Green supply chain decisions and cost sharing contracts based on retailers ’overconfidence. Chin. J. Syst. Sci. 2024, 32, 110–115130. [Google Scholar]
- Li, G.; Wu, H.; Sethi, S.P.; Zhang, X. Contracting green product supply chains considering marketing efforts in the circular economy era. Int. J. Prod. Econ. 2021, 234, 108041. [Google Scholar] [CrossRef]
- Tian, Y.; Yang, Y. E-closed supply chain decision models considering service level input. J. Beijing Jiaotong Univ. (Soc. Sci. Ed.) 2020, 19, 108–120. [Google Scholar]
- Wu, C.F.; Zhao, Q.H.; Li, J.G. Pricing strategy and government subsidy mechanism in a dual-channel green supply chain with fairness concerns. J. Soft. Sci. 2023, 37, 138–144. [Google Scholar]
- Xing, P.; Zhou, C.P.; Li, C.J. Innovation effort strategy of green supply chain considering government subsidies. Comput. Integr. Manuf. Syst. 2024, 30, 1889–1907. [Google Scholar]
- Cai, J.H.; Jiang, L.; Yang, M.Y.; Ma, X.Y. Green supply chain game models considering risk aversion under information asymmetry. J. Syst. Eng. Theo. Pract. 2024, 44, 1615–1632. [Google Scholar]
- Si, F.S.; Li, L.; Wang, J. Research on supply chain decision-making for fresh products considering blockchain and consumer preferences. J. Liaoning Tech. Univ. (Social. Sci. Ed.) 2025, 27, 50–60. [Google Scholar]
- Liu, G.D.; Yang, T.J.; Zhang, X.M. Pricing of green supply chain and decisions on product green degree considering green preference and sales effort. J. Beijing Jiaotong Univ. (Soc. Sci. Ed.) 2019, 18, 115–126. [Google Scholar]
- Fu, D.X.; Zhang, Z.Y.; Yuan, B.Y. Research on green supply chain pricing decision considering risk aversion under government subsidies. Oper. Res. Manag. Sci. 2019, 28, 33–40, 84. [Google Scholar]











| References | Different Dominant-Force Structures | Product Greenness | Service Level | Government Subsidies | Background |
|---|---|---|---|---|---|
| Liu and Fang [28] | √ | Green supply chain | |||
| Xue and Xu [29] | √ | √ | √ | Two-stage supply chain | |
| Xi and Zhang [32] | √ | √ | E-commerce supply chain | ||
| Gupta and Mishra [37] | √ | √ | Alternative product supply chain | ||
| Yang et al. [47] | √ | √ | Dual-channel supply chain | ||
| Guan et al. [49] | √ | √ | Green supply chain | ||
| Madani and Rasti-Barzoki [53] | √ | √ | Green supply chain | ||
| Zeng et al. [54] | √ | √ | √ | Green supply chain | |
| This paper | √ | √ | √ | √ | E-commerce green supply chain |
| Parameters | Descriptions |
|---|---|
| Wholesale price | |
| Product greenness | |
| Retail price | |
| Service level | |
| Green product costs | |
| Unit subsidy coefficient of product greenness | |
| Market potential of green products | |
| Consumer product price sensitivity coefficient | |
| Consumers’ green sensitivity coefficient | |
| E-commerce platform self-operators’ sensitivity to services | |
| Service level cost coefficient of e-commerce platform self-operator | |
| Manufacturers’ marginal cost coefficient of green technology input | |
| Manufacturer’s profit function | |
| E-commerce platform self-operators’ profit function | |
| Supply chain system profit |
| Decision Model | ||||||||
|---|---|---|---|---|---|---|---|---|
| Centralized decision-making | AC model | 81.36 | - | 11.89 | 28.54 | - | - | 3318.03 |
| Decentralized decision-making | AM model | 112.3 | 76.85 | 5.91 | 13.18 | 1648.48 | 829.47 | 2477.95 |
| AE model | 113.02 | 44.62 | 5.77 | 13.85 | 828.77 | 1609.62 | 2438.39 | |
| BC Model | BM Model | BE Model | |||||||||
|---|---|---|---|---|---|---|---|---|---|---|---|
| 0.1 | 81.05 | 20.72 | 29.25 | 112.53 | 76.65 | 10.17 | 14.35 | 112.9 | 44.44 | 10.04 | 14.18 |
| 0.2 | 79.9 | 30.39 | 30.39 | 112.57 | 76.01 | 14.62 | 14.62 | 112.38 | 43.84 | 14.72 | 14.72 |
| 0.3 | 77.76 | 41.43 | 32.07 | 112.41 | 74.91 | 19.38 | 15 | 111.39 | 42.75 | 20.02 | 15.5 |
| 0.4 | 74.34 | 54.57 | 34.47 | 112.03 | 73.27 | 24.55 | 15.5 | 109.82 | 41.02 | 26.31 | 16.62 |
| 0.5 | 69.16 | 70.99 | 37.86 | 111.41 | 71.02 | 30.29 | 16.16 | 107.45 | 38.42 | 34.11 | 18.19 |
| 0.6 | 61.35 | 92.71 | 42.79 | 110.49 | 68.01 | 36.81 | 16.99 | 103.9 | 34.55 | 44.32 | 20.45 |
| 0.7 | 49.18 | 123.61 | 50.28 | 109.21 | 64.06 | 44.4 | 18.06 | 98.42 | 28.58 | 58.63 | 23.85 |
| BC Model | BM Model | BE Model | |||||
|---|---|---|---|---|---|---|---|
| 0.1 | 3400.21 | 1668.51 | 849.76 | 2518.27 | 849.26 | 1648.27 | 2497.53 |
| 0.2 | 3533.09 | 1699.88 | 882.01 | 2581.9 | 882.39 | 1710.64 | 2593.03 |
| 0.3 | 3728.55 | 1743.87 | 928.25 | 2672.12 | 931.1 | 1802.13 | 2733.23 |
| 0.4 | 4006.64 | 1802.38 | 991.58 | 2793.96 | 1000.38 | 1931.73 | 2932.11 |
| 0.5 | 4401.53 | 1878.18 | 1076.74 | 2954.92 | 1098.7 | 2114.67 | 3213.37 |
| 0.6 | 4974.5 | 1975.26 | 1190.93 | 3166.19 | 1241.22 | 2377.84 | 3619.06 |
| 0.7 | 5845.24 | 2099.44 | 1345.38 | 3444.82 | 1457.46 | 2772.71 | 4230.17 |
| Company Size | Annual Sales | Subsidy Category | Subsidy Amount | Unit Subsidy Coefficient |
|---|---|---|---|---|
| Small enterprise | 10,000 | General rewards | 6.5 | 0.0006 |
| Small enterprise | 10,000 | Municipal-level green factory | 125 | 0.0125 |
| Small enterprise | 10,000 | Provincial-level green factory | 350 | 0.035 |
| Small enterprise | 10,000 | National-level additional reward | 30 | 0.003 |
| Medium enterprise | 50,000 | General rewards | 6.5 | 0.0001 |
| Medium enterprise | 50,000 | Municipal-level green factory | 125 | 0.0025 |
| Medium enterprise | 50,000 | Provincial-level green factory | 350 | 0.007 |
| Medium enterprise | 50,000 | National-level additional reward | 30 | 0.0006 |
| Large enterprise | 200,000 | General rewards | 6.5 | 0 |
| Large enterprise | 200,000 | Municipal-level green factory | 125 | 0.0006 |
| Large enterprise | 200,000 | Provincial-level green factory | 350 | 0.0018 |
| Large enterprise | 200,000 | National-level additional reward | 30 | 0.0001 |
Disclaimer/Publisher’s Note: The statements, opinions and data contained in all publications are solely those of the individual author(s) and contributor(s) and not of MDPI and/or the editor(s). MDPI and/or the editor(s) disclaim responsibility for any injury to people or property resulting from any ideas, methods, instructions or products referred to in the content. |
© 2025 by the authors. Licensee MDPI, Basel, Switzerland. This article is an open access article distributed under the terms and conditions of the Creative Commons Attribution (CC BY) license (https://creativecommons.org/licenses/by/4.0/).
Share and Cite
Ren, H.; Luo, Z.; Luo, L. Research on Green Supply Chain Decision-Making Considering Government Subsidies and Service Levels Under Different Dominant-Force Structures. Sustainability 2025, 17, 7719. https://doi.org/10.3390/su17177719
Ren H, Luo Z, Luo L. Research on Green Supply Chain Decision-Making Considering Government Subsidies and Service Levels Under Different Dominant-Force Structures. Sustainability. 2025; 17(17):7719. https://doi.org/10.3390/su17177719
Chicago/Turabian StyleRen, Haiping, Zhen Luo, and Laijun Luo. 2025. "Research on Green Supply Chain Decision-Making Considering Government Subsidies and Service Levels Under Different Dominant-Force Structures" Sustainability 17, no. 17: 7719. https://doi.org/10.3390/su17177719
APA StyleRen, H., Luo, Z., & Luo, L. (2025). Research on Green Supply Chain Decision-Making Considering Government Subsidies and Service Levels Under Different Dominant-Force Structures. Sustainability, 17(17), 7719. https://doi.org/10.3390/su17177719

