Simultaneous Arsenic and Fluoride Removal from Contaminated Water Using Powder Reagents of CaO, Ca(OH)2, and CaCO3 as Calcium-Based Adsorbents
Abstract
1. Introduction
2. Materials and Methods
2.1. Ca-Based Adsorbents
2.2. Simultaneous As–F Removal Tests
2.2.1. Synthetic As- and F-Contaminated Water Preparation
2.2.2. Experimental Procedure
2.2.3. Experimental Reproducibility
2.3. Sample Preparation for X-Ray Diffraction (XRD) Analysis
- (a)
- Sample of unused Ca-based adsorbent;
- (b)
- Solid sample collected after adding Ca-based adsorbent (2 g/L) to deionized water;
- (c)
- Solid sample collected after adding Ca-based adsorbent (2 g/L) to As(V) solution (CAS0 = 10 mg/L and pH0 = 7);
- (d)
- Solid sample collected after adding Ca-based adsorbent (2 g/L) to As(III) solution (CAS0 = 10 mg/L and pH0 = 7);
- (e)
- Solid sample collected after adding Ca-based adsorbent (2 g/L) to F solution (CF0 = 60 mg/L and pH0 = 7);
- (f)
- Solid sample collected after adding Ca-based adsorbent (2 g/L) to F solution (CF0 = 60 mg/L and pH0 = 7) and washed with deionized water before drying.
2.4. Sample Preparation for Scanning Electron Microscopy—Energy Dispersive X-Ray Spectroscopy (SEM-EDS) Analysis
2.5. Simultaneous As–F Removal Test with pH0
3. Results
3.1. Simultaneous As–F Removal Tests with WAd0/V
3.1.1. Residual As Concentration in Treated Water
3.1.2. Residual F Concentration in Treated Water
3.1.3. Leached Ca Concentration in Treated Water
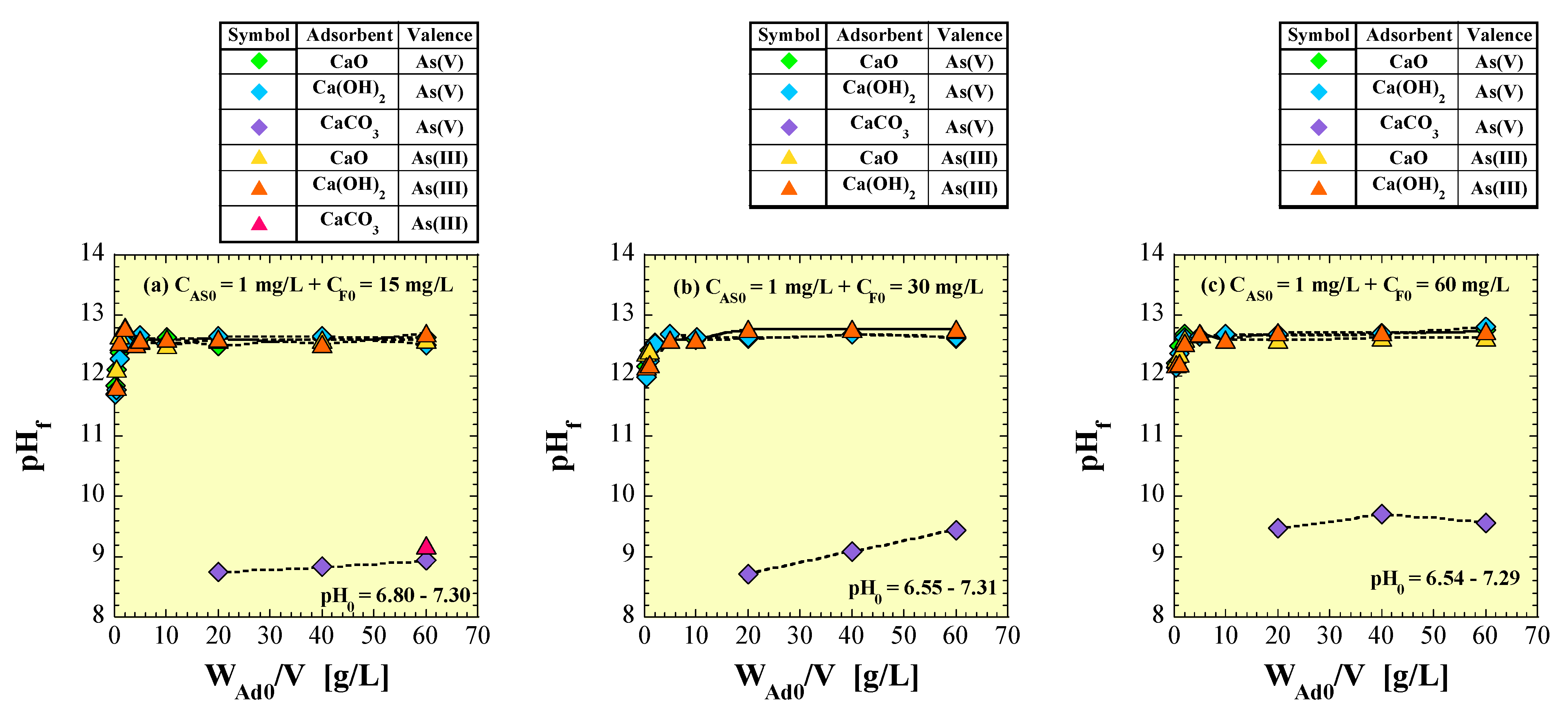
3.1.4. pH of Treated Water
3.2. XRD Analysis
3.3. Morphological Observation on Ca-Based Adsorbents
3.4. Elemental Mappings (EM) on Ca-Base Adsorbents
3.5. Simultaneous As–F Removal Tests with pH0
4. Discussion
4.1. As Removal Ratio
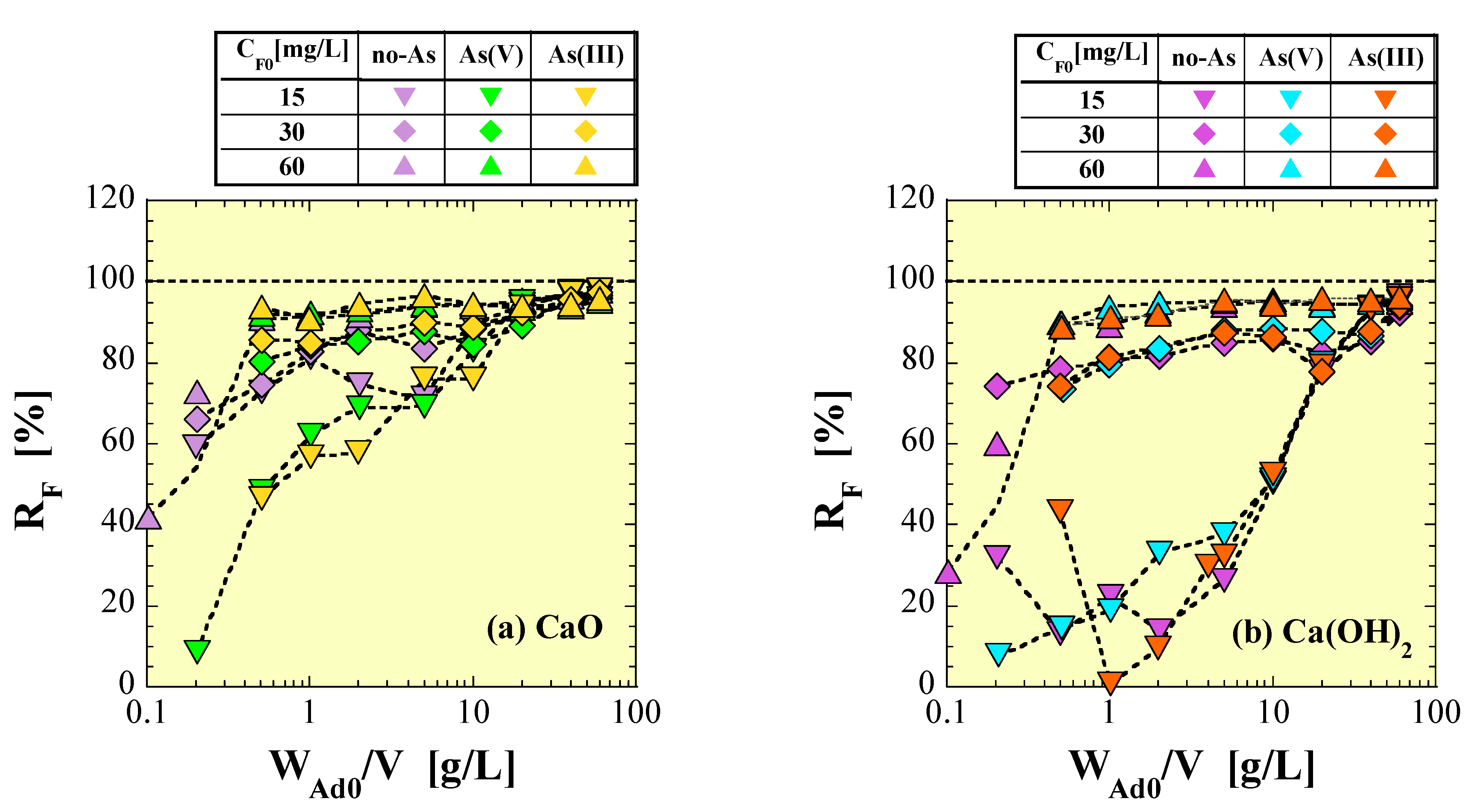
4.2. F Removal Ratio
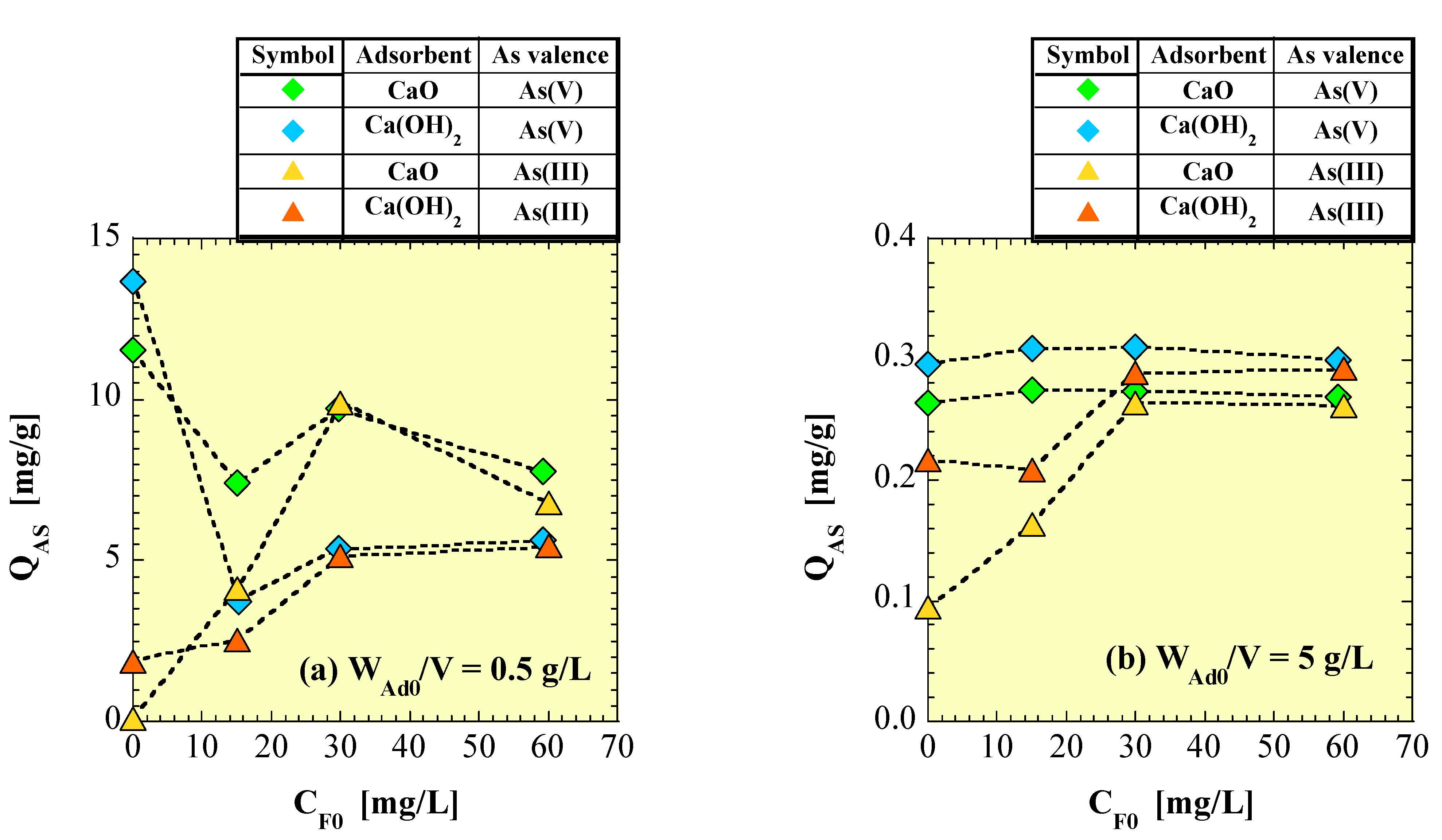
4.3. As and F Adsorption Amounts per Unit Mass of Adsorbent
4.4. Adsorption Efficiencies of As and F
4.5. Mutual Effects on Adsorption Behavior of As and F
4.6. Removal Mechanism of As and F in Ca-Based Adsorbents
4.7. Effects of pH0 on Simultaneous As–F Removal
4.8. Solubility Product of Ca(OH)2
4.9. Comprehensive Evaluation
5. Conclusions
Author Contributions
Funding
Institutional Review Board Statement
Informed Consent Statement
Data Availability Statement
Acknowledgments
Conflicts of Interest
References
- Kumar, M.; Goswami, R.; Patel, A.K.; Srivastava, M.; Das, N. Scenario, perspectives and mechanism of arsenic and fluoride Co-occurrence in the groundwater: A review. Chemosphere 2020, 249, 126126. [Google Scholar] [CrossRef]
- Jha, P.K.; Tripathi, P. Arsenic and fluoride contamination in groundwater: A review of global scenarios with special reference to India. Groundw. Sustain. Dev. 2021, 13, 100576. [Google Scholar] [CrossRef]
- World Health Organization (WHO). Guidelines for Drinking-Water Quality, Fourth Edition Incorporating the First and Second Addenda. 2022 (Electronic Version). Available online: https://www.who.int/publications/i/item/9789240045064 (accessed on 20 May 2025).
- Neisan, R.S.; Saady, N.M.C.; Bazan, C.; Zendehboudi, S.; Al-nayili, A.; Abbassi, B.; Chatterjee, P. Arsenic removal by adsorbents from water for small communities’ decentralized systems: Performance, characterization, and effective parameters. Clean Technol. 2023, 5, 352–402. [Google Scholar] [CrossRef]
- Kazi, T.G.; Brahman, K.D.; Baig, J.A.; Afridi, H.I. A new efficient indigenous material for simultaneous removal of fluoride and inorganic arsenic species from groundwater. J. Hazard. Mater. 2018, 357, 159–167. [Google Scholar] [CrossRef]
- Khamkure, S.; Bustos-Terrones, V.; Benitez-Avila, N.J.; Cabello-Lugo, M.F.; Gamero-Melo, P.; Garrido-Hoyos, S.E.; Esparza-Schulz, J.M. Effect of Fe3O4 nanoparticles on magnetic xerogel composites for enhanced removal of fluoride and arsenic from aqueous solution. Water Sci. Eng. 2022, 15, 305–317. [Google Scholar] [CrossRef]
- Raj, S.K.; Sharma, V.; Yadav, A.; Indurkar, P.D.; Kulshrestha, V. Nano-alumina wrapped carbon microspheres for ultrahigh elimination of pentavalent arsenic and fluoride from potable water. J. Ind. Eng. Chem. 2023, 117, 402–413. [Google Scholar] [CrossRef]
- Tolkou, A.K.; Trikkaliotis, D.G.; Kyzas, G.Z.; Katsoyiannis, I.A.; Deliyanni, E.A. Simultaneous removal of As(III) and fluoride ions from water using manganese oxide supported on graphene nanostructures (GO-MnO2). Sustainability 2023, 15, 1179. [Google Scholar] [CrossRef]
- Sugita, H.; Morimoto, K.; Saito, T.; Hara, J. Simultaneous removal of arsenate and fluoride using magnesium-based adsorbents. Sustainability 2024, 16, 1774. [Google Scholar] [CrossRef]
- Sugita, H.; Morimoto, K.; Saito, T.; Hara, J. Removal performance and adsorption behavior on Mg-based adsorbents in As(III) and F simultaneous removal as in comparison with As(V). Geochem. Explor. Environ. Anal. 2024, 24, geochem2024-022. [Google Scholar] [CrossRef]
- Hussain, M.I.; Rahman, N.A.; Dutta, H.; Dutta, D.; Dutta, R.R. ZnO nanoparticles coated rice husk bio adsorbent for the removal of arsenic, phosphate and fluoride from contaminated water samples. Next Sustain. 2025, 5, 100129. [Google Scholar] [CrossRef]
- Islam, M.; Patel, R.K. Evaluation of removal efficiency of fluoride from aqueous solution using quick lime. J. Hazard. Mater. 2007, 143, 303–310. [Google Scholar] [CrossRef] [PubMed]
- Patel, G.; Pal, U.; Menon, S. Removal of fluoride from aqueous solution by CaO nanoparticles. Sep. Sci. Technol. 2009, 44, 2806–2826. [Google Scholar] [CrossRef]
- Budyanto, S.; Kuo, Y.-L.; Liu, J.C. Adsorption and precipitation of fluoride on calcite nanoparticles: A spectroscopic study. Sep. Purif. Technol. 2015, 150, 325–331. [Google Scholar] [CrossRef]
- Du, Y.; Qiong Lu, Q.; Chen, H.; Du, Y.; Du, D. A novel strategy for arsenic removal from dirty acid wastewater via CaCO3-Ca(OH)2-Fe(III) processing. J. Water Process Eng. 2016, 12, 41–46. [Google Scholar] [CrossRef]
- García-Sánchez, J.J.; Solache-Ríos, M.; Martínez-Miranda, V.; Rodriguez-Torres, I. Removal of fluoride ions by calcium hydroxide-modified iron oxides. Desalin. Water Treat. 2017, 94, 31–39. [Google Scholar] [CrossRef]
- Wong, E.Y.; Stenstrom, M.K. Onsite defluoridation system for drinking water treatment using calcium carbonate. J. Environ. Manag. 2018, 216, 270–274. [Google Scholar] [CrossRef]
- Chaudhary, M.; Maiti, A. Defluoridation by highly efficient calcium hydroxide nanorods from synthetic and industrial wastewater. Colloids Surf. A Physicochem. Eng. Asp. 2019, 561, 79–88. [Google Scholar] [CrossRef]
- Jayaweera, M.; Sudasinghe, M.; Gunawardana, B.; Peiris, A.; Manatunge, J. Use of CaO loaded mesoporous alumina for defluoridation of Potable Groundwater Containing Elevated Calcium Levels. Environments 2019, 6, 66. [Google Scholar] [CrossRef]
- Wang, L.; Zhang, Y.; Sun, N.; Sun, W.; Hu, Y.; Tang, H. Precipitation methods using calcium-containing ores for fluoride removal in wastewater. Minerals 2019, 9, 511. [Google Scholar] [CrossRef]
- Zhang, T.; Zhao, Y.; Bai, H.; Wang, W.; Zhang, Q. Enhanced arsenic removal from water and easy handling of the precipitate sludge by using FeSO4 with CaCO3 to Ca(OH)2. Chemosphere 2019, 231, 134–139. [Google Scholar] [CrossRef]
- Shao, S.; Ma, B.; Chen, Y.; Zhang, W.; Wang, C. Behavior and mechanism of fluoride removal from aqueous solutions by using synthesized CaSO4⋅2H2O nanorods. Chem. Eng. J. 2021, 426, 131364. [Google Scholar] [CrossRef]
- Chen, W.; Wu, Y.; Xie, Z.; Li, Y.; Tang, W.; Yu, J. Calcium hydroxide recycled from waste eggshell resources for the effective recovery of fluoride from wastewater. RSC Adv. 2022, 12, 28264–28278. [Google Scholar] [CrossRef]
- Sugita, H.; Oguma, T.; Hara, J. Kawabe Comparison of arsenic acid and arsenous acid removal performance of CaO and Ca(OH)2. In Proceedings of the 15th JGS Symposium on Environmental Geotechnics, Kumamoto, Japan, 15–16 November 2023; pp. 1–8. [Google Scholar]
- Poudel, P.; Parajuli, D.L.; Sharma, S.; Baral, J.; Pokhrel, M.R.; Poudel, B.R. Removal of Arsenic(V) from wastewater using calcined eggshells as a cost-effective adsorbent. Heliyon 2025, 11, e42505. [Google Scholar] [CrossRef]
- Ni, J.; Ma, D.; Zhang, Y.-X.; Jia, Y. Efficient removal of fluoride from water by CaO/Ca12Al14O33/Ca5Al6O14 composites: Performance and mechanism. J. Mol. Struct. 2025, 1320, 139771. [Google Scholar] [CrossRef]
- Juárez-Aparicio, F.; Morales-Arredondo, J.I.; Hernández, M.A.A. Simultaneous removal of fluoride and arsenic from drinking groundwater using limestones from Bajío Guanajuatense, Mexico. Arab. J. Geosci. 2024, 17, 109. [Google Scholar] [CrossRef]
- The Chemical Society of Japan (CSJ). Kagaku Binran (Handbook of Chemistry), Pure Chemistry II, 4th ed.; Maruzen: Tokyo, Japan, 1993; pp. 162–168. ISBN 4-621-03870-2. [Google Scholar]
- Freiser, H.; Fernando, Q. Ion Heikou; Fujinaga, T.; Sekido, E., Translators; Kagaku-dojin: Tokyo, Japan, 1967; p. 250. ISBN 4-7598-0026-3. [Google Scholar]
- Sugita, H.; Morimoto, K.; Saito, T.; Hara, J. Effects of soils on environmental stability of spent Mg-based and Ca-based Adsorbents containing arsenite. Sustainability 2024, 16, 4008. [Google Scholar] [CrossRef]


























| No. | Adsorbent | Dp50 (μm) | SBET (m2/g) | αCa (%) | P (%) |
|---|---|---|---|---|---|
| (1) | CaO | 19.6 | 2.7 | 71.2 | 99.6 |
| (2) | Ca(OH)2 | 41.7 | 14.3 | 53.5 | 98.9 |
| (3) | CaCO3 | 15.4 | 0.8 | 39.7 | 99.1 |
| Adsorbent | As Valence | WAd0/V (g/L) | CAS (mg/L) | CF (mg/L) | CCa (mg/L) | pHf |
|---|---|---|---|---|---|---|
| CaO | As(V) | 0.504 ± 0.001 | 0.012 ± 0.003 | 7.83 ± 0.39 | 262 ± 5 | 12.10 ± 0.06 |
| Ca(OH)2 | As(V) | 0.506 ± 0.001 | 0.040 ± 0.004 | 13.1 ± 0.6 | 127 ± 3 | 11.76 ± 0.07 |
| CaCO3 | As(V) | 60.01 ± 0.00 | 0.313 ± 0.031 | 15.0 ± 0.1 | 6.14 ± 0.33 | 8.95 ± 0.24 |
| CaO | As(III) | 40.02 ± 0.00 | 0.158 ± 0.002 | 0.39 ± 0.01 | 839 ±3 | 12.60 ± 0.00 |
| Ca(OH)2 | As(III) | 20.03 ± 0.00 | 0.071 ± 0.001 | 3.16 ± 0.02 | 873 ± 2 | 12.62 ± 0.00 |
| CaCO3 | As(III) | 60.00 ± 0.00 | 1.042 ± 0.001 | 14.9 ± 0.1 | 6.39 ± 0.05 | 9.18 ± 0.02 |
| Target Substances | Adsorbent | QAS-MAX (mg/g) | QF-MAX (mg/g) | Citation |
|---|---|---|---|---|
| * As(III), F | Biosorbent based on Cucumis pubescens | Langmuir value: 0.357 μmol/g (=0.0267 mg/g). Experimental value: 0.0256 mg/g at CAS0 = 0.3 mg/L, WAd0/V ≤ 5 g/L. | Langmuir value: 0.160 mmol/g (=3.04 g/g). Experimental value: 2.95 mg/g at CAS0 = 16 mg/L, WAd0/V ≤ 5 g/L. | [5] |
| * As(V), F | Langmuir value: 1.09 μmol/g (=0.0817 mg/g) Experimental value: 0.0755 mg/g at CAS0 = 0.4 mg/L, WAd0/V ≤ 5 g/L. | |||
| * As(V), F | Fe3O4 magnetic xerogel composites | Langmuir value: 3.2 mg/g. Experimental conditions: CAS0 = 0.05–500 mg/L, WAd0/V = 0.1–1 g/L. | Langmuir value: 202.9 mg/g. Experimental value: 39.44 mg/g at CF0 = 2–30 mg/L, WAd0/V = 0.1 g/L. | [6] |
| * As(V), F | Nano-Al2O3 wrapped carbon microspheres | Experimental value: 12.4 mg/g at CAS0 = 1 mg/L, WAd0/V = 0.1 g/L. 68 mg/g at CAS0 = 10 mg/L, WAd0/V = 0.1 g/L. | Experimental value: 90.4 mg/g at CF0 = 1 mg/L, WAd0/V = 0.1 g/L. 371.1 mg/g at CF0 = 10 mg/L, WAd0/V = 0.1 g/L. | [7] |
| * As(V), F | ZnO nanoparticles coated rice husk bio adsorbent | Langmuir value: 28.23 mg/g. Experimental conditions: CAS0 = 100 mg/L, WAd0/V = 0.5–4 g/L. | Langmuir value: 174 mg/g. Experimental conditions: CF0 = 100 mg/L, WAd0/V = 0.5–4 g/L. | [11] |
| As(III) + F | MnO2 supported on graphene nanostructures | Langmuir value: 0.00252 mg/g. Experimental conditions: CAS0 = 0.025–0.5 mg/L + CF0 = 10 mg/L, WAd0/V = 2 g/L. | Langmuir value: 0.142 mg/g. Experimental conditions: CAS0 = 0.1 mg/L + CF0 = 2–100 mg/L, WAd0/V = 2 g/L. | [8] |
| As(V) + F | MgO | Langmuir value: 8.69 mg/g. Experimental value: 5.79 mg/g at CAS0 = 1 mg/L + CF0 = 15 mg/L, WAd0/V = 0.1 g/L. | Langmuir value: 33.1 mg/g. Experimental value: 36.6 mg/g at CAS0 = 1 mg/L + CF0 = 60 mg/L, WAd0/V = 0.5 g/L. | [9] |
| Mg(OH)2 | Not fit Langmuir model. Experimental value: 5.22 mg/g at CAS0 = 1 mg/L + CF0 = 15 mg/L, WAd0/V = 0.1 g/L. | Langmuir value: 5.84 mg/g. Experimental value: 19.0 mg/g at CAS0 = 1 mg/L + CF0 = 60 mg/L, WAd0/V = 0.2 g/L. | ||
| MgCO3 | Not fit Langmuir model. Experimental value: 5.79 mg/g at CAS0 = 1 mg/L + CF0 = 15 mg/L, WAd0/V = 2 g/L. | Langmuir value: 1.74 mg/g. Experimental value: 2.24 mg/g at CAS0 = 1 mg/L + CF0 = 60 mg/L, WAd0/V = 5 g/L. | ||
| As(III) + F | MgO | Langmuir value: 14.8 mg/g. Experimental value: 1.03 mg/g at CAS0 = 1 mg/L + CF0 = 15 mg/L, WAd0/V = 0.5 g/L. | Langmuir value: 35.2 mg/g. Experimental value: 53.0 mg/g at CAS0 = 1 mg/L + CF0 = 60 mg/L, WAd0/V = 1 g/L. | [10] |
| Mg(OH)2 | Not fit Langmuir model. Experimental value: 0.86 mg/g at CAS0 = 1 mg/L + CF0 = 15 mg/L, WAd0/V = 1 g/L | Langmuir value: 6.02 mg/g. Experimental value: 12.3 mg/g at CAS0 = 1 mg/L + CF0 = 60 mg/L, WAd0/V = 1 g/L. | ||
| MgCO3 | Not fit Langmuir model. Experimental value: 0.0019 mg/g at CAS0 = 1 mg/L + CF0 = 15 mg/L, WAd0/V = 60 g/L | Langmuir value: 3.97 mg/g. Experimental value: 2.81 mg/g at CAS0 = 1 mg/L + CF0 = 60 mg/L, WAd0/V = 10 g/L. | ||
| As(V) + F | CaO | Not fit Langmuir model. Experimental value: 25.3 mg/L at CAS0 = 1 mg/L + CF0 = 15 mg/L, WAd0/V = 0.2 g/L. | Not fit Langmuir model. Experimental value: 413 mg/L at CAS0 = 1 mg/L + CF0 = 60 mg/L, WAd0/V = 0.5 g/L. | This work |
| Ca(OH)2 | Not fit Langmuir model. Experimental value: 17.6 mg/g at CAS0 = 1 mg/L + CF0 = 15 mg/L, WAd0/V = 0.2 g/L. | Not fit Langmuir model. Experimental value: 291 mg/L at CAS0 = 1 mg/L + CF0 = 60 mg/L, WAd0/V = 0.5 g/L. | ||
| CaCO3 | Lack of data for Langmuir model. Experimental value: 0.0149 mg/g at CAS0 = 1 mg/L + CF0 = 15 mg/L, WAd0/V = 20 g/L. | Lack of data for Langmuir model. Experimental value: 0.031 mg/g at CAS0 = 1 mg/L + CF0 = 60 mg/L, WAd0/V = 60 g/L. | ||
| As(III) + F | CaO | Not fit Langmuir model. Experimental value: 7.82 mg/g at CAS0 = 1 mg/L + CF0 = 15 mg/L, WAd0/V = 0.5 g/L. | Not fit Langmuir model. Experimental value: 392 mg/g at CAS0 = 1 mg/L + CF0 = 60 mg/L, WAd0/V = 0.5 g/L. | This work |
| Ca(OH)2 | Not fit Langmuir model. Experimental value: 2.51 mg/g at CAS0 = 1 mg/L + CF0 = 15 mg/L, WAd0/V = 0.5 g/L. | Not fit Langmuir model. Experimental value: 299 mg/g at CAS0 = 1 mg/L + CF0 = 60 mg/L, WAd0/V = 0.5 g/L. | ||
| CaCO3 | Lack of data for Langmuir model. Experimental value: 0.0001 mg/g at CAS0 = 1 mg/L + CF0 = 15 mg/L, WAd0/V = 60 g/L. | Lack of data for Langmuir model. Experimental value: 0.0025 mg/g at CAS0 = 1 mg/L + CF0 = 15 mg/L, WAd0/V = 60 g/L. |
| Corresponding XRD Pattern No. | Adsorbent | Adsorbed Substance | QAS (mg/g) | QF (mg/g) |
|---|---|---|---|---|
| Figure 5c | CaO | As(V) | 12.9 | - |
| Figure 6c | Ca(OH)2 | As(V) | 21.9 | - |
| Figure 7c | CaCO3 | As(V) | 0.08 | - |
| Figure 5d | CaO | As(III) | 10.7 | - |
| Figure 6d | Ca(OH)2 | As(III) | 20.5 | - |
| Figure 7d | CaCO3 | As(III) | 0.15 | - |
| Figure 5e | CaO | F | - | 66.1 |
| Figure 6e | Ca(OH)2 | F | - | 174 |
| Figure 7e | CaCO3 | F | - | 0.03 |
Disclaimer/Publisher’s Note: The statements, opinions and data contained in all publications are solely those of the individual author(s) and contributor(s) and not of MDPI and/or the editor(s). MDPI and/or the editor(s) disclaim responsibility for any injury to people or property resulting from any ideas, methods, instructions or products referred to in the content. |
© 2025 by the authors. Licensee MDPI, Basel, Switzerland. This article is an open access article distributed under the terms and conditions of the Creative Commons Attribution (CC BY) license (https://creativecommons.org/licenses/by/4.0/).
Share and Cite
Sugita, H.; Morimoto, K.; Saito, T.; Hara, J. Simultaneous Arsenic and Fluoride Removal from Contaminated Water Using Powder Reagents of CaO, Ca(OH)2, and CaCO3 as Calcium-Based Adsorbents. Sustainability 2025, 17, 7718. https://doi.org/10.3390/su17177718
Sugita H, Morimoto K, Saito T, Hara J. Simultaneous Arsenic and Fluoride Removal from Contaminated Water Using Powder Reagents of CaO, Ca(OH)2, and CaCO3 as Calcium-Based Adsorbents. Sustainability. 2025; 17(17):7718. https://doi.org/10.3390/su17177718
Chicago/Turabian StyleSugita, Hajime, Kazuya Morimoto, Takeshi Saito, and Junko Hara. 2025. "Simultaneous Arsenic and Fluoride Removal from Contaminated Water Using Powder Reagents of CaO, Ca(OH)2, and CaCO3 as Calcium-Based Adsorbents" Sustainability 17, no. 17: 7718. https://doi.org/10.3390/su17177718
APA StyleSugita, H., Morimoto, K., Saito, T., & Hara, J. (2025). Simultaneous Arsenic and Fluoride Removal from Contaminated Water Using Powder Reagents of CaO, Ca(OH)2, and CaCO3 as Calcium-Based Adsorbents. Sustainability, 17(17), 7718. https://doi.org/10.3390/su17177718

