On High-Value Mixed Cropping System: Four-Way Evolutionary Game Analysis of HMC Synergy of Circular and Sharing Economy for Multiple Low-to-Middle-Income Farmer Families
Abstract
1. Introduction
1.1. Motivation
1.2. Research Gaps
1.3. Contribution
- Development of a Four-Party Evolutionary Game Model: This paper introduces a novel four-player evolutionary game model involving Local Government, Cacao family A (CFA), Cashew nut family B (CNFB), and Chicken family C (CFC);
- Identification of Evolutionarily Stable Strategies: Through stability analysis and MATLAB simulations, the research identifies conditions for evolutionarily stable strategies that sustain long-term cooperation among stakeholders;
- Integration of Circular and Sharing Economy Principles: The paper demonstrates how circular economy practices and sharing economy principles can be integrated to optimize resource use and reduce reliance on external inputs, thereby promoting sustainability;
- Policy Implications for Sustainable Development: The paper highlights the pivotal role of government incentives in stabilizing cooperation, emphasizing that subsidies and support programs mitigate costs associated with resource sharing and waste management.
- Section 1 introduces the research background, motivation, and objectives.
- Section 2 reviews the relevant literature on mixed-cropping systems and circular and sharing economies.
- Section 3 formulates the four-party evolutionary game model, derives payoff functions for each stakeholder, and specifies the replicator-dynamic equations.
- Section 4 conducts a stability analysis of all possible strategy combinations using Jacobian methods to identify evolutionary stable strategies.
- Section 5 presents simulations based on a case study in Southeast Vietnam, examining the effects of regulatory stringency, government incentives, and reputational benefits on system dynamics.
- Section 6 discusses the theoretical and practical implications of our findings for policy design and smallholder integration.
- Section 7 concludes with key takeaways and future research directions.
2. Literature Review
2.1. Economic Benefits
2.2. Ecological Benefits
2.3. Challenges
2.4. Circular and Sharing Economy Applications
2.5. Integration of Chicken Raising
3. Model Building
3.1. Research Method
- Step 1 (Identification of Players and Strategy Sets): Enumerating the principal stakeholders in the system and specify their admissible strategies, articulating the governing assumptions, and clarifying each participant’s role within the modeling framework.
- Step 2 (Construction of Payoff Matrices and Utility Functions): Quantifying stakeholders’ payoffs for every possible combination of strategies; formulating utility functions that capture the benefits and costs associated with each strategic profile.
- Step 3 (Derivation of Replicator Dynamics): Developing the replicator dynamic equations that govern the temporal evolution of strategy frequencies based on the constructed payoff matrices.
- Step 4 (Equilibrium Determination and Stability Analysis): Solving for equilibrium states by setting the time derivatives of all replicator equations to zero; conducting local stability analysis by evaluating the eigenvalues of the Jacobian matrix at each equilibrium point.
- Step 5 (Simulation and Sensitivity Assessment): Validating the theoretical model through comprehensive simulations under varying parameter regimes; performing sensitivity analyses to determine how key parameters influence the system’s evolutionary trajectories and the emergence of stable cooperation.
3.2. Model Description
3.3. Assumptions and Parameters
3.4. Evolutionary Game Profit Matrix
3.5. Replicator Dynamics Equations
3.5.1. Local Government
3.5.2. CFA
3.5.3. CNFB
3.5.4. CFC
4. Stability Analysis
4.1. Stability Under Strict Regulation
4.2. Stability Under Lax Regulation
5. Simulation Analysis
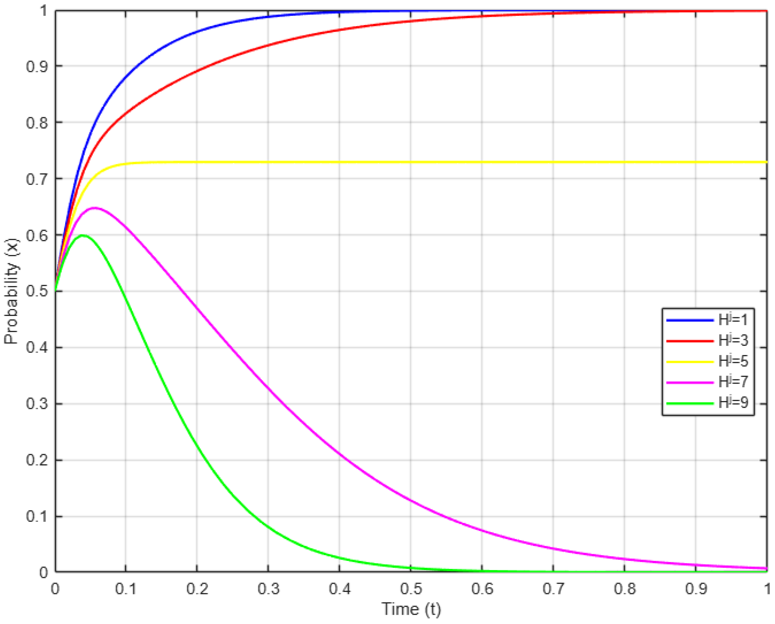
5.1. Impact of Local Government Regulatory Mechanisms
5.2. Impact of Local Government Reputational Benefits
5.3. Impact of Local Government Incentives
6. Discussion
- Integration into National Strategies: It is essential to incorporate the HMC model into national agricultural and food security strategies. This can be achieved by promoting resource-sharing and waste-management frameworks tailored to smallholder farmers, with a focus on enhancing local food systems. Agricultural extension services must be strengthened to provide targeted knowledge, training, and financial support, ensuring that farmers can effectively adopt and sustain these practices.
- Incremental Implementation: A gradual, step-by-step approach to implementing HMC systems is recommended, starting with small-scale pilot projects that can be expanded over time. This strategy allows for the optimization of cost efficiency, refinement of practices, and the accumulation of empirical data to support future scaling efforts. A well-developed implementation plan, with clear milestones and metrics, will be crucial for the long-term success of HMC systems.
- Policy Flexibility: Policies should be adaptable to local agricultural practices and socio-economic contexts, allowing farmers to tailor their approach to the specific challenges and opportunities of their region. This flexibility will enhance the likelihood of policy success across a wide range of geographical and cultural settings.
- Environmental Regulation and Community Initiatives: Effective environmental regulation, combined with robust enforcement mechanisms, is critical for the widespread adoption of HMC practices. Without such measures, the economic incentives for farmers may not be sufficient to drive long-term sustainability. Community-level initiatives, such as farmer cooperatives and local environmental organizations, should be supported to integrate HMC principles into regional development and climate adaptation strategies.
7. Conclusions
Author Contributions
Funding
Institutional Review Board Statement
Informed Consent Statement
Data Availability Statement
Conflicts of Interest
References
- Voora, V.; Bermúdez, S.; Larrea, C. Global Market Report: Cocoa; Sustainable Commodities Marketplace Series; The International Institute for Sustainable Development: Winnipeg, MB, Canada, 2019. [Google Scholar]
- Clay, K. Fungi and the food of the gods. Nature 2004, 427, 401–402. [Google Scholar] [CrossRef]
- Vansynghel, J.; Ocampo-Ariza, C.; Maas, B.; Martin, E.A.; Thomas, E.; Hanf-Dressler, T.; Schumacher, N.; Ulloque-Samatelo, C.; Tscharntke, T.; Steffan-Dewenter, I. Cacao flower visitation: Low pollen deposition, low fruit set and dominance of herbivores. Ecol. Solut. Evid. 2022, 3, e12140. [Google Scholar] [CrossRef]
- Danso-Abbeam, G.; Fosu, S.; Ogundeji, A.A. Technical and Resource-Use Efficiencies of Cashew Production in Ghana: Implications on Achieving Sustainable Development Goals. Sci. Afr. 2021, 14, e01003. [Google Scholar] [CrossRef]
- Monteiro, F.; Catarino, L.; Batista, D.; Indjai, B.; Duarte, M.C.; Romeiras, M.M. Cashew as a High Agricultural Commodity in West Africa: Insights towards Sustainable Production in Guinea-Bissau. Sustainability 2017, 9, 1666. [Google Scholar] [CrossRef]
- Hashmiu, I.; Agbenyega, O.; Dawoe, E. Cash crops and food security: Evidence from smallholder cocoa and cashew farmers in Ghana. Agric. Food Secur. 2022, 11, 12. [Google Scholar] [CrossRef]
- Mortimer, R.; Saj, S.; David, C. Supporting and regulating ecosystem services in cacao agroforestry systems. Agrofor. Syst. 2018, 92, 1639–1657. [Google Scholar] [CrossRef]
- Tully, K.L.; Ryals, R. Nutrient cycling in agroecosystems: Balancing food and environmental objectives. Agroecol. Sustain. Food Syst. 2017, 41, 761–798. [Google Scholar] [CrossRef]
- Malhotra, S.K.; Hubballi, V.N.; Nayak, M.G. Cashew: Production, Processing and Utilization of By-Products; Mallhotra, S.K., Ed.; Directorate of Cashewnut and Cocoa Development: Cochin, India, 2017; 144p. Available online: https://www.researchgate.net/profile/Suresh-Malhotra/publication/316190274_Cashew_Production_Processing_and_Utilization_of_By-Products/links/58f5e153aca27289c21d7d6f/Cashew-Production-Processing-and-Utilization-of-By-Products.pdf (accessed on 2 June 2025).
- Delgado-Ospina, J.; Molina-Hernández, J.B.; Chaves-López, C.; Romanazzi, G.; Paparella, A. The Role of Fungi in the Cocoa Production Chain and the Challenge of Climate Change. J. Fungi 2021, 7, 202. [Google Scholar] [CrossRef]
- Willey, R.W. A scientific approach to intercropping research. In Proceedings of the International Workshop on Intercropping, ICRISAT, Patancheru, India, 10–13 January 1979; pp. 4–14. [Google Scholar]
- Jodha, N.S. Intercropping in traditional farming systems. J. Dev. Stud. 1980, 16, 427–442. [Google Scholar] [CrossRef]
- Sarkar, S.; Biswas, T.; Malta, C.M.; Meira, D.; Dutta, A. A coalition formation framework of smallholder farmers in an agricultural cooperative. Expert Syst. Appl. 2023, 221, 119781. [Google Scholar] [CrossRef]
- Consedine, M. Farm to All Tables: Understanding How Advocacy Coalitions Influence SNP-Related Policies for Farmers’ Markets. Master’s Thesis, Oregon State University, Corvallis, OR, USA, 2020. [Google Scholar]
- Mu, L.; Dawande, M.; Mookerjee, V. Shaping the values of a milk cooperative: Theoretical and practical considerations. Prod. Oper. Manag. 2019, 28, 2259–2278. [Google Scholar] [CrossRef]
- Silue, B.K.; Koné, A.W.; Kotaix, A.J.A.; Coulibaly, K.; Aïdara, S.; Chapuis-Lardy, L.; Masse, D. Effects of shade tree legumes on cacao biomass and bean yields after 20 years of intercropping in Ivory Coast. Exp. Agric. 2024, 60, e16. [Google Scholar] [CrossRef]
- Ofori, P.A.; Opoku-Agyemang, F.; Owusu-Nketia, S.; Amissah, N.; Notaguchi, M. A new intercropping system for cocoa cultivation using erect cassava. Trop. Agric. Dev. 2023, 67, 54–59. [Google Scholar]
- Nursalam, N.; Budiman, K.; Prihantini, C.I.; Hasbiadi, H.; Masitah, M. Efficiency comparison of cacao intercropping farming in Kolaka Regency. Agriekonomika 2021, 10, 183–193. [Google Scholar] [CrossRef]
- Carey, A.; Dutter, C.R.; Mbacke, K.; McDaniel, M.D.; Nair, A. Integrating Poultry Improves Soil Health and Vegetable Yield in Organic, Cover-Cropped System. Agric. Ecosyst. Environ. 2025, 382, 109499. [Google Scholar] [CrossRef]
- Bist, R.B.; Bist, K.; Poudel, S.; Subedi, D.; Yang, X.; Paneru, B.; Mani, S.; Wang, D.; Chai, L. Sustainable poultry farming practices: A critical review of current strategies and future prospects. Poult. Sci. 2024, 103, 104295. [Google Scholar] [CrossRef]
- Rodrigues, T.C.; Leitão, F.O.; Thomé, K.M.; Cappellesso, G. Sharing economy practices in agri-food settlements: Integration of resources, interdependence, and interdefinition. J. Clean. Prod. 2021, 294, 126357. [Google Scholar] [CrossRef]
- Boar, A.; Bastida, R.; Marimon, F. A Systematic Literature Review. Relationships Between the Sharing Economy, Sustainability and Sustainable Development Goals. Sustainability 2020, 12, 6744. [Google Scholar] [CrossRef]
- Miralles, I.; Dentoni, D.; Pascucci, S. Understanding the organization of sharing economy in agri-food systems: Evidence from alternative food networks in Valencia. Agric. Hum. Values 2017, 34, 833–854. [Google Scholar] [CrossRef]
- Ali, J.; Ali, T. Circular economy and agriculture: Mapping scientific productivity, research pattern and future research direction. Environ. Dev. Sustain. 2024, 26, 30063–30108. [Google Scholar] [CrossRef]
- Selvan, T.; Panmei, L.; Murasing, K.K.; Guleria, V.; Ramesh, K.R.; Bhardwaj, D.R.; Thakur, C.L.; Kumar, D.; Sharma, P.; Umedsinh, R.D.; et al. Circular economy in agriculture: Unleashing the potential of integrated organic farming for food security and sustainable development. Front. Sustain. Food Syst. 2023, 7, 1170380. [Google Scholar] [CrossRef]
- Tokou, B.A.; Coral, C.; Montiel, F.I.; Adou Yao, C.Y.; Sieber, S.; Löhr, K. Diversification strategies to improve cocoa farmers’ household income: The case of Côte d’Ivoire. Front. Sustain. Food Syst. 2025, 9, 1524997. [Google Scholar] [CrossRef]
- Himmelstein, J.; Ares, A.; Gallagher, D.; Myers, J. A meta-analysis of intercropping in Africa: Impacts on crop yield, farmer income, and integrated pest management effects. Int. J. Agric. Sustain. 2017, 15, 1–10. [Google Scholar] [CrossRef]
- Boadi, S.A.; Bosselmann, A.S.; Owusu, K.; Asare, R.; Olwig, M.F. Household Economics of Cocoa Agroforestry: Costs and Benefits. In Agroforestry as Climate Change Adaptation: The Case of Cocoa Farming in Ghana, 1st ed.; Olwig, M.F., Bosselmann, A.S., Owusu, K., Eds.; Palgrave Macmillan: Cham, Switzerland, 2024; pp. 121–145. [Google Scholar]
- Bymolt, R.; Laven, A.; Tyzler, M. Demystifying the Cocoa Sector in Ghana and Côte d’Ivoire; The Royal Tropical Institute (KIT): Amsterdam, The Netherlands, 2018. [Google Scholar]
- Fountain, A.C.; Hütz-Adams, F. Cocoa Barometer 2022. Available online: https://voicenetwork.cc/wp-content/uploads/2022/12/Cocoabarometer2022_v1.2.pdf (accessed on 2 June 2025).
- Feliciano, D. A review on the contribution of crop diversification to sustainable development goal 1 ”no poverty” in different world regions. Sustain. Dev. 2019, 27, 795–808. [Google Scholar] [CrossRef]
- Silva, J.N.; Oliveira, J.C.D.; Martins, Ê.K.L.; Júnior, E.S.N.; Irineu, T.H.S.; Chaves, A.P.; Linhares, A.C.A. Soil fertility evaluation of agricultural areas of cashew community of Catolé Rocha-PB. Bulg. J. Agric. Sci. 2020, 26, 186–191. [Google Scholar]
- McQueen, J.P.; Treonis, A.M. Cacao agroforestry in Belize: Effects on soil nematode community structure. Agrofor. Syst. 2020, 94, 1123–1132. [Google Scholar] [CrossRef]
- Schmidt, J.E.; Firl, A.; Hamran, H.; Imaniar, N.I.; Crow, T.M.; Forbes, S.J. Impacts of Shade Trees on the Adjacent Cacao Rhizosphere in a Young Diversified Agroforestry System. Agronomy 2022, 12, 195. [Google Scholar] [CrossRef]
- Beer, J.; Muschler, R.; Kass, D.; Somarriba, E. Shade Management in Coffee and Cacao Plantations. Agrofor. Syst. 1988, 38, 139–164. [Google Scholar] [CrossRef]
- Thomson, A.; Koenig, S.; Bakhtary, H.; Young, K.J. Developing Cocoa Agro-Forestry Systems in Ghana and Côte d’Ivoire; Climate Focus: Washington, DC, USA, 2020. [Google Scholar]
- Graefe, S.; Meyer-Sand, L.F.; Chauvette, K.; Abdulai, I.; Jassogne, L.; Vaast, P.; Asare, R. Evaluating Farmers’ Knowledge of Shade Trees in Different Cocoa Agro-Ecological Zones in Ghana. Hum. Ecol. 2017, 45, 321–332. [Google Scholar] [CrossRef]
- Korboulewsky, N.; Perez, G.; Chauvat, M. How tree diversity affects soil fauna diversity: A review. Soil Biol. Biochem. 2016, 94, 94–106. [Google Scholar] [CrossRef]
- Rousseau, G.X.; Deheuvels, O.; Celentano, D.; Arias, I.R.; Hernández-García, L.M.; Somarriba, E. Shade tree identity rather than diversity influences soil macrofauna in cacao-based agroforestry systems. Pedobiologia 2021, 89, 150770. [Google Scholar] [CrossRef]
- Moreira, B.; Gonçalves, A.; Pinto, L.; Prieto, M.A.; Carocho, M.; Caleja, C.; Barros, L. Intercropping Systems: An Opportunity for Environment Conservation Within Nut Production. Agriculture 2024, 14, 1149. [Google Scholar] [CrossRef]
- Madsen, I.J.; Parks, J.M.; Friesen, M.L.; Clark, R.E. Increasing biodiversity and land-use efficiency through pea (Pisum sativum)-canola (Brassica napus) intercropping. Front. Soil Sci. 2022, 2, 818862. [Google Scholar] [CrossRef]
- Kirsten, J.F.; Dorward, A.R.; Poulton, C.; Vink, N. (Eds.) Institutional Economics Perspectives on African Agricultural Development; International Food Policy Research Institute: Washington, DC, USA, 2009. [Google Scholar]
- Tranchina, M.; Reubens, B.; Frey, M.; Mele, M.; Mantino, A. What challenges impede the adoption of agroforestry practices? A global perspective through a systematic literature review. Agrofor. Syst. 2024, 98, 1817–1837. [Google Scholar] [CrossRef]
- Himanen, S.J.; Mäkinen, H.; Rimhanen, K.; Savikko, R. Engaging Farmers in Climate Change Adaptation Planning: Assessing Intercropping as a Means to Support Farm Adaptive Capacity. Agriculture 2016, 6, 34. [Google Scholar] [CrossRef]
- Burgess, A.J.; Correa Cano, M.E.; Parkes, B. The deployment of intercropping and agroforestry as adaptation to climate change. Crop Environ. 2022, 1, 145–160. [Google Scholar] [CrossRef]
- Huss, C.P.; Holmes, K.D.; Blubaugh, C.K. Benefits and Risks of Intercropping for Crop Resilience and Pest Management. J. Econ. Entomol. 2022, 115, 1350–1362. [Google Scholar] [CrossRef]
- Campos-Vega, R.; Nieto-Figueroa, K.H.; Oomah, B.D. Cocoa (Theobroma cacao L.) pod husk: Renewable source of bioactive compounds. Trends Food Sci. Technol. 2018, 81, 172–184. [Google Scholar]
- Schneider, M.W.; Goldman, C.; Shao, E.; Yang, S. Mapping Cocoa and Assessing Deforestation Risk for the Cocoa Sector in Côte d’Ivoire and Ghana; World Resources Institute: Washinton, DC, USA, 2023. [Google Scholar]
- Kilama, G.; Lating, P.O.; Byaruhanga, J.; Biira, S. Quantification and characterization of cocoa pod husks for electricity generation in Uganda. Energy Sustain. Soc. 2019, 9, 22. [Google Scholar] [CrossRef]
- Prommajak, T.; Leksawasdi, N.; Rattanapanone, N. Biotechnological valorization of cashew apple: A review. Chiang Mai Univ. J. Nat. Sci. 2014, 13, 159–178. [Google Scholar] [CrossRef]
- Esparza, I.; Jiménez-Moreno, N.; Bimbela, F.; Ancín-Azpilicueta, C.; Gandía, L.M. Fruit and vegetable waste management: Conventional and emerging approaches. J. Environ. Manag. 2020, 265, 110510. [Google Scholar] [CrossRef]
- Directive 2008/98/EC of the European Parliament and of the Council of 19 November 2008 on Waste and Repealing Certain Directives (Text with EEA Relevance). Available online: https://eur-lex.europa.eu/legal-content/EN/TXT/PDF/?uri=CELEX:32008L0098 (accessed on 4 June 2025).
- Gómez, M.; Martinez, M.M. Fruit and vegetable by-products as novel ingredients to improve the nutritional quality of baked goods. Crit. Rev. Food Sci. Nutr. 2018, 58, 2119–2135. [Google Scholar] [CrossRef]
- Quiles, A.; Campbell, G.; Struck, S.; Rohm, H.; Hernando, I. Fiber from fruit pomace: A review of applications in cereal-based products. Food Rev. Int. 2018, 34, 162–181. [Google Scholar] [CrossRef]
- Santos, D.; da Silva, J.A.L.; Pintado, M. Fruit and vegetable by-products’ flours as ingredients: A review on production process, health benefits, and technological functionalities. Food Sci. Technol. 2022, 154, 112707. [Google Scholar] [CrossRef]
- Mbasa, W.V.; Kapinga, F.A.; Nene, W.A.; Kidunda, B.R.; Kabanza, A.K.; Ndibanya, K.N.; Majune, D.J.; Bwaize, H.M.; Merengo, M.J.; Lilai, S.A. Influence of cashew apple utilization on soil nutrient replenishment and performance of cashew seedlings. J. Plant Nutr. 2023, 47, 595–614. [Google Scholar] [CrossRef]
- Wollni, M.; Zeller, M. Do farmers benefit from participating in specialty markets and cooperatives? The case of coffee marketing in Costa Rica. Agric. Econ. 2007, 37, 243–248. [Google Scholar] [CrossRef]
- Arnould, E.J.; Plastina, A.; Ball, D. Market Disintermediation and Producer Value Capture: The Case of Fair Trade Coffee inNicaragua, Peru, and Guatemala. Product and Market Development for Subsistence Marketplaces. Adv. Int. Manag. 2007, 20, 319–340. [Google Scholar]
- Nwankwo, U.M.; Peters, K.J.; Bokelmann, W. Can cooperative membership and participation affect adoption decisions? Issues for sustainable biotechnology dissemination. AgBioForum 2009, 12, 437–451. [Google Scholar]
- Liverpool-Tasie, L.S.; Kuku, O.; Ajibola, A. A Review of Literature on Agricultural Productivity, Social Capital and Food Security in Nigeria; Working Paper No. 21; Nigeria Strategy Support Program (NSSP): Washington, DC, USA, 2011; 53p. [Google Scholar]
- Mbokazi, N.; Maharaj, P. Agricultural cooperatives as a means of promoting local economic development in a township in South Africa. S. Afr. Geogr. J. 2024, 107, 422–440. [Google Scholar] [CrossRef]
- Sun, X.; Ma, Y. Sharing and Co-Creating Value: Innovation in Platform-Based Agricultural Service Models Driven by Service Demand Collaboration—A Case Study of the JN Life. Sustainability 2025, 17, 1215. [Google Scholar] [CrossRef]
- Ruf, F.; Kla, A.G.; Dja, K.; Kiendré, J. Chicken Manure in the Cocoa Plantations of Cote d’Ivoire. An Agroecological and Social Revolution, a ‘Frugal’ Village Innovation. 2015. Available online: https://www.inter-reseaux.org/wp-content/uploads/ruf_chicken_manure_in_the_cocoa_plantations_of_cote_d_ivoire.pdf (accessed on 31 July 2025).
- World Resources Institute. The Hidden Benefits of Cacao Waste. 2023. Available online: https://www.wri.org/insights/hidden-benefits-cacao-waste (accessed on 31 July 2025).
- Mael, S.H. Cocoa pod husk meal as a feed ingredient for livestock. Food Energy Secur. 2024, 13, e70003. [Google Scholar] [CrossRef]




| Research Area | Key Studies | Focus | Gap |
|---|---|---|---|
| Farmer Coalitions | Sarkar et al. [13], Consedine [14], Mu et al. [15] | Cooperative participation, productivity, and market access. | Limited focus on coalitions integrating multiple crops and livestock with sharing and circular economy principles. |
| Cacao Intercropping | Silue et al. [16], Ofori et al. [17], Nursalam et al. [18] | Economic and ecological benefits of intercropping. | Lack of integration with livestock and cooperative frameworks in the context of sharing and circular economies. |
| Poultry Integration | Carey et al. [19], Bist et al. [20] | Use of poultry in integrated farming systems. | Limited exploration of poultry integration in cacao–cashew coalitions. |
| Sharing Economy in Agriculture | Rodrigues et al. [21], Boar et al. [22], Miralles et al. [23] | Resource sharing and collaborative models. | Limited application to high-value crop–livestock systems with circular economy principles. |
| Circular Economy in Agriculture | Ali & Ali [24], Selvan et al. [25] | Waste valorization and resource recycling. | Lack of focus on integrated crop–livestock coalitions with sharing economy principles. |
| Parameter | Description |
|---|---|
| Local Government | |
| The probability of Local Government choosing the “Strict Regulation” strategy | |
| Reputational benefits for Local Government when choosing the “Strict Regulation” strategy | |
| Additional costs incurred by Local Governments in implementing support policies | |
| Reputational risks when regulations is lax and parties choose the “No Resource Sharing and No Waste Management” strategy | |
| Incentives from Local Government when parties choose the “Resource Sharing” strategy | |
| Incentives from Local Government when parties choose the “Waste Management” strategy | |
| Penalties by Local Government when parties choose the “No Resource Sharing” strategy | |
| Penalties by Local Government when parties choose the “No Waste Management” strategy | |
| CFA | |
| The probability of CFA choosing the “Resource Sharing and Waste Management” strategy | |
| Additional profit for CFA intercropping cacao with cashew of CNFB | |
| Additional profit for CFA selling organic fertilizer and biochar made from cacao by-products to CNFB | |
| Additional profit for CFA buying low-cost organic fertilizer and biological products made from cashew by-products of CNFB | |
| Additional profit for CFA selling animal feed made from cacao by-products to CFC | |
| Additional profit for CFA buying low-cost organic fertilizer composted from chicken manure of CFC | |
| CNFB | |
| The probability of CNFB choosing the “Resource Sharing and Waste Management” strategy | |
| Additional profit for CNFB intercropping cashew with cacao of CFA | |
| Additional profit for CNFB selling organic fertilizer and biological products made from cashew by-products to CFA | |
| Additional profit for CNFB buying low-cost organic fertilizer and biochar made from cacao by-products of CFA | |
| Additional profit for CNFB raising chickens of CFC on the cashew farm | |
| Additional profit for CNFB selling animal feed made from cashew by-products to CFC | |
| Additional profit for CNFB buying low-cost organic fertilizer composted from chicken manure of CFC | |
| CFC | |
| The probability of CFC choosing the “Resource Sharing and Waste Management” strategy | |
| Additional profit for CFC selling organic fertilizer composted from chicken manure to CFA | |
| Additional profit for CFC buying low-cost animal feed made from cacao by-products of CFA | |
| Additional profit for CFC raising chickens on the cashew farm of CNFB | |
| Additional profit for CFC selling organic fertilizer composted from chicken manure to CNFB | |
| Additional profit for CFC buying low-cost animal feed made from cashew by-products of CNFB | |
| Local Government (Strict Regulation) | |||
|---|---|---|---|
| C | B A | Resource Sharing and Waste Management | No Resource Sharing and No Waste Management |
| Resource Sharing and Waste Management | Resource Sharing and Waste Management | ||
| No Resource Sharing and No Waste Management | |||
| No Resource Sharing and No Waste Management | Resource Sharing and Waste Management | ||
| No Resource Sharing and No Waste Management | |||
| Local Government (Lax Regulation) | |||
|---|---|---|---|
| C | B A | Resource Sharing and Waste Management | No Resource Sharing and No Waste Management |
| Resource Sharing and Waste Management | Resource Sharing and Waste Management | ||
| No Resource Sharing and No Waste Management | |||
| No Resource Sharing and No Waste Management | Resource Sharing and Waste Management | ||
| No Resource Sharing and No Waste Management | |||
| Equilibrium Point | Eigenvalues | Stability |
|---|---|---|
| Unstable | ||
| Unstable | ||
| Unstable | ||
| Unstable | ||
| Unstable | ||
| Unstable | ||
| Unstable | ||
| ESS if |
| Equilibrium Point | Eigenvalues | Stability |
|---|---|---|
| Unstable | ||
| Unstable | ||
| Unstable | ||
| Unstable | ||
| Unstable | ||
| Unstable | ||
| Unstable | ||
| ESS if |
| Local Government | CFA | CNFB | CFC |
|---|---|---|---|
Disclaimer/Publisher’s Note: The statements, opinions and data contained in all publications are solely those of the individual author(s) and contributor(s) and not of MDPI and/or the editor(s). MDPI and/or the editor(s) disclaim responsibility for any injury to people or property resulting from any ideas, methods, instructions or products referred to in the content. |
© 2025 by the authors. Licensee MDPI, Basel, Switzerland. This article is an open access article distributed under the terms and conditions of the Creative Commons Attribution (CC BY) license (https://creativecommons.org/licenses/by/4.0/).
Share and Cite
Vu, D.N.; Nguyen, T.L.; Nguyen Thi, M.H.; Nguyen, G.K.; Vo, D.B.; Nguyen, N.A.; Nguyen, H.D. On High-Value Mixed Cropping System: Four-Way Evolutionary Game Analysis of HMC Synergy of Circular and Sharing Economy for Multiple Low-to-Middle-Income Farmer Families. Sustainability 2025, 17, 7611. https://doi.org/10.3390/su17177611
Vu DN, Nguyen TL, Nguyen Thi MH, Nguyen GK, Vo DB, Nguyen NA, Nguyen HD. On High-Value Mixed Cropping System: Four-Way Evolutionary Game Analysis of HMC Synergy of Circular and Sharing Economy for Multiple Low-to-Middle-Income Farmer Families. Sustainability. 2025; 17(17):7611. https://doi.org/10.3390/su17177611
Chicago/Turabian StyleVu, Duc Nghia, Truc Le Nguyen, Mai Huong Nguyen Thi, Gia Kuop Nguyen, Duc Binh Vo, Ngoc Anh Nguyen, and Huy Duc Nguyen. 2025. "On High-Value Mixed Cropping System: Four-Way Evolutionary Game Analysis of HMC Synergy of Circular and Sharing Economy for Multiple Low-to-Middle-Income Farmer Families" Sustainability 17, no. 17: 7611. https://doi.org/10.3390/su17177611
APA StyleVu, D. N., Nguyen, T. L., Nguyen Thi, M. H., Nguyen, G. K., Vo, D. B., Nguyen, N. A., & Nguyen, H. D. (2025). On High-Value Mixed Cropping System: Four-Way Evolutionary Game Analysis of HMC Synergy of Circular and Sharing Economy for Multiple Low-to-Middle-Income Farmer Families. Sustainability, 17(17), 7611. https://doi.org/10.3390/su17177611

