Next Article in Journal
Rural Entrepreneurs and Forest Futures: Pathways to Emission Reduction and Sustainable Energy
Previous Article in Journal
Sustainable Lightweight Aggregates from Diatomite Residue
 
 
Font Type:
Arial Georgia Verdana
Font Size:
Aa Aa Aa
Line Spacing:
Column Width:
Background:
Article

Ecological Status of the Small Rivers of the East Kazakhstan Region

1
International School of Engineering, D. Serikbayev East Kazakhstan Technical University, Ust-Kamenogorsk 070000, Kazakhstan
2
School of Geosciences, D. Serikbayev East Kazakhstan Technical University, Ust-Kamenogorsk 070000, Kazakhstan
3
Center for Technological Innovation in Construction and Civil Engineering, University of La Coruña, 15001 A Coruña, Spain
*
Author to whom correspondence should be addressed.
Sustainability 2025, 17(14), 6525; https://doi.org/10.3390/su17146525
Submission received: 21 April 2025 / Revised: 12 July 2025 / Accepted: 14 July 2025 / Published: 16 July 2025

Abstract

The article presents a long-term assessment of the surface water quality of six small rivers in the East Kazakhstan region (Breksa, Tikhaya, Ulba, Glubochanka, Krasnoyarka, and Oba) based on hydrochemical monitoring data from the Kazhydromet State Enterprise for the period 2017–2024. A unified water quality classification system was applied, along with statistical methods, including multiple linear regression. The Glubochanka and Krasnoyarka rivers were identified as the most polluted (reaching classes 4–5), with multiple exceedances of Zn (up to 2.96 mg/dm3), Cd (up to 0.8 mg/dm3), and Cu (up to 0.051 mg/dm3). The most stable and highest water quality was recorded in the Oba River, where from 2021 to 2024, water consistently corresponded to Class 2. Regression models of water quality class as a function of time and annual precipitation were constructed to assess the influence of climatic factors. Statistical analysis revealed no consistent linear correlation between average annual precipitation and water quality (correlation coefficients ranging from −0.49 to +0.37), indicating a complex interplay between climatic and anthropogenic factors. Significant relationships were found for the Breksa (R2 = 0.903), Glubochanka (R2 = 0.602), and Tikhaya (R2 = 0.555) rivers, suggesting an influence of temporal and climatic factors on water quality. In contrast, the Oba (R2 = 0.130), Ulba (R2 = 0.100), and Krasnoyarka (R2 = 0.018) rivers exhibited low coefficients, indicating the predominance of other, likely local, sources of pollution. It was found that summer periods are characterized by the highest pollution due to low water flow, while episodes of acid runoff occur in spring. A decrease in pH below 7.0 was first recorded in 2023–2024 in the Ulba and Tikhaya rivers. Forecasts to 2030 suggest relative stability in water quality under current climatic conditions; however, by 2050, the risk of water quality deterioration is expected to rise due to increased precipitation and extreme weather events. This study presents, for the first time, a systematic long-term analysis of small rivers in the East Kazakhstan region, offering deeper insight into the dynamics of surface water quality and providing a scientific foundation for developing adaptive strategies for the protection and sustainable use of water resources under climate change and anthropogenic pressure. The results emphasize the importance of prioritizing rivers with high variability in water quality for regular monitoring and the development of adaptive conservation measures. The research holds strong applied significance for shaping a sustainable water use strategy in the region.

1. Introduction

Surface freshwater is a vital strategic resource, especially under conditions of increasing anthropogenic pressure on watercourses. In the East Kazakhstan region, where large industrial and mining enterprises are concentrated, assessing the quality of water bodies regarding catchment area load is an urgent task.
A key area of focus is the comprehensive assessment of the condition of small rivers, considering the spatial and temporal variability of water quality and the influence of anthropogenic and climatic factors. This approach is essential for a more accurate interpretation of hydrochemical data and their practical application in regional environmental management.
The pollution level of small rivers is shaped by the combined influence of industrial sources, agricultural activities, and climatic changes that affect flow regimes and pollutant concentrations [1].
The East Kazakhstan region has a well-developed hydrographic network: more than 13,000 watercourses with a total length of 53.2 thousand km are in the Irtysh River basin [2]. However, in recent years, climatic changes have been observed, including rising average annual temperatures, reduced spring runoff, and prolonged summer low-flow periods. These factors contribute to higher pollutant concentrations and increase the environmental vulnerability of the region’s small rivers.
The Irtysh River and its tributaries play a key role in supporting the region’s economy and providing drinking water. The water bodies of East Kazakhstan are significantly affected by mining activities, which result in localized heavy metal contamination. Historical pollution sources, such as landfills, tailings dumps, and industrial waste storage sites, place additional stress on the environment. Due to their natural vulnerability, small rivers are the first to respond to such impacts.
Pollution of rivers in East Kazakhstan, including the Irtysh, Ulba, and smaller tributaries, by heavy metals remains one of the region’s most pressing environmental challenges. According to Kazakhstani studies [3], mining enterprises consume large volumes of freshwater, exerting high pressure on water bodies. Wastewater discharged from mines and processing facilities contains cadmium, lead, mercury, zinc, copper, and other hazardous elements that accumulate in ecosystems and adversely affect water quality and public health.
Comparative studies of water quality in the Irtysh River channel reveal considerable regional variation: in the Pavlodar region, the water meets the standards for economic and recreational use, whereas in East Kazakhstan, it is considered unfit without preliminary treatment [4]. At the same time, systematic studies targeting specific sources of pollution and quantifying their contribution are still lacking for the East Kazakhstan region, and most available publications remain limited to descriptive observations.
The main sources of pollution in the Irtysh River basin are the industrial centers of East Kazakhstan, including the cities of Ust-Kamenogorsk, Ridder, and surrounding settlements. Major mining and metallurgical enterprises are concentrated in the catchment areas of the studied rivers, including Kazzinc LLP, the Ridder Metallurgical Complex, and the Irtysh Mine.
The Irtysh River, which is significantly contaminated with heavy metals, is a transboundary watercourse flowing through China (618 km), Kazakhstan (1589 km), and Russia (2041 km). Within Kazakhstan, it includes the Bukhtarma and Shulba reservoirs. The accumulation of dissolved pollutants near large urban areas contributes to the formation of local geochemical anomalies.
In the basins of small rivers in East Kazakhstan (such as the Breksa, Tikhaya, Ulba, Glubochanka, Krasnoyarka, and Oba rivers), the accumulation of heavy metals in both the water column and bottom sediments is associated with the impact of mining operations, waste rock dumps, tailings facilities, and industrial effluents from metallurgical plants [5]. As noted in [6], mine water and ore-processing waste represent a persistent source of both surface and groundwater pollution in such regions.
One of the characteristic consequences of mining and metallurgical activities is the formation of acid mine drainage, which promotes the mobilization of heavy metals and contamination of water resources. According to Kazakhstani researchers [7], these processes lead to long-term deterioration of water quality due to the accumulation of toxic elements in bottom sediments. In East Kazakhstan, where polymetallic ore extraction is actively carried out, the risks are aggravated by insufficient control and management of mining waste.
Wastewater from mining and metallurgical enterprises makes a significant contribution to the pollution of water bodies in the East Kazakhstan region, particularly in areas adjacent to tailings dumps [8]. The composition of these effluents is influenced by the geochemistry of ore deposits, the technologies used in ore processing, and the efficiency of wastewater treatment systems, resulting in variability in heavy metal concentrations in the aquatic environment. This poses potential risks to aquatic ecosystems and public health.
The impact of mining and metallurgical enterprises remains the primary factor in the degradation of water quality in East Kazakhstan. An analysis of 10 years of data on 26 components in the Irtysh River basin [9] revealed that, while the main channel and major tributaries (such as the Bukhtarma and Oba) generally exhibit satisfactory conditions, small rivers—including the Glubochanka, Krasnoyarka, Tikhaya, Ulba, and Breksa—show significantly higher levels of pollution. The main sources include wastewater discharges (with chemical oxygen demand (COD) reaching up to 27.1 mg/dm3) and anthropogenic inputs of heavy metals: copper (up to 0.051 mg/dm3), zinc (up to 2.96 mg/dm3), and cadmium (up to 0.8 mg/dm3). Seasonal factors, such as ice formation and flooding, further influence the oxygen regime and the migration of pollutants.
According to a comprehensive assessment of the Kazakh section of the Irtysh River conducted in 2023 [10], exceedances of maximum permissible concentrations (MPCs) for nitrites, copper, and iron were recorded at several monitoring stations, with localized exceedances also reported for chromium and zinc. Although overall pollution levels are generally classified as low, moderate to high levels have been detected for individual components. The main causes are geochemical anomalies (linked to gold and polymetallic ore deposits) and the activities of processing facilities concentrated in Ust-Kamenogorsk, Ridder, Altay, and the Glubokoe district [11].
According to the results of a recent study [12], elevated levels of mercury, cadmium, and zinc exceeding the Clarke values for the hydrosphere were recorded at several sites along the Irtysh River (Ust-Kamenogorsk, Semey, Pavlodar, etc.). The pollution is largely associated with right-bank tributaries, particularly those receiving wastewater from major industrial facilities in Ust-Kamenogorsk, Ridder, and Altay. The highest concentrations of heavy metals were found in the Breksa and Tikhaya rivers, which are tributaries of the Ulba River and lie within the influence zone of the mining and metallurgical complex.
The monitoring of Kazakhstan’s transboundary rivers [13] has shown that, on average, concentrations of toxic elements (As, Cr, Pb, Mo, etc.) in the Irtysh River comply with water quality standards, and the overall toxicity index is below 1. However, such averaged assessments do not account for local geochemical anomalies and anthropogenic pressures on small watercourses, particularly in areas of active polymetallic ore extraction and processing.
Several studies [14,15,16,17,18,19] address the historical aspects of pollution and water quality assessment in the Irtysh basin. According to a study by Kazakhstani researchers [20], a significant impact of mining activities was observed in the upper and middle reaches of the Irtysh during 2010–2011. Bioindication tests conducted in right-bank tributaries (Ulba, Krasnoyarka) revealed a high level of acute toxicity: despite meeting chemical standards, the survival rate of test organisms did not exceed 46.7%. These findings highlight the importance of a comprehensive assessment approach, including biotesting, especially under conditions of latent toxic effects.
Although natural processes generally support satisfactory water quality in the main channel of the Irtysh, especially in terms of average indicators, a detailed assessment of the condition of small tributaries remains critically important, particularly in industrial and mining zones of East Kazakhstan, where localized environmental risks are present. Under conditions of increasing anthropogenic and climatic pressure, a comprehensive assessment of small rivers in the region is urgently needed, including an analysis of the spatial and temporal variability of water quality and the identification of priority pollutants.
Thus, the aim of this study is to assess the condition of small rivers in the East Kazakhstan region, considering the influence of climatic factors and analyzing the key indicators that reflect the level of anthropogenic pollution and the ecological stability of water bodies.
The main objectives of the study are as follows:
  • To assess the current condition of small rivers in the East Kazakhstan region based on long-term hydrochemical monitoring data;
  • To analyze the spatial and temporal variability of water quality;
  • To identify the relationships between specific water quality indicators and climatic factors (temperature and precipitation).
The novelty of this research lies in the integration of long-term hydrochemical monitoring data, climatic factors, and geoinformation analysis into a unified system for assessing the condition of water bodies. This approach makes it possible not only to analyze the current state of water quality but also to predict long-term changes under the influence of anthropogenic pressures and climate change.
The data obtained will contribute to the development of methods for assessing the state of aquatic ecosystems and identifying pollution sources, thereby expanding knowledge about the water resources of the East Kazakhstan region.
The results of the study can be used for further research in the field of reservoir ecology, as well as for the development of new, more effective methods of integrated water quality monitoring and management at the regional level.
This will improve the quality of the region’s water bodies, enhance ecosystems and public health, and support decision-making aimed at ensuring sustainable water use and protecting water resources.

2. Materials and Methods

According to Article 145, Paragraph 2 of the Environmental Code of the Republic of Kazakhstan [21], environmental monitoring is carried out by the National Hydrometeorological Service. The authority responsible for state monitoring and assessment of surface water quality in Kazakhstan is the Department of Environmental Monitoring of the RSE “Kazhydromet” under the Ministry of Ecology, Geology, and Natural Resources [22].
This study utilizes official long-term data on the condition of surface waters in the East Kazakhstan region (2017–2024), published in bulletins issued by Kazhydromet [22]. The following physicochemical parameters were analyzed in water samples: temperature, transparency, pH, dissolved oxygen, biochemical oxygen demand over five days (BOD), chemical oxygen demand (COD), concentrations of basic ions, biogenic elements, heavy metals, petroleum products, phenols, and pesticides. All measurements were carried out in accordance with standardized methods approved at the national level (Table S1).
To assess water quality according to hydrochemical indicators, the main criteria were used—the values of maximum permissible concentrations (MPCs) of pollutants for fisheries reservoirs (Table S1), which are justified and approved by the Order of the Chairman of the Committee on Water Resources of the Ministry of Agriculture of the Republic of Kazakhstan “On approval of the unified system of classification of water quality in water bodies” [23].
Until 2016, the level of surface water pollution in the Republic of Kazakhstan was assessed using the Complex Water Pollution Index (CWPI), which served as a tool for comparing and tracking changes in water quality over time (Tables S2 and S3) [24].
The Complex Water Pollution Index (CWPI), as published in the official bulletins of Kazhydromet [22], was used to assess the level of pollution in water bodies. The CWPI is calculated according to Formula (1):
C W P I = 1 n i = 1 n C i M P C i
where Ci is the concentration of the i-th substance, MPCi is its maximum permissible concentration, and n is the number of analyzed components. CWPI values were used for comparative analysis between different water bodies and across years, as well as to assess spatiotemporal trends in pollution.
Table S2 presents a general classification of water body pollution levels based on the Complex Water Pollution Index (CWPI), dissolved oxygen concentrations, and the five-day biochemical oxygen demand (BOD). This integrated approach enables the assessment of water quality using several key parameters that reflect both the chemical and biological conditions of the aquatic environment. Table S3 offers a more detailed breakdown of water quality classes based on CWPI values and compares them with environmental hazard classes, complementing and refining the classification outlined in Table S2.
The classification according to the Complex Water Pollution Index (CWPI) was widely used earlier and was based on systematized data on key hydrochemical indicators such as dissolved oxygen content, biochemical oxygen consumption, and the content of pollutants. This technique is described in detail in a number of regulatory documents, including the Methodological Guidelines for the Control of Pollution of Surface Water Bodies, approved by the USSR State Hydrometeorological Committee (MG 34-70-053-87).
The comparison of CWPI-based water quality classes with environmental hazard classes was carried out to adapt the assessment methodology to changes in Kazakhstan’s regulatory framework. Since 2016, the CWPI has no longer been officially used for monitoring the condition of water bodies. This combined use of historical and current classification systems allows for a comprehensive and consistent analysis of pollution levels, taking into account both legacy methodologies and modern assessment standards.
Since 2016, the monitoring and assessment of surface water quality in the Republic of Kazakhstan have been conducted in accordance with the unified water quality classification system (Table S4). Under this system, surface water monitoring is based on hydromorphological and physicochemical parameters. The hydromorphological status is determined using a hydromorphological composite index, while the physicochemical status is assessed based on 42 specific indicators.
The unified water quality classification system used in the Republic of Kazakhstan since 2016 is based on the harmonization of national methodologies with the recommendations of the United Nations Economic Commission for Europe (UNECE) and the provisions of the EU Water Framework Directive 2000/60/EC, which aims to achieve a “good” status of water bodies. The transition to this new system reflects the need for a more comprehensive assessment of the condition of water bodies, taking into account a wide range of physical, chemical, and hydromorphological parameters. This allows for greater objectivity and comparability of monitoring data.
According to this classification, there are 5 classes of water from high to low level of water quality, which are characterized according to the concentration of these indicators:
  • Class 1: Water of this class is recommended for all types of water use and is of high quality.
  • Class 2: Water suitable for all types of use except for domestic and drinking purposes. Basic treatment methods are required to make the water safe for household and drinking use.
  • Class 3: Water appropriate for recreational, agricultural (irrigation), and industrial use. Advanced treatment is necessary for domestic and drinking water use. This class of water is not recommended for salmonid aquaculture.
  • Class 4: Water suitable only for irrigation and industrial purposes, including hydropower, mining, and hydro-transport. Intensive treatment is required for domestic or drinking use. Recreational use is not recommended.
  • Class 5: Low-quality water, suitable exclusively for hydropower, mining, and hydro-transport.
Thus, this study employed the unified water quality classification system officially adopted in the Republic of Kazakhstan, which was developed in accordance with the Environmental Code [21] and regulatory documents of the National Hydrometeorological Service (RSE Kazhydromet) [22]. The application of this system ensures the comparability of the obtained data with results from state monitoring programs and enables an objective assessment of the condition of water bodies in a format that is consistent with internationally recognized water quality evaluation standards.
Data for assessing the surface water quality of the East Kazakhstan Region were obtained from the open archives of Kazhydromet [22]. Sampling and analytical procedures were conducted using standardized national methods of the Republic of Kazakhstan, ensuring consistent data quality and reliability. However, the frequency and seasonal coverage of sampling were determined by Kazhydromet and were not controlled by the authors of this study. Due to limited sampling during certain seasons (e.g., reduced sampling intensity in winter), there may be limitations in representing the full seasonal dynamics of water quality parameters. Additionally, analytical errors associated with laboratory procedures may be present, despite the use of accredited laboratories adhering to high standards. The following measures were taken to minimize the impact of these limitations on the study results:
  • Use of multi-year average data to reduce the influence of random fluctuations and errors in individual measurements;
  • Statistical data processing, including the identification and exclusion of outliers and abnormal values;
  • Comparative analysis of results across different rivers and years to identify systematic trends, thereby minimizing the influence of random anomalies;
  • Application of multiple water quality assessment parameters to enable a more comprehensive evaluation of water body conditions.
Thus, despite limitations related to sampling procedures and analytical methods, the analysis remains objective and reflects the general trends in surface water quality in the study region.
Climatic parameters (average monthly air temperature and precipitation) were obtained from open-access Kazhydromet sources for the period 2001–2024. The processing of climatic and hydrochemical data included the calculation of means and standard deviations, identification of outliers, and correlation analysis using Pearson’s method. All calculations were performed using Excel and Statistica 10.0 software.

3. Results and Discussion

3.1. Climatic Conditions and Atmospheric Precipitation Dynamics

In the present study, the analysis and assessment of surface water pollution in East Kazakhstan Region were conducted in accordance with the unified classification system for six rivers: Breksa, Tikhaya, Ulba, Glubochanka, Krasnoyarka, and Oba (Figure 1). Figure 1 illustrates the river basins of the Irtysh, Bukhtarma, Oba, and Ulba, with each basin represented in a distinct color. The Tikhaya and Breksa rivers are tributaries of the upper Ulba River, located upstream of the city of Ridder (Figure 2). The Glubochanka and Krasnoyarka rivers are small right-bank tributaries of the Irtysh River (Figure 2). As we can see from the maps presented, it is the small rivers under study that are under the influence of dangerous tailings ponds [25]. To improve clarity, coordinate grids and scale bars were added to Figure 1 and Figure 2. The GIS-based map data illustrate the locations of the studied rivers and the main sources of anthropogenic impact. It should be noted that the distances between sampling points and specific pollution sources are approximate due to map scale limitations and the lack of detailed hydrographic data.
Figure 1 and Figure 2 show the Tailings Hazard Index according to research on mapping of tailings in Central Asia: high, medium, and low [25].
In turn, the assignment of the hazard index is based on the Methodology for Training Management Facilities (TMFs) of the UNECE [26]. According to the methodology, the Tailings Hazard Index (THI) and the Tailings Risk Index (TRI) are assigned to a tailings dump based on the following indicators: used capacity (Mio m3), material category, toxic substances, substance toxicity (water hazard class), TMF status (closed, active, rehabilitated), flood occurrence (HQ-500 is the estimated flood once every 500 years, H is the height or water level (hydraulic), Q is the flow rate, 500 is the period of recurrence), seismic activity (reference peak ground acceleration (PGA), m/s2), dam stability (factor of safety (FoS)), settlements at risk, total population at risk, closest surface water body at risk, mean stream flow rate (m3/s), and lake surface area (km2).
The analysis of weather conditions in East Kazakhstan region was carried out based on long-term data from seven weather stations operated by the National Hydrometeorological Service of Kazakhstan, “Kazhydromet” [22]. These weather stations are located directly within the study area. The available observation records in digital format cover the period from 2001 to the present; however, digital data has been available for only two weather stations since 2008. This time frame was considered sufficient to assess climatic changes in the region. To evaluate regional climate trends, data were processed using Excel software, and forecasts were generated using second-degree polynomial trendlines.
The analysis of weather data showed that temperature trends align with global patterns and indicate a gradual increase in air temperature in the region (Figure 3). Despite the lows recorded in 2010 and 2012, the overall trend remains upward. Notably, although the average annual temperature decreased in 2012, the summer of that year was among the hottest. A similar discrepancy between annual and summer temperatures was observed again in 2024. Overall, the years following 2018 have been the warmest in the region throughout the entire observation period. The trend lines plotted in accordance with Equation (2) (R2 = 0.17) for average annual temperatures and Equation (3) (R2 = 0.19) for summer temperatures also clearly demonstrate a steady upward trend in temperature throughout the region.
Figure 4 presents data on precipitation levels in the region (annual and summer values). On one hand, the graph indicates a gradual increase in precipitation, with both indicators exceeding the average for the study period since 2009. However, in recent years, starting from 2020, precipitation has been declining. The trend lines were constructed using Equation (4) (R2 = 0.16) for the annual average and Equation (5) (R2 = 0.004) for the summer period. The forecast suggests a slight increase in average annual precipitation, while summer precipitation is expected to decrease. In general, this trend correlates with rising temperatures and reflects the broader picture of climate warming—summers in the region are becoming hotter and drier.
y = 0.007x2 − 0.162x + 3.77
y = 0.002x2 − 0.007x + 13.94
y = −0.034x2 + 5.725x + 425.9
y = −0.080x2 + 2.107x + 272.5
An assessment of long-term climatic trends in the region revealed a significant shift: whereas previously most precipitation in East Kazakhstan occurred in the warm season, there is now a consistent increase in winter precipitation and a decrease during summer (Figure 5). For the region’s sharply continental climate, this trend indicates increased summer aridity, which can substantially affect the flow of small rivers and the efficiency of natural self-purification processes in aquatic ecosystems. Forecast values derived from trend lines (Equation (6)) confirm this shift (R2 = 0.269).
y = −0.012x2 − 0.226x + 62.9
Weather conditions, including precipitation and seasonal changes, have a significant impact on the state of water flows in East Kazakhstan. In summer, precipitation plays a key role in recharging rivers, which is especially important in areas with little snow or glacial coverage. Winters in the region are also becoming milder, and the amount of snowfall is decreasing, reducing spring runoff in rivers. At the same time, the rapid melting of snow in spring leads to severe flooding, while in summer, water flows diminish more quickly than usual.
The increase in average annual temperature accelerates evaporation processes, exacerbating water scarcity. This inevitably leads to a decline in water quality, as the concentration of pollutants rises with lower runoff levels.
Thus, climate change in Kazakhstan, manifested by decreasing annual precipitation and overall warming, has a negative impact on the stability of water flows. This is especially critical for small, heavily polluted rivers in the region.

3.2. pH Changes and Acid–Base Dynamics

The pH value is one of the most important indicators of water quality, reflecting the state of acid–base balance in aquatic ecosystems. It plays a crucial role in determining the development and vital functions of aquatic biota, the mobility and chemical form of various elements, as well as the corrosive effects of water on bedrock, metals, and concrete structures. The pH level of surface water is influenced by a complex set of processes, including carbonate equilibrium, the intensity of photosynthesis and decomposition of organic matter, and the concentration of humic substances, among others. The hydrogen ion concentration is subject to seasonal fluctuations: river and lake waters typically exhibit lower pH values in winter compared to summer. During winter, pH values in most rivers range from 6.8 to 7.4, while in summer they increase to 7.4–8.2 [22]. Comparative pH values for the studied water bodies over the period from 2015 to 2024 are presented in Table S5.
The pH values of the surface waters of all analyzed sites during the entire study period from 2017 to 2024 were within the range of 6.5–8.5, which meets the requirements for the composition and properties of reservoir water at drinking water intake points and recreational water bodies, as well as reservoirs used for fisheries purposes (Table S5).
From 2017 to 2024, the pH levels in most rivers of the East Kazakhstan Region remained within the range of a slightly alkaline environment (7.5–8.5), although in recent years, wider fluctuations have been observed, particularly in 2023–2024.
Yearly analysis:
  • 2017–2018: pH levels were stable, averaging 7.5–8.2, indicating consistent water quality.
  • 2019–2020: pH fluctuations were observed throughout the year. Possible causes include seasonal changes, flooding, and anthropogenic influences.
  • 2021–2022: Wide pH ranges were recorded (e.g., in the Tikhaya River—from 7.35 to 8.37), which may indicate localized pollution, runoff, or changes in water composition.
  • 2023–2024: For the first time, values below 7 were recorded (as low as 6.90 and even 6.60), especially in the Ulba and Tikhaya rivers. Episodes of acid contamination are likely, possibly due to wastewater discharge or snowmelt from polluted areas.
In 2023–2024, the pH of surface waters in the Ulba River decreased to 6.60, indicating a possible acidification episode. The precise causes of pH variation are difficult to determine due to the lack of detailed information on wastewater composition and the locations of mines, tailings, and other potential sources of pollution. Possible contributing factors include the discharge of acidic mine waters, surface runoff from contaminated areas, acid precipitation, and seasonal hydrological fluctuations. Given the region’s complex geochemical structure and the presence of numerous polymetallic deposits, further research is needed to identify spatial and temporal patterns of pH variation and determine their sources.
The Tikhaya River showed the widest range of fluctuations in recent years (from 6.90 to 8.40), which requires enhanced and separate monitoring.
The surface waters of the Glubochanka and Krasnoyarka rivers remained the most stable—while some fluctuations occurred, the pH always stayed within the 8.0–8.5 range, likely due to the alkaline nature of soils or limestone in the river basins.
Overall, the rivers of East Kazakhstan Region exhibit an alkaline reaction; however, since 2021, increased instability and instances of pH dropping below neutral have been recorded. The rivers with the highest pH variability are Tikhaya, Ulba, and Breksa. Continuous monitoring and investigation of the causes of these fluctuations—including seasonal discharges, surface runoff, and climate change—are necessary.
Following the general analysis of pH dynamics in surface waters across the region, it is advisable to conduct a more detailed assessment of changes in pH for each river, taking into account spatial and temporal variability.
In 2017–2018, pH values in the surface waters of the Breksa River remained stable, ranging from 7.6 to 7.7, indicating a slightly alkaline environment. In 2019–2020, minor fluctuations were observed, with average values around 7.79, likely due to seasonal changes (spring floods, summer precipitation). Starting in 2021, the pH range widened significantly: in 2023, it ranged from 7.16 to 8.35, and in 2024—from 7.05 to 8.43. The minimum pH value (7.05) was recorded in 2024. These fluctuations may indicate instability in the chemical composition of the water under the influence of external factors—both anthropogenic (agricultural and industrial runoff) and natural (melting of polluted snow, climate change). Despite the wider range, the average pH values remain within the sanitary standard (6.5–8.5); however, the observed extremes warrant further monitoring.
In 2017–2018, pH values in the surface waters of the Tikhaya River remained stable (≈7.5), reflecting a steady hydrochemical environment and a slightly alkaline character. In 2019–2020, slight fluctuations were noted (up to 7.9), while average values increased slightly. Since 2021, the pH range has expanded considerably: in 2021–2023, values fluctuated between 6.90 and 8.45, which may indicate instability of the aquatic environment, episodic contamination, or mixing with acidic or alkaline waters. In 2024, the range narrowed (6.94–7.97), but the average value declined, approaching a neutral or slightly acidic reaction. Possible reasons include the influence of wastewater and meltwater, seasonal processes, low buffer capacity, or potential fertilizer contamination. Although the pH values remain within the acceptable range (6.5–8.5), the emerging trend toward instability calls for continued monitoring.
In 2017–2020, pH values in the Ulba River remained stable (7.6–7.8), indicating a slightly alkaline environment and a low level of pollution. Since 2021, wide fluctuations have been recorded (up to 1.14 units per year), likely related to seasonal flooding, the inflow of contaminated water, or industrial discharges. In 2023, a narrow but abnormally high pH range (8.30–8.54) was observed, possibly reflecting alkaline loading from industrial wastewater. In 2024, the range widened to its maximum for the entire observation period (6.60–8.36), including values approaching acidity. These fluctuations may be due to the mixing of surface water with meltwater or rainwater, alkaline discharges, and changes in the composition of tributaries. The trend toward increasing instability requires enhanced environmental oversight, particularly in view of the recorded episodes of sharp pH declines.
From 2017 to 2020, pH values in the Glubochanka River remained consistently high (approximately 8.2–8.3), with minimal fluctuations, indicating a stable, slightly alkaline environment. Between 2021 and 2024, the pH range expanded slightly (by ~0.5 units), but the average values remained nearly unchanged (≈8.25–8.28), confirming the reservoir’s natural buffering capacity. This stability is likely to be due to the mineral composition of the surrounding soil (e.g., carbonates), good water flow, low anthropogenic impact, and the absence of stagnant zones. Among all the rivers studied, the Glubochanka demonstrates one of the most stable pH regimes. Although continued water quality monitoring is necessary, there are no signs of acidification or abrupt fluctuations.
The Krasnoyarka River also exhibited consistently high pH values throughout the analyzed period. In 2017–2020, pH ranged from 8.1 to 8.3, and in 2021–2024, the range widened slightly, while the average values remained stable—around 8.27–8.29. This reflects a persistently slightly alkaline environment and high buffering capacity. Contributing factors likely include natural mineral composition (carbonate or calcareous deposits), low anthropogenic load, a stable hydrological regime, and possible groundwater inflow from alkaline sources. Compared to other rivers in the East Kazakhstan Region, the Krasnoyarka stands out for its pH stability: values remained above 8.0 with no indications of acid stress.
Between 2017 and 2020, pH values in the Oba River were stable (≈7.8–7.9), indicating a slightly alkaline and chemically balanced environment with no marked influence from pollutants. However, since 2021, the range has broadened significantly: in 2022—up to 0.95 units, in 2023—from 7.45 to 8.52, and in 2024—from 7.09 to 8.83, the widest spread observed over the entire period. These fluctuations may result from diverse influences, such as alkaline discharges, seasonal runoff (autumn and spring), flooding, localized pollution, or limited water exchange. While the average values remain within acceptable limits, the recorded extremes and growing instability in recent years highlight the need for ongoing monitoring.
Thus, between 2017 and 2024, most rivers in the East Kazakhstan Region exhibited a trend toward expanding pH ranges while maintaining average values within sanitary norms (6.5–8.5). The most stable pH indicators were observed in the Krasnoyarka and Glubochanka rivers, likely due to natural buffering capacity and low levels of anthropogenic impact. In contrast, the Tikhaya, Ulba, Breksa, and Oba rivers have shown increasing pH instability, particularly over the past three years, which may be attributed to industrial discharges, seasonal runoff, and shifts in hydrological regimes. These findings underscore the necessity of enhanced monitoring in areas with the most pronounced pH fluctuations.

3.3. General Characteristics of Surface Water Quality

It is well known that the time of year is one of the key factors affecting water quality. The highest levels of water pollution are typically observed during spring. Strong frosts with ice and snow constrict the soil and water resources, making it difficult for harmful substances to penetrate them. However, in spring, rising temperatures and snowmelt lead to the release of accumulated pollutants into nearby water bodies, significantly degrading water quality. Spring is also characterized by increased iron concentrations and the active proliferation of pathogenic microorganisms. At the same time, winter cannot be called a favorable time of year for water, as part of the harmful substances enter the water, due to the increase in air pollution during the heating season. Autumn also has specific features that influence water quality. First and foremost is the frequency of precipitation. In urban areas, high concentrations of carbon dioxide and various nitrogen and sulfur oxides can affect the composition of precipitation. These pollutants may enter water bodies directly, including through the municipal drainage and sewer systems.
In this regard, a comprehensive assessment of changes in surface water quality for the small rivers of the East Kazakhstan region considered in this study, which are of important economic importance and are experiencing significant anthropogenic impact for the period from 2017 to 2024 in the context of the months of the year.
One limitation of this analysis is the absence of data on the fractional composition of heavy metals (e.g., separation into dissolved and particulate forms) in official hydrochemical reports by RSE Kazhydromet. This omission hinders a comprehensive assessment of pollutant bioavailability and their potential effects on aquatic ecosystems. Future monitoring programs should include this classification to enhance the informational and environmental relevance of collected data. Furthermore, this study does not examine the biological effects of detected heavy metal concentrations, such as impacts on aquatic organism health or bioaccumulation. Although beyond the current study’s scope, this represents an important area for future research involving hydrobiological and toxicological data.
Based on comprehensive analysis (Table S6), it was established that the surface waters of the Breksa River reached a critical level of pollution in 2017 due to the high content of zinc, copper and manganese compounds, the maximum concentrations of which were 9.1 MPC; 5.0 MPC and 5.3 MPC, respectively. The surface water of the Breksa River was consistently classified as having a high level of pollution between 2017 and 2018. A slight improvement in the river’s water quality was observed between 2019 and 2022, from “high level of pollution” to “moderate pollution level”. From 2023 to 2024, a decreasing trend was observed in the contamination of the Breksa River with iron, copper, zinc, and manganese compounds. The improvement in the surface water quality of the Breksa River persisted in 2024, corresponding to water quality class 2. By 2024, a significant reduction in nitrite nitrogen and ammonium salt concentrations was recorded in the surface waters of the Breksa River, with average annual levels remaining within MPCs limits. The characteristic pollutants of Breksa River water in 2024 still included iron and manganese compounds, the average annual concentrations of which were 3 MPC and 2.9 MPC, respectively. The content of dissolved oxygen in water for the whole study period, from 2017 to 2024, was within MPCs, and in 2024 did not decrease below 5.95 mg/dm3.
In the Breksa River, relative improvements in surface water quality—reaching Class 2—were observed in January, July, and August during the period from 2017 to 2024. The remaining months, over an eight-year period, show consistently high levels of surface water pollution (Figure 6).
In 2024, compared to the previous period, the water quality of the Tikhaya River has improved, from water quality class 4 to 3 (Table S6). By 2024, a slight decrease in the concentrations of ammonium salt compounds and cadmium was observed. The concentrations of several pollutants—suspended solids, nitrite nitrogen, and compounds of zinc, copper, iron, and manganese—decreased in the river water, with annual average concentrations below or within MPCs. In 2024, no more than two of the assessed pollutants exceeded threshold levels in the integrated water quality assessment. Cadmium compounds remained the characteristic pollutant, while the presence of ammonium nitrogen was stable, with average annual concentrations of 0.0019 mg/dm3 and 0.72 mg/dm3, respectively. The regime of dissolved oxygen in Tikhaya River water for the period from 2017 to 2024 was favorable; the minimum concentration did not decrease below 6.84 mg/dm3 (2024).
The assessment of the surface water quality of the Tikhaya River has shown consistently low water quality indicators throughout all months over the past eight years (Figure 7).
Comparable levels of pollution have been observed in other industrial regions worldwide. For instance, a study conducted near Mosul (northern Iraq) reported average heavy metal concentrations in the Tigris River of 8.78 ppm (Co), 30.42 ppm (Cu), 0.179 ppm (Cd), 12.04 ppm (Pb), 75.53 ppm (Zn), and 144.75 ppm (Ni)—all of which significantly exceed international water quality standards, indicating a high level of anthropogenic contamination [27]. Similar exceedances for cadmium, copper, and zinc were recorded in the Tikhaya River, particularly in its lower reaches, where the influence of industrial effluents is most pronounced.
The surface waters of the Ulba River in 2024 were characterized by quality class 3. In the Ulba River there is a stable content of cadmium compounds in the water. Five indicators contributed to the river’s pollution as identified in the integrated water quality assessment. These included compounds of iron, zinc, copper, manganese, and cadmium, which were identified as characteristic pollutants. The maximum concentrations of iron, zinc, copper, and manganese compounds reached the level of 1.5 MPC (in 2017), 15.1 MPC (in 2018), 3.5 MPC (in 2017), and 6.4 MPC (in 2018), respectively. The dissolved oxygen content in the surface waters of the Ulba River over the past eight years has not dropped below 6.12 mg/dm3 (in 2021) (Table S6).
Monthly analysis of surface water quality showed a slight improvement in the Ulba River during July, August, and September over the past eight years. In other months, particularly in spring and early summer (April, May, and June), surface water quality remained at low levels (Figure 8).
Likewise, a study of the Narmada River in India [28] reported elevated concentrations of heavy metals (Al, Cr, Mn, Fe, Ni, Cu, Zn, Cd, Pb) in zones subject to intensive industrial activity. Our data on the Ulba River—which shows exceedances of maximum permissible concentrations (MPCs) for Zn, Cd, and Cu—confirm the global nature of water pollution resulting from mining activities.
An analysis of changes in the content of the main pollutants in the water of the Glubochanka River showed that in 2024, the highest average annual concentrations were observed for magnesium compounds. In 2024, the water quality of the Glubochanka River remained unchanged compared to the previous five years, and the river’s water still belongs to the third quality class (Table S6). Over the past eight years, a consistently high level of surface water pollution has been observed in the Glubochanka River throughout all months (Figure 9).
An analysis of long-term surface water quality observations by month shows that in April, surface water quality indicators are critically low (>class 5—not standardized) compared to other months of the year.
In 2024, the water quality of the Krasnoyarka River declined due to an increase in cadmium content to 0.0035 mg/dm3. As a result, the water moved from the “third quality class” to the “fourth quality class” category (Table S6). A comparative analysis of the surface water quality class of the Krasnoyarka River by month for the period 2017–2024 showed that throughout the entire study period, surface water quality remained poor in all months, with a noticeable deterioration observed in 2024.
An analysis of the monthly surface water quality of the Krasnoyarka River in recent years showed that, as with the Glubochanka River, significantly higher levels of surface water pollution are observed in April (Figure 10).
In 2024, the water quality of the Oba River improved to the second quality class compared to previous years (2019–2020). A critical level of water pollution by iron, zinc, manganese, and copper compounds was observed from 2017 to 2018, with maximum concentrations reaching 2.2, 1.9, 2.2, and 3.6 MPC, respectively (Table S6). In 2019–2020, water pollution remained noticeable but low, largely due to the high content of suspended solids in the Oba River. In 2024, a decrease in the concentrations of iron and manganese was recorded. The dissolved oxygen regime in the Oba River was satisfactory throughout the observation period, with the minimum concentration not falling below 7.11 mg/dm3 (in 2021).
Unlike the Glubochanka and Krasnoyarka rivers, the Oba River appears to be more vulnerable to external influences, especially in recent years.
At the same time, in recent years, a relative improvement in surface water quality (up to classes 1–2) was noted in February, July, September, October, and December. However, in April, May, and November, a high level of surface water pollution was recorded (Figure 11).
It should also be noted that this study does not seek to establish direct causal relationships between changes in pH and specific pollution sources. However, based on the observed spatial and temporal dynamics, and considering both natural and anthropogenic conditions in East Kazakhstan, plausible assumptions have been made regarding potential influencing factors. These include seasonal snowmelt, flood and rain runoff, dry periods, and possible industrial or municipal discharges. Such interpretations aim to improve understanding of the mechanisms behind water quality changes and require further targeted research involving instrumental monitoring and a broader set of indicators.
The comprehensive assessment of surface water quality dynamics for six water bodies indicates seasonal and multi-year fluctuations in the chemical composition of surface waters, associated not only with the influence of anthropogenic factors (industrial, domestic, and agricultural runoff), but also with seasonal phases of the hydrological regime and interannual variability in water availability (Figure 12).
Additionally, although the study relies on official hydrochemical data provided by RSE Kazhydromet, information on river discharge (flow rate) is not consistently available. This limits the ability to perform quantitative analysis of pollutant dilution or concentration over time. Hydrological factors such as spring floods, summer rainfall, or droughts can significantly affect pollutant concentrations. However, without regular flow data, such effects can only be qualitatively estimated. To improve the accuracy of environmental assessments of water bodies in East Kazakhstan, it is necessary to integrate hydrochemical and hydrological monitoring, including systematic flow measurements.
A comparative assessment of the surface water quality class of small rivers in the East Kazakhstan Region (Figure 13), based on the average composite relative indicator of surface water contamination (i.e., the average quality class for the period 2017–2024), showed that the Tikhaya River (average quality class: 4.0) exhibits the highest level of pollution. A significant simultaneous presence of various pollutants and correspondingly low surface water quality is also characteristic of the Glubochanka (3.5), Krasnoyarka (3.25), Ulba (3.0), and Breksa (3.0) rivers.
Over the past four years (2021–2024), the surface water quality of the Oba River has improved, now corresponding to Class 2 (moderate pollution level). However, considering the entire study period, the average water quality class remains at Level 3. This is primarily due to lower quality indicators observed in earlier years. Nonetheless, the data reveal a positive trend in water quality, indicating a gradual reduction in pollution levels in recent years.
Between 2017 and 2024, the surface waters of the small Ulba, Glubochanka, and Krasnoyarka rivers consistently exhibited quality corresponding to pollution classes 3–4. This indicates the ongoing influence of anthropogenic factors and the limited effectiveness of natural self-purification processes.
At the same time, over the past two years (2023–2024), a relative improvement in water quality has been observed in the Breksa and Tikhaya rivers, likely due to both natural variability and changes in the character of anthropogenic pressure within their respective catchments.
The Oba River warrants special attention: over the past four years (2021–2024), it has consistently maintained high water quality, classified within pollution class 2. This suggests that active self-purification processes are preserved, even under moderate anthropogenic impact.
It has been established that activities related to the development of natural resources exert both direct and indirect effects on the quality of surface waters. Direct impacts occur through the discharge of industrial, municipal, and other types of wastewaters. Indirect impacts arise from the runoff of polluted surface effluents from agricultural, urbanized, and other areas, which alter surface runoff formation conditions.
Significant anthropogenic pressure reduces the influence of natural factors in shaping the hydrochemical regime of rivers. Therefore, a transition is needed toward a more integrated assessment of water bodies and their catchments, based on comprehensive hydrological, hydrochemical, and hydrobiological studies. Priority tasks include improving water monitoring systems, regularly updating water quality databases, and developing measures to reduce anthropogenic stress to ensure sustainable water resource management.
The analysis revealed that zinc (Zn), cadmium (Cd), and copper (Cu) compounds, which repeatedly exceeded MPCs, are the primary contributors to contamination of surface waters in small rivers of the East Kazakhstan Region. These elements serve as key indicators of anthropogenic pressure associated with the region’s mining and metallurgical sector. Additionally, pH values in some rivers showed notable seasonal fluctuations, including episodes of decline to as low as 6.60, potentially reflecting the effects of acid runoff. As such, these parameters were selected as the main reference indicators for interpreting the ecological status of water bodies.
A comparison of these findings with similar studies conducted in other regions of Kazakhstan [5,9,10,12,13,14,15,16,17,18] suggests that anthropogenic pollution of water bodies—particularly related to mining, metallurgical activities, and industrial impacts—is a widespread issue affecting major river basins across the country. Research in the Irtysh, Ural, and Ili River basins shows similar trends in heavy metal concentrations and biochemical indicators, underscoring the importance of comprehensive monitoring, especially of smaller rivers in the East Kazakhstan region. This study contributes to existing knowledge by incorporating long-term hydrochemical monitoring, climate data, and geographic information, providing a more complete assessment of the state of regional water bodies.
International studies confirm the widespread spatial and temporal variability of pollution in industrial river basins. For example, in the Han River basin (South Korea), a direct link has been established between industrial activity and elevated concentrations of heavy metals (Cr, As, Hg), as well as organic pollutants (carbofuran, bisphenol A, quinoline) [29]. Peak values were recorded near industrial zones, similar to sections of rivers in the East Kazakhstan Region, especially those adjacent to mining and metallurgical facilities. However, unlike the Han River, where organic contaminants are prominent, heavy metals constitute the primary concern in East Kazakhstan’s rivers, while organic pollution is detected only sporadically. This underscores both common anthropogenic drivers and regional differences in pollutant profiles.
Other urbanized river basins also demonstrate a multicomponent structure of anthropogenic impact. For instance, a study of the Fenghe River (China) identified tourism (42.0%), urban development (36.8%), transportation (11.7%), and industry (9.4%) as the main contributors to heavy metal pollution [30]. These findings highlight the importance of assessing diverse pollution sources. In the case of East Kazakhstan, mining and metallurgical activities remain the dominant contributors, although inputs from domestic, transport, and municipal sources are also evident. Unlike the Fenghe basin, where diffuse and infrastructure-related runoff predominates, pollution in East Kazakhstan is more clearly linked to point-source discharges from industrial facilities—necessitating different strategies for environmental control.
In addition to the multifactorial nature of pollution, international studies emphasize the spatial gradients of contamination around mining areas. For example, in the vicinity of the Daxing polymetallic sulfide deposit (Guangxi, China), heavy metal concentrations sharply decreased with distance from the source: Zn dropped from 1857.0 to 0.9 mg/L and Cd from 0.16 to 0.001 mg/L within just 4 km downstream [31]. These results confirm the importance of spatial analysis in evaluating the environmental impact of mining activities. Although our study lacks linear spatial observations, similar patterns are evident in temporal dynamics. For example, the Breksa River showed a significant widening of the pH range during 2021–2024, likely reflecting episodic pollutant inputs influenced by seasonal hydrology and runoff from industrial areas.
Comparable trends are observed in other regions with active sulfide ore mining. In the Sierra Minera de Cartagena-La Unión area (Spain), where lead-zinc and iron ores are exploited, elevated concentrations of heavy metals—including Pb, Cd, Zn, Cu, As, and Mn—have been reported [32]. These findings, along with data from China, demonstrate that sulfide ore mining consistently results in severe anthropogenic pollution of aquatic ecosystems. Our observations in the Breksa, Ulba, and Tikhaya rivers, which showed exceedances of maximum permissible concentrations for Cd, Zn, and Cu, confirm similar patterns in East Kazakhstan and underscore the necessity of continuous monitoring near mining and metallurgical facilities.
The technological specifics of ore processing also significantly influence wastewater composition. At the Sarcheshmeh copper-molybdenum complex (Iran), for example, it was found that Cu–Mo flotation in an alkaline medium led to elevated molybdenum levels and an increase in wastewater pH, while reducing concentrations of aluminum, manganese, iron, copper, and cadmium [33]. The oxidation of sulfides also results in the formation of secondary minerals and sulfate salts, which alter water chemistry. Such mechanisms may help explain the abnormal pH values observed in our study during 2023–2024—particularly in the Ulba and Oba rivers—where fluctuations in alkalinity coincided with signs of anthropogenic contamination. Although molybdenum was not measured in our analysis, the chemical processes described remain highly relevant in regions with active ore flotation within MMC operations.
Thus, our findings from East Kazakhstan align with international studies, confirming that regions with intensive mining and metallurgical activity are characterized by high levels of anthropogenic pollution and complex geochemical conditions. Data from the Sierra Minera (Spain) further demonstrate that prolonged sulfide ore mining is accompanied by acid mine drainage, accumulation of heavy metals (Zn, Cd, Pb, Cu, As, Fe), and a dominance of sulfate compounds in bottom sediments [34]. Similar processes have been identified in East Kazakhstan, especially near tailings storage facilities and landfills, where changes in acidity and the persistent accumulation of toxic elements are observed. These results highlight the need for integrated monitoring approaches that account for both anthropogenic and geogenic sources of pollution. This study contributes to global knowledge by providing a spatial and temporal assessment of pollution patterns and underscores the importance of region-specific strategies for evaluating water quality in mining-affected environments.

3.4. Correlation and Regression Analysis

To identify the influence of climatic factors on the surface water quality of small rivers in the East Kazakhstan Region, a correlation analysis was conducted between average annual precipitation and the water quality class of six rivers for the period from 2017 to 2024.
The Pearson correlation coefficient (r) was used to quantify the relationship, making it possible to assess both the strength and direction of the linear dependence between the two quantitative variables. The results of the analysis revealed varying strengths and directions of the correlation between precipitation and water quality across the studied rivers.
The analysis showed a very weak negative correlation (−0.18) between the amount of precipitation and the water quality class in the Breksa River (Table S7). This indicates that an increase or decrease in precipitation has virtually no systemic effect on water quality. It is likely that the water quality in the Breksa River is determined mainly by local factors, such as the nature of runoff, the presence of pollutants in the catchment area, or the hydrological features of the watercourse.
The three-dimensional model (Figure 14) shows that for the Breksa River, an increase in precipitation contributes to an improvement in water quality. There is a positive trend over time, which may indicate a decrease in the anthropogenic load or the successful implementation of environmental protection measures.
Based on the graphical relationship, a model was developed to describe the combined effect of precipitation and time on the water quality class in the Breksa River for the period 2017–2024. The model is expressed by the following Equation (7):
z = 492.6514 − 0.2417x − 0.0025y
where z is the predicted water quality class, x is the year of observation, and y is the annual precipitation (in mm).
Negative coefficients for both variables indicate that increases in precipitation and the passage of time both contribute to a decrease in the z-value, i.e., an improvement in water quality. This may be due to higher water levels facilitating pollutant dilution, as well as the implementation of water protection measures. The model enables a quantitative assessment of the impact of climatic conditions on water quality and can be used to forecast the ecological state of the Breksa River in the future. The coefficient of determination was R2 = 0.903, indicating a high degree of model fit and confirming the reliability of the established relationships.
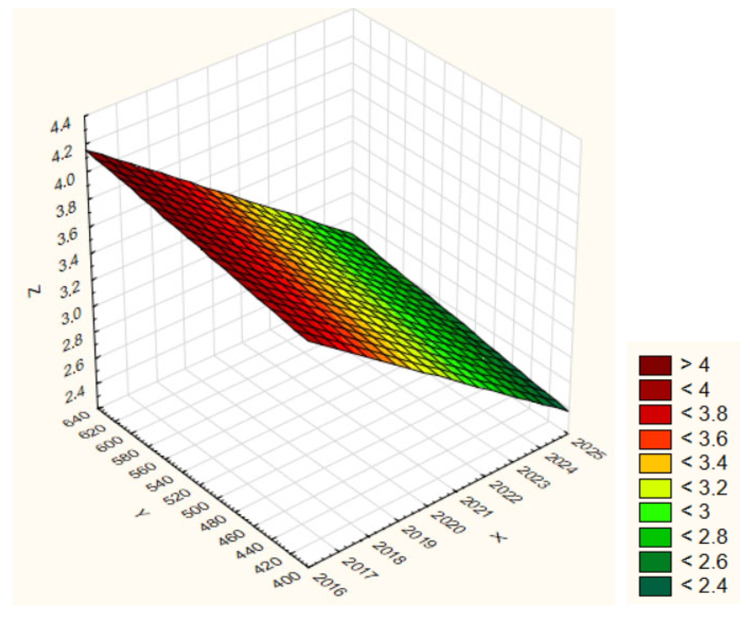
A weak negative correlation (r = −0.49) between precipitation and water quality was identified for the Tikhaya River (Table S7). This suggests that increasing precipitation is associated with a slight improvement in water quality (i.e., a decrease in the water quality class). This relationship may result from the dilution effect: increased runoff lowers the concentration of pollutants. However, due to the weak strength of the correlation, this process is unstable and may be offset by other pollution sources.
An analysis of the three-dimensional relationship between water quality class, precipitation, and time (2017–2024) for the Tikhaya River (Figure 15) revealed that greater total precipitation is associated with consistent improvement in water quality. Under low-precipitation conditions (400–460 mm), higher water quality classes are recorded, indicating poorer conditions—up to polluted and heavily polluted. When precipitation exceeds 600 mm, the water quality class decreases, corresponding to satisfactory or good water conditions. At the same time, a gradual deterioration in water quality over time has been observed under constant precipitation levels, suggesting the influence of anthropogenic factors. Therefore, the amount of precipitation can be considered a significant natural regulator of the surface water quality class of the Tikhaya River.
Based on the graphical relationship, a model was developed to describe the combined effect of precipitation and time on the water quality class in the Tikhaya River. The model is expressed by the following Equation (8):
z = −7.0962 + 0.0073x − 0.0071y
According to the equation, an increase in precipitation (y) leads to an improvement in water quality (i.e., a decrease in the quality class), which is reflected by a negative coefficient. At the same time, over the course of time (x), the z-value tends to increase, indicating a deterioration in water quality. This may be attributed to growing anthropogenic pressure and overall environmental stress on the river system. The developed model allows for a quantitative assessment of the impact of climatic conditions on surface water quality and can be used to forecast the ecological state of the river under various precipitation scenarios. The coefficient of determination R2 = 0.555, indicating an average degree of model fit.
A weak positive correlation (r = +0.22) was identified for the Ulba River (Table S7), indicating no strong linear relationship between precipitation and water quality. The slight upward trend may be due to increased pollutant input from surface runoff during periods of heavy rainfall; however, the relationship is not sufficiently strong to draw firm conclusions. Anthropogenic impacts in the river basin likely play a dominant role.
An analysis of the three-dimensional relationship between water quality class, precipitation, and time (2017–2024) for the Ulba River (Figure 16) showed a consistent trend toward improved water quality with increasing precipitation. Under conditions of low precipitation (400–460 mm), higher z-values were recorded, corresponding to lower water quality—ranging from polluted to heavily polluted classes. As precipitation levels exceed 600 mm, the quality class decreases, indicating satisfactory to good water quality. Simultaneously, a clear temporal trend of water quality deterioration was observed: even with consistent precipitation levels, the pollution class tends to rise in later years. This suggests the influence of anthropogenic factors such as urbanization, wastewater discharge, and changes in the hydrological regime. Thus, while precipitation remains an important natural regulator of water quality in the Ulba River, the progressive increase in pollution over time highlights the need for additional environmental control measures.
Based on the graphical relationship, a model was developed to describe the combined effect of precipitation and time on the water quality class in the Ulba River. The model is expressed by the following Equation (9):
z = 224.1334 − 0.1096x + 0.0008y
The obtained equation coefficients reflect the multidirectional influence of the studied factors. A negative value for the time variable (−0.1096) indicates a tendency toward improving water quality over time, which may result from effective environmental protection measures or changes in the hydrological regime. Conversely, the positive coefficient for precipitation (+0.0008) suggests a slight deterioration in water quality with increased water availability, possibly due to the flushing of pollutants from the catchment surface. Nevertheless, the dominant influence of the time variable indicates a generally positive long-term trend in the condition of the water body. The coefficient of determination was R2 = 0.10, indicating a low degree of explanation for variations in water quality class. Nevertheless, the model may still be useful for preliminary assessments of the influence of temporal and climatic factors on the river’s ecological status.
The Glubochanka River exhibits a very weak positive correlation (r = +0.17), suggesting no clear relationship between precipitation and changes in water quality (Table S7, Figure 17). A slight deterioration in quality during periods of increased precipitation may be attributed to polluted surface runoff, but the relationship is statistically insignificant. It is more likely that water quality is driven by local pollution sources or seasonal variations in water exchange.
Based on the graphical relationship, a model was developed to describe the combined effect of precipitation and time on the water quality class in the Glubochanka River. The model is expressed by the following Equation (10):
z = 335.8366 − 0.1649x + 0.0012y
The model also demonstrates a clear temporal trend: the negative coefficient for the variable x (–0.1649) indicates a consistent decrease in z values, corresponding to improving water quality over the study period. The positive dependence on precipitation (+0.0012) indicates a slight degradation in water quality with increased rainfall, potentially due to surface runoff carrying pollutants from the catchment. Overall, the model reveals a positive long-term trend in water quality and highlights the importance of considering both climatic and anthropogenic factors in water quality management. The coefficient of determination was R2 = 0.602, suggesting a reasonably good explanation of variations in water quality based on the included variables. This model reflects a positive long-term trend and highlights the importance of considering both climatic and anthropogenic influences in water quality management.
A weak positive correlation (r = +0.37) was found in the Krasnoyarka River between precipitation and water quality deterioration (Table S7, Figure 18). This may indicate that during periods of heavy rainfall, increased runoff from agricultural or industrial areas leads to a rise in pollutant concentrations in the river. Although the correlation is weak, the result is noteworthy and should be considered when designing water protection strategies for the river basin.
Based on the graphical relationship, a model was developed to describe the combined effect of precipitation and time on the water quality class in the Krasnoyarka River. The model is expressed by the following Equation (11):
z = 91.6284 − 0.044x + 0.0011y
The analysis of the model showed that the coefficient for the variable x is negative, which indicates a tendency to decrease the value of the water quality class, that is, to improve the condition of surface waters over time. A positive value of the coefficient at y may indicate the potential negative impact of increased precipitation due to the removal of pollutants from the catchment area. However, the model is characterized by low explanatory power: the coefficient of determination R2 is 0.018, which indicates the statistical insignificance of regression at the selected significance level. Thus, the results obtained should be interpreted with caution as a preliminary trend that requires confirmation on an expanded data set or using more complex models.
A weak negative correlation (r = −0.19) between precipitation and water quality was observed for the Oba River (Table S7, Figure 19), suggesting no clear linear relationship. Although increased precipitation may partially improve water quality through dilution, the trend is weak and possibly incidental. Water quality is likely more influenced by local catchment conditions and anthropogenic factors.
Based on the graphical relationship, a model was developed to describe the combined effect of precipitation and time on the water quality class in the Oba River. The model is expressed by the following Equation (12):
z = 454.7756 − 0.2234x − 0.0008y
The negative value of the coefficient for variable x (−0.2234) indicates a tendency to decrease the quality class of surface waters over time, which may be due to a gradual improvement in the state of the river ecosystem or the results of environmental protection measures. The negative value of the coefficient at y (−0.0008) indicates that an increase in precipitation has a weak positive effect on water quality, possibly due to dilution of pollutants and improvement of the hydrological regime of the river.
However, the statistical evaluation of the model showed a coefficient of determination of R2 = 0.133. Moreover, both coefficients for variables x and y were statistically insignificant (p > 0.5), indicating a high likelihood that the observed relationships are due to random variation. Therefore, despite the suggested influence of temporal and climatic factors, the model demonstrates limited predictive capacity. This underscores the necessity of incorporating additional explanatory variables, such as pollution levels, hydrological indicators, and anthropogenic pressures. Nevertheless, the current findings may serve as a preliminary foundation for hypothesis development and the construction of more robust predictive models in future research.
An analysis of data from 2001 to 2024 (Figure 4) showed that average annual precipitation in the study region ranged from 421 mm to 625 mm, with no clear trend toward either increase or decrease. The highest values were recorded in 2015, 2016, 2023, and 2024, which may reflect early signs of increased climatic variability.
A comparison of precipitation levels with changes in surface water quality classes revealed different types of relationships across the rivers studied. Most rivers (Breksa, Tikhaya, and Oba) showed weak or no correlation between precipitation and water quality, suggesting that annual water availability has a limited effect on water quality, particularly in the presence of localized pollution sources. A weak positive correlation was observed in the Krasnoyarka River, and partially in the Ulba and Glubochanka rivers, indicating potential water quality deterioration with increased precipitation—likely due to enhanced surface runoff from polluted areas.
When comparing precipitation patterns with the dynamics of surface water quality classes, various types of interrelationships were observed across individual rivers. For most rivers, such as the Breksa, Tikhaya, and Oba, there is a weak or no linear correlation between annual precipitation and water quality, as confirmed by correlation analysis. This suggests that hydrochemical parameters are only marginally influenced by annual water availability, particularly in settings where local pollution sources dominate. In contrast, a weak positive correlation was identified for the Krasnoyarka, Ulba, and, to a lesser extent, the Glubochanka rivers, likely due to increased surface runoff from contaminated areas during periods of high precipitation.
It is important to note that despite the weak linear relationships identified through Pearson correlation, three-dimensional visualizations (Figure 14, Figure 15, Figure 16, Figure 17, Figure 18 and Figure 19) reveal more nuanced, nonlinear spatial and temporal trends—especially in regions experiencing extreme precipitation or abrupt changes in water quality. These visual patterns do not contradict the statistical findings; rather, they enrich interpretation by highlighting the complex, multifactorial nature of climatic influences on small river systems. Thus, the integration of both quantitative and visual analytical methods offers a more comprehensive understanding of environmental processes.
Given current trends, and assuming precipitation levels remain stable, the following scenarios can be proposed:
  • By 2030, no significant changes in regional water availability are expected. If economic activity remains at current levels, water quality in most rivers will likely remain stable, with short-term deterioration possible during periods of intense rainfall.
  • By 2050, under projected intensification of climate change (e.g., more frequent extreme weather events), both increased precipitation variability and stronger impacts from surface runoff are anticipated. Under these conditions, water quality may decline, especially in rivers that already exhibit a positive correlation between precipitation and water quality deterioration (Krasnoyarka, Ulba).
Thus, in the long term, changes in precipitation may become a significant risk factor for the ecological status of small rivers in the region. However, the extent of this impact will largely depend on the level of anthropogenic pressure, the efficiency of wastewater treatment systems, and the effectiveness of catchment protection measures.

4. Conclusions

The East Kazakhstan region is shaped by a combination of unique natural and anthropogenic factors that significantly impact water quality. A major contributor to pollution is the concentration of mining and metallurgical industries, including the processing of gold and polymetallic ores, which leads to localized and regional contamination of water bodies with heavy metals and other pollutants. Additionally, many small river basins are located in areas with natural geochemical anomalies due to the inherent composition of soils and rocks. The region’s sharply continental climate—with extreme seasonal variations in temperature and precipitation—also affects water quality by influencing the rate of natural purification processes and pollutant concentrations. Thus, the interplay between anthropogenic pressure and natural geochemical conditions creates a distinct set of factors that must be considered in monitoring and management strategies of water quality.
An analysis of long-term data on the state of surface waters in the East Kazakhstan region has shown that the quality of water bodies is influenced by a combination of natural and anthropogenic factors. The chemical composition of water is largely shaped by climatic, geomorphological, soil-geological conditions, and vegetation within the watersheds.
It has been established that anthropogenic impacts associated with economic activity significantly alter the structure of natural aquatic systems. As a result, a high level of pollution is observed in small rivers, particularly in areas with developed industry and agriculture. Despite some positive trends, the water in most small rivers in the region remains classified as “polluted” or “heavily polluted” (corresponding to the 3rd and 4th water quality classes).
At the same time, in recent years, several water bodies have shown signs of stabilization and gradual improvement in water quality. These changes reflect the persistence of natural self-purification mechanisms and underscore the importance of strengthening efforts to ensure the rational use and protection of water resources.
Statistical analysis revealed no strong linear correlation between average annual precipitation and the quality of surface waters in small rivers. Correlation coefficients for individual rivers ranged from −0.49 to +0.37. In some cases, a weak negative relationship was identified, suggesting a slight improvement in water quality with increased precipitation, likely due to dilution effects. In other rivers, a weak positive correlation was observed, potentially indicating increased surface runoff of pollutants during periods of heavy rainfall.
The results obtained emphasize the importance of comprehensive monitoring of the state of water bodies and systematic work to reduce anthropogenic pressure to ensure sustainable environmental development of the region. For this purpose, it is recommended to introduce stricter standards for the permissible volumes and composition of wastewater, strengthen control over the activities of industrial and agricultural enterprises, expand the network of automatic hydrochemical monitoring posts, as well as implement programs to restore and protect coastal ecosystems.
If the current climatic conditions are maintained, no significant changes in water content and water quality are predicted until 2030. However, by 2050, taking into account the possible increase in the amplitude of precipitation and the frequency of extreme weather events, the risk of deterioration of vulnerable water bodies increases, which requires timely adaptation and strategic planning of environmental protection measures.
The results of this study are of practical value for water resource quality management in the East Kazakhstan region:
  • The allocation of priority environmental and chemical indicators makes it possible to optimize the monitoring system by focusing resources on the most significant and informative parameters. This contributes to the timely detection and prevention of contamination.
  • The integration of long-term hydrochemical monitoring data with climatic and geoinformation analyses makes it possible to more fully take into account the influence of natural and anthropogenic factors, which significantly increases the accuracy of assessing the state of water bodies and forecasts of their changes.
  • Based on the data obtained, adaptive management strategies can be developed aimed at reducing the negative impact of industry and other sources of pollution, as well as taking into account seasonal and climatic fluctuations affecting water quality.
Thus, the research contributes to the transition to scientifically based, integrated, and adaptive management of the region’s water resources, which is a key condition for preserving and improving the state of aquatic ecosystems, ensuring sustainable water use, and protecting public health.
The prospects for further research of water bodies in the East Kazakhstan region include improving monitoring of reservoirs using new technologies; conducting more frequent and detailed inspections to monitor pollutants coming from various sources; studying water self-purification processes; studying the impact of global climate change on the hydrological regime of reservoirs and on water quality; developing methods to reduce anthropogenic pressure and searching for methods of rational use of water resources. These measures will help improve the quality of water bodies and ensure sustainable water resources management in the future.
The results of the analysis make it possible to identify key areas that require further study. In the future, it is planned to expand the geographical scope of the study to include other small rivers of the East Kazakhstan region with similar natural and anthropogenic conditions in the analysis. The possibility of using an expanded set of methods, including geochemical and isotope analysis, for more accurate identification of pollution sources is being considered. In addition, in the subsequent stages of research, it is planned to assess the impact of pollutants on aquatic biota, which will allow for a comprehensive environmental assessment of the condition of water bodies. Special attention will be paid to the development of predictive models using GIS technologies and machine learning methods, which will ensure scientifically sound and operational management of the quality of the region’s water resources in a changing climate and increasing anthropogenic pressure.
In addition, a promising area of further research is the study of new-generation pollutants such as microplastics, pharmaceutical compounds, surfactants, and heavy metals in ultra-low concentrations. These compounds are generally not covered by standard monitoring methods, but they can have cumulative and long-term effects on aquatic ecosystems and public health. Another important aspect is the study of changes in the behavior of traditional and new pollutants in a changing climate, including an increase in average annual temperature, an increase in extreme weather events, and a change in precipitation patterns. Given these trends, it is necessary to review existing approaches to water quality monitoring and management, with a focus on adaptive risk assessment and prevention strategies.

Supplementary Materials

The following supporting information can be downloaded at: https://www.mdpi.com/article/10.3390/su17146525/s1, Table S1. MPK of harmful substances for fishery water bodies [23]. Table S2. General classification of objects by degree of pollution [24]. Table S3. Water quality classes according to the value of the complex water pollution index. Table S4. Unified system of water quality classification in water bodies [23]. Table S5. pH values of surface waters of water bodies in the territory of EKR. Table S6. State of surface water quality of small rivers of EKR by A-chemical indicators. Table S7. Correlation between surface water quality and precipitation in small rivers of East Kazakhstan Region (2017–2024).

Author Contributions

Conceptualization, N.S., G.D. and O.P.; methodology, N.S.; software, N.S. and O.P.; validation, G.D. and N.S.; formal analysis, G.D., N.S. and O.P.; investigation, G.D., N.S. and O.P.; data curation, N.S. and A.P.; writing—original draft preparation G.D., N.S., O.P. and R.G.-M.; writing—review and editing, G.D., N.S., O.P. and R.G.-M.; visualization, N.S., A.P. and O.P. All authors have read and agreed to the published version of the manuscript.

Funding

The article presents the results of scientific research obtained during the implementation of a scientific and technical program of Committee of Science of the Ministry of Science and Higher Education of the Republic of Kazakhstan BR24992854 on the topic: “Development and implementation of competitive science-based technologies to ensure sustainable development of mining and metallurgy industry East Kazakhstan region” within the framework of program-targeted financing.

Institutional Review Board Statement

Not applicable.

Informed Consent Statement

Not applicable.

Data Availability Statement

Data are contained within this article.

Conflicts of Interest

The authors declare no conflicts of interest.

References

  1. Rakhymberdina, M.; Daumova, G.; Apshikur, B.; Shults, R.; Toguzova, M.; Assylkhanova, Z.; Kolpakova, V.; Kapasov, A. Integrated Chemical-Geoecological Monitoring and Engineering Approaches for Pollution Reduction in the Yertis River. Eng. Sci. 2024, 32, 1328. [Google Scholar] [CrossRef]
  2. Water Resources. Akimat of East Kazakhstan Oblast. Available online: https://www.gov.kz/memleket/entities/akimvko/press/article/details/12186?ysclid=m74ekew2lu663452030 (accessed on 20 March 2025).
  3. Atakhanova, Z.; Meirambayeva, M.; Baigaliyeva, M. Mine Water Use in Kazakhstan: Data Issues, Risks, and Regulations. Sustainability 2024, 16, 2456. [Google Scholar] [CrossRef]
  4. Apshikur, B.; Rakhymberdina, M.; Levin, E.; Toguzova, M.; Daumova, G.; Assylkhanova, Z.; Kapasov, A.; Kolpakova, V. Integrated Research of the Transboundary Yertis River Using Modern Monitoring Methods and Bathymetric Survey. ES Energy Environ. 2025, 27, 1362. [Google Scholar] [CrossRef]
  5. Muter, O.; Gudrā, D.; Daumova, G.; Idrisheva, Z.; Rakhymberdina, M.; Tabors, G.; Dirnēna, B.; Dobkeviča, L.; Petrova, O.; Apshikur, B.; et al. Impact of Anthropogenic Activities on Microbial Community Structure in Riverbed Sediments of East Kazakhstan. Microorganisms 2024, 12, 246. [Google Scholar] [CrossRef] [PubMed]
  6. Alimbaev, T.; Mazhitova, Z.; Beksultanova, G.; TentigulKyzy, N. Activities of mining and metallurgical industry enterprises of the Republic of Kazakhstan: Environmental problems and possible solutions. E3S Web Conf. 2020, 175, 14019. [Google Scholar] [CrossRef]
  7. Alimbaev, T.; Omarova, B.; Abzhapparova, B.; Ilyassova, K.; Yermagambetova, K.; Mazhitova, Z. Environment of East Kazakhstan: State and main directions of optimization. E3S Web Conf. 2020, 175, 14008. [Google Scholar] [CrossRef]
  8. Shi, J.; Jin, Z.; Zhou, Z.; Wang, X. Evaluation of Heavy Metal Pollution in the Soil Around A Typical Tailing Reservoir in Irtysh River Basin. Ecol. Environ. 2022, 31, 1015–1023. [Google Scholar] [CrossRef]
  9. Zhalmagambetova, U.; Assanov, D.; Neftissov, A.; Biloshchytskyi, A.; Radelyuk, I. Implications of Water Quality Index and Multivariate Statistics for Improved Environmental Regulation in the Irtysh River Basin (Kazakhstan). Water 2024, 16, 2203. [Google Scholar] [CrossRef]
  10. Krupa, E.; Romanova, S.; Serikova, A.; Shakhvorostova, L. A Comprehensive Assessment of the Ecological State of the Transboundary Irtysh River (Kazakhstan, Central Asia). Water 2024, 16, 973. [Google Scholar] [CrossRef]
  11. Available online: https://stat.gov.kz/ru/region/vko/dynamic-tables/1506/ (accessed on 19 April 2025).
  12. Ryskeldieva, A.; Burlibaeva, D.; Yerdesbay, A.; Kamelkhan, G.; Sarova, N. Clarke concentrations of heavy metals in surface waters of the transboundary river Yertis (Kazakhstan). Water Sci. 2023, 37, 18–27. [Google Scholar] [CrossRef]
  13. Severinenko, M.; Solodukhin, V.; Lennik, S.; Kabirova, G.; Zheltov, D.; Bychenko, A. Water Elemental Composition and Toxicity in Kazakhstan’s Transboundary Rivers. Cent. Asian J. Water Res. 2023, 9, 19–32. [Google Scholar] [CrossRef]
  14. Abramov, A.S.; Breusov, N.G.; Shenberger, I.V.; Stepanenko, A.S.; Rubanyuk, N.N.; Kurmangalieva, S.G. Peculiarities of Irtysh River pollution in East Kazakhstan and Pavlodar region. Hydrometeorol. Ecol. 2009, 2, 162–168. (In Russian) [Google Scholar]
  15. Burlibaeva, D.M.; Burlibaev, M.Z.; Ryskeldieva, A.M.; Kaidarova, R.K.; Opp, C.; Amirgaliev, N.A. Dynamics of concentrations changes of heavy metal group pollutants in surface water of the transboundary Ertis River on the territory of the Republic of Kazakhstan. J. Geogr. Environ. Manag. 2020, 57, 54–68. [Google Scholar] [CrossRef]
  16. Kushnikova, L.B. Hydroecology of Natural Waters in the Upper Yertis Basin in the Area of Industrial Enterprises’ Activity; Institute of Geography and Water Security of Science Committee of the Ministry of Education and Science of the Republic of Kazakhstan: Almaty, Kazakhstan, 2010. (In Russian) [Google Scholar]
  17. Panin, M.S. Heavy Metals in Technological and Sewage Waters of Industrial Enterprises of Semipalatinsk City; Semey State University: Semipalatinsk, Kazakhstan, 1997. (In Russian) [Google Scholar]
  18. Tatykhanova, G.S.; Kabdrakhmanova, S.K.; Kudaibergenov, S.E. PCB-contaminated area of Ust-Kamenogorsk city (East Kazakhstan): Analysis of water, soil, bottom sediments and biota. In Sustainable Management of Toxic Pollutants in Central Asia: Towards a Regional Ecosystem Model for Environmental Security; Institut Geografii: Almaty, Kazakhstan, 2014; pp. 95–101. (In Russian) [Google Scholar]
  19. Riza, M.; Hoque, S. Phytoremediation of Copper and Zinc contaminated soil around textile industries using Bryophyllum pinnatum plant. J. Ecol. Eng. 2021, 22, 88–97. [Google Scholar] [CrossRef]
  20. Burlibayeva, D.M.; Burlibayev, M.Z.; Opp, C.; Bao, A.M. Regime dynamics of hydro chemical and toxicological parameters of the Irtysh River in Kazakhstan. J. Arid Land 2016, 8, 521–532. [Google Scholar] [CrossRef]
  21. Ecological Code of the Republic of Kazakhstan. The Code of the Republic of Kazakhstan Dated January 2, 2021 № 400-VI. Available online: https://adilet.zan.kz/eng/docs/K2100000400 (accessed on 14 May 2025).
  22. National Hydrometeorological Service of Kazakhstan “Kazhydromet”. Available online: https://www.kazhydromet.kz/en/ (accessed on 19 April 2025).
  23. On Approval of the Unified System for Classification of Water Quality in Water Bodies; Order of the Chairman of the Water Resources Committee of the Ministry of Agriculture of the Republic of Kazakhstan Dated November 9, 2016, No. 151; Registered with the Ministry of Justice of the Republic of Kazakhstan on December 13, 2016; No. 14513; Water Resources Committee of the Ministry of Agriculture of the Republic of Kazakhstan: Astana, Kazakhstan, 2016. (In Russian)
  24. Burlibayev, M.J.; Baimanov, J.N.; Tazhmagambetov, E.A. Complex Assessment of Surface Water Quality by Hydro Chemical Indicators; Publishing House “Gylym”: Almaty, Kazakhstan, 2007; 96p. (In Russian) [Google Scholar]
  25. Lohunova, A. Mapping of Tailings Management Facilities in Central Asia: Focus on Kazakhstan, Kyrgyzstan, and Tajikistan, Subregional Seminar on Strengthening the Safety of Tailings Management Facilities in Central Asia, Almaty, Kazakhstan, Center for Emergency Situations and Disaster Risk Reduction. 2019. Available online: https://unece.org/DAM/env/documents/2019/TEIA/Workshop__Nov_2019/Session_2_RUS/2_Ms._Oleksandra_Lohunova_TMF_mapping_RUS.pdf (accessed on 19 April 2025). (In Russian).
  26. Methodology for Tailings Management Facilities (TMFs). UNECE. Available online: https://unece.org/info/Environment-Policy/Industrial-accidents/pub/369164 (accessed on 19 April 2025).
  27. Hesha Mahmmod, R.; Najam, L.A.; Yaseen Wais, T.; Mansour, H. Assessment of the Pollution of some Heavy Metals in the Sediments of the Tigris River in the City of Mosul-Northern Iraq. Pollution 2023, 9, 646–659. [Google Scholar] [CrossRef]
  28. Gupta, D.; Shukla, R.; Srivastava, P.K.; Mishra, V.K. Assessment of heavy metal pollution level, ecological and human health risks in surface water of Narmada River, India. Sustain. Water Resour. Manag. 2024, 10, 154. [Google Scholar] [CrossRef]
  29. Im, J.K.; Noh, H.R.; Kang, T.; Kim, S.H. Distribution of Heavy Metals and Organic Compounds: Contamination and Associated Risk Assessment in the Han River Watershed, South Korea. Agronomy 2022, 12, 3022. [Google Scholar] [CrossRef]
  30. Luo, P.; Xu, C.; Kang, S.; Huo, A.; Lyu, J.; Zhou, M.; Nover, D. Heavy metals in water and surface sediments of the Fenghe River Basin, China: Assessment and source analysis. Water Sci. Technol. 2021, 84, 3072–3090. [Google Scholar] [CrossRef] [PubMed]
  31. Lin, K.; Yu, T.; Ji, W.; Li, B.; Wu, Z.; Liu, X.; Li, C.; Yang, Z. Carbonate rocks as natural buffers: Exploring their environmental impact on heavy metals in sulfide deposits. Environ. Pollut. 2023, 336, 122506. [Google Scholar] [CrossRef] [PubMed]
  32. Martínez-López, S.; Martínez-Sánchez, M.J.; Pérez-Sirvent, C. Do Old Mining Areas Represent an Environmental Problem and Health Risk? A Critical Discussion through a Particular Case. Minerals 2021, 11, 594. [Google Scholar] [CrossRef]
  33. Malakooti, S.J.; Shahhosseini, M.; Ardejani, F.D.; Tonkaboni, S.Z.S.; Noaparast, M. Hydrochemical characterisation of water quality in the Sarcheshmeh copper complex. SE Iran. Env. Earth Sci. 2015, 74, 3171–3190. [Google Scholar] [CrossRef]
  34. García-Lorenzo, M.L.; Marimón, J.; Navarro-Hervás, M.C.; Perez-Sirvent, C.; Martínez-Sánchez, M.J.; Molina-Ruiz, J. Impact of acid mine drainages on surficial waters of an abandoned mining site. Environ. Sci. Pollut. Res. 2016, 23, 6014–6023. [Google Scholar] [CrossRef] [PubMed]
Figure 1. River basins of the East Kazakhstan region under the influence of the tailings.
Figure 1. River basins of the East Kazakhstan region under the influence of the tailings.
Sustainability 17 06525 g001
Figure 2. Small rivers located in the territory of the East Kazakhstan region.
Figure 2. Small rivers located in the territory of the East Kazakhstan region.
Sustainability 17 06525 g002
Figure 3. Average air temperature data for the studied area and forecast of its changes.
Figure 3. Average air temperature data for the studied area and forecast of its changes.
Sustainability 17 06525 g003
Figure 4. Annual average precipitation values and average summer precipitation values for the study area.
Figure 4. Annual average precipitation values and average summer precipitation values for the study area.
Sustainability 17 06525 g004
Figure 5. The percentage of precipitation in summer from the average annual precipitation for the study area.
Figure 5. The percentage of precipitation in summer from the average annual precipitation for the study area.
Sustainability 17 06525 g005
Figure 6. Comparison of Breksa River surface water quality classes by month for the period 2017–2024.
Figure 6. Comparison of Breksa River surface water quality classes by month for the period 2017–2024.
Sustainability 17 06525 g006
Figure 7. Comparison of Tikhaya River surface water quality classes by month for the period 2017–2024.
Figure 7. Comparison of Tikhaya River surface water quality classes by month for the period 2017–2024.
Sustainability 17 06525 g007
Figure 8. Comparison of Ulba River surface water quality classes by month for the period 2017–2024.
Figure 8. Comparison of Ulba River surface water quality classes by month for the period 2017–2024.
Sustainability 17 06525 g008
Figure 9. Comparison of Glubochanka River surface water quality classes by month for the period 2017–2024.
Figure 9. Comparison of Glubochanka River surface water quality classes by month for the period 2017–2024.
Sustainability 17 06525 g009
Figure 10. Comparison of Krasnoyarka River surface water quality classes by month for the period 2017–2024.
Figure 10. Comparison of Krasnoyarka River surface water quality classes by month for the period 2017–2024.
Sustainability 17 06525 g010
Figure 11. Comparison of Oba River surface water quality classes by month for the period 2017–2024.
Figure 11. Comparison of Oba River surface water quality classes by month for the period 2017–2024.
Sustainability 17 06525 g011
Figure 12. Assessment of the status of the medium surface water quality class of small rivers in the territory of the East Kazakhstan region for the period 2017–2024.
Figure 12. Assessment of the status of the medium surface water quality class of small rivers in the territory of the East Kazakhstan region for the period 2017–2024.
Sustainability 17 06525 g012
Figure 13. Comparative characteristics of the average quality class of surface waters of small rivers in the East Kazakhstan region for the period 2017–2024.
Figure 13. Comparative characteristics of the average quality class of surface waters of small rivers in the East Kazakhstan region for the period 2017–2024.
Sustainability 17 06525 g013
Figure 14. Relationship between surface water quality class and annual precipitation (2017–2024), Breksa River. Variable 1 (x) is the year; variable 2 (y) is the amount of precipitation per year; and variable 3 (z) is the quality class.
Figure 14. Relationship between surface water quality class and annual precipitation (2017–2024), Breksa River. Variable 1 (x) is the year; variable 2 (y) is the amount of precipitation per year; and variable 3 (z) is the quality class.
Sustainability 17 06525 g014
Figure 15. Relationship between surface water quality class and annual precipitation (2017–2024), Tikhaya River.
Figure 15. Relationship between surface water quality class and annual precipitation (2017–2024), Tikhaya River.
Sustainability 17 06525 g015
Figure 16. Relationship between surface water quality class and annual precipitation (2017–2024), Ulba River.
Figure 16. Relationship between surface water quality class and annual precipitation (2017–2024), Ulba River.
Sustainability 17 06525 g016
Figure 17. Relationship between surface water quality class and annual precipitation (2017–2024), Glubochanka River.
Figure 17. Relationship between surface water quality class and annual precipitation (2017–2024), Glubochanka River.
Sustainability 17 06525 g017
Figure 18. Relationship between surface water quality class and annual precipitation (2017–2024), Krasnoyarka River.
Figure 18. Relationship between surface water quality class and annual precipitation (2017–2024), Krasnoyarka River.
Sustainability 17 06525 g018
Figure 19. Relationship between surface water quality class and annual precipitation (2017–2024), Oba River.
Figure 19. Relationship between surface water quality class and annual precipitation (2017–2024), Oba River.
Sustainability 17 06525 g019
Disclaimer/Publisher’s Note: The statements, opinions and data contained in all publications are solely those of the individual author(s) and contributor(s) and not of MDPI and/or the editor(s). MDPI and/or the editor(s) disclaim responsibility for any injury to people or property resulting from any ideas, methods, instructions or products referred to in the content.

Share and Cite

MDPI and ACS Style

Seraya, N.; Daumova, G.; Petrova, O.; Garcia-Mira, R.; Polyakova, A. Ecological Status of the Small Rivers of the East Kazakhstan Region. Sustainability 2025, 17, 6525. https://doi.org/10.3390/su17146525

AMA Style

Seraya N, Daumova G, Petrova O, Garcia-Mira R, Polyakova A. Ecological Status of the Small Rivers of the East Kazakhstan Region. Sustainability. 2025; 17(14):6525. https://doi.org/10.3390/su17146525

Chicago/Turabian Style

Seraya, Natalya, Gulzhan Daumova, Olga Petrova, Ricardo Garcia-Mira, and Arina Polyakova. 2025. "Ecological Status of the Small Rivers of the East Kazakhstan Region" Sustainability 17, no. 14: 6525. https://doi.org/10.3390/su17146525

APA Style

Seraya, N., Daumova, G., Petrova, O., Garcia-Mira, R., & Polyakova, A. (2025). Ecological Status of the Small Rivers of the East Kazakhstan Region. Sustainability, 17(14), 6525. https://doi.org/10.3390/su17146525

Note that from the first issue of 2016, this journal uses article numbers instead of page numbers. See further details here.

Article Metrics

Back to TopTop