Assessment of Ecological Resilience and Identification of Influencing Factors in Jilin Province, China
Abstract
1. Introduction
2. Materials and Methods
2.1. Study Area
2.2. Data Sources
2.3. Methodology
2.3.1. ER Assessment
2.3.2. Semivariogram Function
2.3.3. Kernel Density Estimation
2.3.4. Spatial Autocorrelation Assessment
2.3.5. OPGD Model
3. Results
3.1. Optimal Grid Scale
3.2. ER Spatio-Temporal Evolution
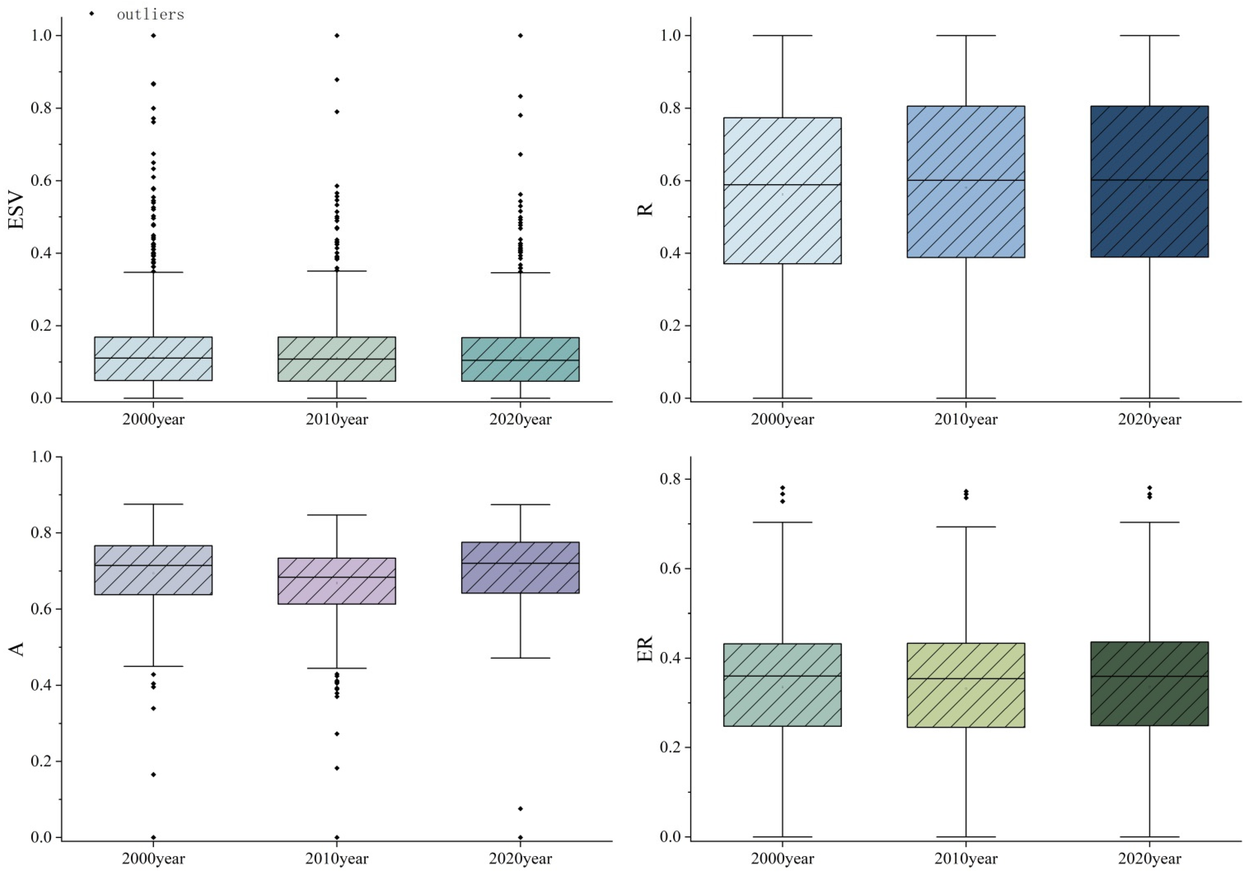
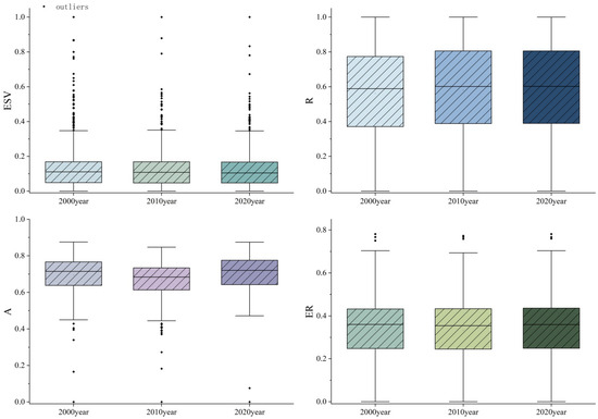
3.2.1. Ecosystem Resistance
3.2.2. Ecosystem Resilience
3.2.3. Ecosystem Adaptability
3.2.4. Ecological Resilience
3.2.5. Spatial Autocorrelation Analysis
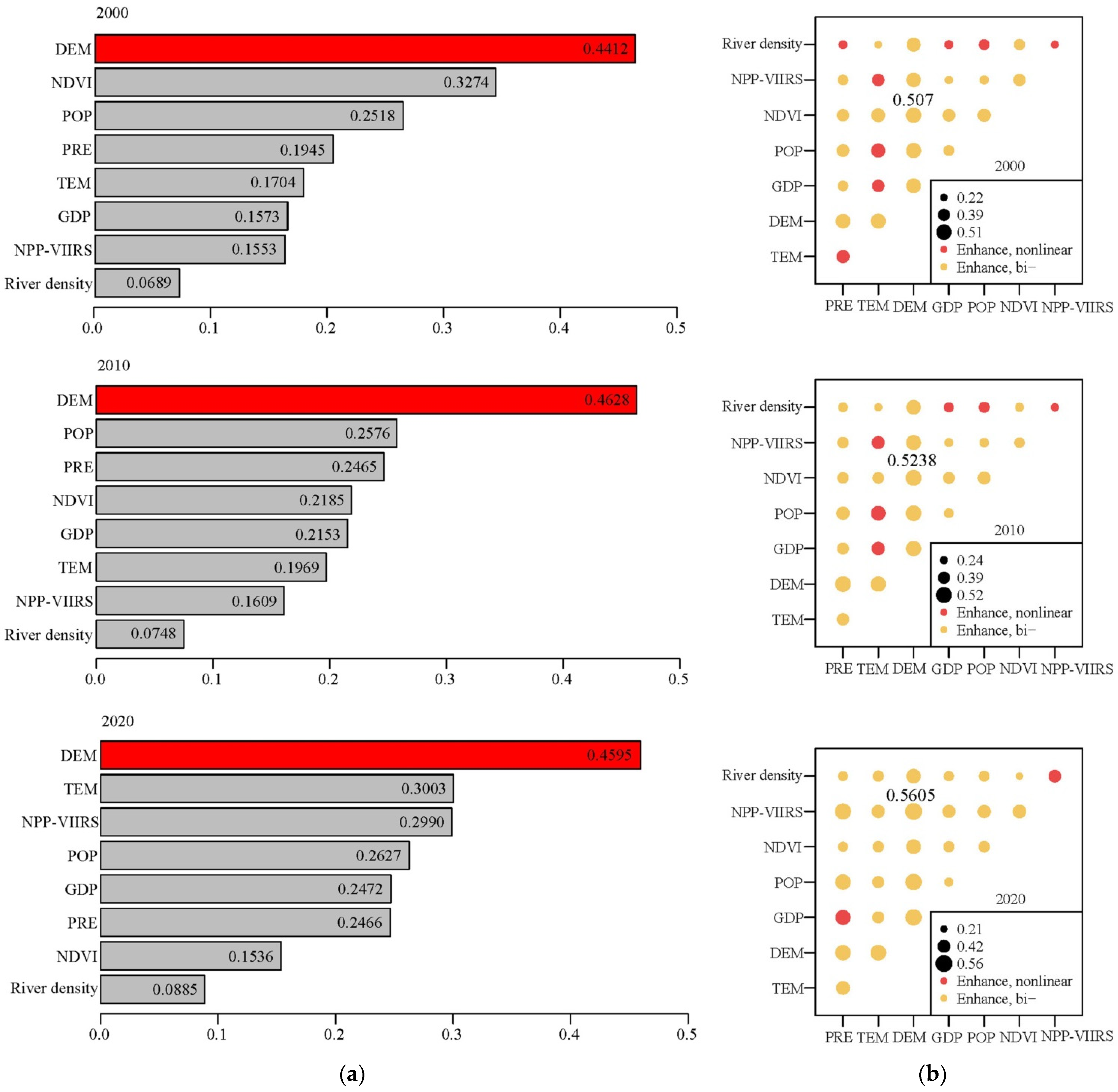
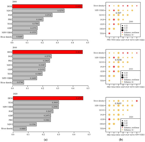
3.3. Identification of Influencing Factors
4. Discussion
4.1. Characterization of ER Spatio-Temporal Evolution and Analysis of Driving Factors
4.2. Suggestions for Countermeasures
4.3. Limitations and Future Improvements
5. Conclusions
Author Contributions
Funding
Data Availability Statement
Conflicts of Interest
References
- Zhu, S.; Kong, X.; Jiang, P. Identification of the human-land relationship involved in the urbanization of rural settlements in Wuhan city circle, China. J. Rural Stud. 2020, 77, 75–83. [Google Scholar] [CrossRef]
- Kassouri, Y. Monitoring the spatial spillover effects of urbanization on water, built-up land and ecological footprints in sub-Saharan Africa. J. Environ. Manag. 2021, 300, 113690. [Google Scholar] [CrossRef] [PubMed]
- Li, S.; Wu, J.; Gong, J.; Li, S. Human footprint in Tibet: Assessing the spatial layout and effectiveness of nature reserves. Sci. Total Environ. 2018, 621, 18–29. [Google Scholar] [CrossRef] [PubMed]
- Xu, C.; Li, B.; Kong, F.; He, T. Spatial-temporal variation, driving mechanism and management zoning of ecological resilience based on RSEI in a coastal metropolitan area. Ecol. Indic. 2024, 158, 111447. [Google Scholar] [CrossRef]
- Martin, R. Regional economic resilience, hysteresis and recessionary shocks. J. Econ. Geogr. 2012, 12, 1–32. [Google Scholar] [CrossRef]
- Rose, A. Economic resilience to natural and man-made disasters: Multidisciplinary origins and contextual dimensions. Environ. Hazards 2007, 7, 383–398. [Google Scholar] [CrossRef]
- Holling, C.S. Resilience and stability of ecological systems. Annu. Rev. Ecol. Syst. 1973, 4, 1–23. [Google Scholar] [CrossRef]
- Nie, C.; Lee, C.-C. Synergy of pollution control and carbon reduction in China: Spatial–temporal characteristics, regional differences, and convergence. Environ. Impact Assess. Rev. 2023, 101, 107110. [Google Scholar] [CrossRef]
- Worstell, J. Ecological resilience of food systems in response to the COVID-19 crisis. J. Agric. Food Syst. Community Dev. 2020, 9, 23–30. [Google Scholar] [CrossRef]
- Li, H.; Wang, Y.; Zhang, H.; Yin, R.; Liu, C.; Wang, Z.; Fu, F.; Zhao, J. The spatial-temporal evolution and driving mechanism of Urban resilience in the Yellow River Basin cities. J. Clean. Prod. 2024, 447, 141614. [Google Scholar] [CrossRef]
- Li, G.; Wang, L. Study of regional variations and convergence in ecological resilience of Chinese cities. Ecol. Indic. 2023, 154, 110667. [Google Scholar] [CrossRef]
- Wang, J.; Wang, J.; Zhang, J. Spatial distribution characteristics of natural ecological resilience in China. J. Environ. Manag. 2023, 342, 118133. [Google Scholar] [CrossRef] [PubMed]
- Zhang, T.; Sun, Y.; Zhang, X.; Yin, L.; Zhang, B. Potential heterogeneity of urban ecological resilience and urbanization in multiple urban agglomerations from a landscape perspective. J. Environ. Manag. 2023, 342, 118129. [Google Scholar] [CrossRef] [PubMed]
- Zhao, R.; Fang, C.; Liu, H.; Liu, X. Evaluating urban ecosystem resilience using the DPSIR framework and the ENA model: A case study of 35 cities in China. Sustain. Cities Soc. 2021, 72, 102997. [Google Scholar] [CrossRef]
- Abdi, R.; Rogers, J.B.; Rust, A.; Wolfand, J.M.; Philippus, D.; Taniguchi-Quan, K.; Irving, K.; Stein, E.D.; Hogue, T.S. Simulating the thermal impact of substrate temperature on ecological restoration in shallow urban rivers. J. Environ. Manag. 2021, 289, 112560. [Google Scholar] [CrossRef]
- Folke, C. Resilience: The emergence of a perspective for social–ecological systems analyses. Glob. Environ. Change 2006, 16, 253–267. [Google Scholar] [CrossRef]
- Capdevila, P.; Stott, I.; Oliveras Menor, I.; Stouffer, D.B.; Raimundo, R.L.; White, H.; Barbour, M.; Salguero-Gómez, R. Reconciling resilience across ecological systems, species and subdisciplines. J. Ecol. 2021, 109, 3102–3113. [Google Scholar] [CrossRef]
- Adger, W.N. Social and ecological resilience: Are they related? Prog. Hum. Geogr. 2000, 24, 347–364. [Google Scholar] [CrossRef]
- Cumming, G.S. Spatial resilience: Integrating landscape ecology, resilience, and sustainability. Landsc. Ecol. 2011, 26, 899–909. [Google Scholar] [CrossRef]
- McPhearson, T.; Andersson, E.; Elmqvist, T.; Frantzeskaki, N. Resilience of and through urban ecosystem services. Ecosyst. Serv. 2015, 12, 152–156. [Google Scholar] [CrossRef]
- Botequilha-Leitão, A.; Díaz-Varela, E.R. Performance based planning of complex urban social-ecological systems: The quest for sustainability through the promotion of resilience. Sustain. Cities Soc. 2020, 56, 102089. [Google Scholar] [CrossRef]
- Wang, S.; Cui, Z.; Lin, J.; Xie, J.; Su, K. The coupling relationship between urbanization and ecological resilience in the Pearl River Delta. J. Geogr. Sci. 2022, 32, 44–64. [Google Scholar] [CrossRef]
- Zhang, S.; Lei, J.; Zhang, X.; Tong, Y.; Lu, D.; Fan, L.; Duan, Z. Assessment and optimization of urban spatial resilience from the perspective of life circle: A case study of Urumqi, NW China. Sustain. Cities Soc. 2024, 109, 105527. [Google Scholar] [CrossRef]
- Yuan, Y.; Bai, Z.; Zhang, J.; Xu, C. Increasing urban ecological resilience based on ecological security pattern: A case study in a resource-based city. Ecol. Eng. 2022, 175, 106486. [Google Scholar] [CrossRef]
- Ye, C.; Hu, M.; Lu, L.; Dong, Q.; Gu, M. Spatio-temporal evolution and factor explanatory power analysis of urban resilience in the Yangtze River Economic Belt. Geogr. Sustain. 2022, 3, 299–311. [Google Scholar] [CrossRef]
- Shi, C.; Zhu, X.; Wu, H.; Li, Z. Assessment of urban ecological resilience and its influencing factors: A case study of the Beijing-Tianjin-Hebei urban agglomeration of China. Land 2022, 11, 921. [Google Scholar] [CrossRef]
- Zhang, Y.; Shang, K. Cloud model assessment of urban flood resilience based on PSR model and game theory. Int. J. Disaster Risk Reduct. 2023, 97, 104050. [Google Scholar] [CrossRef]
- Liu, H.L.; Wang, G.Y.; Zhang, P.H.; Wang, Z.L.; Zang, L.P. Spatio-temporal evolution and coordination influence of coupling coordination between new urbanization and ecological resilience in Fenhe River Basin. J. Nat. Resour. 2024, 39, 640–667. [Google Scholar] [CrossRef]
- Feng, X.; Lei, J.; Xiu, C.; Li, J.; Bai, L.; Zhong, Y. Analysis of spatial scale effect on urban resilience: A case study of Shenyang, China. Chin. Geogr. Sci. 2020, 30, 1005–1021. [Google Scholar] [CrossRef]
- He, W.; Zheng, S.; Zhao, X. Exploring the spatiotemporal changes and influencing factors of urban resilience based on Scale-Density-Morphology—A case study of the Chengdu-Deyang-Mianyang Economic Belt, China. Front. Environ. Sci. 2023, 11, 1042264. [Google Scholar] [CrossRef]
- Yang, J.; Wang, S.; Zhou, J.; Jing, Z.; Zhang, W. Optimisation of ecological security patterns in ecologically transition areas under the perspective of ecological resilience—A case of Taohe River. Ecol. Indic. 2024, 166, 112315. [Google Scholar]
- Zhao, L.D.; Sun, Z.X. Evolution of coordinated development between economic development quality and ecological resilience in coastal cities and its spatial convergence features. Econ. Geogr. 2023, 43, 119–129. [Google Scholar]
- Peng, L.; Wu, H.; Li, Z. Spatial–temporal evolutions of ecological environment quality and ecological resilience pattern in the middle and lower reaches of the Yangtze River Economic Belt. Remote Sens. 2023, 15, 430. [Google Scholar] [CrossRef]
- Li, J.; Nie, W.; Zhang, M.; Wang, L.; Dong, H.; Xu, B. Assessment and optimization of urban ecological network resilience based on disturbance scenario simulations: A case study of Nanjing city. J. Clean. Prod. 2024, 438, 140812. [Google Scholar] [CrossRef]
- Shamsipour, A.; Jahanshahi, S.; Mousavi, S.S.; Shoja, F.; Golenji, R.A.; Tayebi, S.; Alavi, S.A.; Sharifi, A. Assessing and mapping urban ecological resilience using the loss-gain approach: A case study of Tehran, Iran. Sustain. Cities Soc. 2024, 103, 105252. [Google Scholar] [CrossRef]
- Shi, D.; Wang, J. Measurement and evaluation of China’s ecological pressure and ecological efficiency based on ecological footprint. China Ind. Econ 2016, 5, 5–21. [Google Scholar]
- Zhang, Q.; Huang, T.; Xu, S. Assessment of urban ecological resilience based on PSR framework in the Pearl River Delta urban agglomeration, China. Land 2023, 12, 1089. [Google Scholar] [CrossRef]
- Xie, X.; Zhou, G.; Yu, S. Study on rural ecological resilience measurement and optimization strategy based on PSR-“Taking Weiyuan in Gansu Province as an Example”. Sustainability 2023, 15, 5462. [Google Scholar] [CrossRef]
- Chen, C.; Hellmann, J.; Berrang-Ford, L.; Noble, I.; Regan, P. A global assessment of adaptation investment from the perspectives of equity and efficiency. Mitig. Adapt. Strateg. Glob. Chang. 2018, 23, 101–122. [Google Scholar] [CrossRef]
- Hofmann, S.Z. 100 Resilient Cities program and the role of the Sendai framework and disaster risk reduction for resilient cities. Prog. Disaster Sci. 2021, 11, 100189. [Google Scholar] [CrossRef]
- Lee, C.C.; Yan, J.; Li, T. Ecological resilience of city clusters in the middle reaches of Yangtze river. J. Clean. Prod. 2024, 443, 141082. [Google Scholar] [CrossRef]
- Lin, Y.; Peng, C.; Chen, P.; Zhang, M. Conflict or synergy? Analysis of economic-social-infrastructure-ecological resilience and their coupling coordination in the Yangtze River economic Belt, China. Ecol. Indic. 2022, 142, 109194. [Google Scholar] [CrossRef]
- Xu, Y.; Li, G.; Cui, S.; Xu, Y.; Pan, J.; Tong, N.; Zhu, Y. Review and perspective on resilience science: From ecological theory to urban practice. Acta Ecol. Sin. 2018, 38, 5297–5304. [Google Scholar]
- Wang, D.; Long, H.; Wang, K.; Wang, H.; Chai, H.; Gao, J. Coupling coordination analysis of urbanization intensity and ecological resilience in Beijing-Tianjin-Hebei. Acta Ecol. Sin. 2023, 43, 6321–6331. [Google Scholar]
- Zhu, Y.Y.; Wang, Z.W.; Qiao, H.F.; Gao, Z. The resilience evolution and influencing mechanisms of the” ruralism-ecology” system of tourist destinations in Dabie Mountains Old Revolutionary Base Area. J. Nat. Resour. 2022, 37, 1748–1765. [Google Scholar] [CrossRef]
- Fu, B.J.; Liang, D.; Lu, N. Landscape ecology: Coupling of pattern, process, and scale. Chin. Geogr. Sci. 2011, 21, 385–391. [Google Scholar] [CrossRef]
- Su, C.H.; Fu, B.J. Discussion on Links Among Landscape Pattern, Ecological Process, and Ecosystem Services. Chin. J. Nat. 2012, 34, 277–283. [Google Scholar]
- Chen, J.P.; Zhang, Y.; Yu, Y.J. Effect of MAUP in Spatial Autocorrelation. Acta Geogr. Sin. 2011, 66, 1597–1606. [Google Scholar]
- Xie, J.; Zhao, J.; Zhang, S.; Sun, Z. Optimal Scale and Scenario Simulation Analysis of Landscape Ecological Risk Assessment in the Shiyang River Basin. Sustainability 2023, 15, 15883. [Google Scholar] [CrossRef]
- Wu, J. Effects of changing scale on landscape pattern analysis: Scaling relations. Landsc. Ecol. 2004, 19, 125–138. [Google Scholar] [CrossRef]
- Ju, H.; Niu, C.; Zhang, S.; Jiang, W.; Zhang, Z.; Zhang, X.; Yang, Z.; Cui, Y. Spatiotemporal patterns and modifiable areal unit problems of the landscape ecological risk in coastal areas: A case study of the Shandong Peninsula, China. J. Clean. Prod. 2021, 310, 127522. [Google Scholar] [CrossRef]
- Li, P.; Tong, L.; Guo, Y.; Guo, F. Spatial-temporal characteristics of green development efficiency and influencing factors in restricted development zones: A case study of Jilin Province, China. Chin. Geogr. Sci. 2020, 30, 736–748. [Google Scholar] [CrossRef]
- Costanzar, d.A.; Arger, D. The value of the world’s ecosystem services and nature. Nature 1997, 387, 253–260. [Google Scholar] [CrossRef]
- Xie, G.D.; Zhang, C.X.; Zhang, L.M.; Chen, W.H.; Li, S.M. Improvement of the evaluation method for ecosystem service value based on per unit area. J. Nat. Resour. 2015, 30, 1243–1254. [Google Scholar]
- Peng, J.; Lyu, D.N.; Dong, J.Q.; Liu, Y.X.; Liu, Q.Y.; Li, B. Processes coupling and spatial integration: Characterizing ecological restoration of territorial space in view of landscape ecology. J. Nat. Resour. 2020, 35, 3–13. [Google Scholar]
- Das, M.; Das, A.; Pereira, P.; Mandal, A. Exploring the spatio-temporal dynamics of ecosystem health: A study on a rapidly urbanizing metropolitan area of Lower Gangetic Plain, India. Ecol. Indic. 2021, 125, 107584. [Google Scholar] [CrossRef]
- Xiao, R.; Liu, Y.; Fei, X.; Yu, W.; Zhang, Z.; Meng, Q. Ecosystem health assessment: A comprehensive and detailed analysis of the case study in coastal metropolitan region, eastern China. Ecol. Indic. 2019, 98, 363–376. [Google Scholar] [CrossRef]
- Peng, J.; Liu, Y.; Wu, J.; Lv, H.; Hu, X. Linking ecosystem services and landscape patterns to assess urban ecosystem health: A case study in Shenzhen City, China. Landsc. Urban Plan. 2015, 143, 56–68. [Google Scholar] [CrossRef]
- Ebert, U.; Welsch, H. Meaningful environmental indices: A social choice approach. J. Environ. Econ. Manag. 2004, 47, 270–283. [Google Scholar] [CrossRef]
- Wang, Z.Q. Geostatistics and Its Application in Ecology; Science Press: Beijing, China, 1999. [Google Scholar]
- Na, L.; Lili, G. County economy comprehensive evaluation and spatial analysis in Chongqing City based on entropy Weight TOPSIS and GIS. J. Chin. Agric. Mech. 2023, 44, 273. [Google Scholar]
- Weng, G.M.; Tang, Y.B.; Pan, Y.; Mao, Y.Q. Spatiotemporal evolution and spatial difference of tourism-ecology-urbanization coupling coordination in Beijing-Tianjin-Hebei urban agglomeration. Econ. Geogr. 2021, 41, 196–204. [Google Scholar]
- Dong, Y.H.; Liu, S.L.; An, N.N.; Yin, Y.J.; Wang, J.; Qiu, Y. Landscape pattern in Da’an city of Jilin province based on landscape indices and local spatial autocorrelation analysis. J. Nat. Resour. 2015, 30, 1860–1871. [Google Scholar]
- Yang, N.J.; Zhang, T.; Li, J.Z.; Feng, P.; Yang, N. Landscape ecological risk assessment and driving factors analysis based on optimal spatial scales in Luan River Basin, China. Ecol. Indic. 2024, 169, 112821. [Google Scholar] [CrossRef]
- Overmars, K.P.; de Koning, G.H.J.; Veldkamp, A. Spatial autocorrelation in multi-scale land use models. Ecol. Model. 2003, 164, 257–270. [Google Scholar] [CrossRef]
- Song, Y.; Wang, J.; Ge, Y.; Xu, C. An optimal parameters-based geographical detector model enhances geographic characteristics of explanatory variables for spatial heterogeneity analysis: Cases with different types of spatial data. GIScience Remote Sens. 2020, 57, 593–610. [Google Scholar] [CrossRef]















| Data | Explanation | Scale | Time | Source | Accessed |
|---|---|---|---|---|---|
| Land use data | CNLUCC | 30 m | 2000, 2010, 2020 | Resources and Environmental Science Data Center (https://www.resdc.cn/) | 16 April 2025 |
| Elevation data | DEM | 30 m | 2016 | Geospatial Data Cloud (http://www.gscloud.cn/) | 16 April 2025 |
| Annual mean precipitation data | PRE | 1000 m | 2000–2024 | National Earth System Science Data Center (http://www.geodata.cn/) | 16 April 2025 |
| Annual mean temperature data | TEM | 1000 m | 2000–2024 | National Earth System Science Data Center (http://www.geodata.cn/) | 16 April 2025 |
| Normalized difference Vegetation Index | NDVI | 30 m | 2000–2024 | MODIS13A3 products (https://lpdaac.usgs.gov/) | 17 April 2025 |
| Gross domestic product | GDP | 1000 m | 2000–2024 | Resources and Environmental Science Data Center (https://www.resdc.cn/) | 16 April 2025 |
| population | POP | 1000 m | 2000–2024 | WorldPop data platform (http://www.worldpop.org/) | 16 April 2025 |
| Nighttime light data | NPP-VIIRS | 1000 m | 2000–2024 | NPP-VIIRS datasets (https://data.harvard.edu/dataverse) | 17 April 2025 |
| Administrative division data | - | - | 2024 | National Platform for Common Geospatial Information Services (https://www.tianditu.gov.cn/) | 16 April 2025 |
| Statistical data | - | - | 2000, 2010, 2020 | Jilin Provincial Statistical Yearbook | 17 April 2025 |
| Type | Cropland | Woodland | Grassland | Water | Construction Land | Unused Land |
|---|---|---|---|---|---|---|
| Food production | 1765.42 | 435.04 | 345.23 | 1122.69 | 0 | 14.03 |
| Raw material production | 213.31 | 996.38 | 509.42 | 322.77 | 0 | 42.1 |
| Water supply | −2947.05 | 519.24 | 281.37 | 11,633.84 | 0 | 28.07 |
| Gas regulation | 1434.23 | 3297.89 | 1786.48 | 1080.59 | 0 | 154.37 |
| Climate regulation | 740.97 | 9865.61 | 4724.41 | 3213.69 | 0 | 140.34 |
| Environment | 218.92 | 2792.68 | 1560.53 | 7788.64 | 0 | 435.04 |
| Hydrological regulation | 3129.49 | 4925.79 | 3460.68 | 143,479.32 | 0 | 294.71 |
| Soil conservation | 300.32 | 4013.6 | 2176.61 | 1305.12 | 0 | 182.44 |
| Maintenance of nutrient cycling | 246.99 | 308.74 | 167.7 | 98.24 | 0 | 14.03 |
| Biodiversity | 272.25 | 3648.73 | 1980.14 | 3578.56 | 0 | 168.4 |
| Aesthetic landscape | 117.88 | 1599.83 | 873.59 | 2652.35 | 0 | 70.17 |
| Total (yuan/hm2) | 5492.73 | 32,403.53 | 17,866.16 | 176,275.81 | 0 | 1543.7 |
| Year 2000 | Year 2010 | Year 2020 | ||||
|---|---|---|---|---|---|---|
| Land Use Types | ESV (Yuan/hm2) | Proportion | ESV (Yuan/hm2) | Proportion | ESV (Yuan/hm2) | Proportion |
| Cropland | 4.13864 × 109 | 9.90% | 3.12276 × 1015 | 11.62% | 2.38633 × 1021 | 10.87% |
| Woodland | 2.74153 × 1010 | 65.59% | 2.32461 × 1016 | 86.50% | 1.95379 × 1022 | 89.01% |
| Grassland | 1.41150 × 109 | 3.38% | 1.01473 × 1014 | 0.38% | 6.76448 × 1018 | 0.03% |
| Water | 8.65532 × 109 | 20.71% | 3.83781 × 1014 | 1.43% | 1.65191 × 1019 | 0.08% |
| Construction land | 0 | 0 | 0 | 0 | 0 | 0 |
| Unused land | 1.77361 × 108 | 0.42% | 2.12622 × 1013 | 0.07% | 2.40855 × 1018 | 0.01% |
| Total | 4.17981 × 1011 | 100% | 2.68753 × 1017 | 100% | 2.19499 × 1023 | 100% |
| Year | AWMPFD | SHDI | COHESION | Adaptability | Adaptability Normalization |
|---|---|---|---|---|---|
| 2000 | 1.3045 | 1.2388 | 99.9659 | 50.6188 | 0.5167 |
| 2010 | 1.3102 | 1.2353 | 99.9673 | 50.6200 | 0.8801 |
| 2020 | 1.3064 | 1.2315 | 99.9643 | 50.6166 | 0.0833 |
Disclaimer/Publisher’s Note: The statements, opinions and data contained in all publications are solely those of the individual author(s) and contributor(s) and not of MDPI and/or the editor(s). MDPI and/or the editor(s) disclaim responsibility for any injury to people or property resulting from any ideas, methods, instructions or products referred to in the content. |
© 2025 by the authors. Licensee MDPI, Basel, Switzerland. This article is an open access article distributed under the terms and conditions of the Creative Commons Attribution (CC BY) license (https://creativecommons.org/licenses/by/4.0/).
Share and Cite
Zhang, Y.; Liu, J.; Zhu, Y. Assessment of Ecological Resilience and Identification of Influencing Factors in Jilin Province, China. Sustainability 2025, 17, 5994. https://doi.org/10.3390/su17135994
Zhang Y, Liu J, Zhu Y. Assessment of Ecological Resilience and Identification of Influencing Factors in Jilin Province, China. Sustainability. 2025; 17(13):5994. https://doi.org/10.3390/su17135994
Chicago/Turabian StyleZhang, Yuqi, Jiafu Liu, and Yue Zhu. 2025. "Assessment of Ecological Resilience and Identification of Influencing Factors in Jilin Province, China" Sustainability 17, no. 13: 5994. https://doi.org/10.3390/su17135994
APA StyleZhang, Y., Liu, J., & Zhu, Y. (2025). Assessment of Ecological Resilience and Identification of Influencing Factors in Jilin Province, China. Sustainability, 17(13), 5994. https://doi.org/10.3390/su17135994

