Short-Term Effects of Mustard (Sinapis alba L.) Cover Crop on Soil Quality in a Maize Production System
Abstract
1. Introduction
2. Materials and Methods
2.1. Experimental Design and Treatments
2.2. Soil Sampling
2.3. Samples Processing and Determination of Soil Properties
2.4. Soil Quality Evaluation Method
2.5. Statistical Analysis
3. Results and Discussion
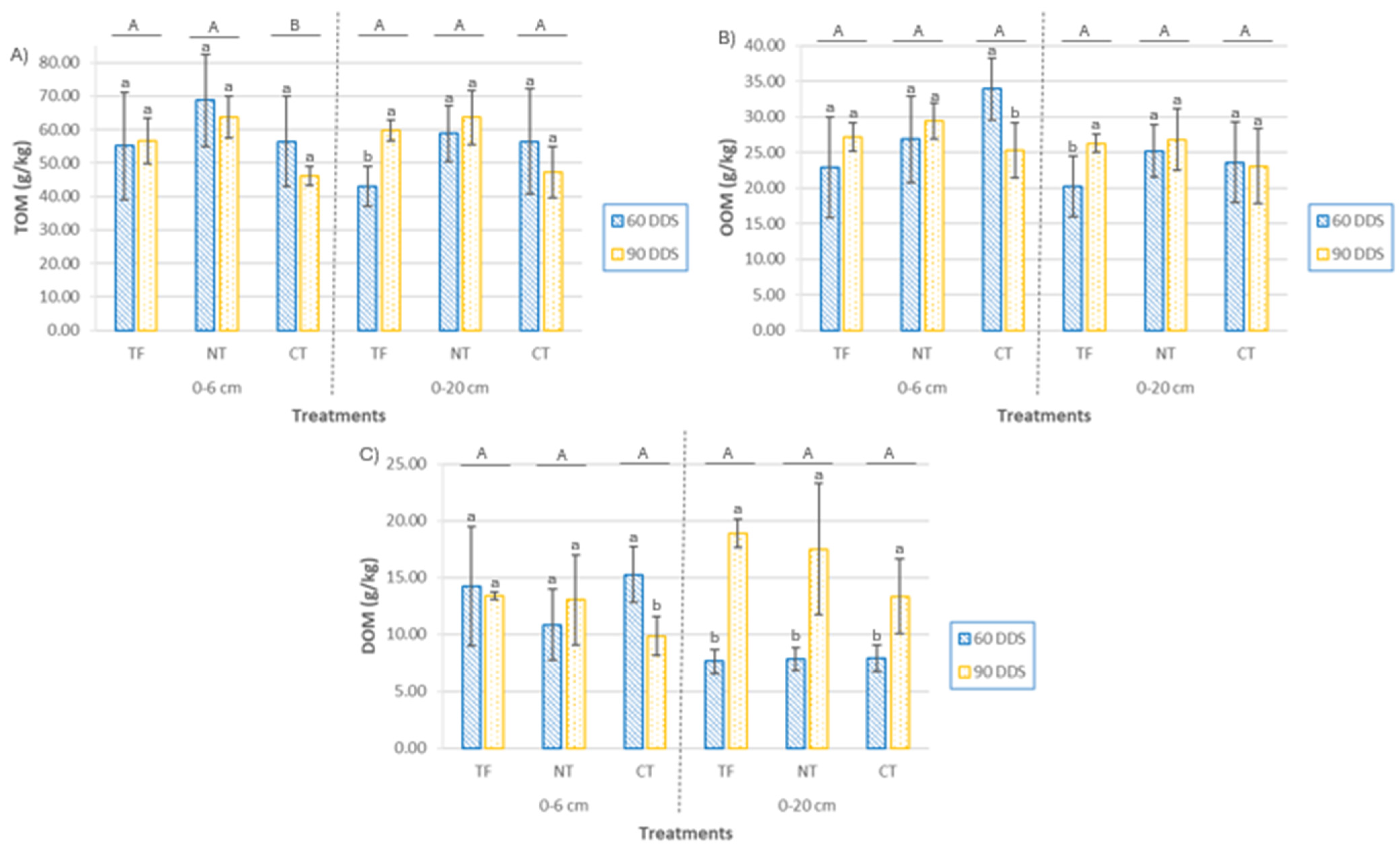
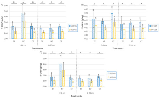
3.1. Effect of the Cover Crop on Soil Physical, Chemical, and Biological Properties
3.2. Soil Quality Index (SQI)
4. Conclusions
Author Contributions
Funding
Institutional Review Board Statement
Informed Consent Statement
Data Availability Statement
Acknowledgments
Conflicts of Interest
Abbreviations
| CC | cover crops |
| CT | conventional tillage |
| NT | no tillage |
| TF | tillage fallow |
| DAS | days after sowing |
| SQI | Soil Quality Index |
| FC | field capacity |
| SAS | structural stability of aggregates |
| BD | bulk density |
| EC | electrical conductivity |
| TOM | total organic matter |
| OxOM | oxidizable organic matter |
| DOM | dissolved organic matter |
| T-GRSP | total glomalin fraction |
| EE-GRSP | extractable glomalin fraction |
| R-GRSP | recalcitrant glomalin fraction |
| H′ | Shannon–Wiener diversity index |
| S | species richness |
| J′ | Pielou’s evenness index |
| TDS | Total Data Set |
| MDS | Minimum Data Set |
| EMI | Ecological–Morphological Index |
| PCA | Principal Component Analysis |
| SOM | soil organic matter |
| GSRP | Glomalin-Related Soil Proteins |
References
- Adhikari, K.; Hartemink, A.E. Linking soils to ecosystem services—A global review. Geoderma 2016, 262, 101–111. [Google Scholar] [CrossRef]
- Wang, X.; Cheng, L.; Xiong, C.; Whalley, W.R.; Miller, A.J.; Rengel, Z.; Zhang, F.; Shen, J. Understanding plant–soil interactions underpin enhanced sustainability of crop production. Trends Plant Sci. 2024, 29, 1181–1190. [Google Scholar] [CrossRef] [PubMed]
- Jiang, P.; Wang, Y.; Zhang, Y.; Fei, J.; Rong, X.; Peng, J.; Yin, L.; Luo, G. Intercropping enhances maize growth and nutrient uptake by driving the link between rhizosphere metabolites and microbiomes. New Phytol. 2024, 243, 1506–1521. [Google Scholar] [CrossRef] [PubMed]
- Blanco-Canqui, H.; Ruis, S.J. No-tillage and soil physical environment. Geoderma 2018, 326, 164–200. [Google Scholar] [CrossRef]
- Comisión Europea. El Pacto Verde Europeo. Available online: https://ec.europa.eu/info/strategy/priorities-2019-2024/european-green-deal_es (accessed on 15 May 2025).
- Food and Agriculture Organization of the United Nations. Soils Are the Foundation for Vegetation; FAO: Rome, Italy, 2015; Available online: https://www.fao.org/fileadmin/user_upload/soils-2015/docs/Fact_sheets/En_IYS_Veg_Print.pdf (accessed on 15 May 2025).
- Doran, J.W.; Parkin, T.B. Defining and assessing soil quality. In Defining Soil Quality for a Sustainable Environment, 1st ed.; Doran, J.W., Jones, A.J., Eds.; SSSA: Madison, WI, USA, 1994; Volume 35, pp. 1–21. [Google Scholar] [CrossRef]
- Food and Agriculture Organization of the United Nations. El Estado Mundial de la Biodiversidad para la Alimentación y la Agricultura; FAO: Rome, Italy, 2019; Available online: https://www.fao.org/ (accessed on 15 May 2025).
- McDonald, H.; Frelih-Larsen, A.; Lóránt, A.; Duin, L.; Andersen, S.P.; Costa, G.; Bradley, H. Carbon Farming: Making Agriculture Fit for 2030; Policy Department for Economic, Scientific and Quality of Life Policies, European Parliament: Brussels, Belgium, 2021; Available online: https://www.europarl.europa.eu/RegData/etudes/STUD/2021/695482/IPOL_STU(2021)695482_EN.pdf (accessed on 15 May 2025).
- Teasdale, J.R. Contribution of cover crops to weed management in sustainable agricultural systems. J. Prod. Agric. 1996, 9, 475–479. [Google Scholar] [CrossRef]
- Hunter, M.C.; Kemanian, A.R.; Mortensen, D.A. Cover crop effects on maize drought stress and yield. Agric. Ecosyst. Environ. 2021, 311, 107294. [Google Scholar] [CrossRef]
- Kadziene, G.; Suproniene, S.; Auskalniene, O.; Pranaitiene, S.; Svegzda, P.; Versuliene, A.; Ceseviciene, J.; Janusauskaite, D.; Feiza, V. Tillage and cover crop influence on weed pressure and Fusarium infection in spring cereals. Crop Prot. 2020, 127, 104966. [Google Scholar] [CrossRef]
- de Torres, M.A.R.R.; Carbonell-Bojollo, R.M.; Moreno-García, M.; Ordóñez-Fernández, R.; Rodríguez-Lizana, A. Soil organic matter and nutrient improvement through cover crops in a Mediterranean olive orchard. Soil Tillage Res. 2021, 210, 104977. [Google Scholar] [CrossRef]
- García-González, I.; Hontoria, C.; Gabriel, J.L.; Alonso-Ayuso, M.; Quemada, M. Cover crops to mitigate soil degradation and enhance soil functionality in irrigated land. Geoderma 2018, 322, 81–88. [Google Scholar] [CrossRef]
- Gutiérrez, M. Ensayos de Variedades de Maíz de Ciclos Largos y Cortos en Aragón. Resultados de los Ensayos de la Red ARAX—GENVCE Campaña 2021; Centro de Transferencia Agroalimentaria del Gobierno de Aragón: Zaragoza, España, 2021. [Google Scholar]
- Zampieri, M.; Ceglar, A.; Dentener, F.; Toreti, A. Wheat yield loss attributable to heat waves, drought and water excess at the global, national and subnational scales. Environ. Res. Lett. 2017, 12, 064008. [Google Scholar] [CrossRef]
- Jang, W.S.; Neff, J.C.; Im, Y.; Doro, L.; Herrick, J.E. The hidden costs of land degradation in US maize agriculture. Earth’s Future 2021, 9, e2020EF001641. [Google Scholar] [CrossRef]
- Buratovich, M.V.; Acciaresi, H.A. Winter cover crops and dynamics of weeds in agricultural systems of the Argentine Rolling Pampas. Int. J. Pest Manag. 2022, 68, 414–422. [Google Scholar] [CrossRef]
- Feng, H.; Sekaran, U.; Wang, T.; Kumar, S. On-farm assessment of cover cropping effects on soil C and N pools, enzyme activities, and microbial community structure. J. Agric. Sci. 2021, 159, 216–226. [Google Scholar] [CrossRef]
- Du Preez, G.C.; Marcelo-Silva, J.; Azizah, N.; Claassens, S.; Fourie, D. Time Matters: A Short-Term Longitudinal Analysis of Conservation Agriculture and Its Impact on Soil Health. J. Soil Sci. Plant Nutr. 2024, 24, 1319–1334. [Google Scholar] [CrossRef]
- Ministerio de Agricultura, Pesca y Alimentación. Geoportal SIGA: Sistema de Información Geográfica Agraria. Available online: https://sig.mapama.gob.es/siga/ (accessed on 15 May 2025).
- Marcén, C.S.; Peña Monné, J.L.; Lewis, C.J.; McDonald, E.V.; Rhodes, E. Registros fluviales y glaciares cuaternarios en las cuencas de los ríos Cinca y Gállego (Pirineos y depresión del Ebro). In Itinerarios Geológicos por Aragón; Sociedad Geológica de España: Madrid, Spain, 2004; pp. 181–205. [Google Scholar]
- Duval, M.E.; Galantini, J.A.; Martínez, J.; Iglesias, J.O. Comparación de índices de calidad de suelos agrícolas y naturales basados en el carbono orgánico. Ciencia del Suelo 2016, 34, 197–209. [Google Scholar]
- Allen, R.G.; Pereira, L.S.; Raes, D.; Smith, M. Crop Evapotranspiration: Guidelines for Computing Crop Water Requirements. FAO Irrigation and Drainage Paper No. 56; FAO: Rome, Italy, 1998. [Google Scholar]
- Kemper, W.D.; Koch, E.J. Aggregate Stability of Soils from Western United States and Canada: Measurement Procedure, Correlation with Soil Constituents; USDA: Washington, DC, USA, 1966.
- Blake, G.R.; Hartge, K.H. Bulk density. In Methods of Soil Analysis: Part 1 Physical and Mineralogical Methods, 2nd ed.; Klute, A., Ed.; ASA and SSSA: Madison, WI, USA, 1986; Volume 5, pp. 363–375. [Google Scholar]
- Burt, R. Soil Survey Laboratory Methods Manual; USDA: Washington, DC, USA, 1992.
- Heiri, O.; Lotter, A.F.; Lemcke, G. Loss on ignition as a method for estimating organic and carbonate content in sediments: Reproducibility and comparability of results. J. Paleolimnol. 2001, 25, 101–110. [Google Scholar] [CrossRef]
- Walkley, A.; Black, I.A. An examination of the Degtjareff method for determining soil organic matter, and a proposed modification of the chromic acid titration method. Soil Sci. 1934, 37, 29–38. [Google Scholar] [CrossRef]
- Ghani, A.; Dexter, M.; Perrott, K.W. Hot-water extractable carbon in soils: A sensitive measurement for determining impacts of fertilisation, grazing and cultivation. Soil Biol. Biochem. 2003, 35, 1231–1243. [Google Scholar] [CrossRef]
- Wright, S.F.; Upadhyaya, A. Extraction of an abundant and unusual protein from soil and comparison with hyphal protein of arbuscular mycorrhizal fungi. Soil Sci. 1996, 161, 575–586. [Google Scholar] [CrossRef]
- Minasny, B.; McBratney, A.B.; Wadoux, A.M.C.; Akoeb, E.N.; Sabrina, T. Precocious 19th century soil carbon science. Geoderma Reg. 2020, 22, e00306. [Google Scholar] [CrossRef]
- Wale, M.; Yesuf, S. Abundance and diversity of soil arthropods in disturbed and undisturbed ecosystem in Western Amhara, Ethiopia. Int. J. Trop. Insect Sci. 2022, 42, 767–781. [Google Scholar] [CrossRef]
- Andrés-Abellán, M.; Wic-Baena, C.; López-Serrano, F.R.; García-Morote, F.A.; Martínez-García, E.; Picazo, M.I.; Rubio, E.; Moreno-Ortego, J.L.; Bastida-López, F.; García-Izquierdo, C. A soil-quality index for soil from Mediterranean forests. Eur. J. Soil Sci. 2019, 70, 1001–1011. [Google Scholar] [CrossRef]
- Rahmanipour, F.; Marzaioli, R.; Bahrami, H.A.; Fereidouni, Z.; Bandarabadi, S.R. Assessment of soil quality indices in agricultural lands of Qazvin Province, Iran. Ecol. Indic. 2014, 40, 19–26. [Google Scholar] [CrossRef]
- Qi, Y.; Darilek, J.L.; Huang, B.; Zhao, Y.; Sun, W.; Gu, Z. Evaluating soil quality indices in an agricultural region of Jiangsu Province, China. Geoderma 2009, 149, 325–334. [Google Scholar] [CrossRef]
- Andrews, S.S.; Karlen, D.L.; Cambardella, C.A. The soil management assessment framework: A quantitative soil quality evaluation method. Soil Sci. Soc. Am. J. 2004, 68, 1945–1962. [Google Scholar] [CrossRef]
- Nyéki, A.; Milics, G.; Kovács, A.J.; Neményi, M. Effects of soil compaction on cereal yield: A review. Cereal Res. Commun. 2017, 45, 1–22. [Google Scholar] [CrossRef]
- Saña, J.; More, J.; Cohi, A. La Gestión de la Fertilidad de los Suelos; Ministerio de Agricultura, Pesca y Alimentación: Madrid, Spain, 1996; 277p.
- Stellacci, A.M.; Castellini, M.; Diacono, M.; Rossi, R.; Gattullo, C.E. Assessment of soil quality under different soil management strategies: Combined use of statistical approaches to select the most informative soil physico-chemical indicators. Appl. Sci. 2021, 11, 5099. [Google Scholar] [CrossRef]
- Nautiyal, P.; Rajput, R.; Pandey, D.; Arunachalam, K.; Arunachalam, A. Role of glomalin in soil carbon storage and its variation across land uses in temperate Himalayan regime. Biocatal. Agric. Biotechnol. 2019, 21, 101311. [Google Scholar] [CrossRef]
- Černý, J.; Balík, J.; Suran, P.; Sedlář, O.; Procházková, S.; Kulhánek, M. The content of soil glomalin concerning selected indicators of soil fertility. Agronomy 2024, 14, 1731. [Google Scholar] [CrossRef]
- Mijangos-Amezaga, I.; Muguerza-Elustondo, E.; Garbisu-Crespo, C.; Anza-Hortala, M.; Epelde-Sierra, L. Tarjetas de salud para la evaluación de la sostenibilidad agrícola. Span. J. Soil Sci. 2016, 6, 15–20. [Google Scholar]
- Menta, C.; Conti, F.D.; Pinto, S. Microarthropods biodiversity in natural, seminatural and cultivated soils—QBS-ar approach. Appl. Soil Ecol. 2018, 123, 740–743. [Google Scholar] [CrossRef]
- Mukherjee, A.; Lal, R. Comparison of soil quality index using three methods. PLoS ONE 2014, 9, e105981. [Google Scholar] [CrossRef] [PubMed]
- Dengiz, O.; İç, S.; Saygın, F.; İmamoğlu, A. Assessment of soil quality index for tea cultivated soils in ortaçay micro catchment in Black Sea Region. J. Agric. Sci. 2020, 26, 42–53. [Google Scholar] [CrossRef]
- Yan, Z.; Chu, J.; Nie, J.; Qu, X.; Sánchez-Rodríguez, A.R.; Yang, Y.; Pavinato, P.S.; Zeng, Z.; Zang, H. Legume-based crop diversification with optimal nitrogen fertilization benefits subsequent wheat yield and soil quality. Agric. Ecosyst. Environ. 2024, 374, 109171. [Google Scholar] [CrossRef]
- Hammer, D.A.T.; Ryan, P.D.; Hammer, Ø.; Harper, D.A.T. PAST: Paleontological Statistics Software Package for Education and Data Analysis. 2001. Available online: http://palaeo-electronica.org/2001_1/past/issue1_01.htm (accessed on 15 May 2025).
- Addinsoft. XLSTAT Software, version 2024.2.2.1422; Addinsoft: Paris, France, 2024. Available online: https://www.xlstat.com (accessed on 15 May 2025).
- Busari, M.A.; Kukal, S.S.; Kaur, A.; Bhatt, R.; Dulazi, A.A. Conservation tillage impacts on soil, crop and the environment. Int. Soil Water Conserv. Res. 2015, 3, 119–129. [Google Scholar] [CrossRef]
- Jia, J.; Zhang, J.; Li, Y.; Koziol, L.; Podzikowski, L.; Delgado-Baquerizo, M.; Wang, G.; Zhang, J. Relationships between soil biodiversity and multifunctionality in croplands depend on salinity and organic matter. Geoderma 2023, 429, 116273. [Google Scholar] [CrossRef]
- Cañasveras, J.C.; Barrón, V.; Del Campillo, M.C.; Torrent, J.; Gómez, J.A. Estimation of aggregate stability indices in Mediterranean soils by diffuse reflectance spectroscopy. Geoderma 2010, 158, 78–84. [Google Scholar] [CrossRef]
- Thapa, B.; Mowrer, J. Soil carbon and aggregate stability are positively related and increased under combined soil amendment, tillage, and cover cropping practices. Soil Sci. Soc. Am. J. 2024, 88, 730–744. [Google Scholar] [CrossRef]
- Acharya, P.; Ghimire, R.; Idowu, O.J.; Shukla, M.K. Cover cropping enhanced soil aggregation and associated carbon and nitrogen storage in semi-arid silage cropping systems. Catena 2024, 245, 108264. [Google Scholar] [CrossRef]
- Dai, W.; Feng, G.; Huang, Y.; Adeli, A.; Jenkins, J.N. Influence of cover crops on soil aggregate stability, size distribution and related factors in a no-till field. Soil Tillage Res. 2024, 244, 106197. [Google Scholar] [CrossRef]
- Ren, L.; Vanden Nest, T.; Ruysschaert, G.; D’Hose, T.; Cornelis, W.M. Short-term effects of cover crops and tillage methods on soil physical properties and maize growth in a sandy loam soil. Soil Tillage Res. 2019, 192, 76–86. [Google Scholar] [CrossRef]
- Logsdon, S.D.; Karlen, D.L. Bulk density as a soil quality indicator during conversion to no-tillage. Soil Tillage Res. 2004, 78, 143–149. [Google Scholar] [CrossRef]
- Lampurlanés, J.; Cantero-Martínez, C. Soil bulk density and penetration resistance under different tillage and crop management systems and their relationship with barley root growth. Agron. J. 2003, 95, 526–536. [Google Scholar] [CrossRef]
- Pais, I.P.; Moreira, R.; Semedo, J.N.; Ramalho, J.C.; Lidon, F.C.; Coutinho, J.; Maçãs, B.; Scotti-Campos, P. Wheat crop under waterlogging: Potential soil and plant effects. Plants 2022, 12, 149. [Google Scholar] [CrossRef] [PubMed]
- Oliveira, E.M.; Wittwer, R.; Hartmann, M.; Keller, T.; Buchmann, N.; van der Heijden, M.G. Effects of conventional, organic and conservation agriculture on soil physical properties, root growth and microbial habitats in a long-term field experiment. Geoderma 2024, 447, 116927. [Google Scholar] [CrossRef]
- Liebhard, G.; Klik, A.; Neugschwandtner, R.W.; Nolz, R. Effects of tillage systems on soil water distribution, crop development, and evaporation and transpiration rates of soybean. Agric. Water Manag. 2022, 269, 107719. [Google Scholar] [CrossRef]
- Franzluebbers, A.J. Soil organic matter stratification ratio as an indicator of soil quality. Soil Tillage Res. 2002, 66, 95–106. [Google Scholar] [CrossRef]
- Obalum, S.E.; Chibuike, G.U.; Peth, S.; Ouyang, Y. Soil organic matter as sole indicator of soil degradation. Environ. Monit. Assess. 2017, 189, 176. [Google Scholar] [CrossRef]
- Kelly, C.; Schipanski, M.E.; Tucker, A.; Trujillo, W.; Holman, J.D.; Obour, A.K.; Johnson, S.K.; Brummer, J.E.; Haag, L.; Fonte, S.J. Dryland cover crop soil health benefits are maintained with grazing in the US High and Central Plains. Agric. Ecosyst. Environ. 2021, 313, 107358. [Google Scholar] [CrossRef]
- Guo, Z.; Wang, Y.; Wan, Z.; Zuo, Y.; He, L.; Li, D.; Yuan, F.; Wang, N.; Liu, J.; Song, Y.; et al. Soil dissolved organic carbon in terrestrial ecosystems: Global budget, spatial distribution and controls. Glob. Ecol. Biogeogr. 2020, 29, 2159–2175. [Google Scholar] [CrossRef]
- Blanco-Canqui, H.; Jasa, P.; Ferguson, R.B.; Slater, G. Cover crops and deep-soil C accumulation: What does research show after 10 years? Soil Sci. Soc. Am. J. 2024, 88, 2167–2180. [Google Scholar] [CrossRef]
- Liu, X.; Wu, X.; Liang, G.; Zheng, F.; Zhang, M.; Li, S. A global meta-analysis of the impacts of no-tillage on soil aggregation and aggregate-associated organic carbon. Land Degrad. Dev. 2021, 32, 5292–5305. [Google Scholar] [CrossRef]
- Balík, J.; Suran, P.; Černý, J.; Sedlář, O.; Kulhánek, M.; Procházková, S. Soil organic matter quality and glomalin-related soil protein content in Cambisol. Agronomy 2025, 15, 745. [Google Scholar] [CrossRef]
- Huang, B.; Yan, G.; Liu, G.; Sun, X.; Wang, X.; Xing, Y.; Wang, Q. Effects of long-term nitrogen addition and precipitation reduction on glomalin-related soil protein and soil aggregate stability in a temperate forest. Catena 2022, 214, 106284. [Google Scholar] [CrossRef]
- Mumu, N.J.; Ferdous, J.; Riza, I.J.; Jahiruddin, M.; Islam, K.R.; Bell, R.W.; Jahangir, M. Glomalin as a Soil Quality Indicator in Long-Term Agricultural Practices. SSRN 2024, 4961851. [Google Scholar] [CrossRef]
- Ji, L.; Chen, X.; Huang, C.; Tan, W. Arbuscular mycorrhizal hyphal networks and glomalin-related soil protein jointly promote soil aggregation and alter aggregate hierarchy in Calcaric Regosol. Geoderma 2024, 452, 117096. [Google Scholar] [CrossRef]
- Purin, S.; Rillig, M.C. The arbuscular mycorrhizal fungal protein glomalin: Limitations, progress, and a new hypothesis for its function. Pedobiologia 2007, 51, 123–130. [Google Scholar] [CrossRef]
- Lehmann, A.; Rillig, M.C. Understanding mechanisms of soil biota involvement in soil aggregation: A way forward with saprobic fungi? Soil Biol. Biochem. 2015, 88, 298–302. [Google Scholar] [CrossRef]
- Hurisso, T.T.; Moebius-Clune, D.J.; Culman, S.W.; Moebius-Clune, B.N.; Thies, J.E.; van Es, H.M. Soil protein as a rapid soil health indicator of potentially available organic nitrogen. Agric. Environ. Lett. 2018, 3, 180006. [Google Scholar] [CrossRef]
- Magurran, A.E. Ecological Diversity and Its Measurement, 3rd ed.; Springer: Dordrecht, The Netherlands, 2013. [Google Scholar]
- Lindberg, N.; Bengtsson, J. Population responses of oribatid mites and collembolans after drought. Appl. Soil Ecol. 2005, 28, 163–174. [Google Scholar] [CrossRef]
- Lupardus, R.C.; Battigelli, J.P.; Janz, A.; Lumley, L.M. Can soil invertebrates indicate soil biological quality on well pads reclaimed back to cultivated lands? Soil Tillage Res. 2021, 213, 105082. [Google Scholar] [CrossRef]
- Coulibaly, S.F.; Coudrain, V.; Hedde, M.; Brunet, N.; Mary, B.; Recous, S.; Chauvat, M. Effect of different crop management practices on soil Collembola assemblages: A 4-year follow-up. Appl. Soil Ecol. 2017, 119, 354–366. [Google Scholar] [CrossRef]
- Liu, Y.; Song, L.; Wu, D.; Ai, Z.; Xu, Q.; Sun, X.; Chang, L. No tillage increases soil microarthropod (Acari and Collembola) abundance at the global scale. Soil Ecol. Lett. 2024, 6, 230208. [Google Scholar] [CrossRef]
- Gulvik, M.E. Mites (Acari) as indicators of soil biodiversity and land use monitoring: A review. Appl. Soil Ecol. 2007, 41, 347–357. [Google Scholar]









| Parameters | Unit | Protocol | Reference |
|---|---|---|---|
| Field capacity (FC) | m3/m3 | Gravimetric with oven drying method | Allen et al. (1998) [24] |
| Soil aggregate stability (SAS) | % | Wet sieving | Kemper and Koch (1996) [25] |
| Bulk density (BD) | g/cm3 | Cylinder method | Blake and Hartge (1986) [26] |
| pH | 1:2.5 | (w:v) soil–water suspension | Soil Survey Laboratory (1992) [27] |
| Electrical conductivity (EC) | dS/m | (w:v) soil–water suspension | Soil Survey Laboratory (1992) [27] |
| Total organic matter (TOM) | g/kg | Calcination | Heiri et al. (2001) [28] |
| Oxidizable organic matter (OxOM) | g/kg | Wet oxidation method | Walkley and Black (1934) [29] |
| Dissolved organic matter (DOM) | g/kg | 1:5 aqueous extract and wet oxidation | Ghani et al. (2003) [30] |
| Glomalin (T-GRSP, EE-GRSP, and R-GRSP) | g/kg | Bradford method | Wright and Upadhyaya (1996) [31] |
| Parameters | Function Type | a1 | a2 | b1 | b2 | Standard Scoring Function | Reference |
|---|---|---|---|---|---|---|---|
| pH | Parabolic membership function | 4.5 | 9 | 5.5 | 8.9 | Soil Survey Laboratory (1992) [27] | |
| BD | 1.39 | 1.76 | 1.40 | 1.75 | Nyéki et al. (2016) [38] | ||
| SAS | S-shaped membership function | 40 | - | 98 | - | Kemper and Koch (1996) [25] | |
| FC | 0.20 | - | 0.30 | - | Allen et al. 1998 [24] | ||
| TOM | 10 | - | 60 | - | Heiri et al. (2001) [28] | ||
| OxOM | 10 | - | 35 | - | Saña et al. (1996) [39] | ||
| DOM | 2.8 | - | 10.25 | - | Stellacci et al. (2021) [40] | ||
| T-GRSP | 1.3 | - | 4 | - | Nautiyal et al. (2019) [41] | ||
| EE-GRSP | 0.13 | - | 0.87 | - | Černý et al. (2024) [42] | ||
| EC | Inverse S-shaped membership function | 2 | - | 0 | - | Soil Survey Laboratory (1992) [27] |
| CT | NT | TF | |||||
|---|---|---|---|---|---|---|---|
| 60 DDS | 90 DDS | 60 DDS | 90 DDS | 60 DDS | 90 DDS | p-Value | |
| Shannon index | 1.67 ± 0.18 | 1.20 ± 1.35 | 1.40 ± 1.83 | 0.91 ± 1.41 | 1.58 ± 0.14 | 1.03 ± 0.14 | 0.94 |
| Species richness | 6.00 ± 1.35 | 9.00 ± 1.35 | 8.00 ± 1.14 | 6.00 ± 1.33 | 4.00 ± 0.82 | 7.00 ± 0.97 | 0.38 |
| Pielou’s index | 0.65 ± 0.20 | 0.38 ± 1.43 | 0.47 ± 1.82 | 0.35 ± 0.89 | 0.79 ± 0.18 | 0.37 ± 0.10 | 0.77 |
| 60 DDS | 90 DDS | |||
|---|---|---|---|---|
| 0–6 cm | 0–20 cm | 0–6 cm | 0–20 cm | |
| pH | 0.35 | 0.43 | 0.47 | 0.42 |
| EC | 0.40 | 0.43 | 0.47 | 0.29 |
| SAS | 0.17 | 0.43 | 0.12 | 0.10 |
| DOM | 0.40 | 0.18 | - | 0.29 |
| TOM | 0.35 | 0.38 | 0.47 | 0.42 |
| OxOM | 0.35 | 0.38 | 0.26 | 0.19 |
| BD | 0.40 | - | 0.15 | - |
| FC | 0.40 | 0.38 | 0.15 | 0.42 |
| T-GRSP | 0.35 | - | 0.26 | - |
| EE-GRSP | 0.40 | 0.18 | - | 0.10 |
| Mesofauna | 0.17 | - | 0.26 | - |
Disclaimer/Publisher’s Note: The statements, opinions and data contained in all publications are solely those of the individual author(s) and contributor(s) and not of MDPI and/or the editor(s). MDPI and/or the editor(s) disclaim responsibility for any injury to people or property resulting from any ideas, methods, instructions or products referred to in the content. |
© 2025 by the authors. Licensee MDPI, Basel, Switzerland. This article is an open access article distributed under the terms and conditions of the Creative Commons Attribution (CC BY) license (https://creativecommons.org/licenses/by/4.0/).
Share and Cite
Quintana-Esteras, S.; Martí, C.; Ortiz, O.; Badía, D. Short-Term Effects of Mustard (Sinapis alba L.) Cover Crop on Soil Quality in a Maize Production System. Sustainability 2025, 17, 5949. https://doi.org/10.3390/su17135949
Quintana-Esteras S, Martí C, Ortiz O, Badía D. Short-Term Effects of Mustard (Sinapis alba L.) Cover Crop on Soil Quality in a Maize Production System. Sustainability. 2025; 17(13):5949. https://doi.org/10.3390/su17135949
Chicago/Turabian StyleQuintana-Esteras, Silvia, Clara Martí, Oriol Ortiz, and David Badía. 2025. "Short-Term Effects of Mustard (Sinapis alba L.) Cover Crop on Soil Quality in a Maize Production System" Sustainability 17, no. 13: 5949. https://doi.org/10.3390/su17135949
APA StyleQuintana-Esteras, S., Martí, C., Ortiz, O., & Badía, D. (2025). Short-Term Effects of Mustard (Sinapis alba L.) Cover Crop on Soil Quality in a Maize Production System. Sustainability, 17(13), 5949. https://doi.org/10.3390/su17135949

