Next Article in Journal
Advancing Phytoremediation: A Review of Soil Amendments for Heavy Metal Contamination Management
Previous Article in Journal
Cost Efficiency in Buildings: An Ontological Perspective for Sustainable Life Cycle Management
Previous Article in Special Issue
Firm-Level Carbon Productivity, Home Country Environmental Performance, and Firm Performance in the Exporting Meat Industry
 
 
Font Type:
Arial Georgia Verdana
Font Size:
Aa Aa Aa
Line Spacing:
Column Width:
Background:
Article

Simulation Analysis of the Three-Party Evolutionary Game of Green Housing Market Stakeholders Under Low-Carbon Policies

1
School of Civil Engineering, Central South University, Changsha 410018, China
2
College of Design and Engineering, National University of Singapore, Singapore 117566, Singapore
3
School of Management, Shenyang Jianzhu University, Shenyang 110168, China
4
School of Management, Shenyang University of Technology, Shenyang 110870, China
*
Author to whom correspondence should be addressed.
Sustainability 2025, 17(13), 5686; https://doi.org/10.3390/su17135686
Submission received: 26 May 2025 / Revised: 15 June 2025 / Accepted: 17 June 2025 / Published: 20 June 2025

Abstract

As an important part of green building, green housing (GH) has become a strategic priority in many countries. However, the market share of GH remains limited due to conflicting interests and divergent strategic choices among stakeholders. To address this challenge, various low-carbon policy tools, such as financial subsidies (FS), carbon taxes (CT), and carbon emissions trading (CET), have been introduced. Despite these efforts, the influence of low-carbon policies on stakeholders’ strategies remains inadequately understood. This study aims to bridge this research gap by constructing an evolutionary game model that incorporates the government, developers, and consumers while considering relevant policy factors. The model identifies evolutionary stable strategies (ESS) for each stakeholder. Then, based on MATLAB 2021b, several simulations are carried out for initial, development, mature, and stable stage. The simulation results show the dynamic changes in stakeholder behavior over time. This study also analyzes how key parameters affect the system’s evolution and puts forward suggestions from each stakeholder’s perspective. The results show that (1) consumer subsidies are more effective than those for developers. (2) Subsidies for developers cause more significant financial pressure on governments than subsidies for consumers. (3) The CET policy helps developers adopt GH more quickly. (4) Proper CT promotes developers to make greener choices. (5) Reducing the difference between green and traditional housing supports the stable development of the GHM. This study offers theoretical insights to guide stakeholder decision-making and provides practical recommendations for government aiming to play a role in fostering GHM development.

1. Introduction

In global socio-economic activities, the construction industry represents the largest share of resource consumption and environmental burden [1,2]. According to the Global Status Report on Buildings and Construction (2022) [3] issued by the Global Architecture Alliance, buildings accounted for 37% of global CO2 emissions in 2021. In the context of the “two-carbon” strategy, energy conservation and carbon reduction in the building industry has become a critical strategic priority. Green building provides a solution to the challenge by promoting energy, water, land, and material conservation while enhancing environmental quality and human well-being [4,5,6,7]. As a subset of green building, green housing (GH) minimizes environmental impact and improves residential comfort, health, and sustainability [8,9,10].
Despite policy attention and technological advance, the market penetration of GH remains limited [11,12,13]. It is not only caused by technical problems or limited funding, but also by a deeper issue: the goals of governments, developers, and consumers are not well aligned. Governments aim to promote green housing to achieve both environmental and social benefits [14]. However, developers hesitate due to the higher initial costs, uncertain profits, and potential involvement with stringent regulations [15] Meanwhile, although many consumers express interest in environmentally friendly residences, their willingness to adopt GH may be constrained by higher purchase prices and a lack of awareness of the long-term benefits [16]. They may prefer cheaper traditional residences over the green ones, even though the latter can save on long-term energy and resources.
Due to the differing objectives of governments, developers, and consumers, the green housing market frequently underperforms. While policies such as financial subsidies (FS), carbon taxes (CT), and carbon emissions trading (CET) have been implemented, their impacts are not evident. One reason for this is that policymakers lack a comprehensive understanding of how each stakeholder group will respond to the proposed policy. Despite the lack of direct interactions between developers and consumers, their decisions still exert a mutual influence on one another. For instance, government subsidies can influence developers’ decisions regarding the construction of GH, potentially leading to price fluctuations that affect consumer purchasing decisions. These indirect effects are neglected in traditional research and policy formulation.
Existing literature on the GHM mainly focuses on the green building design and construction technology, energy efficiency and energy-saving innovation, policy and regulatory systems, market acceptance, economic feasibility analysis and cost-benefit assessment, market performance and asset value, environmental benefits, and social impact assessment [10,17,18,19,20,21]. Although these studies have provided important theoretical foundations and practical guidance for the industry’s development, there are still significant research gaps. Firstly, most existing literature adopts a static analysis framework, failing to fully capture the complex strategic interaction relationships among various stakeholders (i.e., government, developers, and consumers) in the GHM [22]. Secondly, there is a lack of dynamic tracking of market stakeholders’ decision-making behavior evolution process, mainly ignoring the adaptive learning mechanism of strategy adjustment of each participant under the influence of exogenous variables such as changes in the policy environment, technological progress, and the improvement of market maturity. Evolutionary game theory provides a new analytical perspective to address these research gaps [23]. It emphasizes that participants optimize their strategy choices through ongoing information exchange and experience learning [24]. This dynamic analysis framework is particularly suitable for depicting the long-term evolutionary characteristics of multi-agent participation in the GHM.
Compared with previous studies that primarily use static models or focus on two-party interactions, this study introduces a tripartite evolutionary game model. This approach allows us to model how stakeholder behaviors evolve across different market stages under various low-carbon policy tools. It provides a dynamic framework for analyzing the development process of the GHM. The remainder of this study is organized as follows: Section 2 is the literature review. Section 3 describes the research methodology and constructs the evolutionary game model. Section 4 shows the simulation results for various stages. Section 5 discusses the results, and this study is summarized in Section 6.

2. Literature Review

The GHM has been studied from various academic perspectives, focusing on technological, economic, behavioral, and policy dimensions. These studies offer valuable insights into how GH can contribute to sustainable urban development. However, several research gaps remain unaddressed.
Technological innovation and energy efficiency have received substantial attention. Zhang et al. (2018) reviewed technical pathways for green building adoption in China [11], while Guo et al. (2022) analyzed the environmental benefits of using recycled materials across the building life cycle [23]. These studies highlight the significance of low-carbon construction techniques and material innovations in the GHM.
Scholars have explored the economic performance and pricing mechanisms of GH. Deng et al. (2012) showed that energy-efficient housing in Singapore yields measurable economic returns [17]. Oyedokun (2017) has shown that green-labeled buildings yield higher sales and rental returns, a phenomenon referred to as the “green premium,” which may drive investment but remains less established in developing countries [25]. However, the price premium reveals a mismatch between demand and limited supply, necessitating policy intervention to correct market failures.
Research on stakeholders’ behavior has emphasized various roles in GHM. The government plays a regulatory role by enforcing green building standards and promoting public awareness of the environmental benefits of GH [23]. Developers adjust strategies in response to market demand and consumer preferences. Moreover, consumer preferences not only influence purchasing decisions but can also exert indirect pressure on developers and real estate agents to adopt green practices [26].
Despite increasing public awareness, the development of the GHM remains hindered by multiple barriers. For developers, the construction cost of GH is higher than that of ordinary housing [27]. For consumers, the transaction price of GH is higher than that of traditional commercial or residential properties [4,28]. These challenges make significant barriers to the large-scale promotion and adoption of GH [29]. Empirical studies offer further insight into this disconnect between preference and behavior. Portnov et al. (2018) found that Israeli consumers are more likely to pay a premium for GH when environmental knowledge and awareness are high [5]. In the Chinese context, Zhao et al. (2023) used system dynamics to demonstrate that while consumers are interested in GH, higher transaction costs hinder purchases [13]. It illustrates that strong consumer preferences do not translate into proportional market outcomes without good policy mechanisms.
To address these challenges, the government has adopted a series of policy tools, including FS, CT, and CET [30,31]. He and Chen (2021) found that the incentive effect of subsidizing consumers is better than that of subsidizing developers [8]. Ma et al. (2022) pointed out that consumer subsidies enhance developer profitability, while developer subsidies yield greater carbon reduction [32]. However, Park (2015) proposed that FSs would make enterprises dependent, which is not conducive to the sustainable development of enterprises [33]. Gao et al. (2022) believed that the gradual elimination of subsidy policies can help the development of green buildings [31]. With growing emphasis on carbon reduction and the limitations of subsidy-based incentives, researchers have paid their attention to CT and CET [34]. Du et al. (2021) and Yao et al. (2022) argued that combining dynamic subsidies with static carbon pricing yields optimal policy effects [35,36]. By internalizing environmental externalities, CET offer developers more flexible low-carbon paths [12].
However, there are two critical research gaps. One the one hand, most studies employ static frameworks that fail to reflect how key stakeholders interact under evolving market and policy conditions [37]. Real-world GHM development involves repeated feedback, learning, and adaptation. Second, few studies consider how stakeholder behavior evolves across different phases of market development.
Recent research has increasingly adopted evolutionary game theory to analyze the dynamic interactions among multiple stakeholders [2,38]. Table 1 summarizes representative studies using it in the context of green building development. These studies typically explore two- or three-player strategic relationships, such as government and developers [39], developers and consumers [36], developers and developers [12], and government, developers, and consumers [40]. A three-party evolutionary game model is particularly suitable for exploring the strategic evolution among governments, developers, and consumers responding to various policy tools.
Existing studies mainly explore the development of the GHM from the perspective of FS, CT, and CET, which provides the research basis for this study [1,43]. However, the existing research focuses on analyzing FS policy, FS and CT policies, and FS and CET policies, and it remains silent in the research about low-carbon policies. In addition, scholars mainly study the initial stage of GH, ignoring the dynamic changes of industrial development. The product life cycle theory emphasizes that as time goes by, the cumulative number or proportion of innovation adopters increases slowly at the beginning, then rapidly, and finally flattens out with the emergence of saturation and maturity [42,44]. Therefore, it is necessary to supplement the research on the development of the green building market in different stages.
In summary, previous studies have provided a solid foundation for understanding how different stakeholders interact in the GHM. However, they keep silent on the dynamic perspective of how these interactions change, especially when multiple policy tools are involved, such as financial subsidies, carbon taxes, and carbon trading. This study introduces a new evolutionary game model based on the product life cycle of the green housing market. It offers new perspectives on how policy effects vary at different stages of market development.

3. Methodology

3.1. Problem Raising

The reason for modeling government, developers, and consumers together is that their decisions are closely linked. Although they do not interact directly, their choices affect each other through market signals and policy changes. For example, a government subsidy lowers the costs for developers, which can affect housing prices and influence consumer purchasing decisions. In turn, consumer demand shapes future government policies and developer plans.
GH exhibits positive externalities (i.e., environmental benefits) and negative ones (i.e., information asymmetry), requiring targeted incentives and robust regulation to guide development. The authors conclude that the primary governmental measures supporting the GHM encompass financial subsidies for both developers and consumers, carbon taxation mechanisms, and carbon emission trading policies. Consequently, this study integrates these measures into an evolutionary game model to investigate their impacts on the development of the GHM. The framework of this study is illustrated in Figure 1.
This study employs stakeholder theory and evolutionary game theory as the primary frameworks. A tripartite evolutionary game model is developed to simulate the dynamic strategies of governments, developers, and consumers under the influence of financial subsidies, carbon taxes, and carbon emissions trading. While these policy tools differ in nature, they are used in combination to address different leverage points in carbon mitigation. In this study, each tool is incorporated into the model through separate payoff paths, reflecting specific economic roles. FS reduces effective costs for stakeholders. CT imposes a penalty per unit of excess emissions. CET creates an opportunity for developers to trade emission rights depending on carbon intensity relative to government quotas. The modeling strategy facilitates us to identify the interaction effects of diverse policy tools on stakeholder behavior within a unified framework.
Secondly, the dynamic evolution of stakeholder strategies is analyzed across four stages of market development: initial, development, mature, and stable. Specifically, the model tracks how governments decide whether to implement regulatory interventions, how developers choose between constructing green and traditional housing, and how consumers decide whether to purchase GH. These strategy choices evolve as stakeholders respond to shifting policy environments and market conditions.
Finally, this study explores how changes in key parameters influence the behavior of stakeholders over time in the mature stage. The findings enhance the application of stakeholder theory and evolutionary game theory in the context of GH. They also offer practical guidance for governments, developers, and consumers, supporting the sustainable and high-quality growth of the GHM.

3.2. Basic Assumptions

To construct the game model, and analyze the stability of the strategies and equilibrium points of each party and the influence relationship of each factor, the following assumptions are made:
Assumption 1.
The government is player 1, the developer is player 2, and the consumer is player 3. The three parties are participants with bounded rationality, and their decisions are based on the maximization of interests. The three parties continue to learn from each other, and their strategy selection gradually evolves and becomes stable to the optimal strategy over time [12].
Assumption 2.
The government’s strategy space α = (α1, α2) = (regulate, do not regulate), and chooses α1 with probability x and α2 with probability (1 − x), x ∈ [0, 1]; the strategy space of developers is β = (β1, β2) = (build GH, build OH), and the probability of choosing β1 is y, and the probability of choosing β2 is (1 − y), y ∈ [0, 1]. The consumer’s strategy space γ = (γ1, γ2) = (buy housing, do not buy housing) and chooses γ1 with probability z and γ2 with probability (1 − z), z ∈ [0, 1].

3.3. Model Parameters

This study only considers the carbon quota trading within residential developers but does not consider the carbon quota trading of other industries and building types. The carbon emissions of developers when they build ordinary houses are EO, and the carbon emissions when they build GH are EG, and the difference between the two is E = EO − EG. Define E as the green gap, reflecting the green efforts made by the developer to reduce carbon emissions. ET is the carbon emission amount distributed free of charge by the government to enterprises within the jurisdiction [40]. When the developer’s emissions are greater than ET, the enterprise needs to purchase emissions in the CET market; when the emission of the developer is less than ET, the developer can sell the excess CET right in the market [40]. The unit CET price P is determined by the market.
In this study, the cost of developers to develop OH is CDO. Assuming that there is a quadratic relationship between incremental cost and green gap [8], the incremental cost to develop GH is φE2, and φ is the incremental cost coefficient. The incremental cost of constructing green buildings includes the investment in applying or upgrading low-carbon technologies [12]. The direct benefit to the developer of building an ordinary house is RDO and the incremental benefit is RDIR. This study assumes that RDO > CDO.
The cost of consumers buying ordinary buildings is CCO, and the incremental cost paid by consumers buying GH is passed on by the incremental cost of developers building GH, which is denoted as (1 + r)φE2, where r represents the pricing rate of real estate developers. The benefit brought by consumers buying ordinary houses is RCO, and the incremental benefit is RCIR. Incremental benefits are the economic benefits of energy and water savings through the use of green buildings [40]. Potential benefits include consumer satisfaction and comfort of green buildings [40]. This study assumes that RCO > CCO.
Only under government regulation can subsidies be provided to developers and consumers of GH [35]. The government gives a certain cost subsidy, bφE2, to the developers who build GH, and the developers who choose ordinary houses will not get the cost compensation from the local government. It is revealed that the subsidy amount may be affected by the FS coefficient b, the cost coefficient φ, and the green gap E. The government gives an FS to consumers who buy GH, GOS. Similarly, CT can be levied on developers at a tax rate of T only when the government regulates [35].
The economic and social benefits brought by the construction of GH to the government are RGN, while the construction of ordinary houses will bring negative environmental benefits, and the government needs to pay RGE for environmental governance.
Due to market immaturity or other constraints, when consumers choose not to buy, developers will bear the loss of unsold goods, and the loss of unsold goods is a function linearly related to the respective construction costs. μ is the unsalable coefficient of housing built by developers. The symbols and definitions of the parameters are shown in Table 2.

3.4. Revenue Matrix

Combined with the above relevant assumptions and model parameters, the revenue matrix of governments, developers, and consumers is constructed, as shown in Table 3.

3.5. Stability Analysis

3.5.1. Policy Stability Analysis of Governments

The expected income of government regulation or unregulated and average expected returns ( I 11 , I 12 , I 1 ¯ ) are, respectively, as follows:
I 11 = y z R G N + T E G G O S b φ E 2 + y 1 z R G N + T E G b φ E 2 + 1 y z R G E + T E O + 1 y 1 z R G E + T E O I 12 = y z R G N + y 1 z R G N + 1 y z R G E + 1 y 1 z R G E   I 1 ¯ = x I 11 + 1 x I 12
The dynamic equation of the government policy selection is
F x = d x / d t = x I 11 I 1 ¯ = x 1 x I 11 I 12 = x x 1 y z G O S + b φ E 2 + T E T E O
The first derivative of x and the set of G(y) are
d F x / d x = 2 x 1 y z G O S + b φ E 2 + T E O E G T E O
G y = y z G O S + b φ E 2 + T E O E G T E O
According to the stability theorem of differential equations, the probability of government selection regulation must be satisfied: F(x) = 0 and d(F(x))/dx < 0. ∂G(y)/∂y > 0, G(y) is an increasing function. Therefore, when y = TEO/(ZGOS + bφE2 + T(EO − EG)) = y*, G(y) = 0, d(F(x))/dx < 0, the government is not determined to determine the stable strategy. When y < y*, G(y) < 0, d(F(x))/dx|x=1 < 0, the x = 1 is the evolution stability strategy. Conversely, the x = 0 is the evolutionary stability strategy. Figure 2 is the government’s strategic evolution phase diagram.
Figure 2 shows that the volume of A1 represents the probability of government regulation and the volume of A2 represents the probability of government non-regulation. It is calculated as follows:
V A 1 = 0 1 0 1 T E O / z G O S + b φ E O E G 2 + T E O E G d x d z
V A 2 = 1 V A 1
Proposition 1.
The probability of government regulation is positively correlated with taxes, and negatively correlated with government subsidies to consumers, subsidies to developers, cost coefficient of developers, carbon emissions of ordinary houses, and carbon emissions of GH.
According to the government regulation probability VA1 expression of the elements of a first order partial derivative, GOS/(bφ(EO − EG)2 + T(EO − EG) + GOS) < ln(1 + GOS)/((bφ(EO − EG)2 + T(EO − EG)) < GOS/((bφ(EO − EG)2 + T(EO − EG)), ∂VA1/∂GOS < 0, ∂VA1/∂T > 0, ∂VA1/∂b < 0, ∂VA1/∂φ < 0, ∂VA1/∂EO < 0 (s.t.bφ(EO − EG)2 < TEG + 2bφEO), ∂VA1/∂EG < 0. Therefore, when bφ(EO − EG)2 < TEG + 2bφEO, EO increases and VA1 decreases. At the same time, the increase in T or the decrease in GOS, b, φ, EO, and EG can increase the probability of government regulation.
Proposition 2.
In the evolution process, the probability of government regulation decreases with the increase in the probability of developers developing GH or the probability of consumers purchasing housing.
According to the analysis of the evolutionary stability of the government’s strategy choice, when y < y*, z < −(ybφE2) + yT(EO − EG) − TEO)/yGOS, x = 1 is the evolutionary stable strategy. Conversely, x = 0 is an evolutionarily stable strategy (ESS). Therefore, with the increase in y and z, the probability of government regulation decreases from x = 1 to x = 0.

3.5.2. Policy Stability Analysis of Developers

The developer’s expected revenue and average expected revenue ( I 21 , I 22 , I 2 ¯ ) are as follows:
I 21 = x z R D O + R D I R + b φ E 2 + P E T E G C D O + φ E 2 T E G + x 1 z b φ E 2 + P E T E G C D O + φ E 2 T E G u C D O + φ E 2 + 1 x z R D O + R D I R C D O + φ E 2 + 1 x 1 z C D O + φ E 2 u C D O + φ E 2 I 22 = x z R D O P E O E T C D O T E O + x 1 z P E O E T C D O T E O u C D O + 1 x z R D O C D O + 1 x 1 z C D O u C D O I 2 ¯ = y I 11 + 1 y I 12
The replication dynamic equation of developers’ strategy selection is as follows:
F y = d y / d t = y I 21 I 2 ¯ = y 1 y I 21 I 22 = y ( y 1 ) x b φ E 2 + P + T E + 1 + z 1 u φ E 2 + z R D I R
The first derivative of y and the set G(x) are, respectively, as follows:
d F y / d y = ( 2 y 1 ) x φ E 2 + P + T E + 1 + z 1 u φ E 2 + z R D I R
Q x = x b φ E 2 + P + T E + 1 + z 1 u φ E 2 + z R D I R
According to the stability theorem of differential equations, the probability of the developer choosing GH in the steady state must satisfy F(y) = 0 and d(F(y))/dy < 0.
∂Q(x)/∂x < 0, so Q(x) is a decreasing function. Therefore, when x = ((1 − (z − 1)μ)φE2 − zRDIR)/(bφE2 + (P + T)E) = x*, Q(x) = 0, d(F(x))/dx = 0, developers cannot determine the stable strategy; when x < x*, Q(x) > 0, y = 0 is an ESS. Otherwise, y = 1 is an ESS. Figure 3 is the developer’s strategic evolution phase diagram.
Figure 3 shows that the volume of B1 represents the probability that the developer develops OH, and the volume of B2 represents the probability that the developer develops GH. It is calculated as follows:
V A 1 = 0 ( u + 1 ) φ E 2 / u φ E 2 + R D I R 0 1 1 z 1 u φ E 2 z R D I R / b φ E 2 + P + T E d y d z
V A 2 = 1 V A 1
Proposition 3.
The probability of developers developing ordinary houses is positively correlated with the carbon emission difference of GH, the cost coefficient of GH, and the unsalable coefficient of GH, and negatively correlated with the incremental revenue of GH, the carbon rate, the government subsidy for developers to develop GH, and the carbon price.
According to the expression of the probability VA1 of the developer to develop OH, the first partial derivative of each element is obtained, ∂VA1/∂E > 0, ∂VA1/∂φ > 0, ∂VA1/∂μ > 0 (s.t. (μ − 1)φE2 + 2RDIR > 0), ∂VA1/∂RDIR < 0, ∂VA1/∂T < 0, ∂VA1/∂b < 0, ∂VA1/∂P < 0. Therefore, ∂μ > 0 (s.t. (μ − 1)φE2 + 2RDIR > 0, μ increases, which can increase VA1. At the same time, the increase in E, φ, and μ or the decrease in RDIR, T, b, and P can increase the probability of developers developing ordinary houses.
Proposition 4.
In the evolution process, the probability of developers developing OH increases with the increase in the probability of government regulation or the probability of consumers purchasing housing.
According to the analysis of the evolutionary stability of the government’s strategy choice, when x < x*, z < −(E(xbφE − μφE + 2xP + xT)/(φE2 + RDIR), x = 0 is the evolutionarily stable strategy; conversely, x = 1 is an ESS. Therefore, with the increase in x and z, the probability of government regulation decreases from x = 1 to x = 0, so x increases with the increase in y and z.

3.5.3. Policy Stability Analysis of Consumers

The expected revenue of consumers and the average expected revenue ( I 31 , I 32 , I 3 ¯ ) are as follows:
I 31 = x y R C O + R C I R + G O S C C O + 1 + r φ E 2 + 1 x y R C O + R C I R C C O + 1 + r φ E 2 + x 1 y R C O C C O + 1 x 1 y R C O C C O I 32 = 0 I 3 ¯ = z I 31 + 1 z I 32
The replication dynamic equation of consumers’ strategy choice is as follows:
F z = d z / d t = z I 31 I 3 ¯ = z 1 z I 31 I 32 = z ( z 1 ) y 1 + r φ E 2 x G O S R C I R R C O C C O
The first derivative of z and H(y) are set as follows:
d F z / d z = ( 2 z 1 ) y 1 + r φ E 2 x G O S R C I R R C O C C O
H y = y 1 + r φ E 2 x G O S R C I R R C O C C O
According to the stability theorem of differential equations, the probability of consumers choosing to buy houses in the steady state must satisfy F(z) = 0 and d(F(z))/dz < 0.
∂H(y)/∂y > 0, so H(y) is an increasing function. Therefore, when y = (RCO − CCO)/((1 + r)φE2 − xGOS − RCIR) = x*, H(x) = 0, d(F(z))/dz = 0, the consumer is not sure that the developer can determine the strategy of the situation. When y < y*, H(x) < 0, d(F(z))/dz|z = 1 < 0, z = 0 is the evolutionary stability strategy. Conversely, z = 0 is the evolutionarily stable strategy.
Figure 4 is the consumer’s strategic evolution phase diagram.
Figure 4 shows that the volume of C1 represents the probability that a consumer will purchase a dwelling, and the volume of C2 represents the probability that a consumer will purchase a dwelling. It is calculated as follows:
V C 1 = 0 1 0 1 R C O C C O / 1 + r φ E 2 x G O S R C I R d x d z
V C 2 = 1 V C 1
Proposition 5.
The probability of a consumer purchasing a dwelling is positively related to the incremental benefit of a consumer purchasing a green dwelling, and negatively related to the same.
According to the expression of the probability VA1 of consumers not buying houses, the first partial derivatives of each element can be obtained, ∂VA1/∂RCO > 0, ∂VA1/∂CCO < 0, ∂VA1/∂r < 0, ∂VA1/∂RCIR > 0, ∂VA1/∂φ < 0, ∂VA1/∂E < 0, and ∂VA1/∂GOS > 0. Therefore, the increase in RCO, RCIR, and GOS or the decrease in CCO, r, φ, and E can increase the probability of consumers purchasing housing.
Proposition 6.
In the evolution process, the probability of consumers buying houses decreases with the increase in government regulation and the probability of developers developing GH.
According to the evolutionary stability analysis of consumers’ strategy choices, when y < y*, x < (yrφE2 + yφE2 − yRCIR + CCO − RCO)/yGOS, z = 1 is the evolutionarily stable strategy; conversely, z = 0 is an ESS. Therefore, with the increase in x and y, the probability of consumers purchasing housing decreases from z = 1 to z = 0, so there is a decrease in z with the increase in x and y.

3.5.4. The Stability Analysis of the Equilibrium Point of the Evolutionary Game System

From F(x) = 0, F(y) = 0, and F(z) = 0, the eight pure strategy equilibrium points of the system can be determined: E1(0,0,0), E2(1,0,0), E3(0,1,0), E4(0,0,1), E5(1,1,0), E6(1,0,1), E7(0,1,1), and E8(1,1,1).
The Jacobian matrix of the three-party evolutionary game system is
J = F x x F x y F x z F y x F y y F y z F z x F z y F z z = J 11 J 12 J 13 J 21 J 22 J 23 J 31 J 32 J 33
According to Lyapunov’s system stability theory, when all the eigenvalues of J have negative real parts at some equilibrium point, the equilibrium point is the ESS of the game [45]. The eigenvalues of each equilibrium point are calculated by substituting each pure strategy equilibrium point into Equation (19). Table 4 lists the eigenvalues of the eight pure strategy equilibrium points.
TE0 > 0, RCO − CCO > 0, (μ + 1)φE2 > 0, so E1~E4 are unstable equilibrium points, and we only need to analyze the stable equilibrium of E5~E8. There are eigenvalues in E5~E8 that cannot be determined as positive or negative, and they need to be analyzed one by one. The product life cycle theory reflects the entire evolution and development process of an industry from introduction to stability. The equilibrium points E6, E5, E8, and E7 correspond to the initial stage, developmental stage, mature stage, and stable stage, respectively.
(1)
Initial stage
When E6(1,0,1) is a stable equilibrium point, the following condition must be satisfied:
1 b φ E 2 + P + T E + R D I R < 0
(2)
Developmental stage
When E6(1,1,0) is a stable equilibrium point, the following three conditions need to be satisfied:
b φ E 2 T E G < 0 R C O + R C I R + G O S C C O + 1 + r φ E 2 < 0 u + 1 b φ E 2 P + T E < 0
(3)
Mature stage
When E8(1,1,1) is a stable equilibrium point, the following three conditions must be satisfied:
b φ E 2 + G O S T E G < 0 R C O R C I R G O S + C C O + 1 + r φ E 2 < 0 1 b φ E 2 P + T E R D I R < 0
(4)
Stable stage
When E7(0,1,1) is a stable equilibrium point, the following three conditions need to be satisfied:
φ E 2 R D I R < 0 b φ E 2 G O S + T E G < 0 R C O R C I R + C C O + 1 + r φ E 2 < 0
In summary, when different conditions are satisfied, four equilibrium points that tend to be stable over time can be obtained.

4. Results

In order to visualize the dynamic strategy evolution of the three stakeholders during the development of the GHM, numerical simulations were carried out using MATLAB 2021b. Based on the industrial life cycle theory, the life cycle of GHM development is divided into the initial stage, developmental stage, mature stage, and stable stage. Section 4.1 simulates and analyzes the evolutionary stabilization strategies of GHM development at different stages by changing the parameter settings and forming different stability conditions. In Section 4.2, we discuss the impact of changes in the parameters of the EGM on the strategy choices of stakeholders.

4.1. Results of Dynamic Evolution of the Multi-Stage

To improve the external validity of the simulation model, this study combines empirical data with expert judgment when setting key parameters, as shown in Table 5. The initial values selected for the four stages are designed to meet the stability conditions of the corresponding equilibrium points described in Section 3.4.
Specifically, CET price P, tax rates T, carbon emissions level E G & E O , and housing sales prices C C O are based on publicly available sources, including the China Carbon Trading Network, the China Real Estate Statistical Yearbook (2022) [46], and relevant literature. Due to regional differences in carbon market development, the national average carbon price is used. In 2022, China’s national carbon market completed its second compliance cycle, with a trading volume of 50.89 million tons, a total turnover of RMB 2.814 billion, and an average price of RMB 45.61 per ton. Accordingly, the carbon price in the model is set at RMB 46/tCO2. The carbon tax rate is set at RMB 25/tCO2, based on Bi et al. [37]. For construction-related emissions, this study refers to data from the Low-Carbon Real Estate Project and existing studies. The life-cycle emissions of conventional housing are about 0.2 tCO2/m2 [47], while green buildings typically reduce emissions by 25% to 80% [48]. Thus, the carbon emissions of green buildings are set between 0.04 and 0.15 tCO2/m2. The average housing price is set at RMB 11,600/m2, in line with the 2022 average price reported in the China Real Estate Statistical Yearbook. The developer profit margin is set at 15%, which falls within the standard range (10–20%) issued by national tax authorities [1].
Some parameters, such as the subsidy coefficient b, cost coefficient φ, consumer subsidy G O S , and unsold housing rate μ, lack complete statistical data. To address this, we collected estimates through a semi-structured questionnaire distributed to 20 professionals in the green building field. These values represent commonly accepted industry views. To reduce the uncertainty caused by expert estimation, we also carried out a sensitivity analysis using a range of values for these parameters. This ensures the robustness and practical relevance of the simulation results.
Table 5. Variable initial value settings.
Table 5. Variable initial value settings.
Stage r E G E O P T C C O R C O R C I R R D I R u b φ G O S
Initial stage0.151502000.0460.02511,60011,630101000.10.10.0510
Development stage0.151502000.460.2511,60011,630101500.10.40.0210
Mature stage0.151202000.920.511,60011,700602000.10.30.0215
Stable stage0.15402000.920.511,60011,8001003000.10.20.0120
Data sources[1][48][47]China Carbon Trading Network[37]China Real Estate Statistical YearbookExpert estimate
MATLAB randomly generated 50 sets of different initial strategy combinations of x, y, and z to simulate this dynamic system. The different colored lines in Figure 5, Figure 6, Figure 7 and Figure 8 show the evolution of the three-way game with 50 sets of unfixed initial strategies in the stable phase.

4.1.1. Initial Stage

In the initial stage, under multiple pressures such as intensified resource consumption and industrial transformation and upgrading, the government, as a regulator, will take the initiative to determine macro and long-term development goals and provide strategic guidance [41]. In order to promote the promotion of GH, the government has carried out small-scale trials, trying to promote developers and consumers to develop or purchase GH through FS, CT, CET policies, home purchase incentives, and other measures. However, the technologies related to GH were initially studied, and only a few pioneer developers explored the technologies. Most developers do not have rich technical reserves, and organizational planning capabilities. As a result, developers need to invest a lot of research and development expenses and high construction costs to build GH [12]. It is reflected in the industry development level that developers have not yet chosen GH. The high cost translates into the selling price of GH, and consumers are not willing to pay for GH. Therefore, at this stage, the government chooses regulation, developers choose to develop OH, and consumers choose to buy OH.
The evolution trend of the tripartite strategy selection in the initial stage is consistent with the theoretical research results in Section 3.5.4. When the parameters satisfy Equation (20), the system converges to E6(1,0,1), that is, the ESS of governments, developers, and consumers at this time is E6(1,0,1).

4.1.2. Development Stage

In the development stage, in order to promote the development of the GHM, the government comprehensively improved FS, CT, CET policies, and home purchase incentives. The technology related to GH has gradually improved, and the cost of building GH for developers has decreased from the initial stage, but it is still at a high level. On the one hand, considering the expensive selling price of GH, and on the other hand, considering the purchase discount enjoyed by GH, consumers hold a wait-and-see attitude. Therefore, at this stage, the government chooses regulation, developers choose to develop GH, and consumers choose not to purchase housing.
The evolution trend of the tripartite strategy selection in the developmental stage is consistent with the theoretical research results in Section 3.5.4. When the parameters satisfy Equation (21), the system converges to E5(1,1,0), that is, the ESS of governments, developers, and consumers at this time is E5(1,1,0).

4.1.3. Mature Stage

With the development and improvement of relevant government measures and policies, the GHM will gradually enter the mature stage. Under the influence of FS, CT, and CET policies, the technology system of GH is also relatively perfect, and the cost of building GH for developers is greatly reduced. With the construction and use of GH, energy and water savings are realized, and developers are able to use land more efficiently, thereby reducing construction costs and reducing future maintenance costs [49]. Correspondingly, the selling price of GH decreases as the cost of developers decreases. Coupled with the GH purchase subsidy given by the government, consumers tend to buy GH. The benefits of GH development are obvious, housing consumers can enjoy the practical preferential benefits brought by GH development, and the probability of each subject choosing GH increases. Therefore, at this stage, the government chooses regulation, developers choose to develop GH, and consumers choose to buy GH.
The evolution trend of the tripartite strategy selection in the mature stage is consistent with the theoretical research results in Section 3.5.4. When the parameters satisfy Equation (22), the system converges to E8(1,1,1), that is, the ESS of governments, developers, and consumers at this time is E8(1,1,1).

4.1.4. Stable Stage

As the market develops to a certain scale, a relatively complete GH industry chain is formed, and GH development becomes the core business of developers. GH products have obvious market competitiveness and high recognition from residential users, so the government will gradually reduce direct market intervention [49,50]. As the government’s influence decreases, developers and consumers will become the main players in the market, and the industry will enter a stable stage. Therefore, at this stage, the government chooses not to regulate, developers choose to develop GH, and consumers choose to buy GH.
The evolution trend of the tripartite strategy selection in the stable stage is consistent with the theoretical research results in Section 3.5.4. When the parameters satisfy Equation (23), the system converges to E7(0,1,1), that is, the ESS of governments, developers, and consumers at this time is E7(0,1,1).

4.2. Sensitivity Analysis of Model Parameters

Due to space limitation, this study only performs parameter sensitivity analysis in the mature stage. The dynamic evolution trace in Figure 9 shows that, independent of the initial strategies of the three parties, E8(1,1,1) is an ESS in the system when the constraints are guaranteed. Figure 9 shows that the convergence of each stakeholder’s system stability strategy is independent of the initial strategy choice of each stakeholder. The convergence speed of different game players is different. The government’s evolutionary stability strategy converges the slowest, followed by consumers and the fastest by developers. In the sensitivity analysis of model parameters, it is assumed that the probability of the initial strategy selection of the three parties is 0.2.

4.2.1. Sensitivity Analysis of b

In order to analyze the influence of the change in the government’s FS coefficient b on the process and result of the evolutionary game, b is assigned to 0, 0.1, 0.2, 0.3, and 0.4, respectively, and the simulation results of replicating the system of equations evolving 50 times with time are shown in Figure 10.
From the stability analysis in Section 3.5, it can be seen that a change in b has an impact on the policy choice of the government and the developer. The simulation analysis confirms this point, as the system evolves to a stable point, the probability of government regulation decreases as b increases, and the probability of developers building GH increases. In addition, the government’s FSs to developers will increase the government’s input costs. When b = 0.4, the government faces a large fiscal burden. As a result, the government’s strategy gradually evolved into deregulation.

4.2.2. Sensitivity Analysis of GOS

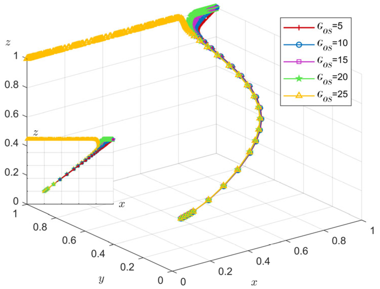
In order to analyze the influence of the change in government subsidy GOS to consumers on the process and outcome of the evolutionary game, GOS is assigned 5, 10, 15, 20, and 25, respectively, and the simulation results of the replication equation system evolving 50 times with time are shown in Figure 11.
From the stability analysis in Section 3.5, we know that the GOS change has an impact on the policy choices of the government and consumers. This is confirmed by the simulation analysis. During the evolution of the system to the stable point, as GOS increases, the probability of government regulation decreases, and the probability of consumers buying GH increases. Similarly, the government’s FS to consumers will increase the government’s input cost, so when GOS = 25, the government no longer regulates.
Comparing Figure 10 and Figure 11, under the initial value b = 0.3, GOS = 15, consumers choose the strategy of buying housing faster than developers choose the strategy of building GH. It can be found that the incentive effect of subsidizing consumers is better than that of subsidizing developers, which is consistent with the conclusion of He et al. [8]. In addition, b increases by 33%, and the government chooses the non-regulation strategy, while GOS increases by 67%, and the government chooses the non-regulation strategy. It can be seen that subsidies to developers have brought more financial pressure to the government.

4.2.3. Sensitivity Analysis of P

In order to analyze the influence of P changes on the process and results of the evolutionary game, P was assigned 0.46, 0.92, 1.84, 3.68, and 7.36, respectively, and the simulation results of replicating the evolution of equations 50 times over time are shown in Figure 12.
From the stability analysis in Section 3.5, it can be seen that P changes have an impact on the strategy choice of developers. This is confirmed by the simulation analysis. When the system evolves to a stable point, as P increases, developers choose to build GH at a faster rate. This is because the construction of GH produces less carbon emissions, and developers can sell the carbon emission savings through the CET market, so as to obtain a profit.

4.2.4. Sensitivity Analysis of T

In order to analyze the influence of T changes on the process and results of the evolutionary game, T was assigned 0.25, 0.5, 1, 2, and 4, respectively, and the simulation results of replicating the evolution of equations 50 times over time are shown in Figure 13.
From the stability analysis in Section 3.5, it can be seen that T changes have an impact on the strategy choice of the government and the developer. This is confirmed by the simulation analysis. It can be seen from Figure 13 that as T increases from 0.5 to 4, the evolution probability of the government choosing regulation and developers choosing to build GH increases. When T = 0.5, the evolution rate of developers choosing to build GH is the fastest. However, when T = 0.46, the economic and social benefits and tax benefits obtained by the government cannot cover the FS of the input, they choose not to regulate.

4.2.5. Sensitivity Analysis of E

In order to analyze the influence of the change of green gap E on the process and outcome of the evolutionary game, E is assigned to 80, 75, 70, 65, and 60, respectively, and the simulation results of replicating the evolution of equations 50 times over time are shown in Figure 14.
According to the stability analysis in Section 3.5, changes in E have an impact on the strategy choices of governments, developers, and consumers. This is confirmed by the simulation analysis. It can be seen from Figure 14 that as the green gap decreases, the probability of government regulation decreases, the probability of developers choosing to build GH increases, and the probability of consumers choosing to buy them increases. As the green gap decreases, the effort that developers need to make decreases, the cost of building GH decreases, and the probability that developers choose to build GH increases.

5. Discussions

Based on the simulation results of the evolutionary game model from Figure 5, Figure 6, Figure 7, Figure 8, Figure 9, Figure 10, Figure 11, Figure 12, Figure 13 and Figure 14, it is observed that stakeholder strategies in the GHM dynamically adjust in response to different policy scenarios. This study systematically analyzes the influence of various policy tools on stakeholder decision-making and proposes targeted recommendations to support the sustainable development of GH.

5.1. Government Strategies for Promoting the Green Housing Market

To promote the sustainable development of the GHM, the government should take coordinated actions to support supply and demand. On the supply side, it is important to maintain steady financial investment in the construction industry, encourage low-carbon housing projects, and provide rewards for demonstration projects. The government should also improve compensation mechanisms by offering support for developers in areas such as technology and talent development. It can increase motivation and promote long-term participation in green construction. On the demand side, more financial support should be given to consumers. A unique agency could be set up to guarantee green housing mortgage loans. At the same time, financial institutions can be guided to lower down payment requirements or offer better loan interest rates. These measures can help reduce the financial pressure on consumers and encourage them to choose GH. By supporting developers and consumers, the government can actively build a low-carbon and sustainable GHM.
While the model assumes abstract strategy spaces and indirect interactions, the abstraction aligns with the bounded rationality of stakeholders. In practice, developers, consumers, and governments refine decisions by observing market outcomes rather than engaging in direct negotiations. Consequently, the evolutionary game model serves as a conceptual approximation of the real-world adaptation process, allowing researchers and policymakers to predict and understand the likely trajectories of stakeholder behavior.

5.2. Enhancing the Role of Developers in the Green Housing Market

Developers play a critical role in advancing the high-quality development of the GHM and should prioritize both technological innovation and intelligent energy management. Continuous improvement in GH technologies is essential, including actively adopting advanced equipment and construction methods and using renewable energy sources, such as solar, geothermal, wind, and biomass. By integrating intelligent construction tools, such as Building Information Modeling (BIM), developers can achieve standardized design, precise construction, digital management, and industrialized production, significantly reducing resource consumption and carbon emissions. At the same time, developers should establish comprehensive building energy consumption monitoring platforms using innovative technologies, such as BIM, big data, and the Internet of Things. These platforms enable multi-dimensional monitoring and evaluation of carbon emissions, incorporating factors such as infrastructure performance, renewable energy integration, and carbon sinks. These initiatives facilitate refined energy management and support goals such as reducing CO2 emissions by 30% by 2030 compared to 2020 levels in GH.

5.3. Empowering Consumers to Make Informed Green Choices

To promote the sustainable development of the GHM, the government must emphasize the critical role of consumers as the demand drivers. The government should intensify public education and outreach efforts to raise awareness of energy-saving, environmental protection, health, and economic benefits, thereby fostering a preference for green consumption. By leveraging mainstream media, real estate platforms, and other channels, information asymmetry can be mitigated. Furthermore, the government should refine the consumer finance support system by establishing a green housing guarantee mechanism, encouraging financial institutions to offer low-interest and low-payment green loan products, and reducing the barriers to home ownership. Simultaneously, the government should optimize finance subsidy policies through tiered subsidies, streamlined procedures, expanded coverage, and enhanced policy predictability and stability to bolster consumer confidence. Additionally, the government could establish a green consumption credit system that links green housing purchases with public services, strengthens incentive mechanisms, and fosters a positive environment for green consumption, ultimately driving the healthy and sustainable development of the GHM.
It is essential to highlight that this study treats consumers as a homogeneous group. While this assumption streamlines the analysis process, it may overlook actual variations among consumers in terms of income level, educational background, and environmental awareness. Such differences are likely to result in significant differences in consumer price sensitivity, which in turn affects their responsiveness to green housing subsidy policies. For example, high-income or environmentally conscious consumers may exhibit a greater willingness to purchase green housing, even if its cost exceeds that of traditional housing. Conversely, low-income groups may place greater emphasis on financial subsidies as a critical factor influencing their purchasing decisions. Therefore, future research could enhance the analysis framework by incorporating consumer heterogeneity variables and employing stratified modeling to characterize the behavior of different consumer segments. This approach would not only improve the precision of evaluating the effectiveness of fiscal subsidy policies but also offer more targeted recommendations for policy design.

6. Conclusions

This study examines the strategic choices of stakeholders in the GHM under the low-carbon policy, following a three-step approach. First, the interactive behaviors of stakeholders in the GHM are discussed. The study finds that stakeholders’ strategies are influenced by comparing costs and benefits, a conclusion consistent with Fan et al. [27].
Next, the key to further research is to take a scientific method to explore the critical conditions that need to be met to reach the state of evolutionary equilibrium. It is found that the change of parameters will affect the final stability strategy. According to the product life cycle theory, the four ESS in this study correspond to the initial stage E6(1,0,1), development stage E5(1,1,0), mature stage E8(1,1,1), and stable stage E7(0,1,1) of GHM development.
Finally, MATLAB simulations and a sensitivity analysis are conducted to reveal the internal factors driving GHM development. The results show that (1) consumer subsidies have a more significant incentive effect than subsidies for developers. (2) FSs for developers place more significant financial pressure on the government compared to FSs for consumers. (3) CET policies speed up the decision-making process of developers to build green housing. (4) Appropriate taxation policies accelerate developers’ green decision-making and are critical to GHM development. (5) Reducing the green gap helps the GHM reach a stable stage. Therefore, implementing effective policies can guide stakeholder behavior in the GHM toward optimal outcomes.
Compared with earlier studies that primarily examined two-party interactions in static contexts and focused on limited policy tools or a single market stage, this study makes the following three theoretical contributions:
(1)
It introduces a dynamic evolutionary game framework grounded in product life cycle theory, which enables the simulation of stakeholder strategies across four distinct stages of green housing market development: initial, growth, maturity, and stabilization.
(2)
The model illustrates more complex and realistic interactions by incorporating a tripartite structure involving governments, developers, and consumers. It further considers the combined effects of multiple low-carbon policy instruments.
(3)
The parameter design reflects economic conditions accurately by including variables such as the green gap, unsold housing risks, and fluctuating carbon prices.
However, due to time constraints and the limitations of the simulation, this study only considers quantifiable and research-based variables in model development. The actual market environment is more complex than what is captured in mathematical simulations, and other factors may also influence stakeholder strategic decisions. Future research should explore the impact of these objective social factors, as addressing this will be crucial for policymakers and enterprise managers when formulating management strategies.

Author Contributions

Conceptualization, Z.G. and Q.W.; methodology, R.Z.; software, R.Z.; validation, Z.G., Q.W. and Y.Q.; formal analysis, R.Z.; investigation, Z.G.; resources, Q.W.; data curation, Q.W.; writing—original draft preparation, Z.G. and Q.W.; writing—review and editing, Y.Q.; supervision, Q.W.; project administration, Q.W.; funding acquisition, Q.W. All authors have read and agreed to the published version of the manuscript.

Funding

The authors gratefully acknowledge the funding support from the China Scholarship Council (No. 202406370135) and the National Natural Science Foundation of China (No. 72171237).

Institutional Review Board Statement

Not applicable.

Informed Consent Statement

Not applicable.

Data Availability Statement

Data for this study are available upon request to the corresponding author.

Conflicts of Interest

The authors declare no conflicts of interest.

References

  1. Lu, W.; Du, L.; Tam, V.W.Y.; Yang, Z.; Lin, C.; Peng, C. Evolutionary game strategy of stakeholders under the sustainable and innovative business model: A case study of green building. J. Clean. Prod. 2022, 333, 130136. [Google Scholar] [CrossRef]
  2. Qiao, W.; Dong, P.; Ju, Y. Synergistic development of green building market under government guidance: A case study of Tianjin, China. J. Clean. Prod. 2022, 340, 130540. [Google Scholar] [CrossRef]
  3. Available online: https://www.unep.org/zh-hans/resources/chubanwu/2022nianquanqiujianzhujianzaoyexianzhuangbaogao (accessed on 25 May 2025).
  4. Allacker, K.; Dubois, M. Energy savings from housing: Ineffective renovation subsidies vs efficient demolition and reconstruction incentives. Energy Policy 2015, 86, 697–704. [Google Scholar] [CrossRef]
  5. Portnov, B.A.; Trop, T.; Svechkina, A.; Ofek, S.; Akron, S.; Ghermandi, A. Factors affecting homebuyers’ willingness to pay green building price premium: Evidence from a nationwide survey in Israel. Build. Environ. 2018, 137, 280–291. [Google Scholar] [CrossRef]
  6. Marotta, A.; Porras-Amores, C.; Rodriguez Sanchez, A. Are Green Buildings an Indicator of Sustainable Development? Appl. Sci. 2023, 13, 3005. [Google Scholar] [CrossRef]
  7. Alattyih, W.; Haider, H.; Boussabaine, H. Risk Factors Impacting the Project Value Created by Green Buildings in Saudi Arabia. Appl. Sci. 2020, 10, 7388. [Google Scholar] [CrossRef]
  8. He, L.; Chen, L. The incentive effects of different government subsidy policies on green buildings. Renew. Sustain. Energy Rev. 2021, 135, 110123. [Google Scholar] [CrossRef]
  9. Jiang, Y.S.; Hu, T.; Zhao, D.; Liu, B.S.; Zhang, H.Z.; Zhang, Y.J.; Xu, Z.H. Decision Model to Optimize Long-term Subsidy Strategy for Green Building Promotion. Sustain. Cities Soc. 2022, 86, 104126. [Google Scholar] [CrossRef]
  10. Jiang, H.; Payne, S. Examining regime complexity in China’s green housing transition: A housing developers perspective. Build. Res. Inf. 2021, 50, 291–307. [Google Scholar] [CrossRef]
  11. Zhang, L.; Wu, J.; Liu, H. Policies to enhance the drivers of green housing development in China. Energy Policy 2018, 121, 225–235. [Google Scholar] [CrossRef]
  12. Du, Q.; Wang, Y.; Pang, Q.; Hao, T.; Zhou, Y. The dynamic analysis on low-carbon building adoption under emission trading scheme. Energy 2023, 263, 125946. [Google Scholar] [CrossRef]
  13. Zhao, S.; Huo, T.; Chen, L. The influence of multi-level factors on Chinese residents’ purchase decisions of green housing: A system dynamics approach. Sustain. Cities Soc. 2023, 99, 105001. [Google Scholar] [CrossRef]
  14. Li, Q.; Qian, T.; Zhang, X.; Long, R.; Chen, H.; Huang, H.; Zhu, H. How does stakeholder loss aversion affect the promotion of green housing? Econ. Anal. Policy 2023, 80, 647–668. [Google Scholar] [CrossRef]
  15. Li, Q.; Qian, T.; Wang, J.; Long, R.; Chen, H.; Sun, C. Social “win-win” promotion of green housing under the four-subject evolutionary game. Energy Ecnomics 2023, 127, 107117. [Google Scholar] [CrossRef]
  16. Boxer, I.; Menahem, H.O.; Rekettye, G. Ecological awareness, price and psychological wellbeing as main dimensions of senior citizens’ green sheltered housing buying intentions. Int. J. Bus. Perform. Manag. 2010, 12, 86–101. [Google Scholar] [CrossRef]
  17. Deng, Y.; Li, Z.; Quigley, J.M. Economic returns to energy-efficient investments in the housing market: Evidence from Singapore. Reg. Sci. Urban Ecnomics 2012, 42, 506–515. [Google Scholar] [CrossRef]
  18. Jeddi Yeganeh, A.; McCoy, A.P.; Hankey, S. Green Affordable Housing: Cost-Benefit Analysis for Zoning Incentives. Sustainability 2019, 11, 6269. [Google Scholar] [CrossRef]
  19. Tsai, I.C. Value capitalization effects of green buildings: A new insight through time trends and differences in various price levels. Build. Environ. 2022, 224, 109577. [Google Scholar] [CrossRef]
  20. Ren, W.; Wang, Y. Study on the Factors Affecting the Green Housing Purchase Intention in Urban Residents-Taking the Beijing-Tianjin-Hebei Region as an Example. Sustainability 2023, 15, 3735. [Google Scholar] [CrossRef]
  21. Zhang, L.; Sun, C.; Liu, H. Does green housing perform better? Residents’ post-occupancy perceptions and willingness-to-pay. J. Hous. Built Environ. 2025, 40, 101–131. [Google Scholar] [CrossRef]
  22. Li, Q.; Qian, T.; Hua, Q.; Min, J.; Zhao, Y.; Wang, Q.; Long, R. Collaboration and regulation: A dual regulatory game for the sustainable development of green housing. Res. Int. Bus. Financ. 2025, 74, 102697. [Google Scholar] [CrossRef]
  23. Guo, F.; Wang, J.; Song, Y. Research on high quality development strategy of green building: A full life cycle perspective on recycled building materials. Energy Build. 2022, 273, 112406. [Google Scholar] [CrossRef]
  24. Liu, G.; Li, X.; Hu, X.; Ye, K. Evolution of housing energy-efficient retrofitting game: A perspective of heterogeneous expectations on retrofit effects. J. Build. Eng. 2024, 82, 108293. [Google Scholar] [CrossRef]
  25. Oyedokun, T.B. Green premium as a driver of green-labelled commercial buildings in the developing countries: Lessons from the UK and US. Int. J. Sustain. Built Environ. 2017, 6, 723–733. [Google Scholar] [CrossRef]
  26. He, C.C.; Yu, S.W.; Hou, Y.Y. Exploring factors in the diffusion of different levels of green housing in china: Perspective of stakeholders. Energy Build. 2021, 240, 110895. [Google Scholar] [CrossRef]
  27. Fan, K.; Wu, Z. Incentive mechanism design for promoting high-level green buildings. Build. Environ. 2020, 184, 107230. [Google Scholar] [CrossRef]
  28. Shen, C.; Li, P. Green housing on social media in China: A text mining analysis. Build. Environ. 2023, 237, 110338. [Google Scholar] [CrossRef]
  29. Wu, J.; Cai, W.H.; Wang, C.; Li, J. What Hinders the Development of Green Building? An Investigation of China. Int. J. Environ. Res. Public Health 2019, 16, 3140. [Google Scholar] [CrossRef]
  30. Zou, Y.; Zhao, W.; Zhong, R. The spatial distribution of green buildings in China: Regional imbalance, economic fundamentals, and policy incentives. Appl. Geogr. 2017, 88, 38–47. [Google Scholar] [CrossRef]
  31. Gao, Y.; Jia, R.; Yao, Y.; Xu, J. Evolutionary Game Theory and the Simulation of Green Building Development Based on Dynamic Government Subsidies. Sustainability 2022, 14, 7294. [Google Scholar] [CrossRef]
  32. Ma, W.M.; Ren, Z.T.; Ke, H. Green Housing Subsidy Strategies Considering Consumers’ Green Preference. Sustainability 2022, 14, 2748. [Google Scholar] [CrossRef]
  33. Park, S. Evaluating the efficiency and productivity change within government subsidy recipients of a national technology innovation research and development program. R D Manag. 2015, 45, 549–568. [Google Scholar] [CrossRef]
  34. Liu, W.; Liu, M.; Li, Y.; Liu, T. How to promote China’s green economic development? The combination effects of consumption tax and carbon tax policies. Energy Environ. 2022, 35, 0958305X2211405. [Google Scholar] [CrossRef]
  35. Yao, Q.; Shao, L.; Yin, Z.; Wang, J.; Lan, Y. Strategies of property developers and governments under carbon tax and subsidies. Front. Environ. Sci. 2022, 10, 916352. [Google Scholar] [CrossRef]
  36. Du, Q.; Yan, Y.Q.; Huang, Y.D.; Hao, C.C.; Wu, J. Evolutionary Games of Low-Carbon Behaviors of Construction Stakeholders under Carbon Taxes. Int. J. Environ. Res. Public Health 2021, 18, 508. [Google Scholar] [CrossRef]
  37. Bi, H.M.; Xiao, H.; Sun, K.J. The Impact of Carbon Market and Carbon Tax on Green Growth Pathway in China: A Dynamic CGE Model Approach. Emerg. Mark. Financ. Trade 2019, 55, 1312–1325. [Google Scholar] [CrossRef]
  38. Ni, Z.W.; Zhou, Q. Differential Privacy in Federated Learning: An Evolutionary Game Analysis. Appl. Sci. 2025, 15, 2914. [Google Scholar] [CrossRef]
  39. Zhang, R.; Li, L. Research on Evolutionary Game and Simulation of Information Sharing in Prefabricated Building Supply Chain. Sustainability 2023, 15, 9885. [Google Scholar] [CrossRef]
  40. Meng, Q.F.; Liu, Y.Y.; Li, Z.; Wu, C.Z. Dynamic reward and penalty strategies of green building construction incentive: An evolutionary game theory-based analysis. Environ. Sci. Pollut. Res. 2021, 28, 44902–44915. [Google Scholar] [CrossRef]
  41. Li, H.; Liu, D.; Han, Z.J.; Sun, Y.P.; Wang, L.; Zhang, J.S. Simulation analysis of the three-party evolutionary game of green building market players under carbon trading policy. Environ. Sci. Pollut. Res. 2023, 30, 117591–117608. [Google Scholar] [CrossRef]
  42. Huang, H.; Yusoff, W.F.M. A Tripartite Evolutionary Game on Promoting the Development of Nearly-Zero Energy Consumption Buildings in China. Buildings 2023, 13, 658. [Google Scholar] [CrossRef]
  43. Feng, Q.; Chen, H.; Shi, X.; Wei, J. Stakeholder games in the evolution and development of green buildings in China: Government-led perspective. J. Clean. Prod. 2020, 275, 122895. [Google Scholar] [CrossRef]
  44. Rogers, E.M. A Diffusion of Innovations: A Diffusion of Innovations. 1995. ISBN 978-94-010-4778-4. Available online: https://www.buchkatalog.de/diffusion-and-use-of-geographic-information-technologies-9789401047784 (accessed on 25 May 2025).
  45. Li, X.; Alam, K.M.; Wang, S. Trend Analysis of Pakistan Railways Based on Industry Life Cycle Theory. J. Adv. Transp. 2018, 2018, 2670346. [Google Scholar] [CrossRef]
  46. Available online: https://www.zgtjnj.org/navibooklist-n3022021707-1.html (accessed on 25 May 2025).
  47. Taylor, P.D.; Jonker, L.B. Evolutionary stable strategies and game dynamics. Math. Biosci. 1978, 40, 145–156. [Google Scholar] [CrossRef]
  48. Song, X.N.; Lu, Y.J.; Shen, L.Y.; Shi, X.P. Will China’s building sector participate in emission trading system? Insights from modelling an owner’s optimal carbon reduction strategies. Energy Policy 2018, 118, 232–244. [Google Scholar] [CrossRef]
  49. Ofek, S.; Portnov, B.A. Differential effect of knowledge on stakeholders’ willingness to pay green building price premium: Implications for cleaner production. J. Clean. Prod. 2020, 251, 119575. [Google Scholar] [CrossRef]
  50. Cho, S.H.; Chae, C. A Study on Life Cycle CO2 Emissions of Low-Carbon Building in South Korea. Sustainability 2016, 8, 579. [Google Scholar] [CrossRef]
Figure 1. The research framework.
Figure 1. The research framework.
Sustainability 17 05686 g001
Figure 2. Phase diagram of the government’s strategy evolution.
Figure 2. Phase diagram of the government’s strategy evolution.
Sustainability 17 05686 g002
Figure 3. Phase diagram of the developer’s strategy evolution.
Figure 3. Phase diagram of the developer’s strategy evolution.
Sustainability 17 05686 g003
Figure 4. Phase diagram of the consumer’s strategy evolution.
Figure 4. Phase diagram of the consumer’s strategy evolution.
Sustainability 17 05686 g004
Figure 5. Evolutionary trajectory in the initial stage.
Figure 5. Evolutionary trajectory in the initial stage.
Sustainability 17 05686 g005
Figure 6. Evolutionary trajectory in the development stage.
Figure 6. Evolutionary trajectory in the development stage.
Sustainability 17 05686 g006
Figure 7. Evolutionary trajectory in the mature stage.
Figure 7. Evolutionary trajectory in the mature stage.
Sustainability 17 05686 g007
Figure 8. Evolutionary trajectory in the stable stage.
Figure 8. Evolutionary trajectory in the stable stage.
Sustainability 17 05686 g008
Figure 9. Evolutionary results with different initial strategy choices.
Figure 9. Evolutionary results with different initial strategy choices.
Sustainability 17 05686 g009
Figure 10. Dynamic evolution path diagram for b.
Figure 10. Dynamic evolution path diagram for b.
Sustainability 17 05686 g010
Figure 11. Dynamic evolution path diagram for GOS.
Figure 11. Dynamic evolution path diagram for GOS.
Sustainability 17 05686 g011
Figure 12. Dynamic evolution path diagram for P.
Figure 12. Dynamic evolution path diagram for P.
Sustainability 17 05686 g012
Figure 13. Dynamic evolution path diagram for T.
Figure 13. Dynamic evolution path diagram for T.
Sustainability 17 05686 g013
Figure 14. Dynamic evolution path diagram for E.
Figure 14. Dynamic evolution path diagram for E.
Sustainability 17 05686 g014
Table 1. Evolutionary game theory is used in the research of green buildings.
Table 1. Evolutionary game theory is used in the research of green buildings.
SourceStakeholderLow-Carbon PolicyMethods
GovernmentDeveloperConsumer1234Evolutionary Game Theory
[40]
[41]
[2]
[1]
[36]
[39]
[26] ×
[22] ×
[31]
[42] ×
[9] ×
[35]
[5]
[34] ×
This study
Note: 1—FS policy for developers. 2—FS policy for consumers. 3—CT policy. 4—CET policy. ✓represents that the document contains the corresponding information and × represents that the document contains the corresponding information
Table 2. The symbols and definitions of the parameters.
Table 2. The symbols and definitions of the parameters.
ParametersGovernment payoff
E T Carbon quota
R G N The economic and social benefits of building GH for the government
R G E The developer builds the negative environmental benefits of the government
T Government tax rates for developers
G O S The government’s FSs to consumers who buy GH
b The government’s FSs for developers who build GH
ParametersDeveloper payoff
R D O The developer builds the direct benefits of OH
R D I R The incremental benefits of building GH for developers
C D O The cost of building OH for developers
φ The incremental cost factor for building GH for developers
u The unsalable coefficient of housing built by developers
r Profit margins for developers
E O Developers build carbon emissions from OH
E G Developers build carbon emissions from GH
E Developers build the green gap between OH and GH
P CET price
ParametersConsumer payoff
C C O Housing sales prices for consumers
R C O The direct benefit of consumers buying OH
R C I R The incremental benefits of consumers buying GH
Table 3. Revenue matrix of government, developer, and consumer.
Table 3. Revenue matrix of government, developer, and consumer.
2-Developer3-Consumer
γ 1 γ 2
1-Government α 1 β 1 R G N + T E G G O S b φ E 2 ,
R D O + R D I R + b φ E 2 + P E T E G C D O + φ E 2 T E G ,
R C O + R C I R + G O S C C O + 1 + r φ E 2
R G N + T E G b φ E 2 ,
b φ E 2 + P E T E G C D O + φ E 2 T E G u C D O + φ E 2 ,
0
β 2 R G E + T E O ,
R D O P E O E T C D O T O E O ,
R C O C C O
R G E + T E O ,
P E O E T C D O T O E O u C D O ,
0
α 2 β 1 R G N ,
R D O + R D I R C D O + φ E 2 ,
R C O + R C I R C C O + 1 + r φ E 2
R G N ,
C D O + φ E 2 u C D O + φ E 2 ,
0
β 2 R G E ,
R D O C D O ,
R C O C C O
R G E ,
C D O u C D O ,
0
Table 4. Eigenvalues of the eight pure strategy equilibrium points.
Table 4. Eigenvalues of the eight pure strategy equilibrium points.
Equilibrium Points λ 1 λ 2 λ 3
E 1 0,0 , 0 R C O C C O u + 1 φ E 2 T E O
E 2 1,0 , 0 R C O C C O T E O u + 1 b φ E 2 + ( P + T ) E
E 3 0,1 , 0 b φ E 2 + T E G u + 1 φ E 2 R C O + R C I R C C O + 1 + r φ E 2
E 4 0,0 , 1 φ E 2 + R D I R R C O + C C O T E O
E 5 1,1 , 0 b φ E 2 T E G R C O + R C I R + G O S C C O + 1 + r φ E 2 u + 1 b φ E 2 ( P + T ) E
E 6 1,0 , 1 T E O R C O + C C O 1 b φ E 2 + P + T E + R D I R
E 7 0,1 , 1 φ E 2 R D I R b φ E 2 G O S + T E G R C O R C I R + C C O + 1 + r φ E 2
E 8 1,1 , 1 b φ E 2 + G O S T E G R C O R C I R G O S + C C O + 1 + r φ E 2 1 b φ E 2 P + T E R D I R
Disclaimer/Publisher’s Note: The statements, opinions and data contained in all publications are solely those of the individual author(s) and contributor(s) and not of MDPI and/or the editor(s). MDPI and/or the editor(s) disclaim responsibility for any injury to people or property resulting from any ideas, methods, instructions or products referred to in the content.

Share and Cite

MDPI and ACS Style

Guo, Z.; Wang, Q.; Zhang, R.; Qi, Y. Simulation Analysis of the Three-Party Evolutionary Game of Green Housing Market Stakeholders Under Low-Carbon Policies. Sustainability 2025, 17, 5686. https://doi.org/10.3390/su17135686

AMA Style

Guo Z, Wang Q, Zhang R, Qi Y. Simulation Analysis of the Three-Party Evolutionary Game of Green Housing Market Stakeholders Under Low-Carbon Policies. Sustainability. 2025; 17(13):5686. https://doi.org/10.3390/su17135686

Chicago/Turabian Style

Guo, Zhenxu, Qing’e Wang, Rumeng Zhang, and Yizhuoyan Qi. 2025. "Simulation Analysis of the Three-Party Evolutionary Game of Green Housing Market Stakeholders Under Low-Carbon Policies" Sustainability 17, no. 13: 5686. https://doi.org/10.3390/su17135686

APA Style

Guo, Z., Wang, Q., Zhang, R., & Qi, Y. (2025). Simulation Analysis of the Three-Party Evolutionary Game of Green Housing Market Stakeholders Under Low-Carbon Policies. Sustainability, 17(13), 5686. https://doi.org/10.3390/su17135686

Note that from the first issue of 2016, this journal uses article numbers instead of page numbers. See further details here.

Article Metrics

Back to TopTop