Crop Rotation and Weed Control as Factors in the Sustainable Cultivation of Winter Oilseed Rape
Abstract
1. Introduction
2. Materials and Methods
2.1. Experimental Conditions
2.2. Weather Conditions
2.3. Soil
2.4. Experimental Design
- I.
- Crop succession system:
- (a)
- winter oilseed rape grown in a six-field crop rotation: sugar beets, maize, spring barley, peas, winter oilseed rape, and winter wheat;
- (b)
- winter oilseed rape grown in a continuous cropping system (monoculture).
- II.
- Crop protection:
- (a)
- without herbicide application;
- (b)
- with herbicide application (the applied herbicides are listed in Table 2).
2.5. Sampling and Analysis
2.5.1. Determination of Weed Species and Harvested Biomass (Weed Biomass, Winter Oilseed Rape Seed, and Straw Yields)
2.5.2. Determination of Total Nitrogen in Plant Material and Soil
2.5.3. Determination of Nitrogen Uptake by Plants
2.6. Statistical Analysis
3. Results
3.1. Weed Species Composition
3.2. Seed and Straw Yields and Weed Biomass
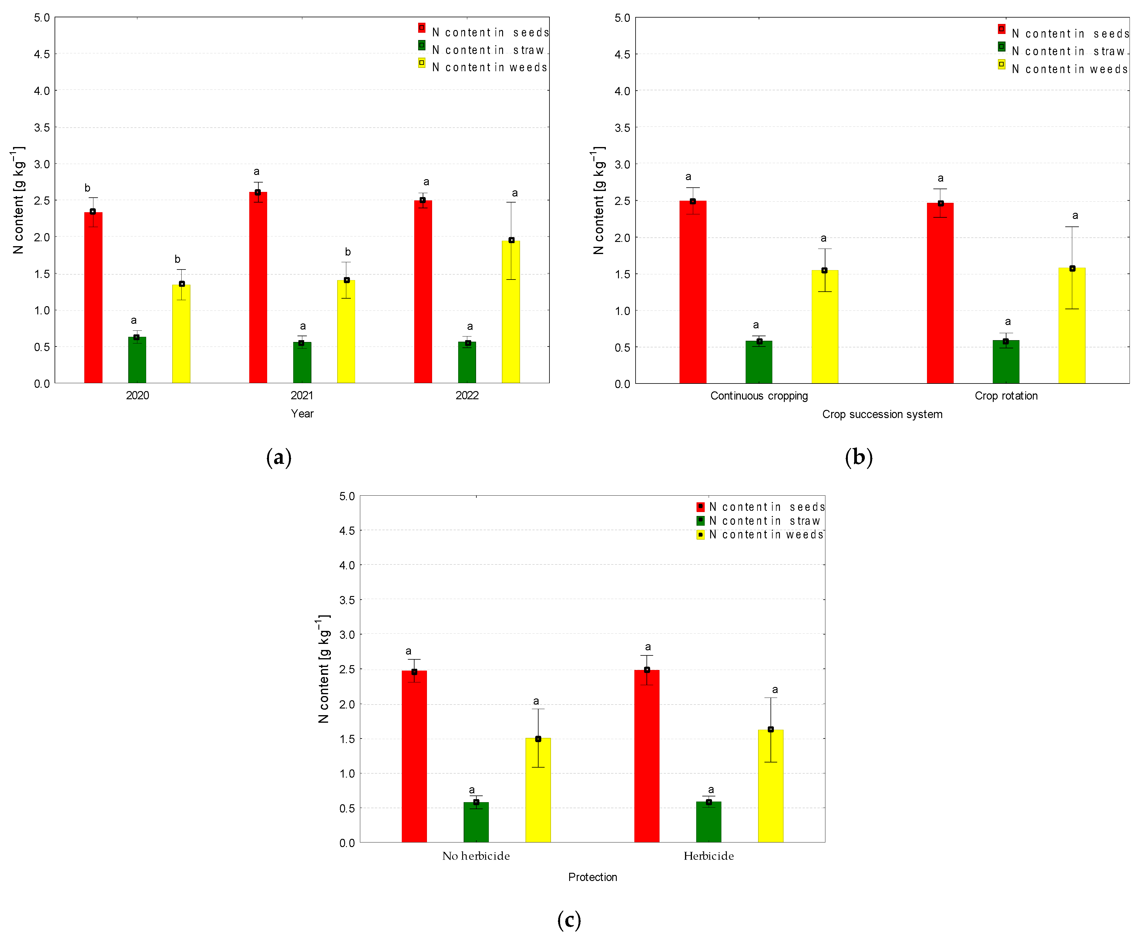
3.3. Nitrogen Content of Plant Material (Seeds, Straw, and Weeds)
3.4. Nitrogen Uptake
3.5. Nitrogen Content of Soil
3.6. Principal Component Analysis (PCA)
4. Discussion
5. Conclusions
Author Contributions
Funding
Institutional Review Board Statement
Informed Consent Statement
Data Availability Statement
Conflicts of Interest
References
- Marcińska-Mazur, L.; Mierzwa-Hersztek, M. Enhancing productivity and technological quality of wheat and oilseed rape through diverse fertilization practices—An overview. J. Elem. 2023, 28, 717–771. [Google Scholar] [CrossRef]
- Rathke, G.W.; Behrens, T.; Diepenbrock, W. Integrated nitrogen management strategies to improve seed yield, oil content and nitrogen efficiency of winter oil seed rape (Brassicanapus L.): A review. Agric. Ecosyst. Environ. 2006, 117, 80–108. [Google Scholar] [CrossRef]
- Sieling, K.; Christen, O. Crop rotation effects on yield of oilseed rape, wheat and barley and residual effects on the subsequent wheat. Arch. Agron. Soil Sci. 2015, 61, 1531–1549. [Google Scholar] [CrossRef]
- Asaduzzaman, M.; Wu, H.; Doran, G.; Pratley, J. Genotype-by-Environment Interaction and Stability of Canola (Brassica napus L.) for Weed Suppression through Improved Interference. Agronomy 2024, 14, 1965. [Google Scholar] [CrossRef]
- Vykydalová, L.; Barroso, P.M.; Ďekanovský, I.; Neoralová, M.; Lumbantobing, Y.R.; Winkler, J. Interactions between Weeds, Pathogen Symptoms and Winter Rapeseed Stand Structure. Agronomy 2024, 14, 2273. [Google Scholar] [CrossRef]
- Costa, N.; Pimentel, G.V.; Chales, A.S.; da Silva, L.D.R.; Watanabe, E.D.C.S.; Gonçalves, A.H. Herbicide selectivity and efficacy in weed control in canola production system. Crop Prot. 2025, 193, 107207. [Google Scholar] [CrossRef]
- Lakara, K.; Verma, S.; Maurya, A.C.; Singh, S.B.; Meena, R.S.; Shukla, U.N. Enhancing Crop Competitiveness Through Sustainable Weed Management Practices; Scientific Publishers: Jodhpur, India, 2019; pp. 109–168. [Google Scholar]
- Vykydalová, L.; Kubík, T.J.; Martínez Barroso, P.; Děkanovský, I.; Winkler, J. The Relationship between the Density of Winter Canola Stand and Weed Vegetation. Agriculture 2024, 14, 1767. [Google Scholar] [CrossRef]
- Szatkowski, A.; Sokólski, M.; Załuski, D.; Jankowski, K.J. The effects of agronomic management in different tillage systems on the fall growth of winter oilseed rape. Agriculture 2023, 13, 440. [Google Scholar] [CrossRef]
- Ramesh, K.; Matloob, A.; Aslam, F.; Florentine, S.K.; Chauhan, B.S. Weeds in a changing climate: Vulnerabilities, consequences, and implications for future weed management. Front. Plant Sci. 2017, 8, 95. [Google Scholar] [CrossRef]
- Plamenov, D.; Naskova, P.; Malcheva, B.; Iliev, Y. Chemical and microbiological studies for determination the influence of fertilizers produced by “Agropolychim” AD on winter common wheat and oilseed rape. Int. J. Sci. Res. 2016, 5, 1481–1486. [Google Scholar]
- Grzebisz, W.; Łukowiak, R.; Kotnis, K. Evaluation of nitrogen fertilization systems based on the in-season variability in the nitrogenous growth factor and soil fertility factors—A case of winter oilseed rape (Brassica napus L.). Agronomy 2020, 10, 1701. [Google Scholar] [CrossRef]
- Gradilă, M.; Ene, I.; Mihalaşcu, C. Sustainable use of pre-emergent herbicides in rape crops. Rom. J. Plant Prot. 2016, 129, 40–46. [Google Scholar]
- Shahzad, M.; Hussain, M.; Jabran, K.; Farooq, M.; Farooq, S.; Gašparovič, K.; Barboricova, M.; Aljuaid, B.S.; El-Shehawi, A.M.; Zuan, A.T.K. The impact of different crop rotations by weed management strategies’ interactions on weed infestation and productivity of wheat (Triticum aestivum L.). Agronomy 2021, 11, 2088. [Google Scholar] [CrossRef]
- Grant, C.A.; Flaten, D.N.; Tomasiewicz, D.J.; Sheppard, S.C. The importance of early season phosphorus nutrition. Can. J. Plant Sci. 2001, 81, 211–224. [Google Scholar] [CrossRef]
- Kubiak, A.; Wolna-Maruwka, A.; Niewiadomska, A.; Pilarska, A.A. The problem of weed infestation of agricultural plantations vs. the assumptions of the European biodiversity strategy. Agronomy 2022, 12, 1808. [Google Scholar] [CrossRef]
- Little, N.G.; DiTommaso, A.; Westbrook, A.S.; Ketterings, Q.M.; Mohler, C.L. Effects of fertility amendments on weed growth and weed–crop competition: A review. Weed Sci. 2021, 69, 132–146. [Google Scholar] [CrossRef]
- Saulic, M.; Oveisi, M.; Djalovic, I.; Bozic, D.; Pishyar, A.; Savić, A.; Prasad, P.V.V.; Vrbničanin, S. How do long term crop rotations influence weed populations: Exploring the impacts of more than 50 Years of crop management in Serbia. Agronomy 2022, 12, 1772. [Google Scholar] [CrossRef]
- Fang, Y.; Ren, T.; Zhang, S.; Liu, Y.; Liao, S.; Li, X.; Cong, R.; Lu, J. Rotation with oil seed rape as the winter crop enhances rice yield and improves soil indigenous nutrient supply. Soil Tillage Res. 2021, 212, 105065. [Google Scholar] [CrossRef]
- Al-Shammary, A.A.G.; Al-Shihmani, L.S.S.; Fernández-Gálvez, J.; Caballero-Calvo, A. Optimizing sustainable agriculture: A comprehensive review of agronomic practices and their impacts on soil attributes. J. Environ. Manag. 2024, 364, 121487. [Google Scholar] [CrossRef]
- Crews, T.E.; Carton, W.; Olsson, L. Is the future of agriculture perennial? Imperatives and opportunities to reinvent agriculture by shifting from annual monocultures to perennial polycultures. Glob. Sustain. 2018, 1, e11. [Google Scholar] [CrossRef]
- Butkevičienė, L.M.; Skinulienė, L.; Auželienė, I.; Bogužas, V.; Pupalienė, R.; Steponavičienė, V. The influence of long-term different crop rotations and monoculture on weed prevalence and weed seed content in the soil. Agronomy 2021, 11, 1367. [Google Scholar] [CrossRef]
- Gawęda, D.; Haliniarz, M.; Bronowicka-Mielniczuk, U.; Łukasz, J. Weed infestation and health of the soybean crop depending on cropping system and tillage system. Agriculture 2020, 10, 208. [Google Scholar] [CrossRef]
- Gaba, S.; Fried, G.; Kazakou, E.; Chauvel, B.; Navas, M.L. Agroecological weed control using a functional approach: A review of cropping systems diversity. Agron. Sustain. Dev. 2014, 34, 103–119. [Google Scholar] [CrossRef]
- Finger, R.; Sok, J.; Ahovi, E.; Akter, S.; Bremmer, J.; Dachbrodt-Saaydeh, S.; de Lauwere, C.; Kreft, C.; Kudsk, P.; Lambarraa-Lehnhardt, F.; et al. Towards sustainable crop protection in agriculture: A framework for research and policy. Agric. Syst. 2024, 219, 104037. [Google Scholar] [CrossRef]
- Zheng, X.; Koopmann, B.; Ulber, B.; von Tiedemann, A. A global survey on diseases and pests in oilseed rape—Current challenges and innovative strategies of control. Front. Agron. 2020, 2, 590908. [Google Scholar] [CrossRef]
- Akhatar, J.; Upadhyay, P.; Kumar, H. Crop Cultivation and Hybrid Seed Production Strategies in Rapeseed-Mustard. In Hybrid Seed Production for Boosting Crop Yields: Applications, Challenges and Opportunities; Springer Nature: Singapore, 2025; pp. 177–224. [Google Scholar]
- Kaur, S.; Kaur, R.; Chauhan, B.S. Understanding crop-weed-fertilizer-water interactions and their implications for weed management in agricultural systems. Crop Prot. 2018, 103, 65–72. [Google Scholar] [CrossRef]
- Stępień, A.; Wojtkowiak, K.; Pietrzak-Fiećko, R. Influence of a crop rotation system and agrotechnology level on the yielding and seed quality of winter rapeseed (Brassica napus L.) varieties Castille and Nelson. J. Elem. 2018, 23, 1281–1293. [Google Scholar] [CrossRef]
- MacLaren, C.; Labuschagne, J.; Swanepoel, P.A. Tillage practices affect weeds differently in monoculture vs. crop rotation. Soil Tillage Res. 2021, 205, 104795. [Google Scholar] [CrossRef]
- Cordeau, S. Conservation agriculture and agroecological weed management. Agronomy 2022, 12, 867. [Google Scholar] [CrossRef]
- MacLaren, C.; Storkey, J.; Menegat, A.; Metcalfe, H.; Dehnen-Schmutz, K. An ecological future for weed science to sustain crop production and the environment. A review. Agron. Sustain. Dev. 2020, 40, 24. [Google Scholar]
- Liu, C.; Plaza-Bonilla, D.; Coulter, J.A.; Kutcher, H.R.; Beckie, H.J.; Wang, L.; Floc’h, J.B.; Hamel, C.; Siddique, K.H.; Li, L.; et al. Diversifying crop rotations enhances agroecosystem services and resilience. Adv. Agron. 2022, 173, 299–335. [Google Scholar] [CrossRef]
- Bennett, E.; Roberts, J.A.; Wagstaff, C. Manipulating resource allocation in plants. J. Exp. Bot. 2012, 63, 3391–3400. [Google Scholar] [CrossRef] [PubMed]
- Rasmussen, I.A.; Melander, B.; Askegaard, M.; Kristensen, K.; Olesen, J.E. Elytrigia repens population dynamics under different management schemes in organic cropping systems on coarse sand. Eur. J. Agron. 2014, 58, 18–27. [Google Scholar] [CrossRef]
- Choudhary, V.K. Weed suppression, weed seed bank and crop productivity influenced under tillage and mulches in maize-rapeseed cropping system. Crop Prot. 2023, 172, 106333. [Google Scholar] [CrossRef]
- Hegewald, H.; Koblenz, B.; Wensch-Dorendorf, M.; Christen, O. Impacts of high intensity crop rotation and N management on oilseed rape productivity in Germany. Crop Pasture Sci. 2016, 67, 439–449. [Google Scholar] [CrossRef]
- Tariq, M.; Ali, H.; Hussain, N.; Nasim, W.; Mubeen, M.; Ahmad, S.; Hasanuzzaman, M. Fundamentals of crop rotation in agronomic management. Agron. Crops Prod. Technol. 2019, 1, 545–559. [Google Scholar]
- Shah, K.K.; Modi, B.; Pandey, H.P.; Subedi, A.; Aryal, G.; Pandey, M.; Shrestha, J. Diversified crop rotation: An approach for sustainable agriculture production. Adv. Agric. 2021, 1, 8924087. [Google Scholar] [CrossRef]
- Otto, S.; Masin, R.; Nikolić, N.; Berti, A.; Zanin, G. Effect of 20-years crop rotation and different strategies of fertilization on weed seedbank. Agric. Ecosyst. Environ. 2023, 354, 10858. [Google Scholar] [CrossRef]
- Takashima, N.E.; Rondanini, D.P.; Puhl, L.E.; Miralles, D.J. Environmental factors affecting yield variability in spring and winter rapeseed genotypes cultivated in the southeastern Argentine Pampas. Eur. J. Agron. 2013, 48, 88–100. [Google Scholar] [CrossRef]
- Weymann, W.; Böttcher, U.; Sieling, K.; Kage, H. Effects of weather conditions during different growth phases on yield formation of winter oilseed rape. Field Crops Res. 2015, 173, 41–48. [Google Scholar] [CrossRef]
- Grzyb, A.; Wolna-Maruwka, A.; Niewiadomska, A. Environmental factors affecting the mineralization of crop residues. Agronomy 2020, 10, 1951. [Google Scholar] [CrossRef]
- Champolivier, L.; Merrien, A. Effects of water stress applied at different growth stages to Brassica napus L. var. oleifera on yield, yield components and seed quality. Eur. J. Agron. 1996, 5, 153–160. [Google Scholar] [CrossRef]
- Drebenstedt, I.; Hart, L.; Poll, C.; Marhan, S.; Kandeler, E.; Böttcher, C.; Meiners, T.; Hartung, J.; Högy, P. Do soil warming and changes in precipitation patterns affect seed yield and seed quality of field-grown winter oilseed rape? Agronomy 2020, 10, 520. [Google Scholar] [CrossRef]
- Drebenstedt, I.; Marhan, S.; Poll, C.; Kandeler, E.; Högy, P. Annual cumulative ambient precipitation determines the effects of climate change on biomass and yield of three important field crops. Field Crops Res. 2023, 290, 108766. [Google Scholar] [CrossRef]
- Zhao, J.; Yang, Y.; Zhang, K.; Jeong, J.; Zeng, Z.; Zang, H. Does crop rotation yield more in China? A meta-analysis. Field Crops Res. 2020, 245, 107659. [Google Scholar] [CrossRef]
- Sun, L.; Wang, S.; Zhang, Y.; Li, J.; Wang, X.; Wang, R.; Lyu, W.; Chen, N.; Wang, Q. Conservation agriculture based on crop rotation and tillage in the semi-arid Loess Plateau, China: Effects on crop yield and soil water use. Agric. Ecosyst. Environ. 2018, 251, 67–77. [Google Scholar] [CrossRef]
- Kirkegaard, J.; Christen, O.; Krupinsky, J.; Layzell, D. Break crop benefits in temperate wheat production. Field Crops Res. 2008, 107, 185–195. [Google Scholar] [CrossRef]
- Varanasi, A.; Prasad, P.V.; Jugulam, M. Impact of climate change factors on weeds and herbicide efficacy. Adv. Agron. 2016, 135, 107–146. [Google Scholar] [CrossRef]
- Horvath, D.P.; Clay, S.A.; Swanton, C.J.; Anderson, J.V.; Chao, W.S. Weed-induced crop yield loss: A new paradigm and new challenges. Trends Plant Sci. 2023, 28, 567–582. [Google Scholar] [CrossRef]
- Nowak, A. Differentiation in cereal production among Member States of the European Union. Pol. J. Agron. 2020, 40, 7–15. [Google Scholar] [CrossRef]
- Adeux, G.; Vieren, E.; Carlesi, S.; Bàrberi, P.; Munier-Jolain, N.; Cordeau, S. Mitigating crop yield losses through weed diversity. Nat. Sustain. 2019, 2, 1018–1026. [Google Scholar] [CrossRef]
- Milberg, P.; Hallgren, E. Yield loss due to weeds in cereals and its large-scale variability in Sweden. Field Crops Res. 2004, 86, 199–209. [Google Scholar] [CrossRef]
- Owen, M.D. Diverse approaches to herbicide-resistant weed management. Weed Sci. 2016, 64, 570–584. [Google Scholar] [CrossRef]
- Monteiro, A.; Santos, S. Sustainable approach to weed management: The role of precision weed management. Agronomy 2022, 12, 118. [Google Scholar] [CrossRef]
- Tataridas, A.; Kanatas, P.; Chatzigeorgiou, A.; Zannopoulos, S.; Travlos, I. Sustainable crop and weed management in the era of the EU Green Deal: A survival guide. Agronomy 2022, 12, 589. [Google Scholar] [CrossRef]
- Hegewald, H.; Wensch-Dorendorf, M.; Sieling, K.; Christen, O. Impacts of break crops and crop rotations on oilseed rape productivity: A review. Eur. J. Agron. 2018, 101, 63–77. [Google Scholar] [CrossRef]
- Szymańska, G.; Faligowska, A.; Panasiewicz, K.; Szukała, J.; Ratajczak, K.; Sulewska, H. The long-term effect of legumes as forecrops on the productivity of rotation winter triticale–winter rape with nitrogen fertilisation. Acta Agric. Scand. Sect. B—Soil Plant Sci. 2020, 70, 128–134. [Google Scholar] [CrossRef]
- Wang, L.; Zhu, D.; Li, X.; Ren, T.; Lu, J. Six years of different fertilization regimes shift weed community and competition with winter oilseed rape. Field Crops Res. 2023, 296, 108925. [Google Scholar] [CrossRef]
- Renton, M.; Chauhan, B.S. Modelling crop-weed competition: Why, what, how and what lies ahead? Crop Prot. 2017, 95, 101–108. [Google Scholar] [CrossRef]
- Smith, R.G.; Mortensen, D.A.; Ryan, M.R. A new hypothesis for the functional role of diversity in mediating resource pools and weed–crop competition in agroecosystems. Weed Res. 2010, 50, 37–48. [Google Scholar] [CrossRef]
- McDaniel, M.D.; Grandy, A.S.; Tiemann, L.K.; Weintraub, M.N. Crop rotation complexity regulates the decomposition of high and low quality residues. Soil Biol. Biochem. 2014, 78, 243–254. [Google Scholar] [CrossRef]
- Franke, A.C.; Van den Brand, G.J.; Vanlauwe, B.; Giller, K.E. Sustainable intensification through rotations with grain legumes in Sub-Saharan Africa: A review. Agric. Ecosyst. Environ. 2018, 261, 172–185. [Google Scholar] [CrossRef] [PubMed]
- Shekhawat, K.; Rathore, S.S.; Dass, A.; Das, T.K.; Mahajan, G.; Chauhan, B.S. Weed menace and management strategies for enhancing oilseed brassicas production in the Indian sub-continent: A review. Crop Prot. 2017, 96, 245–257. [Google Scholar] [CrossRef]
- Hu, Q.; Hua, W.; Yin, Y.; Zhang, X.; Liu, L.; Shi, J.; Zhao, Y.; Qin, L.; Chen, C.; Wang, H. Rapeseed research and production in China. Crop J. 2017, 5, 127–135. [Google Scholar] [CrossRef]
- Berger, A.; McDonald, A.J.; Riha, S.J. Does soil nitrogen affect early competitive traits of annual weeds in comparison with maize? Weed Res. 2007, 47, 509–516. [Google Scholar] [CrossRef]
- Berquer, A.; Bretagnolle, V.; Martin, O.; Gaba, S. Disentangling the effect of nitrogen input and weed control on crop–weed competition suggests a potential agronomic trap in conventional farming. Agric. Ecosyst. Environ. 2023, 345, 108232. [Google Scholar] [CrossRef]
- Mahal, N.K.; Castellano, M.J.; Miguez, F.E. Conservation agriculture practices increase potentially mineralizable nitrogen: A meta-analysis. Soil Sci. Soc. Am. J. 2018, 82, 1270–1278. [Google Scholar] [CrossRef]
- Harbur, M.M.; Owen, M.D. Light and growth rate effects on crop and weed responses to nitrogen. Weed Sci. 2004, 52, 578–583. [Google Scholar] [CrossRef]
- Harbur, M.M.; Owen, M.D. Response of three annual weeds to corn population density and nitrogen fertilization timing. Weed Sci. 2004, 52, 845–853. [Google Scholar] [CrossRef]
- Dordas, C. Role of nutrients in controlling plant diseases in sustainable agriculture. A review. Agron. Sustain. Dev. 2008, 28, 33–46. [Google Scholar] [CrossRef]
- Bowles, T.M.; Jilling, A.; Morán-Rivera, K.; Schnecker, J.; Grandy, A.S. Crop rotational complexity affects plant-soil nitrogen cycling during water deficit. Soil Biol. Biochem. 2022, 166, 108552. [Google Scholar] [CrossRef]
- Engelhardt, I.C.; Niklaus, P.A.; Bizouard, F.; Breuil, M.C.; Rouard, N.; Deau, F.; Philippot, L.; Barnard, R.L. Precipitation patterns and N availability alter plant-soil microbial C and N dynamics. Plant Soil 2021, 466, 151–163. [Google Scholar] [CrossRef]

















| Specification | Description |
|---|---|
| Soil cultivation 2019–2022 | Post-harvest cultivation—plowing, cultivation aggregate. Pre-sowing cultivation—application of mineral fertilizers, cultivation aggregate. |
| Variety description | Alibaba variety—a variety that yields stably even in years with unfavorable weather conditions. It has good regenerative properties, high winter hardiness, tolerance to environmental stresses, and high disease resistance. It is an early-flowering and mid-early maturing variety. |
| Sowing description | Plot area for sowing = 27.0 m2. Precision drill, small-plot drill, row spacing of 25 cm, seeding rate of 80 seeds m2. Showing dates: 16 August 2019, 19 August 2020, 15 August 2021. |
| Fertilization | Mineral nitrogen fertilization at a rate of 150 kg N ha−1, applied in three doses: 30 kg N ha−1, urea (46% N)/pre-sowing 60 kg N ha−1, ammonium nitrate (34% N)/BBCH 26–27 60 kg N ha−1, ammonium nitrate (34% N)/BBCH 30–39 P and K fertilizers were applied pre-sowing: 34.9 kg P ha−1, granulated superphosphate (40% P); 83.0 kg K ha−1, potassium salt (60% K2O). Manure fertilization at 30 t ha−1 was applied in crop rotation under sugar beet (4 years before winter rape cultivation). In continuous winter rape monoculture, manure fertilization at 30 t ha−1 was applied every 3 years (15 t ha−1 after the 2016 harvest and 15 t ha−1 after the 2019 harvest). |
| Insecticides applied | 2019/2020: Inazuma 130 W.G. 0.2 kg ha−1 (acetamiprid 100 g kg), Proteus 110 O.D. 0.5 L ha−1 (thiacloprid 100 g L deltamethrin 10 g L), Proteus 110 O.D. 0.5 L ha−1 (thiacloprid 100 g L deltamethrin 10 g L), 2020/2021, 2021/2022: Karate Zeon 0.50 CS 0.125 L ha−1 (lambda-cyhalothrin 50 g L), Inazuma 130 W.G. 0.2 kg ha−1 (acetamiprid 100 g kg, lambda-cyhalothrin 30 g kg−1), Trebon 30 EC 0.3 L ha−1 (etofenprox 287.5 g L), Marvik Vita 240 EW 0.2 L ha−1 (tau fluvalinate 240 g L). |
| Harvesting | Plot area for harvest: 22.5 m2; Harvest dates: 15 July 2020, 12 July 2021, 14 July 2022. |
| Year of Study | Herbicide | Active Ingredient | Application Date |
|---|---|---|---|
| 2019/2020 | Butisan Avant 2.5 L ha−1 | metazachlor 300 g L dimetenamid-p 100 g L quinmerac 100 g L | 16 August 2019 |
| 2020/2021 | Butisan Star 416 S.C. 2.5 L ha−1 | metazachlor 333 g L quinmerac 83 g L | 24 August 2020 |
| 2021/2022 | Butisan Star 416 S.C. 2.5 L ha−1 | metazachlor 333 g L quinmerac 83 g L | 18 August 2021 |
| Weed Species | Number of Weeds, m2 | Biomass of Weeds, g m2 | ||
|---|---|---|---|---|
| CR * | CC | CR | CC | |
| Centaurea cyanus L. | 2.56 | 3.54 | 12.80 | 36.90 |
| Agropyron repens (L.) P. Beauv. | 1.51 | 3.53 | 8.80 | 11.80 |
| Geranium pusillum Burm. F. ex L. | 4.15 | 6.42 | 6.10 | 20.10 |
| Stellaria media (L.) Vill | 5.11 | 22.15 | 5.40 | 31.80 |
| Matricaria maritima L. subsp. inodora (L.) Dostál | 2.85 | 7.95 | 3.80 | 18.90 |
| Poa trivialis | 3.54 | 3.28 | 2.70 | 1.80 |
| Viola arvensis Murray | 3.81 | 2.77 | 2.00 | 5.60 |
| Galium aparine L. | 4.32 | - | 2.00 | - |
| Myosotis arvensis (L.) Hill | 2.21 | - | 1.50 | - |
| Laminum amplexicaule L. | 3.31 | - | 1.20 | - |
| Lycopsis arvensis L. | 2.45 | - | 0.80 | - |
| Crepis conyzifolia (Gouan) A. Kern. | 1.39 | - | 0.60 | - |
| Anthemis arvensis | - | 14.35 | - | 25.40 |
| Apera spica-venti (L.) P. Beauv. | - | 8.39 | - | 20.50 |
| Capsella bursapastoris (L.) Medik. | - | 4.15 | - | 6.60 |
| Veronica arvensis L. | - | 5.66 | - | 5.70 |
| Cirsium arvense | - | 1.82 | - | 2.50 |
| Total | 37.21 b | 84.01 a | 47.70 b | 187.60 a |
| Treatment | Yield of Seeds [kg ha−1] | Yield of Straw [kg ha−1] | Weed Biomass [kg ha−1] |
|---|---|---|---|
| Crop succession system | |||
| Continuous cropping | 1321.7 ± 720.6 b | 2211.3 ± 1020.1 b | 1875.9 ± 1235.1 a |
| Crop rotation | 2742.4 ± 582.1 a | 4386.7 ± 1006.4 a | 476.9 ± 540.2 b |
| Crop protection | |||
| No Herbicide | 2012.3 ± 1028.7 a | 3276.3 ± 1537.9 a | 1367.4 ± 1209.3 a |
| Herbicide | 2052.1 ± 931.5 a | 3321.6 ± 1480.7 a | 985.4 ± 1146.2 b |
| Year | |||
| 2020 | 2007.1 ± 1207.0 ab | 3219.3 ± 1814.5 ab | 1423.3 ± 1284.8 a |
| 2021 | 1694.7 ± 810.7 b | 2870.6 ± 1264.0 b | 775.7 ± 1162.7 b |
| 2022 | 2394.5 ± 771.7 a | 3807.1 ± 1290.9 a | 1330.2 ± 1067.5 ab |
| Treatment | N Uptake with Seeds [kg ha−1] | N Uptake with Straw [kg ha−1] | N Uptake with Weeds [kg ha−1] |
|---|---|---|---|
| Crop succession system | |||
| Continuous cropping | 33.45 ± 19.17 b | 12.90 ± 6.37 b | 27.44 ± 17.09 a |
| Crop rotation | 67.32 ± 14.19 a | 25.90 ± 7.91 a | 7.54 ± 7.95 b |
| Crop protection | |||
| No Herbicide | 50.14 ± 26.06 a | 18.70 ± 9.17 a | 20.22 ± 16.78 a |
| Herbicide | 50.63 ± 22.29 a | 20.10 ± 10.37 a | 14.75 ± 16.35 a |
| Year | |||
| 2020 | 46.78 ± 27.29 a | 21.08 ± 12.81 a | 18.74 ± 16.75 a |
| 2021 | 44.21 ± 21.63 a | 15.75 ± 6.78 a | 12.27 ± 19.20 a |
| 2022 | 60.17 ± 21.08 a | 21.36 ± 8.10 a | 21.44 ± 13.25 a |
Disclaimer/Publisher’s Note: The statements, opinions and data contained in all publications are solely those of the individual author(s) and contributor(s) and not of MDPI and/or the editor(s). MDPI and/or the editor(s) disclaim responsibility for any injury to people or property resulting from any ideas, methods, instructions or products referred to in the content. |
© 2025 by the authors. Licensee MDPI, Basel, Switzerland. This article is an open access article distributed under the terms and conditions of the Creative Commons Attribution (CC BY) license (https://creativecommons.org/licenses/by/4.0/).
Share and Cite
Stępień, A.; Wojtkowiak, K.; Kolankowska, E. Crop Rotation and Weed Control as Factors in the Sustainable Cultivation of Winter Oilseed Rape. Sustainability 2025, 17, 5065. https://doi.org/10.3390/su17115065
Stępień A, Wojtkowiak K, Kolankowska E. Crop Rotation and Weed Control as Factors in the Sustainable Cultivation of Winter Oilseed Rape. Sustainability. 2025; 17(11):5065. https://doi.org/10.3390/su17115065
Chicago/Turabian StyleStępień, Arkadiusz, Katarzyna Wojtkowiak, and Ewelina Kolankowska. 2025. "Crop Rotation and Weed Control as Factors in the Sustainable Cultivation of Winter Oilseed Rape" Sustainability 17, no. 11: 5065. https://doi.org/10.3390/su17115065
APA StyleStępień, A., Wojtkowiak, K., & Kolankowska, E. (2025). Crop Rotation and Weed Control as Factors in the Sustainable Cultivation of Winter Oilseed Rape. Sustainability, 17(11), 5065. https://doi.org/10.3390/su17115065

