How Do Environmental Regulation and Media Pressure Influence Greenwashing Behaviors in Chinese Manufacturing Enterprises?
Abstract
1. Introduction
- (1)
- To explore the effect of environmental regulation and media pressure on greenwashing behaviors in manufacturing enterprises, a new tool of hybrid models is proposed. This integrated modeling approach enables a more accurate assessment of the influence exerted by environmental regulation and media pressure on greenwashing behaviors.
- (2)
- Based on the assumption of bounded rationality and the goal of interest maximization among agents, this study verifies the differentiated impacts of environmental regulation intensity and information disclosure intensity on the green innovation strategies of manufacturing enterprises. Accordingly, the main contribution of our findings lies in deepening the understanding of how environmental regulation and media pressure, particularly after their promulgation and dissemination, jointly influence and regulate greenwashing behaviors. This work addresses a notable gap in the literature by offering new insights into the collaborative governance mechanisms between regulatory authorities and media actors in promoting green corporate practices.
- (3)
- In light of China’s future goals in carbon peaking and carbon neutrality, the findings of this study offer valuable insights for the government in leveraging media pressure to enhance the effectiveness of environmental regulation policies. Accordingly, our results not only assist manufacturing enterprises in identifying optimal environmental strategies, but also provide evidence-based support for policymakers in designing more effective measures to deter greenwashing behaviors.
2. Literature Review
2.1. Environmental Regulation and Its Impact on Greenwashing Behaviors
2.2. Media Pressure and Its Impact on Greenwashing Behaviors
2.3. Brief Review
3. Approach
3.1. Problem Description
3.2. Assumptions
- (1)
- Assumptions for the evolutionary game model
- (2)
- Assumptions for the SEIR epidemic model
3.3. Systematic Stability Analysis
- (1)
- Stability analysis of the evolutionary game model
- (2)
- Stability analysis of the SEIR epidemic model
4. Result and Discussion
4.1. Parameter Specification
4.2. Simulation Results
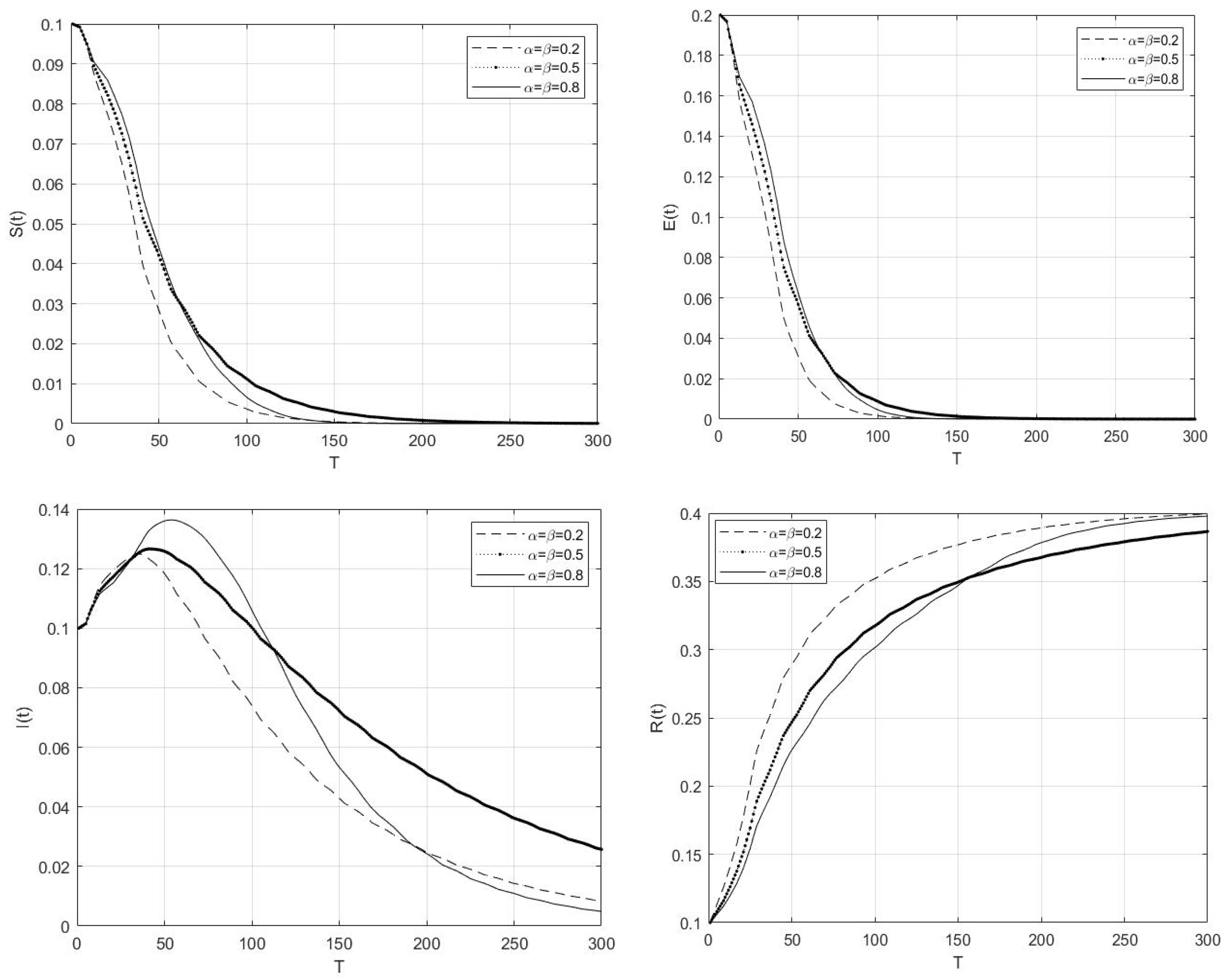
- (1)
- Initial game strategy
- (2)
- The effect of environmental regulations
- (3)
- The effect of media pressure
4.3. Discussion
- (1)
- Several studies have confirmed that environmental regulation plays a significant role in promoting green innovation among enterprises, which can stimulate the Porter effect [72,73,78]. The findings of this paper further suggest that differentiated environmental regulations have different dominant levels of greenwashing behaviors. To maximize the function of government environmental governance, the stricter environmental regulation is, the more appreciable may be its effects [79]. Once manufacturing enterprises decrease their greenwashing behaviors, local governments can gradually weaken the intensity of environmental regulations. However, when regulatory costs reach a critical value, the regulatory effect of environmental regulations on greenwashing behaviors of manufacturing enterprises may be reduced. The possible reason is that the cost-effective of environmental regulation may pass on the green innovation output of manufacturing enterprises [80]. These findings agree with [49], who believed that stricter environmental regulation intensity has a higher inhibitory effect on corporate greenwashing behaviors of China’s energy companies. Especially, stricter environmental regulations can force high-polluting enterprises to develop substantive green innovation [70]. Also, the intensity of environmental regulation needs to be dynamically adjusted based on the evolution of greenwashing behaviors in considering the cost of environmental regulation.
- (2)
- As a supplementary force of government regulation, media pressure is an important external regulatory tool to disclose manufacturing enterprises’ greenwashing behaviors by disseminating greenwashing information [66]. The degree of social media disclosure has little impact on its infectious state in the early stages of greenwashing information dissemination [68,81]; however, once a certain threshold of dissemination is crossed, the media pressure can provide a certain external regulation in the lower greenwashing behaviors of manufacturing enterprises. There are some research efforts that also report the above findings [82,83]. By the investigation of greenwashing behaviors in manufacturing enterprises, research teams found that the lack of effective regulation is the biggest obstacle to governing greenwashing behaviors of manufacturing enterprises. Meanwhile, many scholars have indicated that environmental regulation and social media carried important indications in disclosing enterprises’ greenwashing behaviors [7,49,74]. These studies have often overlooked the synergistic governance effect of environmental regulation and social media.
- (3)
- Environmental regulation and social media play different functional roles in controlling the greenwashing behaviors of manufacturing enterprises [52,84]. First, strict environmental regulation can compel manufacturing enterprises to reduce emissions, while also encouraging them to pursue substantive green innovation [85], and the dissemination of greenwashing information driven by tendentious social media reports tends to decline significantly as the intensity of environmental regulation increases [49]. Second, the higher intensity of greenwashing information dissemination can bring sustained media pressure on local governments and manufacturing enterprises [83,86]. Therefore, it should introduce the media pressure and environmental regulation to regulate greenwashing behaviors and give full play to the positive role of environmental collaborative governance in reducing greenwashing behaviors, which ultimately achieves substantive green innovation.
5. Conclusions and Implications
5.1. Conclusions
- (1)
- Stricter environmental regulations imposed by local governments significantly curb greenwashing behaviors among manufacturing enterprises. However, such regulatory efforts entail increasing costs for governments, while the high cost of genuine green innovation continues to constrain enterprises. Furthermore, the process of greenwashing is inherently stochastic. When greenwashing information on social media remains in its early (susceptible or latent) stages, environmental regulation has limited impact. Nevertheless, in the long run, the relaxation of regulatory intensity may trigger a resurgence of greenwashing behaviors, potentially leading to secondary outbreaks of greenwashing information dissemination on social platforms.
- (2)
- The social media concern about greenwashing behaviors may not only pressurize green innovation activities of manufacturing enterprises, but also supervise the government to enhance environmental regulation intensity. As the exposure of social media continues to increase, local governments are more willing to adopt environmental regulation strategies. At the same time, the higher the intensity of greenwashing information dissemination in social media, the slower the rate of relief for media pressure. However, we should also note that social media is keen on hot and short-term news events in the greenwashing information dissemination, which often shifts media attention with the emergence of new hotspots. Therefore, the local government should encourage social media to establish a long-term follow-up reporting mechanism for disclosing greenwashing behaviors. So, social media will become an important external regulatory tool that continuously exposes corporate greenwashing behaviors.
- (3)
- Given the dynamic and adaptive nature of greenwashing behavior, regulatory intensity should be flexibly adjusted in accordance with its associated costs. Meanwhile, the media pressure also can promote substantive green innovation in manufacturing enterprises. As internal and external regulatory tools, environmental regulation and media pressure can jointly generate the effect of environmental collaborative governance. Especially, it is necessary to further expand the scope of social media’s authority and establish a legal guaranteed mechanism of social media. Therefore, the function of environmental collaborative governance for environmental regulation and media pressure can be fully utilized, which is crucial in regulating the greenwashing behaviors of manufacturing enterprises.
5.2. Implications
5.3. Limitations and Future Study
Author Contributions
Funding
Institutional Review Board Statement
Informed Consent Statement
Data Availability Statement
Acknowledgments
Conflicts of Interest
Appendix A. Local Stability Analysis of the SEIR Model
Appendix B. Derivation of the Basic Reproduction Number
References
- Huang, J.; He, W.; Dong, X.; Wang, Q.; Wu, J. How does green finance reduce China’s carbon emissions by fostering green technology innovation? Energy 2024, 298, 131266. [Google Scholar] [CrossRef]
- Liu, X.M.; Zhang, Y.Q. Digital transformation, green innovation, and carbon emission reduction performance of energy-intensive enterprises. Sci. Rep. 2024, 14, 3905. [Google Scholar]
- Wang, L.; Gu, Y.; Sha, L.; Guo, F. How does Fintech affect green innovation of Chinese heavily polluting enterprises? The mediating role of energy poverty. Environ. Sci. Pollut. Res. 2023, 30, 65041–65058. [Google Scholar] [CrossRef] [PubMed]
- Jin, M.; Chen, Y. Has green innovation been improved by intelligent manufacturing?—Evidence from listed Chinese manufacturing enterprises. Technol. Forecast. Soc. Change 2024, 205, 123487. [Google Scholar] [CrossRef]
- Sun, C.; Zeng, Y. Does the green credit policy affect the carbon emissions of heavily polluting enterprises? Energy Policy 2023, 180, 113679. [Google Scholar] [CrossRef]
- Zhang, X. Can retail investor activism inhibit corporate greenwashing behavior: Evidence from investor interactive platforms in China. J. Clean. Prod. 2024, 461, 142617. [Google Scholar] [CrossRef]
- Liu, C.; Song, Y.; Wang, W.; Shi, X. The governance of manufacturers’ greenwashing behaviors: A tripartite evolutionary game analysis of electric vehicles. Appl. Energy 2023, 333, 120498. [Google Scholar] [CrossRef]
- Lu, W.; Wu, H.; Yang, S.; Tu, Y. Effect of environmental regulation policy synergy on carbon emissions in China under consideration of the mediating role of industrial structure. J. Environ. Manag. 2022, 322, 116053. [Google Scholar] [CrossRef]
- Haoyang, W.; Lei, G.; Ying, J. The predicament of clean energy technology promotion in China in the carbon neutrality context: Lessons from China’s environmental regulation policies from the perspective of the evolutionary game theory. Energy Rep. 2022, 8, 4706–4723. [Google Scholar] [CrossRef]
- Shen, C.; Wang, Y. How does public concern about climate change affect carbon emissions? Evidence from large-scale online content and provincial-level data in China. J. Clean. Prod. 2023, 426, 139137. [Google Scholar] [CrossRef]
- Yao, J.; Guo, X.; Wang, L.; Jiang, H. An evolutionary game and system dynamics approach for the production and consumption of carbon-labeled products-based on a media monitoring perspective. J. Environ. Manag. 2024, 360, 121154. [Google Scholar] [CrossRef] [PubMed]
- Jie, G.; Jiahui, L. Media attention, green technology innovation and industrial enterprises’ sustainable development: The moderating effect of environmental regulation. Econ. Anal. Policy 2023, 79, 873–889. [Google Scholar] [CrossRef]
- Sun, J.; Hou, S.; Deng, Y.; Li, H. New media environment, green technological innovation and corporate productivity: Evidence from listed companies in China. Energy Econ. 2024, 131, 107395. [Google Scholar] [CrossRef]
- Chen, Z.; Jin, J.; Li, M. Does media coverage influence firm green innovation? The moderating role of regional environment. Technol. Soc. 2022, 70, 102006. [Google Scholar] [CrossRef]
- Li, F.; Guo, Y.; Dong, T.; Liu, B.; Geng, X. Tripartite evolutionary game analysis on corporate carbon reduction decisions considering dual supervision under carbon trading. Comput. Ind. Eng. 2024, 187, 109786. [Google Scholar] [CrossRef]
- Zhang, C.; Zhang, X. Evolutionary game analysis of air pollution co-investment in emission reductions by steel enterprises under carbon quota trading mechanism. J. Environ. Manag. 2022, 317, 115376. [Google Scholar] [CrossRef]
- Wang, X.; Lai, C.; Li, H.; Zhang, Z. A tripartite game analysis of public participation in environmental regulation of ionic rare earth mining areas. Resour. Policy 2023, 81, 103319. [Google Scholar] [CrossRef]
- Ye, L.; Fang, Y. Evolutionary game analysis on firms and banks’ behavioral strategies: Impact of environmental governance on interest rate setting. Environ. Impact Assess. Rev. 2021, 86, 106501. [Google Scholar] [CrossRef]
- Meng, L.; Liu, K.; He, J.; Han, C.; Liu, P. Carbon emission reduction behavior strategies in the shipping industry under government regulation: A tripartite evolutionary game analysis. J. Clean. Prod. 2022, 378, 134556. [Google Scholar] [CrossRef]
- Jiang, B.; Wang, X.; Xue, H.; Li, J.; Gong, Y. An evolutionary game model analysis on emission control areas in China. Mar. Policy 2020, 118, 104010. [Google Scholar] [CrossRef]
- Du, K.; Cheng, Y.; Yao, X. Environmental regulation, green technology innovation, and industrial structure upgrading: The road to the green transformation of Chinese cities. Energy Econ. 2021, 98, 105247. [Google Scholar] [CrossRef]
- Yuan, B.; Xiang, Q. Environmental regulation, industrial innovation and green development of Chinese manufacturing: Based on an extended CDM model. J. Clean. Prod. 2018, 176, 895–908. [Google Scholar] [CrossRef]
- Xie, R.; Teo, T.S.H. Green technology innovation, environmental externality, and the cleaner upgrading of industrial structure in China—Considering the moderating effect of environmental regulation. Technol. Forecast. Soc. Change 2022, 184, 122020. [Google Scholar] [CrossRef]
- Chang, K.; Liu, L.; Luo, D.; Xing, K. The impact of green technology innovation on carbon dioxide emissions: The role of local environmental regulations. J. Environ. Manag. 2023, 340, 117990. [Google Scholar] [CrossRef]
- Zhao, X.; Guo, Y.; Feng, T. Towards green recovery: Natural resources utilization efficiency under the impact of environmental information disclosure. Resour. Policy 2023, 83, 103657. [Google Scholar] [CrossRef]
- Gupta, A. Transparency under scrutiny: Information disclosure in global environmental governance. Glob. Environ. Politics 2008, 8, 1–7. [Google Scholar] [CrossRef]
- Wang, L.; Shao, J. Environmental information disclosure and energy efficiency: Empirical evidence from China. Environ. Dev. Sustain. 2024, 26, 4781–4800. [Google Scholar] [CrossRef]
- Bu, C.; Zhang, K.; Shi, D.; Wang, S. Does environmental information disclosure improve energy efficiency? Energy Policy 2022, 164, 112919. [Google Scholar] [CrossRef]
- Szolnoki, A.; Mobilia, M.; Jiang, L.L.; Szczesny, B.; Rucklidge, A.M.; Perc, M. Cyclic dominance in evolutionary games: A review. J. R. Soc. Interface 2014, 11, 20140735. [Google Scholar] [CrossRef]
- Wu, B.; Liu, P.; Xu, X. An evolutionary analysis of low-carbon strategies based on the government–enterprise game in the complex network context. J. Clean. Prod. 2017, 141, 168–179. [Google Scholar] [CrossRef]
- Hosseini-Motlagh, S.M.; Choi, T.M.; Johari, M.; Nouri-Harzvili, M. A profit surplus distribution mechanism for supply chain coordination: An evolutionary game-theoretic analysis. Eur. J. Oper. Res. 2022, 301, 561–575. [Google Scholar] [CrossRef]
- Cheng, Y.; Huang, L.; Ramlogan, R.; Li, X. Forecasting of potential impacts of disruptive technology in promising technological areas: Elaborating the SIRS epidemic model in RFID technology. Technol. Forecast. Soc. Chang. 2017, 117, 170–183. [Google Scholar] [CrossRef]
- Hunter, E.; Kelleher, J.D. Understanding the assumptions of an SEIR compartmental model using agentization and a complexity hierarchy. J. Comput. Math. Data Sci. 2022, 4, 100056. [Google Scholar] [CrossRef]
- Siluo, Y.; Aoxia, X. Two-layer Transmission Model of WeChat Public Account with Bass Model and SIR Model. Data Anal. Knowl. Discov. 2021, 5, 74–87. [Google Scholar]
- Boutayeb, H.; Bidah, S.; Zakary, O.; Rachik, M. A New Simple Epidemic Discrete-Time Model Describing the Dissemination of Information with Optimal Control Strategy. Discret. Dyn. Nat. Soc. 2020, 2020, 1–11. [Google Scholar] [CrossRef]
- Wang, Y.; Huang, X.; Li, B.; Liu, X.; Ma, Y.; Huang, X. Spreading mechanism of Weibo public opinion phonetic representation based on the epidemic model. Int. J. Speech Technol. 2023, 26, 11–21. [Google Scholar] [CrossRef]
- Yang, Z.; Chen, H.; Peng, C.; Liu, X. Exploring the role of environmental regulations in the production and diffusion of electric vehicles. Comput. Ind. Eng. 2022, 173, 108675. [Google Scholar] [CrossRef]
- Ambec, S.; Cohen, M.A.; Elgie, S.; Lanoie, P. The porter hypothesis at 20: Can environmental regulation enhance innovation and competitiveness? Rev. Environ. Econ. Policy 2013, 7, 2–22. [Google Scholar] [CrossRef]
- Hu, J.; Pan, X.; Huang, Q. Quantity or quality? The impacts of environmental regulation on firms’ innovation–Quasi-natural experiment based on China’s carbon emissions trading pilot. Technol. Forecast. Soc. Change 2020, 158, 120122. [Google Scholar] [CrossRef]
- Shen, Q.; Pan, Y.; Feng, Y. Identifying and assessing the multiple effects of informal environmental regulation on carbon emissions in China. Environ. Res. 2023, 237, 116931. [Google Scholar] [CrossRef]
- Cao, Y.; Ren, W.; Yue, L. Environmental regulation and carbon emissions: New mechanisms in game theory. Cities 2024, 149, 104945. [Google Scholar] [CrossRef]
- Fida, S.; Saeed, S. Modelling emission consequences of sectoral value-added: Exploring mediation of financial development and moderation of environmental regulations in European Union. J. Clean. Prod. 2023, 428, 139373. [Google Scholar] [CrossRef]
- Balsalobre-Lorente, D.; Shahbaz, M.; Roubaud, D.; Farhani, S. How economic growth, renewable electricity and natural resources contribute to CO2 emissions? Energy Policy 2018, 113, 356–367. [Google Scholar] [CrossRef]
- Zakari, A.; Khan, I.; Tawiah, V.; Alvarado, R.; Li, G. The production and consumption of oil in Africa: The environmental implications. Resour. Policy 2022, 78, 102795. [Google Scholar] [CrossRef]
- Zou, Y.; Wang, M. Does environmental regulation improve energy transition performance in China? Environ. Impact Assess. Rev. 2024, 104, 107335. [Google Scholar] [CrossRef]
- Guo, M.; Wang, H.; Kuai, Y. Environmental regulation and green innovation: Evidence from heavily polluting firms in China. Financ. Res. Lett. 2023, 53, 103624. [Google Scholar] [CrossRef]
- Jiang, Y.; Guo, Y.; Bashir, M.F.; Shahbaz, M. Do renewable energy, environmental regulations and green innovation matter for China’s zero carbon transition: Evidence from green total factor productivity. J. Environ. Manag. 2024, 352, 120030. [Google Scholar] [CrossRef] [PubMed]
- Zhang, D. Can environmental monitoring power transition curb corporate greenwashing behavior? J. Econ. Behav. Organ. 2023, 212, 199–218. [Google Scholar] [CrossRef]
- Jin, Y.; Li, H.; Lu, J. How does energy policy uncertainty perception affect corporate greenwashing behaviors? Evidence from China’s energy companies. Energy 2024, 306, 132403. [Google Scholar] [CrossRef]
- Du, S.; Huang, C.; Yan, X.; Tang, W. Voluntary green technology adoption: The effects of regulatory uncertainty and competition. Eur. J. Oper. Res. 2024, 315, 528–540. [Google Scholar] [CrossRef]
- Zhang, D. Green financial system regulation shock and greenwashing behaviors: Evidence from Chinese firms. Energy Econ. 2022, 111, 106064. [Google Scholar] [CrossRef]
- He, Q.; Wang, Z.; Wang, G.; Zuo, J.; Wu, G.; Liu, B. To be green or not to be: How environmental regulations shape contractor greenwashing behaviors in construction projects. Sustain. Cities Soc. 2020, 63, 102462. [Google Scholar] [CrossRef]
- Acemoglu, D.; Aghion, P.; Bursztyn, L.; Hemous, D. The environment and directed technical change. Am. Econ. Rev. 2012, 102, 131–166. [Google Scholar] [CrossRef]
- Xu, B.; Xu, R. Assessing the role of environmental regulations in improving energy efficiency and reducing CO2 emissions: Evidence from the logistics industry. Environ. Impact Assess. Rev. 2022, 96, 106831. [Google Scholar] [CrossRef]
- Qi, Y.; Zhang, J.; Chen, J. Tax incentives, environmental regulation and firms’ emission reduction strategies: Evidence from China. J. Environ. Econ. Manag. 2023, 117, 102750. [Google Scholar] [CrossRef]
- Ulucak, R.; Khan, S.U.D.; Baloch, M.A.; Li, N. Mitigation pathways toward sustainable development: Is there any trade-off between environmental regulation and carbon emissions reduction? Sustain. Dev. 2020, 28, 813–822. [Google Scholar]
- Jia, W.; Xie, R.; Ma, C.; Gong, Z.; Wang, H. Environmental regulation and firms’ emission reduction—The policy of eliminating backward production capacity as a quasi-natural experiment. Energy Econ. 2024, 130, 107271. [Google Scholar] [CrossRef]
- Michaelowa, A.; Michaelowa, K.; Shishlov, I.; Brescia, D. Catalysing private and public action for climate change mitigation: The World Bank’s role in international carbon markets. Clim. Policy 2020, 21, 120–132. [Google Scholar] [CrossRef]
- Asare, P. Exploring the heterogeneous influence of social media usage on human development: The role of carbon emissions and institutional quality. Econ. Financ. Lett. 2023, 10, 122–142. [Google Scholar]
- Galán-Valdivieso, F.; Saraite-Sariene, L.; Alonso-Cañadas, J.; Caba-Pérez, M.C. Do corporate carbon policies enhance legitimacy? A social media perspective. Sustainability 2019, 11, 1161. [Google Scholar] [CrossRef]
- He, R.; Luo, L.; Shamsuddin, A.; Tang, Q. Corporate carbon accounting: A literature review of carbon accounting research from the Kyoto Protocol to the Paris Agreement. Account. Financ. 2022, 62, 261–298. [Google Scholar] [CrossRef]
- Albarrak, M.S.; Elnahass, M.; Salama, A. The effect of carbon dissemination on cost of equity. Bus. Strategy Environ. 2019, 28, 1179–1198. [Google Scholar] [CrossRef]
- Zhou, W.; Cao, X.; Dong, X.; Zhen, X. The effects of carbon-related news on carbon emissions and carbon transfer from a global perspective: Evidence from an extended STIRPAT model. J. Clean. Prod. 2023, 425, 138974. [Google Scholar] [CrossRef]
- Debnath, R.; Bardhan, R.; Shah, D.U.; Mohaddes, K.; Ramage, M.H.; Alvarez, R.M.; Sovacool, B.K. Social media enables people-centric climate action in the hard-to-decarbonise building sector. Sci. Rep. 2022, 12, 1–17. [Google Scholar] [CrossRef] [PubMed]
- Blazkova, T.; Pedersen, E.R.G.; Andersen, K.R.; Rosati, F. Greenwashing debates on Twitter: Stakeholders and critical topics. J. Clean. Prod. 2023, 427, 139260. [Google Scholar] [CrossRef]
- Ren, J.; Wu, P.; Hou, L. Social media attention and corporate greenwashing: Evidence from China. Corp. Soc. Responsib. Environ. Manag. 2024, 31, 5446–5465. [Google Scholar] [CrossRef]
- Zhang, Y.; Fu, B. Social trust contributes to the reduction of urban carbon dioxide emissions. Energy 2023, 279, 128127. [Google Scholar] [CrossRef]
- Xing, C.; Zhang, X.; Zhang, Y.; Zhang, L. From green-washing to innovation-washing: Environmental information intangibility and corporate green innovation in China. Int. Rev. Econ. Financ. 2024, 93, 204–226. [Google Scholar] [CrossRef]
- Li, M.; Gao, X. Implementation of enterprises’ green technology innovation under market-based environmental regulation: An evolutionary game approach. J. Environ. Manag. 2022, 308, 114570. [Google Scholar] [CrossRef]
- He, X.; Jing, Q.; Chen, H. The impact of environmental tax laws on heavy-polluting enterprise ESG performance: A stakeholder behavior perspective. J. Environ. Manag. 2023, 344, 118578. [Google Scholar] [CrossRef]
- Zhang, W.; Ke, J.; Sun, C. Green innovation of heavily polluting enterprises under environmental liability insurance: Evidence from Chinese listed companies. Technol. Forecast. Soc. Change 2024, 206, 123532. [Google Scholar] [CrossRef]
- Cai, X.; Zhu, B.; Zhang, H.; Li, L.; Xie, M. Can direct environmental regulation promote green technology innovation in heavily polluting industries? Evidence from Chinese listed companies. Sci. Total Environ. 2020, 746, 140810. [Google Scholar] [CrossRef] [PubMed]
- Zhong, Z.; Peng, B. Can environmental regulation promote green innovation in heavily polluting enterprises? Empirical evidence from a quasi-natural experiment in China. Sustain. Prod. Consum. 2022, 30, 815–828. [Google Scholar] [CrossRef]
- Li, X.; Ding, Z. Decision-making mechanisms of greenwashing behaviors of building materials manufacturers: A media disclosure and consumer skepticism perspective. Environ. Technol. Innov. 2024, 35, 103705. [Google Scholar] [CrossRef]
- Gruhl, D.; Liben-Nowell, D.; Guha, R.; Tomkins, A. Information diffusion through blogspace. In Proceedings of the Thirteenth International World Wide Web Conference Proceedings, WWW2004, New York, NY, USA, 17–20 May 2004; pp. 491–501. [Google Scholar]
- Freeman, R.E. Divergent stakeholder theory. Acad. Manag. Rev. 1999, 24, 233–236. [Google Scholar] [CrossRef]
- Friedman, D. Evolutionary economics goes mainstream: A review of the theory of learning in games. J. Evol. Econ. 1998, 8, 423–432. [Google Scholar] [CrossRef]
- Song, W.; Han, X.; Liu, Q. Patterns of environmental regulation and green innovation in China. Struct. Chang. Econ. Dyn. 2024, 71, 176–192. [Google Scholar] [CrossRef]
- Wang, Y.; Liu, J.; Hansson, L.; Zhang, K.; Wang, R. Implementing stricter environmental regulation to enhance eco-efficiency and sustainability: A case study of Shandong Province’s pulp and paper industry, China. J. Clean. Prod. 2011, 19, 303–310. [Google Scholar] [CrossRef]
- Sun, Z.; Sun, X.; Wang, W.; Sun, M.; Wang, W. Green merger and acquisition decision driven by environmental regulation and its impact on green innovation: Evidence from Chinese heavily polluting listed enterprises. Environ. Dev. Sustain. 2024, 26, 4973–5001. [Google Scholar] [CrossRef]
- Wang, W.; Sun, Z.; Zhu, W.; Ma, L.; Dong, Y.; Sun, X.; Wu, F. How does multi-agent govern corporate greenwashing? A stakeholder engagement perspective from “common” to “collaborative” governance. Corp. Soc. Responsib. Environ. Manag. 2023, 30, 291–307. [Google Scholar] [CrossRef]
- Amin, M.H.; Ali, H.; Mohamed, E.K.A. Corporate social responsibility disclosure on Twitter: Signalling or greenwashing? Evidence from the UK. Int. J. Financ. Econ. 2024, 29, 1745–1761. [Google Scholar] [CrossRef]
- Yue, J.; Li, Y. Media attention and corporate greenwashing behavior: Evidence from China. Financ. Res. Lett. 2023, 55, 104016. [Google Scholar] [CrossRef]
- Kurpierz, J.R.; Smith, K. The greenwashing triangle: Adapting tools from fraud to improve CSR reporting. Sustain. Account. Manag. Policy J. 2020, 11, 1075–1093. [Google Scholar] [CrossRef]
- Ouyang, X.; Li, Q.; Du, K. How does environmental regulation promote technological innovations in the industrial sector? Evidence from Chinese provincial panel data. Energy Policy 2020, 139, 111310. [Google Scholar] [CrossRef]
- Heyes, A.; Zhu, M. Air pollution as a cause of sleeplessness: Social media evidence from a panel of Chinese cities. J. Environ. Econ. Manag. 2019, 98, 102247. [Google Scholar] [CrossRef]
- Van den Driessche, P.; Watmough, J. Reproduction numbers and sub-threshold endemic equilibria for compartmental models of disease transmission. Math. Biosci. 2002, 180, 29–48. [Google Scholar] [CrossRef]








| Variables | Descriptions | Sources |
|---|---|---|
| The normal benefit obtained of manufacturing enterprises by greenwashing behaviors | [49] | |
| The additional innovation benefits of manufacturing enterprises through substantive green innovation | [69] | |
| The production costs that manufacturing enterprises choose greenwashing strategies | [70] | |
| Manufacturing enterprises incur additional green technological transformation costs when opting for substantive green innovation | [71] | |
| Intensity of incentive measures () | [37] | |
| Intensity of regulatory penalties () | [37] | |
| , | Environmental regulation costs of incentive measures and regulatory penalties | [72] |
| Local governments will obtain social and economic benefits when manufacturing enterprises improve related technologies and equipment through substantive green innovation | [73] | |
| If local governments do not adopt environmental regulations, they will suffer some losses (i.e., labor out-migration and the decline of government credibility) after social media exposure | [12] | |
| After greenwashing behaviors of manufacturing enterprises are exposed by social media, they will suffer some economic losses (i.e., decline in reputation and product sales) | [66] | |
| Local governments that adopt a non-environmental regulation strategy are subject to regulatory and administrative penalties imposed by the central government | [17] | |
| The strength of environmental pollution information disclosure from social media | [74] |
| Manufacturing Enterprises | Local Governments | |
|---|---|---|
| Environmental Regulation | Non-Environmental Regulation | |
| Substantive green innovation | , | , |
| Greenwashing behavior | , | , |
| () | ||
|---|---|---|
| (0,0) | ||
| (0,1) | ||
| (1,0) | ||
| (1,1) |
| ) | States | ||
|---|---|---|---|
| (0,0) | + | + | Unstable |
| (0,1) | − | +, − | Saddle point |
| (1,0) | − | +, − | Saddle point |
| (1,1) | + | − | ESS |
| Data Source | Data Description |
|---|---|
| Questionnaire surveys | To obtain simulation parameters in the evolutionary game model, the questionnaire survey was distributed to relevant domain experts, government managers, and executives by e-mails. |
| In-depth interviews | Based on the statistical results of questionnaire surveys, we conducted a semi-structured interview with government managers and executives. |
| Online reporting | The media coverage of greenwashing behaviors in two manufacturing enterprises was collected. |
| Internal materials | Internal materials and website information in two companies were used as auxiliary references. |
| Parameters | |||||||
|---|---|---|---|---|---|---|---|
| Initial values | 50–70% | 40–90% | 30–50% | >40% | >50% | 30–50% | 40–90% |
Disclaimer/Publisher’s Note: The statements, opinions and data contained in all publications are solely those of the individual author(s) and contributor(s) and not of MDPI and/or the editor(s). MDPI and/or the editor(s) disclaim responsibility for any injury to people or property resulting from any ideas, methods, instructions or products referred to in the content. |
© 2025 by the authors. Licensee MDPI, Basel, Switzerland. This article is an open access article distributed under the terms and conditions of the Creative Commons Attribution (CC BY) license (https://creativecommons.org/licenses/by/4.0/).
Share and Cite
Yang, Z.; Zha, X. How Do Environmental Regulation and Media Pressure Influence Greenwashing Behaviors in Chinese Manufacturing Enterprises? Sustainability 2025, 17, 5066. https://doi.org/10.3390/su17115066
Yang Z, Zha X. How Do Environmental Regulation and Media Pressure Influence Greenwashing Behaviors in Chinese Manufacturing Enterprises? Sustainability. 2025; 17(11):5066. https://doi.org/10.3390/su17115066
Chicago/Turabian StyleYang, Zhi, and Xiaoyu Zha. 2025. "How Do Environmental Regulation and Media Pressure Influence Greenwashing Behaviors in Chinese Manufacturing Enterprises?" Sustainability 17, no. 11: 5066. https://doi.org/10.3390/su17115066
APA StyleYang, Z., & Zha, X. (2025). How Do Environmental Regulation and Media Pressure Influence Greenwashing Behaviors in Chinese Manufacturing Enterprises? Sustainability, 17(11), 5066. https://doi.org/10.3390/su17115066
