Next Article in Journal
Future Rail Signaling: Cyber and Energy Resilience Through AI Interoperability
Next Article in Special Issue
The Dual-Driven Mechanism of “Value and Need” Influencing Consumers’ Continuous Purchase Behavior in Blind Box Consumption
Previous Article in Journal
Social Media as a Catalyst for Sustainable Public Health Practices: A Structural Equation Modeling Analysis of Protective Behaviors in China During the COVID-19 Pandemic
Previous Article in Special Issue
Cultural Identity and Value Perception as Drivers of Purchase Intention: A Structural Equation Model Analysis of Cultural Products in Luoyang City
 
 
Font Type:
Arial Georgia Verdana
Font Size:
Aa Aa Aa
Line Spacing:
Column Width:
Background:
Article

Exploring Influencing Factors of Energy Efficiency and Curtailment: Approaches to Promoting Sustainable Behavior in Residential Context

1
Faculty of Economic Cybernetics, Statistics and Informatics, Bucharest University of Economic Studies, 010552 Bucharest, Romania
2
Centre for Industrial and Services Economics, Romanian Academy, 060031 Bucharest, Romania
3
Faculty of Accounting and Management Information Systems, Bucharest University of Economic Studies, 010374 Bucharest, Romania
4
Faculty of Marketing, Bucharest University of Economic Studies, 010374 Bucharest, Romania
*
Author to whom correspondence should be addressed.
Sustainability 2025, 17(10), 4641; https://doi.org/10.3390/su17104641
Submission received: 16 March 2025 / Revised: 28 April 2025 / Accepted: 2 May 2025 / Published: 19 May 2025
(This article belongs to the Special Issue Consumption Innovation and Consumer Behavior in Sustainable Marketing)

Abstract

The global energy crisis, driven by economic and political disruptions, has intensified efforts to transition toward a more competitive and sustainable society. This study, framed within the context of SDG 7, examines the influence of knowledge, psychological factors, and sociodemographic characteristics on two dimensions of sustainable residential energy consumption: energy efficiency and energy curtailment behavior. A quantitative survey was conducted with 1410 Romanian participants, using a structured questionnaire and convenience sampling. Descriptive and inferential statistical analyses reveal that knowledge of energy issues and the importance attributed to sustainable development goals positively influence intentions to conserve energy at home. Notably, perceived importance significantly influences the purchase of energy-efficient appliances (F = 23.01, p < 0.001) and moderately supports curtailment behaviors, as evidenced by higher adoption rates of actions such as disconnecting appliances and using natural lighting among participants with stronger pro-saving attitudes. Attitudes toward voluntary energy-saving measures also predict purchasing and curtailment behaviors, with intention playing a mediating role. Sociodemographic variables impact energy-saving behavior to varying degrees. While perceptions may differ across countries due to historical contexts, the findings provide a valuable benchmark for informing national policies and promoting voluntary energy-saving and production measures at the residential level, supporting the transition to sustainable energy.

1. Introduction

Energy saving is a critical factor in addressing the global energy crisis; therefore, a sustainable future is not possible unless people change their energy consumption behaviors [1]. Although energy efficiency (EE) and renewable sources are being promoted, increasing demand still strains global energy systems.
Energy consumption trends can vary based on factors such as economic growth, technological advancements, energy policies, and societal preferences. Overall, global energy demand has steadily increased over the years, driven primarily by population growth, urbanization, and industrialization in emerging economies. Despite efforts to improve energy efficiency and promote renewable energy sources, rising energy demand continues to exert pressure on global energy systems. Therefore, the role of sustainable marketing in the energy sector is essential, as it is intended to respond to the objectives outlined in SDG 7, which aim to meet consumer needs while acting responsibly from a social and ecological perspective, and conserve resources for future generations. In this context, energy-saving behavior is crucial for several reasons, including environmental, economic, and societal impacts. Conserving energy reduces the consumption of fossil fuels, which are major contributors to air and water pollution, as well as greenhouse gas emissions. By lowering energy consumption, individuals and communities can help mitigate climate change, preserve natural resources, and protect ecosystems.
By reducing energy consumption, energy efficiency measures help households, businesses, and governments save money.
In general, residential energy conservation behaviors have been studied under two broad domains with EE behaviors associated with one-time, cost-incurring investments in efficient appliances and retrofits and energy curtailment (EC) behaviors characterized as repetitive, low-cost, energy-saving efforts [2,3]. Common examples of EE behaviors include purchasing efficient appliances or upgrading building insulation, while EC behaviors include automating thermostat settings, switching off lights, limiting the use of heating systems, and unplugging appliances when not in use [4,5,6].
Although the terms “electricity” and “energy” are frequently used interchangeably, it is critical to recognize that electricity is only one component of total energy consumption [7]. The residential sector could be an important driver of electricity efficiency and savings, with considerable implications for the sustainable development of society [8,9]. Numerous studies indicate that electricity usage in private households could be significantly reduced if individuals were more attentive when purchasing energy-efficient electric appliances or refrained from unnecessary electricity consumption. The dissemination of such conclusions highlights, in the authors’ view, the importance of sustainable strategic marketing in shaping responsible consumption habits at a global level. Also, researchers focused on how people approach saving energy, but none have truly understood these behaviors, recognizing that they vary depending on the country.
Both EE and EC behavior are shaped by a complex set of individual and contextual factors. Psychological and sociodemographic factors matter for efficiency investments and curtailment behaviors [10], but the literature remains unclear regarding the influence of these factors, especially in countries in Eastern and Southeastern Europe. Understanding the determinants of energy-saving behavior in the context of SDG 7 is particularly important from the perspective of reducing dependence on foreign energy sources, enhancing energy security, and minimizing vulnerability to fluctuations in global energy markets. Given the current circumstances of significantly elevated energy prices, largely influenced by the conflict in Ukraine as well as by the growing concerns regarding the insecurity of future international cooperation among states, following the recent shift in the U.S. administration it is imperative to examine the energy-saving behaviors of household consumers, and for Romania these types of studies are scarce.
Following Russia’s invasion of Ukraine in late 2021 and throughout 2022, Europe faced an unprecedented energy shock due to the disruption of Russian natural gas supplies. In response to this crisis and the sharp rise in energy prices, driven by supply shortages and the challenge of rapidly securing alternative sources, EU member states introduced voluntary measures to reduce gas and electricity consumption across both industrial and residential sectors. Favorable weather conditions and a shift toward more sustainable consumption behaviors [11] in late 2022 and early 2023 contributed to a 3% decline in electricity demand and a 15% reduction in natural gas consumption compared to 2021. However, the adoption and depth of these voluntary energy-saving measures varied significantly across EU member states and were particularly inconsistent among Central and Eastern European countries, where decades of restrictive communist regimes left distinct socio-behavioral legacies.
In the elaboration of this work, we have selected information, studies, and conclusions from the analysis of the theoretical framework of specialized literature that we used in designing and defining the working hypotheses for the development of our research content. We have identified some variables that provide a conclusive response to questions regarding the level of awareness of energy issues globally and individual concern about adapting consumption to needs, the population’s attitude toward energy production and consumption, as well as its willingness to take measures to prevent energy waste, the correlation between individual characteristic factors and behaviors for efficiency and even reduction in energy consumption, as well as the gradual transformation of the individual consumer into a prosumer of renewable energy.
This research’s primary aim is to identify the factors influencing energy-saving behavior in Romania, improving energy security, and lessening vulnerability to global energy market fluctuations. The findings offer valuable insights into electricity-saving behaviors, which may apply to consumers in other countries with similar socioeconomic and behavioral profiles. We explore and integrate key concepts essential to defining the contemporary behavioral profile of household consumers in Romania and beyond.
The second section of our article outlines the conceptual framework of the research methodology, detailing the data collection process and providing explanations, analysis, and justifications for the relationships between variables using statistical methods. In the final section, we emphasize the significance of the research findings and their broader implications, particularly for managing the national energy sector and informing policy decisions in Central and Eastern European countries where household consumer profiles closely resemble Romania’s. The research results provide valuable insights for EU policymakers on improving energy-saving communication in Central and Eastern Europe. This section also discusses new research directions and outlines the study’s limitations.
In terms of novelty, this manuscript contributes to the current literature by focusing on the Romanian residential sector. This under-researched, post-socialist context combines historically inherited consumption patterns with contemporary socio-psychological determinants. Unlike previous studies that emphasize economic incentives or infrastructural solutions, our approach integrates individual-level psychological variables (knowledge, attitude, intention) with sociodemographic characteristics to understand two distinct types of behavior: energy curtailment and energy efficiency. Moreover, this study reflects on the implications of these findings for public policy and sustainable marketing interventions and discusses their potential generalizability to other Central and Eastern European countries facing similar energy and historical legacies.

2. Theoretical Background

In recent years, governmental pressures, market competition, and changing customer attitudes toward consumption [12] have highlighted that associating marketing with environmental and consumer health, alongside sales growth and profitability, is not an exaggerated approach. Green marketing elements [12] such as sustainably labeled products, the promotion of sustainable consumption, green distribution, and pricing strategies, have a significant positive impact on brand quality perception.
By analyzing the factors influencing energy efficiency and consumption behavior at the residential level, we argue that, through appropriate marketing strategies, the global targets of SDG 7—Affordable and Clean Energy—can be achieved, provided that access to information is transparent and easily available. In the residential sector, energy conservation policies generally rely on two types of occupant behaviors—reducing electricity consumption and investing in more efficient appliances [2,13,14]. In addition to the psychosocial approaches analyzed for Romania in this study, the broader international literature [13] highlights how technological and behavioral strategies can synergistically enhance building energy efficiency. Solutions such as bio-based insulation, optimized shading systems, and green roofs can achieve near-zero heating demand, provided they are complemented by daily energy-saving routines, such as turning off lights during daylight hours or keeping windows closed. This complementary case reinforces our conclusion: technological measures (insulation, passive shading, green roofing) and behavioral interventions (training, feedback messages, eco-default settings) are interdependent, mutually reinforcing, and result in significantly greater energy savings than when implemented in isolation.
Therefore, existing studies have divided energy-saving behaviors in a household into two general categories: curtailment behaviors and purchasing activities [14,15]. Curtailment, as defined, involves recurrent efforts to conserve energy, necessitating alterations in a consumer’s daily routines by adopting new energy consumption habits and lifestyle adjustments [16,17]. Examples of curtailment actions are reducing the temperature in unused rooms, using electrical appliances such as the washing machine at the maximum filling capacity, etc. Energy-saving behaviors based on energy-efficient measures (e.g., replacing traditional lighting sources with sources that use LED technology, etc.) require a single action and occur occasionally, typically implying a change to a new technology or “technology choice” [18].
The two types of energy-saving behavior are different: while technical solutions provide the same benefits in a less energy-consuming way, curtailment behavior reduces benefits since consumers have to change some habits and pay more attention to daily energy-saving actions [17].
Ref. [19] findings showed that energy curtailment attitude is influenced by sociodemographic factors such as gender and age. Other studies indicate that contextual factors can be more important for curtailment than intention [20]. In a survey across 22 European countries, household income was found to be positively related to energy-efficient appliance use [15,21]. While prior research provides a strong foundation, it is important to note some inconsistencies and gaps. For instance, while [14] and [17] emphasize the role of psychological variables in shaping energy-saving behavior, other studies [21] highlight the dominant role of economic capacity, especially for efficiency-related decisions. Moreover, some findings on the influence of demographic factors like age and gender are mixed or even contradictory across contexts [22,23]. These conflicting insights indicate that energy-saving behavior cannot be fully explained by universal models and should instead be interpreted through the lens of national and cultural contexts, particularly in under-represented settings such as Romania. This gap highlights the need for more context-sensitive research that integrates psychological constructs with localized sociodemographic and institutional factors.
A conceptual ground of this study is found in the Theory of Planned Behavior (TPB) [24], which posits that behavior is primarily driven by behavioral intention, itself influenced by attitude, subjective norms, and perceived behavioral control. In our model, we align attitude toward energy saving, energy-saving knowledge (as an indicator of control and awareness), and behavioral intention with the core elements of TPB. While subjective norms were not directly measured, sociodemographic variables such as age and income were considered potential moderators. By adopting that lens, this study aims to understand how psychological and informational factors shape curtailment and efficiency-oriented behaviors.

2.1. Energy Issue Knowledge as a Determinant of Energy-Saving Behavior

In general, consumer knowledge of energy issues refers to the understanding and awareness that individuals have regarding various aspects related to energy production, consumption, efficiency, sustainability, and environmental impact. Previous studies [14,25,26] suggest that the importance consumers give to energy-related issues is a variable with a very high potential to influence behaviors that involve saving energy.
Individual knowledge about energy savings is known in the specialized literature as energy-saving awareness. In the context of energy crises, many researchers have revealed that problems caused by such crises can be solved through greater awareness of energy savings [1].
Lack of knowledge of energy-related issues and, consequently, an insufficient development of sustainable marketing concepts may have negative consequences for behavioral changes as it will reduce individual concern about energy saving and limit the practice of energy-saving behavior [27]. Increasing knowledge and awareness alters consumers’ attitudes towards the behavior, which in turn translates into behavioral change [28], especially when tailored information is provided.
By simultaneously testing the multiple discrete–continuous models MDCEV and RAM-MLF, Ref. [29] estimated and compared the implications of individual consumption behavior in the context of information, knowledge, and simultaneous adoption of a set of measures aimed at responding to a limited available budget, including the purchase of efficient household appliances, so that the effects of their use on final energy consumption were maximized.
The research emphasizes knowledge as a pivotal element within frameworks examining the interconnectedness of consumer behaviors and attitudes. It is underscored that behaviors are genuinely influenced by attitudes solely when they are informed by knowledge [30].
That leads us to the first pair of hypotheses:
H1–H2. 
Consumers with higher awareness and knowledge of energy issues are more likely to purchase energy-saving products (1) and adopt curtailment behavior (2).

2.2. Energy-Saving Attitude as a Determinant of Energy-Saving Behavior

Energy-saving behaviors are affected by psychological factors such as values, social norms, and attitudes [1]. Attitudes can be defined as “the extent to which engaging in behavior is evaluated as positively or negatively” [31]. In general, people have positive attitudes towards energy-saving behavior and environmental responsibility. This is supported by the Theory of Planned Behavior and the model of responsible environmental behavior [32,33].
A prior study recognized that an individual’s intention to engage in specific behavior can be shaped by a positive attitude [27].The extent of knowledge about energy issues determines an individual’s attitude, which can encourage household energy-saving behaviors [1,25,34].
Based on the literature available, we formulate the second pair of hypotheses, considering the influence of energy-saving attitudes on energy-related behavior:
H3–H4. 
There is a positive relationship between the energy-saving attitude and both energy efficiency (3) and energy curtailment (4) behavior.

2.3. Energy-Saving Intention as a Determinant of Energy-Saving Behavior

Using the Theory of Planned Behavior (TPB), Ref. [35] have highlighted attitude as a crucial antecedent of behavioral intention and have shown that the level of human development and cultural factors significantly moderate planned behavior regarding the reduction in consumption and the promotion of green energy. Ref. [36] suggested that an individual’s intention to engage in a particular behavior will be determined by how much they want it and the level of enjoyment they feel when engaging in that type of behavior.
Setting goals for energy-saving purposes begins with intention, and consumers are more likely to establish specific targets, such as lowering overall energy use by a certain percentage or using energy-efficient appliances, when they have a strong intention to save electricity. These objectives give incentives and directions for implementing energy-saving behaviors. At the same time, the attitude toward the energy-efficient product has a stronger effect on purchase intentions compared to the subjective norm component [37,38].
H5–H6. 
There is a positive relationship between the energy-saving intention and both energy efficiency (5) and energy curtailment (6) behavior.

2.4. Individual Characteristic Factors as a Determinant of Energy-Saving Behavior

According to the previous literature, the respondent’s age, gender, educational background, income level, and marital status are known to influence individual energy-saving behaviors [22]. Many studies have investigated the role of sociodemographic variables as predictors of energy-saving behavior and have found contrasting results [18].
A few studies identify the typical “energy saver” as young, female, with a high level of education, and wealthy [23,39], and some of them show that younger individuals are more likely to be sensitive to environmental issues. Some studies have established a correlation between age and energy use, revealing that energy consumption increases with age. This is primarily because elderly people are less aware of energy-saving issues compared to younger people [6,40]. According to the previous literature, the respondent’s age, gender, educational background, income level, and marital status influence individual energy-saving behaviors [22,41,42].Previous research suggested a significant and positive relationship between annual household income and energy efficiency behavior but are mixed concerning the influence on energy curtailment behavior (Umit et al., 2019; Kumar et al., 2023 [21,43]).
H7–H8. 
Individual characteristic factors (age, gender, education, income, marital status, and occupational status) significantly influence the purchasing and curtailment of energy-related behavior.

3. Methodology

Based on the literature presented in the previous section, our research had four objectives:
RO1: Identify the relationship between knowledge and perceived importance and energy-saving behavior.
RO2: Identify the relationship between the attitude towards saving energy and the actual energy-saving behavior.
RO3: Identify the relationship between the intention of saving energy and the actual energy-saving behavior.
RO4: Identify the relationship between the individual characteristic factors and the actual energy-saving behavior.
The hypotheses of our research were examined using both descriptive and inferential statistical methods. For sampling, we employed the convenience sampling technique, a non-probability method where participants are selected based on their accessibility to the researcher. Students and staff from the University of Economic Studies of Bucharest were invited to participate by answering questions and completing an online questionnaire. Data collection occurred from June to November 2024 via Google Forms.
The questionnaire structure is based on four main attributes and two identified behaviors. In the attributes category, we included the following: individual characteristic factors, energy issue knowledge, energy-saving attitude, and energy-saving intention. In the second category, energy-saving behavior was operationalized using two separate indexes reflecting curtailment behavior and efficiency behavior, in line with prior studies [14,17].The curtailment behavior index included items reflecting habitual and repeated actions aimed at reducing energy use without requiring investment. Respondents were asked to indicate the perceived importance (5-point scale) of actions such as “Turning off appliances when not in use”, “Full use of washing and cooking machines”, “Unplugging power supplies from outlets when not in use”, “Maintaining an average room temperature of 19 degrees Celsius in the cold season”, etc. The efficiency behavior index included items related to occasional investments in energy-efficient technology. These included responses to behaviors such as “Replacing light bulbs with energy-saving and long-life bulbs”, “Installing solar panels”, “Purchasing class-A rated devices”, “Applying thermal insulation”, etc.
Based on those two dimensions, the questions are organized in Table 1.
Building on the previously outlined structure, we formulated four pairs of hypotheses. Figure 1 visually represents the relationship between the main dimensions of the questionnaire and the hypotheses discussed earlier. Each attribute is positively correlated with the two behaviors, resulting in a total of eight hypotheses. However, in the subsequent section of this paper, the hypotheses are analyzed in pairs, as the approaches and conclusions for both are similar.
The paper outlines a clear roadmap of the statistical methods employed to test each hypothesis. For H1–H2, we examined covariance and correlation matrices to explore the direction and strength of relationships among items. Two-way analysis of variance (ANOVA), a widely used method for identifying statistical differences between groups, was applied. Given ANOVA’s assumptions, we assessed homogeneity of variances using Levene’s test. For hypotheses H3–H4 and H5–H6, we followed a similar approach, employing Student’s t-test to determine whether mean differences were statistically significant. To enhance interpretation, visual tools such as histograms and grouped distributions were also included. For H7–H8, we introduced the F-test for two-sample variance to examine whether socioeconomic variables significantly influence curtailment behavior.

4. Results of the Research

From a sociodemographic perspective, we developed six variables—age, gender, education level, income level, marital status, and occupational status—to analyze and evaluate overall energy-related behavior.
Although the distribution of the respondents was vast, there was a general profile that we could extract, with characteristics that had the biggest shares as follows: persons in the 18–25 age group, unmarried, students, and with a limited income level.
Before exploring the actual distribution, it is important to note that using a convenience sample composed primarily of students and university staff may introduce selection bias, particularly in terms of age, educational background, and marital status. However, the focus of our study is not on generalizing findings to the broader population, but on examining the relationships between psychological and individual variables (knowledge, attitude, intention, and personal characteristics) and their influence on energy-saving behavior. The selected sample provides valuable insights into these relationships, especially given that university populations often demonstrate greater variability in environmental awareness and behavior.
The complete distribution in terms of age can be seen in Figure 2, while the other sociodemographic indicators are presented in Table 2 and Table 3.
For the education level, the respondents were asked to specify the last form of education they graduated from, and the highest share in the high school category consolidates the general profile, that of students.
H1–H2. 
Consumers with higher awareness and knowledge of energy issues are more likely to purchase energy-saving products and adopt curtailment behavior.
To study the relationship between awareness and behavior changes (H1), a smaller dataset was used. It was composed of the following items: Q1, Q2, and Q8A–H. The questions and the answers that were used are available in Table 4.
The initial analysis involved reviewing the covariance (Table 5) and correlation matrices (Figure 3) to first identify the relationships between variables and then assess their intensity. All items showed positive covariance coefficients, reflecting joint variability. However, the correlation analysis revealed only a weak direct relationship between the perceived importance of energy saving (Q2) and the adoption of energy-saving measures, with low strength. Additionally, the correlation between general awareness (Q1) and energy-saving measures (Q8) was nearly zero, indicating no significant relationship.
Next, two-way ANOVA was used to assess hypotheses H1–H2. This method helps determine if there are statistically significant differences between the means of independent groups divided by two factors. Specifically, we aimed to investigate whether awareness (Q1) and perceived importance (Q2) influence the purchase of class A-rated devices (Q13), thus affecting purchasing behavior (H1). To perform the ANOVA test, Q1 and Q2 were coded as dichotomous variables, as can be seen in Table 6.
Next, we conducted the test and checked the ANOVA assumptions—independence, normality, and equal variance—to ensure the model’s reliability. For the equal variance assumption, we used Levene’s test. With a p-value greater than 0.05, the test confirmed that the assumption was valid and that the two groups had equal variances (Table 7).
In interpreting the results (Table 8), it was evident that the perceived level of importance (Q2) significantly influenced the purchase of class A-rated devices, whereas the awareness factor (Q1) did not show a significant p-value. Furthermore, when both factors were analyzed together, their combined effect did not conclusively drive energy-saving behavior. As such, these findings supported the previous results obtained through correlation and covariance analysis.
Thus, we can observe that H1–H2 may generate contrasting conclusions—general awareness (Q1) does not significantly influence purchasing behavior, but perceived importance (Q2) exerts a strong influence on energy-conscious actions. However, we perceive this as being a meaningful insight rather than a limitation. The findings suggest that awareness alone is not sufficient to drive behavioral change. Although respondents may have heard or seen a great deal of information on energy-saving practices, such awareness does not necessarily translate into actually buying class-A-rated devices, unless it is coupled with a strong conviction (and information on the topic) that actions should be taken. In other words, individuals who are informed about environmental concerns may still refrain from engaging in energy-saving behaviors if they do not perceive such behaviors as important or personally relevant. This distinction highlights the critical role of perceived importance as a decisive factor.
Finally, to complete the hypothesis assessment, we conducted the ANOVA test again to examine the interaction between awareness, knowledge, and energy curtailment behavior (H2). For this, we used item Q10, which gauges respondents’ perceptions of potential reductions in monthly electricity consumption through more efficient appliance use. Respondents rated their perceived savings on a scale of up to 10%, 10–20%, 21–30%, or “cannot estimate”.
The results differ: awareness and perceived importance are significant, but at different levels (Table 9). Specifically, the extent to which consumers engage with energy information from the media (Q1) positively impacts their perception and ability to reduce energy consumption, while the perceived level of importance (Q2) is less influential. Therefore, in the case of efficient appliance use, the roles are inverted, with awareness being more relevant, considering that this action can be introduced into the daily routine immediately, once the population is educated on the subject.
Considering all the above, we can conclude that consumers with higher awareness are more likely to adopt curtailment behavior. However, another important aspect in this matter is the perceived level of importance of energy-saving measures, which will greatly influence both purchasing behavior and the adoption of energy-saving actions.
H3–H4. 
Energy-saving attitude positively influences both purchase and curtailment of energy-related behavior.
Further analysis included the energy-saving attitude item reflected by Q12, with the ten energy-saving measures presented in Table 10. As a first step, we calculated the average level of importance attached to each sub-item with the following observations: some of the most commonly known actions for energy saving are turning off appliances when not in use and using sunlight during the day (both with an average of over 4.8), while the least important is maintaining a constant room temperature of 19 degrees (most probably consider it too low for the cold season). All the mean values are available in Table 10.
Next, we composed a new variable named Q12_AVERAGE, to calculate the individual level of importance as an average of all sub-items. The distribution can be seen in Figure 4, with most respondents having a mean value between 3 and 4. That can be interpreted as a highly pro-energy-saving attitude, with most voluntary electricity reduction measures perceived as essential.
Accordingly, we transformed the Q12_AVERAGE item into a categorial variable, as presented below:
N1: Respondents with an average bigger than 4—prone to adopting energy-saving actions;
N2: Respondents with an average lower than 4—skeptical about adopting energy-saving actions.
For the two categories mentioned, we calculated the average for items Q8, Q10, and Q13 (including all sub-items) to evaluate whether energy-saving attitudes positively impact purchasing and curtailment behaviors. Item Q13 represents four voluntary measures already implemented to reduce energy consumption: installing solar panels (Q13A), purchasing smart devices (Q13B), buying A-rated devices (Q13C), and applying thermal insulation (Q13D). As a statistical tool, we used Student’s t-test for means, which can identify whether the differences between the means are statistically significant.
The averages for N1 and N2, the t-test results, and the significance levels are shown in Table 11 and Table 12. Levene’s test was used to confirm the equality of variances. The results indicated that all measures in items Q8 and Q13B–D were significant, suggesting that a positive energy attitude influences both curtailment and purchasing behavior. The only non-significant variables were Q10, which measures perceived energy-saving potential, and Q13A, which concerns the acquisition of solar panels.
Figure 5 shows the distribution differences for Q8G (disconnecting appliances when away) and Q8H (using natural lighting). The test revealed that points were concentrated in the 4 and 5 ranges for the N1 group, indicating a tendency to adopt energy-saving measures.
In conclusion, hypotheses H3–H4 were confirmed, with attitudes positively impacting both curtailment and purchasing behavior. Meanwhile, the purchase of solar panels appeared less influenced, likely due to the respondent profile—students without a stable income or housing. Additionally, the perceived energy-saving potential was unaffected by whether individuals are inclined toward or skeptical about saving.
H5–H6. 
Energy-saving intention positively influences both the purchase and curtailment of energy-related behavior.
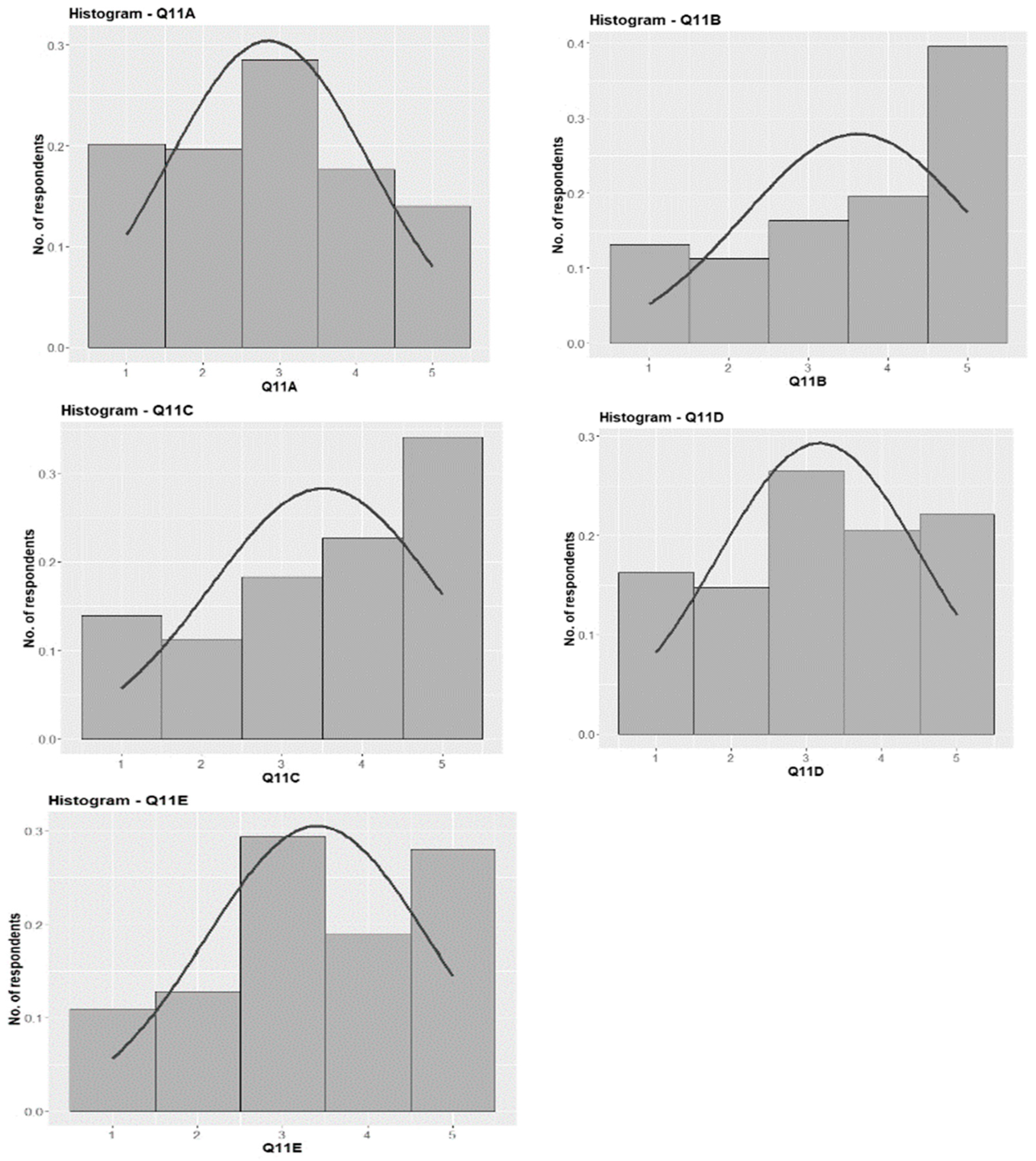
To evaluate hypotheses H5–H6, we followed a similar approach as before, with the only change being the use of item Q11 to represent energy-saving intentions. Table 13 shows the measures and their averages, while Figure 6 illustrates the respondents’ distribution.
The distribution of responses varies by measure. Disconnecting devices is rated as the most important or easiest to implement, with many respondents indicating maximum willingness. The same trend is seen for limiting lighting. For minimizing energy use in specific periods or replacing large appliances with smaller ones, the highest frequency is at a value of 3, indicating a medium level of willingness.
Next, we once again built a new variable, Q11_AVERAGE, and turned it into a categorial one, as below:
N3: Respondents with an average greater than 4—willing to adopt energy-saving actions;
N4: Respondents with an average lower than 4—not willing to adopt energy-saving actions.
The same Student t-test for means was applied for Q8, Q10, and Q13, with the averages for N3 and N4, the t-test values, and the significance levels given in Table 14 and Table 15.
The results were very similar to the ones obtained in the analysis of energy-saving attitude, with all the measures represented by Q8A being highly significant. However, in terms of actions already taken (Q13), we can see that intention tends not to impact greatly, with only Q13C (the purchase of class-A rated devices) having a different mean for the willing-to-adopt group than for those not willing.
Intention significantly affects Q8G and Q8H (disconnecting appliances and using natural lighting), showing substantial differences in means and variance. This indicates that intention is crucial in adopting energy behaviors, with those willing to implement energy measures often placing higher importance on electricity reduction and practicing these behaviors.
H7–H8. 
Individual characteristic factors (age, gender, education, income) significantly influence the purchase and curtailment of energy-related behavior.
Finally, the influence of sociodemographic factors on the two identified behaviors was examined. The analysis started by evaluating the impact of age on curtailment practices, using the Q10 item segmented by age intervals, as presented in Table 16. The results reveal three primary attitudes: skeptical (up to 10% estimated savings), optimistic (21–30%), or uncertain, with the 10–20% estimate being the least frequently chosen.
Age segments reveal varying perspectives on energy savings. The 18–34 group is notably more optimistic, with over 30% estimating savings of 21–30%, compared to around 20% in the 35–44 and 44–54 groups. Younger respondents are also less likely to be uncertain about their savings potential, indicating that age affects perceptions and actions regarding energy consumption, likely tied to knowledge and awareness.
To complete the sociodemographic overview, we analyzed the impact of income and education level. Respondents were categorized into two income groups, with the assumption that most students do not have an independent income (*).
N1: Respondents without a source of income: students *, unemployed;
N2: Respondents with a source of income: employed, self-employed, retired.
We investigated whether there were significant differences in variance between the two groups regarding Q13, which covers purchasing behaviors related to solar panels, smart devices, class A-rated devices, and thermal insulation.
To test the existence of significant differences in variance between the two groups regarding Q13, the F-test two-sample for variances was applied, with the results visible in Table 17. Only in the case of smart devices did we find that Fcalc < Fcrit, which means the null hypothesis was rejected that there were significant differences between the two groups. For the other actions, from a statistical point of view, there were no significant differences between the two groups.
In addition to income, another important sociodemographic characteristic is the education level. Thus, two segments of respondents were created according to the last form of education completed.
N3: Respondents with secondary education: middle school, high school;
N4: Respondents with higher education: bachelor, master, doctorate.
We used Q8 to assess the relationship between the levels of education and a more nuanced behavior in terms of energy curtailment. The mean values for each group were calculated (Table 18). We found three measures in which the level of education tended to be more significant: checking the energy labels, using washing machines’ ECO programs, and using natural lighting. For instance, in Q8A (checking the energy label), the mean for N4 was 3.98, significantly higher than 3.34 for N3. For the other measures, the averages were similar.
Another item for examining the impact of education was Q2, which measures the perceived importance of reducing energy consumption. The descriptive statistics in Table 19 show a slightly higher average for respondents with higher education.
Notably, the kurtosis coefficient for the N3 group is negative, indicating a platykurtic distribution with a wider range of values. In contrast, the N4 group, representing respondents with higher education, shows a leptokurtic distribution, with values clustering around the fourth and fifth levels of perceived importance. This suggests a correlation between education and awareness, where higher education is associated with a greater emphasis on energy matters (Figure 7).
In conclusion, age is a key factor in shaping energy behaviors, with younger individuals showing a more optimistic view on saving potential. Income generally does not significantly impact purchasing behavior, except for smart devices. Education positively influences energy-saving measures, though not for all actions, such as checking energy labels, using ECO programs, and natural lighting. There is also a direct relationship between the perceived importance of energy saving the and education level.

5. Discussion

Further to the regional shifts triggered by the Russia–Ukraine war and the onset of the global energy crisis, the original significance of SDG 7 has taken on new dimensions. In Romania, per-capita electricity consumption [11] remains below the European average, reflecting both historically rooted habits shaped by the country’s communist past and the energy-saving behaviors documented in this study. The findings of this study directly support the objectives of SDG 7—Affordable and Clean Energy—by highlighting the psychological and sociodemographic factors that influence sustainable energy practices at the household level. High levels of curtailment behavior, such as unplugging appliances and maximizing the use of natural light, demonstrate that individual actions can contribute meaningfully to reducing overall energy demand. Moreover, the association between higher energy-saving knowledge and the adoption of both curtailment and efficiency measures underscores the role of education and awareness in achieving SDG 7 targets. These results suggest that beyond technological investments, fostering behavioral change through targeted information campaigns and incentives is essential for advancing energy efficiency and promoting sustainable consumption patterns, particularly in post-transition economies like Romania.
Comparable cases from Eastern European countries reveal both similarities and contrasts. For instance, over the past decade, Bulgaria has been one of the EU’s highest energy consumers, with per-capita electricity usage nearly double that of Romania [11]. In response to the 2022 energy price surge, Bulgaria launched large-scale modernization programs funded through EU cohesion policies [44]. These initiatives targeted (a) improved energy efficiency in multi-family residential buildings, (b) reduced household energy expenditures, (c) extended building lifespans, and (d) decreased local and global air pollution.
Early impact assessments suggest a 20% increase in thermal insulation installations in residential blocks during 2022–2023 [11,45]. In Hungary, retail electricity prices did not reflect extreme volatility, and according to a survey conducted in April–May 2024 [46] with a sample of 1,012 respondents, only 43% of households reported new local energy-saving initiatives in 2024 (e.g., deployment of smart meters, LED upgrades). Furthermore, 54% of respondents stated that no measures had been implemented in their area over the past five years, indicating a slower adoption of voluntary efficiency investments.
In contrast, the Romanian sample analyzed in our study showed particularly strong relationships—consistent with the Theory of Planned Behavior [24]—between attitudes/intentions and curtailment behaviors such as unplugging appliances or prioritizing natural light. However, large-scale investments (e.g., solar panels, deep retrofits) remain largely dependent on income level and home ownership status. This transnational perspective highlights that, while the 2022 energy shock was pan-European, the balance between curtailment and investment behaviors varies depending on national policy frameworks, market design, and historically shaped consumer mindsets.
Our study offers valuable insights into the factors affecting residential energy-saving behavior. It highlights that consumers are generally more receptive to energy-saving measures focused on efficiency rather than curtailment, reflecting qualitative differences between these two types of actions [17].
The findings indicate that the perceived awareness and importance of energy-saving measures significantly affect both energy efficiency and curtailment behavior. This aligns with previous research, which shows that household energy behavior is influenced by knowledge of energy issues [47]. Ref. [29] also found that using discrete–continuous models to analyze individual consumption behavior reveals how information and knowledge impact the adoption of energy-saving measures, including efficient appliances, to optimize energy consumption within budget constraints. The research also finds that attitude positively impacts both energy efficiency and curtailment behavior. This supports previous studies suggesting that companies selling energy-efficient products should educate consumers to enhance their understanding of energy efficiency [48,49].
The hypothesis that intention is crucial for adopting energy behaviors is supported by other research. Studies show that while energy efficiency labels significantly influence purchase intent for energy-saving appliances, skepticism about label information and economic constraints can hinder the actual purchase [50].
The impact of sociodemographic variables is partly supported by previous research, though it remains underexplored. Age significantly affects a person’s ability to capitalize on opportunities, with responsibility levels closely tied to age [51]. Our study indicates that age is a key factor in shaping energy behaviors, with younger individuals showing a more optimistic view of energy savings. Income does not significantly impact purchasing behavior, except for smart devices. Previous research supports this, indicating that as household income increases, energy consumption also rises, accompanied by a greater interest in energy-efficient appliances and renewable energy sources [39].
A recent study [52] finds that efficiency behaviors are positively correlated with household income and individual actions, though the nature and impact of these behaviors vary.
Finally, education generally enhances energy-saving measures, though not uniformly across all actions. For example, education positively impacts behaviors like checking energy labels and using ECO programs, as supported by [53], who found that education and gender significantly influence both energy efficiency and curtailment behaviors. Educated individuals are more likely to adopt energy-saving behaviors due to their understanding of energy conservation and environmental impact [51]. Additionally, higher education is directly related to a greater perceived importance of energy conservation.
These findings validate the research hypotheses and provide a strong foundation for translating the results into public policy and practical initiatives, particularly relevant for extending conclusions to other Central and Eastern European countries. Based on this, the following actions and measures can be proposed:
  • Targeted education and awareness campaigns through local media (radio, TV, social media) to illustrate modern energy-saving practices and demonstrate actual bill reductions.
  • Behavioral nudging through default “ECO mode” settings on new appliances (e.g., washing machines, refrigerators), combined with real-time feedback displays that show current energy usage and estimated monthly savings.
  • Financial and regulatory incentives, such as subsidy schemes and low-interest green loans for the purchase of “A”-rated appliances and home insulation upgrades.
  • Public–private partnerships to implement pilot programs in which energy providers supply smart thermostats and installation support free of charge, in exchange for contractually agreed-upon energy-saving commitments.
Given the shared historical background and similar socioeconomic profiles (e.g., average income levels, housing in former communist-era apartment blocks), the authors believe that such measures can be adapted for markets in countries like Bulgaria, Hungary, or Slovakia. However, insights from other national experiences reveal notable cultural and behavioral differences, highlighting the need for localized market analysis, tailored financial support based on household types, and context-specific communication strategies, with messaging that resonates with the collective memory of rational consumption practices.
Finally, we need to acknowledge the potential limitations of our study, with the main finding here based on a convenience sample. Thus, in the future, we aim to replicate the framework with a more diverse selection of respondents, considering different variables such as socioeconomic prosperity, geography, and demography. In other words, although the findings bring important developments to the general topic, they need to be interpreted with caution, due to the distribution of our dataset.

6. Conclusions

We believe that many of the scientific findings from research conducted at the national, regional, or local level on residential energy consumption and behavior can, through appropriate sustainable marketing strategies, be adopted as best practices and integrated into a universal guide that could more clearly define the ecological profile of the consumer. In this way, SDG-related policies could also be objectively updated based on market observations and the likelihood of their application—either in a differentiated or unified manner, depending on the specific context. Our research comes in addition to the results of existing scientific research in the field, through the analysis of the influences exercised by some variables, considered by the authors relevant at the time of the research, on the individual consumption behavior in conditions of energy efficiency and energy saving at the residential level. The results confirm that knowledge, attitude, intention, and sociodemographic factors shape energy consumption and saving behaviors, with some factors significantly enhancing positive behaviors by raising awareness of the importance of adopting voluntary energy-saving measures at the household level.
The research is particularly relevant given the current complex crisis, exacerbated by the COVID-19 pandemic, the Russian–Ukrainian war, financial instability, and global uncertainty, which have intensified the energy crisis and highlighted the need for new strategies and policies to advance sustainable energy development goals.
The correlation analysis revealed a strong link between awareness of energy conservation and the purchasing of “green-labeled” appliances. This suggests that a national information campaign could effectively encourage consumers to buy these appliances and use them more efficiently.
Eurostat’s multi-year statistics show that Romanians’ residential energy consumption is significantly below the EU average and far behind that of the most developed EU countries. This lower consumption is likely influenced by a mindset inherited from the former communist regime, particularly among those over 45 who experienced severe consumption restrictions.
Residential electricity consumption habits in Romania cannot be fully understood without considering the period of forced austerity experienced under the communist regime (1947–1989). Household energy use was strictly rationed through frequent power outages, limited access to household appliances, and a restricted television schedule of only two hours per day. These constraints shaped daily routines: people learned to run washing machines only at full capacity, dry clothes on radiators, and rely on natural daylight instead of artificial lighting, especially since electricity was often cut off in many urban and rural areas after 10 p.m. From the perspective of habit formation, research has shown that actions repeated under constraint tend to solidify into long-lasting routines. In post-transition Romania, although incomes have risen and markets have liberalized, many of these ingrained practices persist. Our data reveal high frequencies for behaviors such as unplugging appliances when leaving home and using washing machines only at full load. These habits help explain why many Romanian households prioritize daily cost-saving behaviors over larger, one-time investments in energy efficiency, such as home insulation or the adoption of self-generating energy systems.
Research indicates that cautious consumption behavior often correlates with lower purchasing power compared to more developed nations. Our study reveals that while government pressure on electricity prices and energy consumption does not significantly impact saving behavior, awareness of more economical energy sources and savings methods plays a crucial role. Proper information greatly influences the adoption of energy-efficient and energy curtailment behaviors, and existing studies show that an anti-waste consumption attitude is already present in Romania.
The research findings also show that the saving attitude positively influences both the reduction in energy consumption and purchasing behavior. The intention to save has a major influence on consumption behavior, either through the increased preference for equipment with low energy consumption or through the adoption of household practices, the use of equipment, insulation, and home design, or the implementation of own sources of energy production.
This study found that perceived saving potential correlates with age, likely due to varying levels of energy knowledge and awareness. Age is a key factor in shaping energy behaviors, with younger individuals showing a more optimistic attitude toward electricity-saving potential. The analysis by income level revealed that respondents with no income (e.g., students, unemployed) are less responsive to energy issues compared to those with significant income, who show a greater interest in energy-efficient appliances, home insulation, and renewable energy. Additionally, this study found a strong correlation between education level and awareness of energy-saving practices.
The research results indicate that adapting residential consumption behavior to current energy market challenges can be guided by the correlations among key variables. Since voluntary behavior changes are influenced by information, social pressure, education, and awareness, government, non-governmental, and sectoral organizations should consider launching educational campaigns to promote sustainable practices. Our research highlights that energy-saving policies must consider the public’s knowledge of consumption behavior and saving intentions. It aimed to assess Romanian consumers’ attitudes and underscore the need for further studies on representative samples to better understand future individual behavior and inform energy policies through the 2030s.
Finally, some limitations of this study should be recognized. To generalize findings nationally, a more diverse sample across different geographic, economic, and urban conditions is needed. Given the complexity of energy consumption variables, further research should include multiple studies to capture correlations and insights, as encompassing all relevant information in a single questionnaire is difficult.
In terms of practical applications, the findings suggest that targeted awareness campaigns, particularly those addressing knowledge gaps and tailored to specific age and income demographics, could significantly improve energy-saving behavior. Energy policies should distinguish between curtailment and efficiency behaviors and provide incentives accordingly. For example, subsidies for energy-efficient appliances could benefit higher-income consumers, while behavioral nudges and educational efforts could support curtailment behaviors across broader groups.
Future research should use a more representative sample of Romanian residential consumers and consider additional factors affecting energy efficiency and conservation. It could adopt a longitudinal design to monitor how these behaviors change over time, especially in response to policy interventions or external shocks such as energy crises.
Additionally, comparative studies across EU countries or within diverse demographic segments in Romania would deepen our understanding of the cultural and economic moderators of energy-saving behavior, to shape more accurate national and EU energy policies.

Author Contributions

Conceptualization: A.M.H. and C.K.; review of the literature: A.M.H., C.K. and A.C.; methodology: A.M.H., C.K. and A.C.; data validation, analysis, and interpretation: S.S., D.B. and A.P.; discussion and conclusion: A.M.H. and C.K.; review and editing: A.M.H. and C.K. All authors have read and agreed to the published version of the manuscript.

Funding

This research received no external funding.

Institutional Review Board Statement

The study was conducted under the Declaration of Helsinki, and according to the Ethical Code of Bucharest University of Economic Studies, chapter XV from the University Charter (received legal notice from the Romanian Ministry of Education through Ministerial Notice no. 30421/10 June 2020.

Informed Consent Statement

Informed consent was obtained from all subjects involved in the study.

Data Availability Statement

The data presented in this study are available on request from the corresponding author. The data are not publicly available due to ongoing data collection and analysis.

Conflicts of Interest

The authors declare that they have no known competing financial interests or personal relationships that could have appeared to influence the work reported in this paper.

References

  1. Han, M.S.; Cudjoe, D. Determinants of Energy-Saving Behavior of Urban Residents: Evidence from Myanmar. Energy Policy 2020, 140, 111405. [Google Scholar] [CrossRef]
  2. Karlin, B.; Davis, N.; Sanguinetti, A.; Gamble, K.; Kirkby, D.; Stokols, D. Dimensions of Conservation. Environ. Behav. 2012, 46, 423–452. [Google Scholar] [CrossRef]
  3. Vasseur, V.; Marique, A.-F.; Udalov, V. A Conceptual Framework to Understand Households’ Energy Consumption. Energies 2019, 12, 4250. [Google Scholar] [CrossRef]
  4. Botetzagias, I.; Malesios, C.; Poulou, D. Electricity Curtailment Behaviors in Greek Households: Different Behaviors, Different Predictors. Energy Policy 2014, 69, 415–424. [Google Scholar] [CrossRef]
  5. McCoy, D.; Lyons, S. Unintended Outcomes of Electricity Smart-Metering: Trading-off Consumption and Investment Behaviour. Energy Effic. 2016, 10, 299–318. [Google Scholar] [CrossRef]
  6. Abrahamse, W.; Shwom, R. Domestic Energy Consumption and Climate Change Mitigation. Wiley Interdiscip. Rev. Clim. Chang. 2018, 9, 525. [Google Scholar] [CrossRef]
  7. Romero-Jordán, D.; Río, P. Analysing the Drivers of the Efficiency of Households in Electricity Consumption. Energy Policy 2022, 164, 112828. [Google Scholar] [CrossRef]
  8. Boogen, N. Estimating the Potential for Electricity Savings in Households. Energy Econ. 2017, 63, 288–300. [Google Scholar] [CrossRef]
  9. Guo, Z.; Zhou, K.; Zhang, C.; Lu, X.; Chen, W.; Yang, S. Residential Electricity Consumption Behavior: Influencing Factors, Related Theories and Intervention Strategies. Renew. Sustain. Energy Rev. 2018, 81, 399–412. [Google Scholar] [CrossRef]
  10. Never, B.; Kuhn, S.; Fuhrmann-Riebel, H.; Albert, J.R.; Gsell, S.; Jaramillo, M.; Sendaza, B. Energy Saving Behaviours of Middle Class Households in Ghana, Peru and the Philippines. Energy Sustain. Dev. 2022, 68, 170–181. [Google Scholar] [CrossRef]
  11. International Energy Agency (IEA). Europe’s Energy Crisis: What Factors Drove the Record Fall in Natural Gas Demand in 2022? Int. Energy Agency 2023. [Google Scholar]
  12. Mohammadi, E.; Barzegar, M.; Nohekhan, M. The Green Advantage: Analyzing the Effects of Eco-Friendly Marketing on Consumer Loyalty. arXiv 2023, arXiv:2312.16698. [Google Scholar]
  13. Es-Sakali, N.; Pfafferott, J.; Mghazli, M.; Cherkaoui, M. Towards Climate-Responsive Net Zero Energy Rural Schools: A Multi-Objective Passive Design Optimization with Bio-Based Insulations, Shading, and Roof Vegetation. Sustain. Cities Soc. 2025, 120, 106142. [Google Scholar] [CrossRef]
  14. Han, Q.; Nieuwenhijsen, I.; Vries, B.; Blokhuis, E.; Schaefer, W. Intervention Strategy to Stimulate Energy-Saving Behavior of Local Residents. Energy Policy 2013, 52, 706–715. [Google Scholar] [CrossRef]
  15. Tu, M.; Wang, X.; Guo, K. The Double-Edged Sword Effect of Materialism on Energy Saving Behaviors. J. Clean. Prod. 2023, 411, 137382. [Google Scholar] [CrossRef]
  16. Maréchal, K. An Evolutionary Perspective on the Economics of Energy Consumption: The Crucial Role of Habits. J. Econ. Issues 2009, 43, 69–88. [Google Scholar] [CrossRef]
  17. Sütterlin, B.; Brunner, T.A.; Siegrist, M. Who Puts the Most Energy into Energy Conservation? A Segmentation of Energy Consumers Based on Energy-Related Behavioral Characteristics. Energy Policy 2011, 39, 8137–8152. [Google Scholar] [CrossRef]
  18. Testa, F.; Cosic, A.; Iraldo, F. Determining Factors of Curtailment and Purchasing Energy Related Behaviours. J. Clean. Prod. 2016, 112, 3810–3819. [Google Scholar] [CrossRef]
  19. Yang, J.; Wu, J.; He, T.; Li, L.; Han, D.; Wang, Z.; Wu, J. Energy Gases and Related Carbon Emissions in China. Resour. Conserv. Recycl. 2016, 113, 140–148. [Google Scholar] [CrossRef]
  20. Maréchal, K. Not Irrational but Habitual: The Importance of “Behavioural Lock-in” in Energy Consumption. Ecol. Econ. 2010, 69, 1104–1114. [Google Scholar] [CrossRef]
  21. Umit, R.; Poortinga, W.; Jokinen, P.; Pohjolainen, P. The Role of Income in Energy Efficiency and Curtailment Behaviours: Findings from 22 European Countries. Energy Res. Soc. Sci. 2019, 53, 206–214. [Google Scholar] [CrossRef]
  22. Song, M.; Song, Y.; An, Q.; Yu, H. Review of Environmental Efficiency and Its Influencing Factors in China: 1998–2009. Renew. Sustain. Energy Rev. 2013, 20, 8–14. [Google Scholar] [CrossRef]
  23. Pearce, H.; Hudders, L.; Sompel, D. Young Energy Savers: Exploring the Role of Parents, Peers, Media and Schools in Saving Energy among Children in Belgium. Energy Res. Soc. Sci. 2020, 63, 101392. [Google Scholar] [CrossRef]
  24. Ajzen, I. The Theory of Planned Behavior. Organ. Behav. Hum. Decis. Process. 1991, 50, 179–211. [Google Scholar] [CrossRef]
  25. Norton, T.A.; Zacher, H.; Ashkanasy, N.M. Organisational Sustainability Policies and Employee Green Behaviour: The Mediating Role of Work Climate Perceptions. J. Environ. Psychol. 2014, 38, 49–54. [Google Scholar] [CrossRef]
  26. Trotta, G. Factors Affecting Energy-Saving Behaviours and Energy Efficiency Investments in British Households. Energy Policy 2018, 114, 529–539. [Google Scholar] [CrossRef]
  27. Mansor, R.; Sheau-Tingi, L. The Psychological Determinants of Energy Saving Behavior. IOP Conf. Ser. Mater. Sci. Eng. 2019, 620, 012006. [Google Scholar] [CrossRef]
  28. Stankuniene, G.; Streimikiene, D.; Kyriakopoulos, G.L. Systematic Literature Review on Behavioral Barriers of Climate Change Mitigation in Households. Sustainability 2020, 12, 7369. [Google Scholar] [CrossRef]
  29. Yu, B.; Zhang, J. Modeling Household Energy Consumption Behavior: A Comparative Analysis. Transp. Res. Part. D Transp. Environ. 2015, 39, 126–140. [Google Scholar] [CrossRef]
  30. Corbos, R.-A.; Bunea, O.-I.; Jiroveanu, D.-C. The Effects of the Energy Crisis on the Energy-Saving Behavior of Young People. Energy Strategy Rev. 2023, 49, 101184. [Google Scholar] [CrossRef]
  31. Boomsma, C.; Jones, R.V.; Pahl, S.; Fuertes, A. Do Psychological Factors Relate to Energy Saving Behaviours in Inefficient and Damp Homes? A Study among English Social Housing Residents. Energy Res. Social. Sci. 2019, 47, 146–155. [Google Scholar] [CrossRef]
  32. Hong, J.; She, Y.; Wang, S.; Dora, M. Impact of Psychological Factors on Energy-Saving Behavior: Moderating Role of Government Subsidy Policy. J. Clean. Prod. 2019, 232, 154–162. [Google Scholar] [CrossRef]
  33. Krupnova, T.G.; Rakova, O.V.; Shefer, E.A.; Semenenko, D.P.; Saifullin, A.F. Domestic Energy-Saving Behavior Index as Sus-Tainability Indicator: Are Russians Ready for Sacrifices to Protect the Environment? Environ. Sustain. Indic. 2022, 16, 100209. [Google Scholar] [CrossRef]
  34. Urban, Jan; Ščasný, Milan Exploring Domestic Energy-Saving: The Role of Environmental Concern and Background Variables. Energy Policy 2012, 47, 69–80. [CrossRef]
  35. Kumar, V.; Kaushal, V. Shashi Role of Customer Perceived Brand Ethicality in Inducing Engagement in Online Brand Communities. J. Retail. Consum. Serv. 2023, 71, 103184. [Google Scholar] [CrossRef]
  36. Gaspar, R.; Antunes, D. Energy Efficiency and Appliance Purchases in Europe: Consumer Profiles and Choice Determinants. Energy Policy 2011, 39, 7335–7346. [Google Scholar] [CrossRef]
  37. Ha, H.; Janda, S. Predicting Consumer Intentions to Purchase Energy-Efficient Products. J. Consum. Mark. 2012, 29, 461–469. [Google Scholar] [CrossRef]
  38. Guo, S.-d.; Lu, C.-P.; Li, H.; Zhu, N. Influence Mechanism of Energy Efficiency Label on Consumers’ Purchasing Behavior of Energy-Saving Household Appliances. Front. Psychol. 2021, 12, 711854. [Google Scholar] [CrossRef]
  39. Piao, X.; Managi, S. Household Energy-Saving Behavior, Its Consumption, and Life Satisfaction in 37 Countries. Sci. Rep. 2023, 13, 1382. [Google Scholar] [CrossRef]
  40. Nair, G.; Gustavsson, L.; Mahapatra, K. Factors Influencing Energy Efficiency Investments in Existing Swedish Residential Buildings. Energy Policy 2010, 38, 2956–2963. [Google Scholar] [CrossRef]
  41. Yue, T.; Long, R.; Chen, H. Factors Influencing Energy-Saving Behavior of Urban Households in Jiangsu Province. Energy Policy 2013, 62, 665–675. [Google Scholar] [CrossRef]
  42. Zhou, K.; Yang, S. Understanding Household Energy Consumption Behavior: The Contribution of Energy Big Data Analytics. Renew. Sustain. Energy Rev. 2016, 56, 810–819. [Google Scholar] [CrossRef]
  43. Kumar, P.; Caggiano, H.; Shwom, R.; Felder, F.A.; Andrews, C.J. Saving from Home! How Income, Efficiency, and Curtailment Behaviors Shape Energy Consumption Dynamics in US Households? Energy 2023, 271, 126988. [Google Scholar] [CrossRef]
  44. Clementi, E.; Tsemekidi-Tzeinaraki, S.; Bertoldi, P. Assessing the Impact of Energy Efficiency on the EU Energy Consumption by Using an Index Decomposition Analysis in 2010–2021; Publications Office of the European Union: Luxembourg, 2024. [Google Scholar]
  45. Karakosta, C.; Corovessi, A.; Vryzidis, I. Unlocking Sustainable Financing Practices for Energy Efficiency Projects: A Mul-Ti-Country Analysis. Energies 2025, 18, 1107. [Google Scholar] [CrossRef]
  46. Statista Residential Energy-Saving Measures Taken in Hungary as of April 2024. Stat. Res. Dep. 2024.
  47. Brown, M.A.; Kale, S.; Anthony, R. Rescaling Energy Burden: Using Household Surveys to Examine Vulnerabilities and Con-Sequences in the Southeastern United States. Energy Res. Soc. Sci. 2023, 106, 103308. [Google Scholar] [CrossRef]
  48. Akroush, M.N.; Zuriekat, M.I.; Al Jabali, H.I.; Asfour, N.A. Determinants of Purchasing Intentions of Energy-Efficient Products. Int. J. Energy Sect. Manag. 2019, 13, 128–148. [Google Scholar] [CrossRef]
  49. Waris, I.; Hameed, I. Promoting Environmentally Sustainable Consumption Behavior: An Empirical Evaluation of Purchase Intention of Energy-Efficient Appliances. Energy Effic. 2020, 13, 1653–1664. [Google Scholar] [CrossRef]
  50. Wang, W.; Ma, D.; Wu, F.; Sun, M.; Xu, S.; Hua, Q.; Sun, Z. Exploring the Knowledge Structure and Hotspot Evolution of Greenwashing: A Visual Analysis Based on Bibliometrics. Sustainability 2023, 15, 2290. [Google Scholar] [CrossRef]
  51. Khurshid, N.; Shah, A.; Munir, F. Impact of Socio-Demographic, Psychological and Emotional Factors on Household Direct and Indirect Electricity Saving Behavior: A Case Study of Pakistan. J. Clean. Prod. 2023, 429, 139581. [Google Scholar] [CrossRef]
  52. Kim, S.; Kim, S. Does Social Value Matter in Energy Saving Behaviors?: Specifying the Role of Eleven Human Values on Energy Saving Behaviors and the Implications for Energy Demand Policy. Energy Strategy Rev. 2024, 52, 101327. [Google Scholar] [CrossRef]
  53. Chekima, B.; Chekima, S.; Wafa, S.; Igau, O.; Sondoh, S. Sustainable Consumption: The Effects of Knowledge, Cultural Values, Environmental Advertising, and Demographics. Int. J. Sustain. Dev. World Ecol. 2016, 23, 210–220. [Google Scholar] [CrossRef]
Figure 1. Main attributes and behaviors—hypotheses model. Source: Authors’ research.
Figure 1. Main attributes and behaviors—hypotheses model. Source: Authors’ research.
Sustainability 17 04641 g001
Figure 2. Respondents’ distribution—Age. Source: Authors’ research, 2024.
Figure 2. Respondents’ distribution—Age. Source: Authors’ research, 2024.
Sustainability 17 04641 g002
Figure 3. Correlation matrix. Source: Authors’ research, 2024.
Figure 3. Correlation matrix. Source: Authors’ research, 2024.
Sustainability 17 04641 g003
Figure 4. Q12—Frequency distribution. Source: Authors’ research, 2024.
Figure 4. Q12—Frequency distribution. Source: Authors’ research, 2024.
Sustainability 17 04641 g004
Figure 5. Q8G and Q8H—Group distribution. Source: Authors’ research, 2024.
Figure 5. Q8G and Q8H—Group distribution. Source: Authors’ research, 2024.
Sustainability 17 04641 g005
Figure 6. Q11—Frequency distribution. Source: Authors’ research, 2024.
Figure 6. Q11—Frequency distribution. Source: Authors’ research, 2024.
Sustainability 17 04641 g006
Figure 7. Q2—Frequency distribution by education level. Source: Authors’ research, 2024.
Figure 7. Q2—Frequency distribution by education level. Source: Authors’ research, 2024.
Sustainability 17 04641 g007
Table 1. Main attributes and behaviors. Source: Authors’ research, 2024.
Table 1. Main attributes and behaviors. Source: Authors’ research, 2024.
Attributes/BehaviorQuestions
Energy issue knowledge/awarenessQ1, Q2, Q3
Energy-saving attitudeQ12
Energy-saving intentionQ11
Individual characteristic factorsQ16, Q17, Q18, Q20, Q21, Q22
Energy efficiency behaviorQ8, Q13
Energy curtailment behaviorQ10
Table 2. Respondents’ distribution—Sociodemographics. Source: Authors’ research, 2024.
Table 2. Respondents’ distribution—Sociodemographics. Source: Authors’ research, 2024.
GenderShareMarital StatusShareEducation LevelShare
Male34%Married16%Middle School0.1%
Female66%Unmarried81%High School61%
Divorced2%Bachelor’s Degree25%
Widow0.5%Master’s Degree11%
Ph.D. Degree3%
Table 3. Respondents’ distribution—Income. Source: Authors’ research, 2024.
Table 3. Respondents’ distribution—Income. Source: Authors’ research, 2024.
Income (1 RON = 0.20 EUR)Share %
Under 2.000 RON49%
2.000–4.000 RON25%
4.000–6.000 RON13%
6.000–8.000 RON6%
8.000–10.000 RON3%
Over 10.0000 RON5%
Note: 1 EUR = 5 RON.
Table 4. Items descriptions. Source: Authors’ research, 2024.
Table 4. Items descriptions. Source: Authors’ research, 2024.
ItemQuestionAnswers
Q1Have you heard/seen in the last six months information about the need to reduce electricity consumption in the current economic and political context?Yes (1), No (2),
I don’t recall (0)
Q2How important do you think it is to take measures to reduce electricity consumption at the individual/household level?On a scale of 1 to 5
Please agree or disagree with the following statements:
Q8AWhen purchasing new electrical equipment, how often do you check the energy label scale?On a scale of 1 to 5
Q8BI use the washing machine only when it is loaded to full capacity.On a scale of 1 to 5
Q8CI frequently use the washing machine’s “ECO” programs.On a scale of 1 to 5
Q8DI avoid leaving the TV on if no one is watching any TV programs.On a scale of 1 to 5
Q8EIn my home, all light bulbs have been replaced with energy-saving/LED lamps.On a scale of 1 to 5
Q8FWhen I leave the house, I always check and turn off all the lights.On a scale of 1 to 5
Q8GWhen I leave home, I always disconnect appliances that do not require a permanent connection from the electricity supply.On a scale of 1 to 5
Q8HDuring the day, I use only natural lighting in the rooms of the house.On a scale of 1 to 5
Table 5. Covariance matrix. Source: Authors’ research, 2024.
Table 5. Covariance matrix. Source: Authors’ research, 2024.
Q1Q2Q8AQ8BQ8CQ8DQ8EQ8FQ8GQ8H
Q10.24
Q20.031.28
Q8A0.060.282.07
Q8B0.030.160.271.08
Q8C0.030.280.600.371.56
Q8D0.020.120.190.270.281.07
Q8E0.040.210.630.300.510.261.59
Q8F0.010.110.090.160.090.200.170.37
Q8G0.040.320.210.220.410.290.320.201.94
Q8H0.020.240.220.270.310.320.280.240.481.04
Table 6. ANOVA variables. Source: Authors’ research, 2024.
Table 6. ANOVA variables. Source: Authors’ research, 2024.
ItemAnswerRecodified Answer
Q1Yes, I have heard/seen informationYES
No, I have not heard/seen any information
I don’t recall
NO
Q21, 2, 3 answersNot important
4, 5 answersImportant
Table 7. Levene’s test results. Source: Authors’ research, 2024.
Table 7. Levene’s test results. Source: Authors’ research, 2024.
Levene’s Test for Homogeneity of Variance (Center = Median)
F-Value p-Value
0.4090.746
Table 8. Two-way ANOVA test. Source: Authors’ research, 2024.
Table 8. Two-way ANOVA test. Source: Authors’ research, 2024.
ANOVA TestMean SquareF-Valuep-Value
Q10.712.90.0885
Q26.1423.016.41 × 10−7 ***
Q1 and Q20.220.90.34
Residuals0.245
Throughout the tables, different start symbols (*), (***) will appear to mark the statistical significance of the coefficients/models. The higher the number of stars, the stronger the statistical significance; therefore, the results are valid from a statistical perspective.
Table 9. Two-way ANOVA test of relationship between awareness and perceived importance. Source: Authors’ research, 2024.
Table 9. Two-way ANOVA test of relationship between awareness and perceived importance. Source: Authors’ research, 2024.
ANOVA TestMean SquareF-Valuep-Value
Q121.2714.0850.000182 ***
Q28.685.750.0166 *
Q1 and Q22.461.630.202
Residuals1.51
Throughout the tables, different start symbols (*), (***) will appear to mark the statistical significance of the coefficients/models. The higher the number of stars, the stronger the statistical significance; therefore, the results are valid from a statistical perspective.
Table 10. Q12—Energy-saving attitude. Source: Authors’ research, 2024.
Table 10. Q12—Energy-saving attitude. Source: Authors’ research, 2024.
On a Scale of 1 to 5 (1—Not at All Important; 5—Very Important), Please Specify the Importance You Attach to Voluntary Electricity Reduction Measures.Average
Q12AFull use of washing and cooking machines4.55
Q12BUsing sunlight during the day by removing blinds4.88
Q12CTurning off appliances when not in use (TV, laptop, radio, internet, console, espresso machine, coffee maker, etc.)4.91
Q12DUnplugging power supplies from outlets when not in use4.61
Q12EReplacing light bulbs with energy-saving and long-life bulbs4.78
Q12FUse of electricity-saving programs for laundry and/or dishes4.63
Q12GDiscontinuing artificial drying sources for laundry/dishes4.72
Q12HStop using more than one appliance for the same purpose and create common areas of use (TV, laptop, console, etc.)4.55
Q12ITurning off internet access on devices when they are not in use in order to extend their charging time4.05
Q12JMaintaining an average room temperature of 19 degrees Celsius in the cold season3.55
Table 11. Q8—Energy-saving attitude. Source: Authors’ research, 2024.
Table 11. Q8—Energy-saving attitude. Source: Authors’ research, 2024.
GroupsQ8AQ8BQ8CQ8DQ8EQ8FQ8GQ8H
Mean—N13.834.243.684.564.134.943.954.53
Mean—N23.423.863.124.173.684.73.023.93
t-Test4.946.868.417.086.597.1812.810.5
Significant********************************
Throughout the tables, different start symbols (*), (***) will appear to mark the statistical significance of the coefficients/models. The higher the number of stars, the stronger the statistical significance; therefore, the results are valid from a statistical perspective.
Table 12. Q11, Q13—Energy-saving attitude. Source: Authors’ research, 2024.
Table 12. Q11, Q13—Energy-saving attitude. Source: Authors’ research, 2024.
GroupsQ10Q13AQ13BQ13CQ13D
N12.310.110.330.580.57
N22.30.120.260.480.47
t-Test0.180.72.693.543.83
SignificantNot sign.Not sign.********
Throughout the tables, different start symbols (*), (***) will appear to mark the statistical significance of the coefficients/models. The higher the number of stars, the stronger the statistical significance; therefore, the results are valid from a statistical perspective.
Table 13. Q11—Energy-saving intention. Source: Own research.
Table 13. Q11—Energy-saving intention. Source: Own research.
On a Scale of 1 to 5 (1—Not at All, 5—Very Much), to What Extent Would You Be Willing to Adopt the Following Voluntary Electricity Reduction Measures?Average
Q11AMinimizing household energy consumption between 8.00 and 13.00 and between 18.00 and 20.003.5
Q11BDisconnection of electrical appliances from the source when not in use4.44
Q11CLimiting room lighting to one bulb instead of wall lights/lights/chandeliers with multiple bulbs/lamps4.23
Q11DReplacing large household appliances with small ones precisely adapted to current needs3.82
Q11ETaking the standby equipment off standby4.25
Table 14. Q8—Energy-saving intention t-Test for means. Source: Own research.
Table 14. Q8—Energy-saving intention t-Test for means. Source: Own research.
GroupsQ8AQ8BQ8CQ8DQ8EQ8FQ8GQ8H
Mean—N33.854.283.694.594.064.913.954.49
Mean—N43.463.863.164.183.754.733.084.02
t-Test4.887.277.657.134.435.0711.58.41
Significant********************************
Throughout the tables, different start symbols (*), (***) will appear to mark the statistical significance of the coefficients/models. The higher the number of stars, the stronger the statistical significance; therefore, the results are valid from a statistical perspective.
Table 15. Q11, Q13—Energy-saving intention t-test for means. Source: Authors’ research, 2024.
Table 15. Q11, Q13—Energy-saving intention t-test for means. Source: Authors’ research, 2024.
GroupsQ10Q13AQ13BQ13CQ13D
N32.230.110.320.580.54
N42.340.120.260.490.49
t-Test1.480.752.443.32.03
SignificantNot sign.Not sign.*****
Throughout the tables, different start symbols (*), (***) will appear to mark the statistical significance of the coefficients/models. The higher the number of stars, the stronger the statistical significance; therefore, the results are valid from a statistical perspective.
Table 16. Q10—Perceived saving potential, by age group. Source: Authors’ research, 2024.
Table 16. Q10—Perceived saving potential, by age group. Source: Authors’ research, 2024.
Age GroupUp to 10%10–20%21–30%Cannot Estimate
18–2430%5%31%34%
25–3419%5%38%39%
35–4429%6%23%42%
45–5433%10%19%38%
55–6427%6%26%41%
65+33%0%44%22%
Total29%5%30%35%
Table 17. Q13—F-test two-sample for variances. Source: Authors’ research, 2024.
Table 17. Q13—F-test two-sample for variances. Source: Authors’ research, 2024.
SOLAR PANELSN1N2SMART DEVICESN1N2
Mean0.120.12Mean0.260.32
Variance0.100.10Variance0.190.22
Observations818612Observations818612
Degrees of freedom817611Degrees of freedom817611
F Statistic (Fcalc)1.01F Statistic (Fcalc)0.87
p-value0.47p-value0.04
F Critical (Fcrit)1.13F Critical (Fcrit)0.88
A-RATED DEVICESN1N2INSULATIONN1N2
Mean0.450.60Mean0.460.57
Variance0.250.24Variance0.250.25
Observations818612Observations818612
Degrees of freedom817611Degrees of freedom817611
F Statistic (Fcalc)1.03F Statistic (Fcalc)1.01
p-value0.33p-value0.45
F Critical (Fcrit)1.13F Critical (Fcrit)1.13
Table 18. Q8—Means by education level. Source: Authors’ research, 2024.
Table 18. Q8—Means by education level. Source: Authors’ research, 2024.
EducationQ8AQ8BQ8CQ8DQ8EQ8FQ8GQ8H
Mean N33.344.813.693.974.173.304.343.19
Mean N43.984.764.104.044.183.474.283.54
Total3.594.793.854.004.183.364.313.33
Table 19. Q2—Descriptive statistics by education levels. Source: Authors’ research, 2024.
Table 19. Q2—Descriptive statistics by education levels. Source: Authors’ research, 2024.
EducationCountMeanMedianSTD_DEVSkewnessKurtosis
N38744.0441.11−0.69−0.27
N45573.8641.15−1.170.67
Disclaimer/Publisher’s Note: The statements, opinions and data contained in all publications are solely those of the individual author(s) and contributor(s) and not of MDPI and/or the editor(s). MDPI and/or the editor(s) disclaim responsibility for any injury to people or property resulting from any ideas, methods, instructions or products referred to in the content.

Share and Cite

MDPI and ACS Style

Stancu, S.; Hristea, A.M.; Kailani, C.; Cruceru, A.; Bălă, D.; Pernici, A. Exploring Influencing Factors of Energy Efficiency and Curtailment: Approaches to Promoting Sustainable Behavior in Residential Context. Sustainability 2025, 17, 4641. https://doi.org/10.3390/su17104641

AMA Style

Stancu S, Hristea AM, Kailani C, Cruceru A, Bălă D, Pernici A. Exploring Influencing Factors of Energy Efficiency and Curtailment: Approaches to Promoting Sustainable Behavior in Residential Context. Sustainability. 2025; 17(10):4641. https://doi.org/10.3390/su17104641

Chicago/Turabian Style

Stancu, Stelian, Anca Maria Hristea, Camelia Kailani, Anca Cruceru, Denisa Bălă, and Andreea Pernici. 2025. "Exploring Influencing Factors of Energy Efficiency and Curtailment: Approaches to Promoting Sustainable Behavior in Residential Context" Sustainability 17, no. 10: 4641. https://doi.org/10.3390/su17104641

APA Style

Stancu, S., Hristea, A. M., Kailani, C., Cruceru, A., Bălă, D., & Pernici, A. (2025). Exploring Influencing Factors of Energy Efficiency and Curtailment: Approaches to Promoting Sustainable Behavior in Residential Context. Sustainability, 17(10), 4641. https://doi.org/10.3390/su17104641

Note that from the first issue of 2016, this journal uses article numbers instead of page numbers. See further details here.

Article Metrics

Back to TopTop