Assessment of Urban Green Space Equity in Beijing’s Central Urban Villages: A Remote Sensing Perspective on Environmental Justice
Abstract
1. Introduction
2. Materials and Methods
2.1. Research Framework
- Green Space Data Extraction
- Comprehensive Evaluation Metrics
- Equity Assessment
2.2. Study Area and Data Sources
2.3. Methods
2.3.1. Per Capita Green Space Calculation
2.3.2. NDVI and FVC Calculations
2.3.3. Equity Evaluation
2.3.4. Indicators of Green Space Quality
3. Results
3.1. Spatial Distribution Differences in Green Space Characteristics Between UVs and RQs
3.2. Inequalities in Inner GS Between UVs and RQs
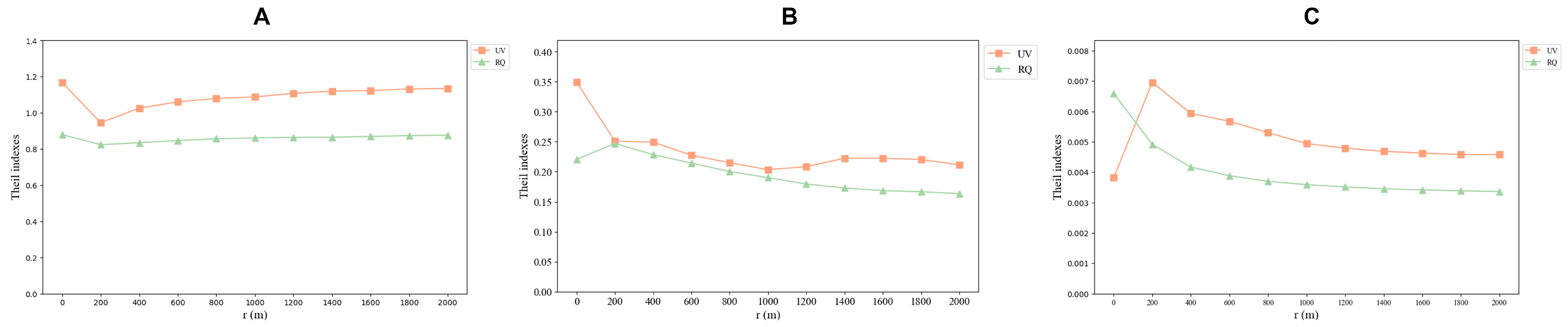
3.3. Variations in Green Space Inequalities with Accessible Distance
4. Discussion
4.1. Spatial Distribution Patterns: Land Use, Planning Policies, and Capital Investment
4.2. Internal Distribution Patterns: Capital Accumulation and Green Space Inequality
4.3. External Distribution Patterns: Systemic Inequality and Policy Implications
4.4. Rethinking Green Space Justice in Urban Political Ecology
5. Conclusions
Author Contributions
Funding
Data Availability Statement
Acknowledgments
Conflicts of Interest
Abbreviations
| UV | Urban village |
| RQ | Residential quarter |
| NDVI | Normalized Difference Vegetation Index |
| FVC | Fractional Vegetation Cover |
References
- Allegretto, G.; Kendal, D.; Flies, E.J. A systematic review of the relationship between urban forest quality and socioeconomic status or race. Urban For. Urban Green. 2022, 74, 127689. [Google Scholar] [CrossRef]
- Venter, Z.S.; Barton, D.N.; Gundersen, V.; Figari, H.; Nowell, M. Urban nature in a time of crisis: Recreational use of green space increases during the COVID-19 outbreak in Oslo, Norway. Environ. Res. Lett. 2020, 15, 104075. [Google Scholar] [CrossRef]
- Bedimo-Rung, A.L.; Mowen, A.J.; Cohen, D.A. The significance of parks to physical activity and public health: A conceptual model. Am. J. Prev. Med. 2005, 28 (Suppl. S2), 159–168. [Google Scholar] [CrossRef]
- Astell-Burt, T.; Feng, X.; Kolt, G.S. Mental health benefits of neighbourhood green space are stronger among physically active adults in middle-to-older age: Evidence from 260,061 Australians. Prev. Med. 2013, 57, 601–606. [Google Scholar] [CrossRef] [PubMed]
- Grilli, G.; Mohan, G.; Curtis, J. Public park attributes, park visits, and associated health status. Landsc. Urban Plan. 2020, 199, 103803. [Google Scholar] [CrossRef]
- Hartig, T.; Book, A.; Garvill, J.; Olsson, T.; Garling, T. Environmental influences on psychological restoration. Scand. J. Psychol. 1996, 37, 378–393. [Google Scholar] [CrossRef]
- Mitchell, R. Is physical activity in natural environments better for mental health than physical activity in other environments? Soc. Sci. Med. 2013, 91, 130–134. [Google Scholar] [CrossRef]
- Wolff, M.; Mascarenhas, A.; Haase, A.; Haase, D.; Andersson, E.; Borgström, S.T.; Kronenberg, J.; Laszkiewicz, E.; Biernacka, M. Conceptualizing multidimensional barriers: A framework for assessing constraints in realizing recreational benefits of urban green spaces. Ecol. Soc. 2022, 27, 17. [Google Scholar] [CrossRef]
- Basu, M.; Hashimoto, S.; Dasgupta, R. The mediating role of place attachment between nature connectedness and human well-being: Perspectives from Japan. Sustain. Sci. 2020, 15, 849–862. [Google Scholar] [CrossRef]
- Chen, Y.; Yue, W.; La Rosa, D. Which communities have better accessibility to green space? An investigation into environmental inequality using big data. Landsc. Urban Plan. 2020, 204, 103919. [Google Scholar] [CrossRef]
- Francis, J.; Wood, L.J.; Knuiman, M.; Giles-Corti, B. Quality or quantity? Exploring the relationship between Public Open Space attributes and mental health in Perth, Western Australia. Soc. Sci. Med. 2012, 74, 1570–1577. [Google Scholar] [CrossRef] [PubMed]
- Flocks, J.; Escobedo, F.; Wade, J.; Varela, S.; Wald, C. Environmental Justice Implications of Urban Tree Cover in Miami-Dade County, Florida. Environ. Justice 2011, 4, 125–134. [Google Scholar] [CrossRef]
- Larson, L.R.; Jennings, V.; Cloutier, S.A. Public Parks and Wellbeing in Urban Areas of the United States. PLoS ONE 2016, 11, e0153211. [Google Scholar] [CrossRef]
- Garizabal-Carmona, J.A.; Mancera-Rodriguez, N.J. Bird species richness across a Northern Andean city: Effects of size, shape, land cover, and vegetation of urban green spaces. Urban For. Urban Green. 2021, 64, 127300. [Google Scholar] [CrossRef]
- Song, P.; Kim, G.; Mayer, A.; He, R.; Tian, G. Assessing the ecosystem services of various types of urban green spaces based on i-Tree Eco. Sustainability 2020, 12, 1560. [Google Scholar] [CrossRef]
- Gallo, T.; Fidino, M.; Lehrer, E.W.; Magle, S.B. Mammal diversity and metacommunity dynamics in urban green spaces: Implications for urban wildlife conservation. Ecol. Appl. 2017, 27, 2330–2341. [Google Scholar] [CrossRef]
- Norton, B.A.; Coutts, A.M.; Livesley, S.J.; Harris, R.J.; Hunter, A.M.; Williams, N.S.G. Planning for cooler cities: A framework to prioritise green infrastructure to mitigate high temperatures in urban landscapes. Landsc. Urban Plan. 2015, 134, 127–138. [Google Scholar] [CrossRef]
- Skoulika, F.; Santamouris, M.; Kolokotsa, D.; Boemi, N. On the thermal characteristics and the mitigation potential of a medium size urban park in Athens, Greece. Landsc. Urban Plan. 2014, 123, 73–86. [Google Scholar] [CrossRef]
- Kazmierczak, A.; Cavan, G. Surface water flooding risk to urban communities: Analysis of vulnerability, hazard and exposure. Landsc. Urban Plan. 2011, 103, 185–197. [Google Scholar] [CrossRef]
- Speak, A.F.; Mizgajski, A.; Borysiak, J. Allotment gardens and parks: Provision of ecosystem services with an emphasis on biodiversity. Urban For. Urban Green. 2015, 14, 772–781. [Google Scholar] [CrossRef]
- Munoz-Pacheco, C.B.; Villasenor, N.R. Avian species richness in cities: A review of the Spanish-language literature from the Southern Cone of South America. Urban Ecosyst. 2022, 25, 601–616. [Google Scholar] [CrossRef]
- Chiesura, A. The role of urban parks for the sustainable city. Landsc. Urban Plan. 2004, 68, 129–138. [Google Scholar] [CrossRef]
- Jennings, V.; Larson, L.; Yun, J. Advancing sustainability through urban green space: Cultural ecosystem services, equity, and social determinants of health. Int. J. Environ. Res. Public Health 2016, 13, 196. [Google Scholar] [CrossRef] [PubMed]
- Wolch, J.R.; Byrne, J.; Newell, J.P. Urban green space, public health, and environmental justice: The challenge of making cities ‘just green enough’. Landsc. Urban Plan. 2014, 125, 234–244. [Google Scholar] [CrossRef]
- Crompton, J.L. Empirical evidence of the contributions of park and conservation lands to environmental sustainability: The key to repositioning the parks field. World Leis. J. 2008, 50, 154–172. [Google Scholar] [CrossRef]
- Harnik, P.; Crompton, J.L. Measuring the total economic value of a park system to a community. Manag. Leis. 2014, 19, 188–211. [Google Scholar] [CrossRef]
- Cobbinah, P.B.; Asibey, M.O.; Zuneidu, M.A.; Erdiaw-Kwasie, M.O. Accommodating green spaces in cities: Perceptions and attitudes in slums. Cities 2021, 111, 103094. [Google Scholar] [CrossRef]
- Pham, T.-T.-H.; Apparicio, P.; Séguin, A.-M.; Landry, S.; Gagnon, M. Spatial distribution of vegetation in Montreal: An uneven distribution or environmental inequity? Landsc. Urban Plan. 2012, 107, 214–224. [Google Scholar] [CrossRef]
- Nesbitt, L.; Meitner, M.J.; Sheppard, S.R.J.; Girling, C. The dimensions of urban green equity: A framework for analysis. Urban For. Urban Green. 2018, 34, 240–248. [Google Scholar] [CrossRef]
- Rigolon, A. Parks and young people: An environmental justice study of park proximity, acreage, and quality in Denver, Colorado. Landsc. Urban Plan. 2017, 165, 73–83. [Google Scholar] [CrossRef]
- Hope, D.; Gries, C.; Zhu, W.; Fagan, W.; Redman, C.; Grimm, N.; Nelson, A.; Martin, C.; Kinzig, A. Socio-economics drive urban plant diversity. Proc. Natl. Acad. Sci. USA 2003, 100, 8788–8792. [Google Scholar] [CrossRef] [PubMed]
- Leong, M.; Dunn, R.R.; Trautwein, M.D. Biodiversity and socioeconomics in the city: A review of the luxury effect. Biol. Lett. 2018, 14, 20180082. [Google Scholar] [CrossRef]
- Watkins, S.L.; Gerrish, E. The relationship between urban forests and race: A meta-analysis. J. Environ. Manag. 2018, 209, 152–168. [Google Scholar] [CrossRef] [PubMed]
- Macedo, J.; Haddad, M.A. Equitable distribution of open space: Using spatial analysis to evaluate urban parks in Curitiba, Brazil. Environ. Plan. B Plan. Des. 2016, 43, 1096–1117. [Google Scholar] [CrossRef]
- Nesbitt, L.; Meitner, M.J.; Girling, C.; Sheppard, S.R.J.; Lu, Y. Who has access to urban vegetation? A spatial analysis of distributional green equity in 10 US cities. Landsc. Urban Plan. 2019, 181, 51–79. [Google Scholar] [CrossRef]
- Tan, P.Y.; Samsudin, R. Effects of spatial scale on assessment of spatial equity of urban park provision. Landsc. Urban Plan. 2017, 158, 139–154. [Google Scholar] [CrossRef]
- Zhou, X.; Kim, J. Social disparities in tree canopy and park accessibility: A case study of six cities in Illinois using GIS and remote sensing. Urban For. Urban Green. 2013, 12, 88–97. [Google Scholar] [CrossRef]
- Osborn, D.; Cutter, A.; Ullah, F. Universal Sustainable Development Goals. Understanding the Transformational Challenge for Developed Countries; Stakeholder Forum: Kent, UK, 2015; Volume 2, pp. 1–25. [Google Scholar]
- Lopez, R.P. The Built Environment and Public Health; John Wiley & Sons: New York, NY, USA, 2012; Volume 16. [Google Scholar]
- Chuang, W.-C.; Boone, C.G.; Locke, D.H.; Grove, J.M.; Whitmer, A.; Buckley, G.; Zhang, S. Tree canopy change and neighborhood stability: A comparative analysis of Washington, DC and Baltimore, MD. Urban For. Urban Green. 2017, 27, 363–372. [Google Scholar] [CrossRef]
- Guan, J.; Wang, R.; Van Berkel, D.; Liang, Z. How spatial patterns affect urban green space equity at different equity levels: A Bayesian quantile regression approach. Landsc. Urban Plan. 2023, 233, 104709. [Google Scholar] [CrossRef]
- Kiani, B.; Thierry, B.; Fuller, D.; Firth, C.; Winters, M.; Kestens, Y. Gentrification, neighborhood socioeconomic factors and urban vegetation inequities: A study of greenspace and tree canopy increases in Montreal, Canada. Landsc. Urban Plan. 2023, 240, 104871. [Google Scholar] [CrossRef]
- Rigolon, A.; Browning, M.H.E.M.; Lee, K.; Shin, S. Access to Urban Green Space in Cities of the Global South: A Systematic Literature Review. Urban Sci. 2018, 2, 67. [Google Scholar] [CrossRef]
- Uribe, S.V.; Villaseñor, N.R. Inequities in urban tree care based on socioeconomic status. Urban For. Urban Green. 2024, 96, 128363. [Google Scholar] [CrossRef]
- Williams, T.G.; Logan, T.M.; Zuo, C.T.; Liberman, K.D.; Guikema, S.D. Parks and safety: A comparative study of green space access and inequity in five US cities. Landsc. Urban Plan. 2020, 201, 103841. [Google Scholar] [CrossRef]
- Zhang, P.; Park, S. Investigating spatial heterogeneity of park inequity using three access measures: A case study in Hartford, Connecticut. Appl. Geogr. 2023, 151, 102857. [Google Scholar] [CrossRef]
- Chawla, L. Benefits of Nature Contact for Children. J. Plan. Lit. 2015, 30, 433–452. [Google Scholar] [CrossRef]
- Krenichyn, K. The only place to go and be in the city: Women talk about exercise, being outdoors, and the meanings of a large urban park. Health Place 2006, 12, 631–643. [Google Scholar] [CrossRef]
- Rigolon, A. A complex landscape of inequity in access to urban parks: A literature review. Landsc. Urban Plan. 2016, 153, 160–169. [Google Scholar] [CrossRef]
- Säumel, I.; Hogrefe, J.; Battisti, L.; Wachtel, T.; Larcher, F. The healthy green living room at one’s doorstep? Use and perception of residential greenery in Berlin, Germany. Urban For. Urban Green. 2021, 58, 126949. [Google Scholar] [CrossRef]
- Pinault, L.; Christidis, T.; Toyib, O.; Crouse, D.L. Ethnocultural and socioeconomic disparities in exposure to residential greenness within urban Canada. Health Rep. 2021, 32, 3–14. [Google Scholar]
- Quinton, J.; Nesbitt, L.; Sax, D. How well do we know green gentrification? A systematic review of the methods. Prog. Hum. Geogr. 2022, 46, 960–987. [Google Scholar] [CrossRef]
- Hunter, R.F.; Cleland, C.; Cleary, A.; Droomers, M.; Wheeler, B.W.; Sinnett, D.; Nieuwenhuijsen, M.J.; Braubach, M. Environmental, health, wellbeing, social and equity effects of urban green space interventions: A meta-narrative evidence synthesis. Environ. Int. 2019, 130, 104923. [Google Scholar] [CrossRef] [PubMed]
- Lin, J.; Wang, Q. Are street tree inequalities growing or diminishing over time? The inequity remediation potential of the MillionTreesNYC initiative. J. Environ. Manag. 2021, 285, 112153. [Google Scholar] [CrossRef]
- Locke, D.H.; Roman, L.A.; Henning, J.G.; Healy, M. Four decades of urban land cover change in Philadelphia. Landsc. Urban Plan. 2023, 236, 104768. [Google Scholar] [CrossRef]
- Rigolon, A.; Flohr, T.L. Access to Parks for Youth as an Environmental Justice Issue: Access Inequalities and Possible Solutions. Buildings 2014, 4, 69–94. [Google Scholar] [CrossRef]
- Roman, L.A.; Conway, T.M.; Eisenman, T.S.; Koeser, A.K.; Ordonez Barona, C.; Locke, D.H.; Jenerette, G.D.; Ostberg, J.; Vogt, J. Beyond ‘trees are good’: Disservices, management costs, and tradeoffs in urban forestry. Ambio 2021, 50, 615–630. [Google Scholar] [CrossRef]
- Xu, C.; Huang, Q.; Su, M.; Gu, Z.; Haase, D. The inequity of urban green space availability between urban villages and residential quarters: An empirical study in Shenzhen, China. J. Clean. Prod. 2024, 448, 141704. [Google Scholar] [CrossRef]
- Kabisch, N.; Haase, D. Green justice or just green? Provision of urban green spaces in Berlin, Germany. Landsc. Urban Plan. 2014, 122, 129–139. [Google Scholar] [CrossRef]
- Low, S.; Boettcher, M. Delaying decarbonization: Climate governmentalities and sociotechnical strategies from Copenhagen to Paris. Earth Syst. Gov. 2020, 5, 100073. [Google Scholar] [CrossRef]
- Casey, J.A.; James, P.; Cushing, L.; Jesdale, B.M.; Morello-Frosch, R. Race, ethnicity, income concentration and 10-year change in urban greenness in the United States. Int. J. Environ. Res. Public Health 2017, 14, 1546. [Google Scholar] [CrossRef]
- Dong, Z.; Xia, C.; Fang, K.; Zhang, W. Effect of the carbon emissions trading policy on the co-benefits of carbon emissions reduction and air pollution control. Energy Policy 2022, 165, 112998. [Google Scholar] [CrossRef]
- Zheng, S.; Long, F.; Fan, C.C.; Gu, Y. Urban villages in China: A 2008 survey of migrant settlements in Beijing. Eurasian Geogr. Econ. 2009, 50, 425–446. [Google Scholar] [CrossRef]
- Dony, C.C.; Delmelle, E.M.; Delmelle, E.C. Re-conceptualizing accessibility to parks in multi-modal cities: A variable-width floating catchment area (VFCA) method. Landsc. Urban Plan. 2015, 143, 90–99. [Google Scholar] [CrossRef]
- Sharifi, F.; Nygaard, A.; Stone, W.M.; Levin, I. Accessing green space in Melbourne: Measuring inequity and household mobility. Landsc. Urban Plan. 2021, 207, 104004. [Google Scholar] [CrossRef]
- Browning, M.; Lee, K. Within what distance does “greenness” best predict physical health? A systematic review of articles with GIS buffer analyses across the lifespan. Int. J. Environ. Res. Public Health 2017, 14, 675. [Google Scholar] [CrossRef]
- Yang, G.; Zhao, Y.; Xing, H.; Fu, Y.; Liu, G.; Kang, X.; Mai, X. Understanding the changes in spatial fairness of urban greenery using time-series remote sensing images: A case study of Guangdong-Hong Kong-Macao greater bay. Sci. Total Environ. 2020, 715, 136763. [Google Scholar] [CrossRef]
- Abdullah, S.; Barua, D. Modeling Land Surface Temperature with a Mono-Window Algorithm to Estimate Urban Heat Island Intensity in an Expanding Urban Area. Environ. Process. 2022, 9, 14. [Google Scholar] [CrossRef]
- Zhang, M.; Tan, S.; Zhang, C.; Han, S.; Zou, S.; Chen, E. Assessing the impact of fractional vegetation cover on urban thermal environment: A case study of Hangzhou, China. Sustain. Cities Soc. 2023, 96, 104663. [Google Scholar] [CrossRef]
- Silver, W. Economics and information theory. J. Oper. Res. Soc. 1967, 18, 328. [Google Scholar] [CrossRef]
- Xu, C. Determinants of carbon inequality in China from static and dynamic perspectives. J. Clean. Prod. 2020, 277, 123286. [Google Scholar] [CrossRef]
- Cowell, F.A. On the structure of additive inequality measures. Rev. Econ. Stud. 1980, 47, 521–531. [Google Scholar] [CrossRef]
- Harvey, D. Justice, Nature and the Geography of Difference; Blackwell: Oxford, UK, 1996. [Google Scholar]
- Beijing Greening Ordinance; Government Order No. 22; Beijing Municipal People’s Government: Beijing, China, 2009.
- Anguelovski, I.; Connolly, J.J.T.; Masip, L.; Pearsall, H. Assessing green gentrification in historically disenfranchised neighborhoods: A longitudinal and spatial analysis of Barcelona. Urban Geogr. 2018, 39, 458–491. [Google Scholar] [CrossRef]
- Zhao, Y.; Webster, C. Land dispossession and enrichment in China’s suburban villages. Urban Stud. 2011, 48, 529–551. [Google Scholar] [CrossRef]
- Hao, P. Exploration on land development intensity of urban villages based on the bid-rent theory: A case study of Shenzhen. City Plan. Rev. 2015, 39, 24–28. (In Chinese) [Google Scholar]
- Swyngedouw, E.; Heynen, N.C. Urban political ecology, justice and the politics of scale. Antipode 2003, 35, 898–918. [Google Scholar] [CrossRef]
- Braiterman, J. City branding through new green spaces. In City Branding: Theory and Cases; Dinnie, K., Ed.; Palgrave Macmillan: London, UK, 2011; pp. 70–81. [Google Scholar]
- Park, H.; Brown, C.D.; Pearson, A.L. A systematic review of audit tools for evaluating the quality of green spaces in mental health research. Health Place 2024, 86, 103185. [Google Scholar] [CrossRef]
- Essuman-Quainoo, B.; Jim, C.Y. Understanding the drivers of green roofs and green walls adoption in global south cities: Analysis of Accra, Ghana. Urban For. Urban Green. 2023, 89, 128106. [Google Scholar] [CrossRef]












Disclaimer/Publisher’s Note: The statements, opinions and data contained in all publications are solely those of the individual author(s) and contributor(s) and not of MDPI and/or the editor(s). MDPI and/or the editor(s) disclaim responsibility for any injury to people or property resulting from any ideas, methods, instructions or products referred to in the content. |
© 2025 by the authors. Licensee MDPI, Basel, Switzerland. This article is an open access article distributed under the terms and conditions of the Creative Commons Attribution (CC BY) license (https://creativecommons.org/licenses/by/4.0/).
Share and Cite
Li, Q.; Duan, W.; Chen, Y.; Ma, M.; Zheng, X. Assessment of Urban Green Space Equity in Beijing’s Central Urban Villages: A Remote Sensing Perspective on Environmental Justice. Sustainability 2025, 17, 4561. https://doi.org/10.3390/su17104561
Li Q, Duan W, Chen Y, Ma M, Zheng X. Assessment of Urban Green Space Equity in Beijing’s Central Urban Villages: A Remote Sensing Perspective on Environmental Justice. Sustainability. 2025; 17(10):4561. https://doi.org/10.3390/su17104561
Chicago/Turabian StyleLi, Qin, Wei Duan, Yutong Chen, Mengxiang Ma, and Xiaodong Zheng. 2025. "Assessment of Urban Green Space Equity in Beijing’s Central Urban Villages: A Remote Sensing Perspective on Environmental Justice" Sustainability 17, no. 10: 4561. https://doi.org/10.3390/su17104561
APA StyleLi, Q., Duan, W., Chen, Y., Ma, M., & Zheng, X. (2025). Assessment of Urban Green Space Equity in Beijing’s Central Urban Villages: A Remote Sensing Perspective on Environmental Justice. Sustainability, 17(10), 4561. https://doi.org/10.3390/su17104561

