Next Article in Journal
Carbon Emission Evaluation System for Foundation Construction Based on Entropy–TOPSIS and K-Means Methods
Previous Article in Journal
Pricing for Online Food Service Considering Green Awareness of Customers and Green Efforts of Restaurants
 
 
Font Type:
Arial Georgia Verdana
Font Size:
Aa Aa Aa
Line Spacing:
Column Width:
Background:
Article

Does China’s Low-Carbon City Pilot Policy Effectively Enhance Urban Ecological Efficiency?

College of Civil Engineering, Nanjing Forestry University, Nanjing 210037, China
*
Author to whom correspondence should be addressed.
Sustainability 2025, 17(1), 368; https://doi.org/10.3390/su17010368
Submission received: 24 November 2024 / Revised: 2 January 2025 / Accepted: 4 January 2025 / Published: 6 January 2025

Abstract

The low-carbon city pilot (LCCP) policy represents a pioneering approach to fostering sustainable development. It offers a scientific framework to reconcile the relationship between economic growth, resource utilization, and environmental protection. This study measures urban ecological efficiency (UEE) through the non-radial directional distance function (NDDF) model using the panel data of 284 cities in China, from 2007 to 2021, and analyzes the impact of the LCCP policy on UEE, adopting a multi-period difference-in-differences (DID) model. The results of the baseline regression indicate that the pilot cities exhibit an average ecological efficiency that is approximately 3.0% higher than that observed in non-pilot cities, which pass both the parallel trend test and the robustness test. Mechanism analysis reveals that industrial upgrading and energy consumption reduction are the primary pathways through which the LCCP policy enhances UEE. In addition, the policy effects are particularly significant in improving UEE in non-resource-based cities, large cities, and cities in the eastern region. Finally, the spatial spillover effects demonstrated by the LCCP policy can effectively inform neighboring cities of strategies to enhance their UEE. The research findings provide invaluable insight and direction for China’s efforts in the development of low-carbon cities and ecological sustainability.

1. Introduction

Since the reform and opening-up, the rapid development of urbanization in China has driven economic growth and improved people’s living standards [1]. However, it has also resulted in significant energy consumption, high carbon emissions, and environmental pollution, causing serious ecological damage. As of 2021, China secured its position as the world’s leading energy consumer. It accounts for 26.5 percent of global energy consumption, with coal accounting for 56 percent of the energy mix [2]. In the same year, China emitted 12.72 billion tons of carbon dioxide, representing 33.4% of the global emissions [3]. Furthermore, according to the 2022 Report on the Ecological and Environmental Status of China, the air quality in urban areas remains a concern, with 126 out of 339 surveyed cities exceeding pollution standards. The main pollutants are PM2.5, PM10, and O3. In the context of the critical challenges posed by resource scarcity and ecological degradation, the Chinese government announced dual carbon targets in September 2020, setting a goal to peak carbon emissions by 2030 and envisioning a future of carbon neutrality by 2060 [4].
Cities are the key entities responsible for implementing the dual carbon targets and building an ecological civilization. Due to the concentration of labor and capital, cities have become the primary engines of regional economic growth. However, due to extensive industrial activities and transportation infrastructure, cities face huge challenges in terms of environmental pressure and resource consumption [5]. Urban areas in China contribute a staggering 75% of the nation’s energy consumption and an even more significant 85% of the carbon emissions [6,7]. Excessive greenhouse gas emissions have triggered the urban heat island effect, leading to an increase in regional phenomena such as floods, droughts, and heat waves [8]. In addition, urban air pollution has increased the risk of premature death, respiratory diseases, cardiovascular diseases, and mental disorders [9]. The Chinese government introduced the low-carbon city pilot (LCCP) policy to promote sustainable development and ensure a better future for coming generations.
The LCCP policy is an important measure of environmental regulation to promote the harmonious coexistence of urban development and the ecological environment. However, there is controversy among scholars about the LCCP policy. On the one hand, numerous studies suggest that this policy facilitates low-carbon transformation, focusing on its environmental and economic effects. In terms of environmental effects, research suggests that the LCCP policy can improve energy use efficiency [10] and carbon emission efficiency [11] while reducing carbon emissions [12] and air pollution [13]. In terms of economic effects, the macro perspective focuses on urban areas as the unit of analysis. Most studies suggest that the LCCP policy has the potential to attract substantial foreign direct investment [14] and significantly promote industrial structure upgrading [15], green technology innovation [16], and green total factor productivity [17]. From a micro perspective, attention is focused on enterprises and the public. The study by Chen et al. (2021) [18] finds that the first two batches of pilot cities improve the total factor productivity of listed firms, mainly through technological innovation and optimized resource allocation. At the same time, the demand for skilled talent by enterprises also contributes to job creation for the public [19].
On the other hand, some researchers have argued that the LCCP policy has failed to effectively promote low-carbon transitions and may even have negative impacts. Firstly, early low-carbon cities lacked a clear definition, and the policy content was too broad. Reliance on command-and-control instruments and weak market mechanisms may inhibit low-carbon development [20]. In addition, the specific implementation of the LCCP policy depends on local governments, which leads to uneven policy implementation due to development disparities among regions [21]. In the study by Wen et al. (2022) [22], only the first two pilot batches are considered. The results show that the second batch of pilot cities significantly improves carbon emission efficiency, while the first batch has no significant effect. Both first-tier and second-tier cities are negatively impacted, whereas cities at the third tier and below exhibit positive effects. Finally, some scholars argue that unreasonable environmental regulations may accelerate fossil fuel extraction, exacerbate environmental pollution, and lead to the emergence of the green paradox [23].
With the depletion of natural resources and the deterioration of the ecological environment, the Chinese government has recognized that the traditional development model is unsustainable [24]. Therefore, balancing resource utilization with economic development has become a focal point of scholarly interest. Ecological efficiency aims to achieve maximum economic output with minimal input while minimizing environmental impact, serving as a key embodiment of sustainable development [25]. Moreover, the study of ecological efficiency focuses primarily on two levels: macro and micro. At the macro level, it can be further divided by regional scope, such as nations and cities [26], while the micro level mainly focuses on firms or industries [27]. Currently, the measurement of urban ecological efficiency (UEE) generally adopts data envelopment analysis (DEA) with multiple inputs and outputs [28]. The construction of its indicators generally covers the three aspects of resource consumption, economic output, and environmental burden, such as electricity consumption, urban GDP, and PM2.5 [29]. In addition, due to the influence of economic development, geographic distribution, and social–cultural factors on industrial clustering, UEE and environmental issues exhibit spatial agglomeration characteristics [30]. Lastly, relevant studies have shown that the role of environmental policies in UEE presents a duality. While they can stimulate technological innovation and optimize resource allocation in firms, they can also increase environmental costs for firms, potentially hindering economic growth [31].
In summary, while the existing research has extensively examined the LCCP policy and ecological efficiency, there remain certain deficiencies. Although the third batch of pilot cities was announced in 2017, much of the literature still focuses only on the second batch or earlier pilots, failing to comprehensively evaluate the effects of the policy. Additionally, LCCP policy evaluations often focus on a single environmental or economic factor, with few studies addressing the coordination between the two. Third, while pollutant emissions and ecological efficiency often have significant spatial distribution characteristics, the existing LCCP policy evaluations often overlook this spatial correlation. Fourth, the existing literature predominantly calculates energy consumption and carbon dioxide emissions using urban electricity. However, since 2017, there have been alterations to the statistical criteria for electricity in China’s urban statistical yearbooks.
This study makes several contributions. First, it leverages the robust relationship between nighttime luminosity, energy consumption, and carbon dioxide emissions [32] to scale provincial data to the city level. Next, the DEA-based non-radial directional distance function (NDDF) model is used to measure the UEE of 284 Chinese cities from 2007 to 2021. Furthermore, the multi-period difference-in-differences (DID) model is applied, using 2010, 2013, and 2017 as the implementation years for a comprehensive evaluation of the three batches of the LCCP policy. Last but not least, by analyzing the actual impacts, influencing mechanisms, heterogeneity, and spatial effects of the LCCP policy on UEE, the findings aim to provide a scientific basis for future low-carbon development, promote regional ecological synergy, and achieve efficient resource utilization along with environmental sustainability.
The organization of this study is as follows. Section 2 provides a theoretical analysis. Section 3 outlines the research methodology and data employed in this study. Section 4 presents the empirical tests, including benchmark regression, parallel trend test, robustness test, and mechanism analysis. Section 5 conducts further tests, including heterogeneity analysis and spatial effects. Finally, Section 6 offers conclusions and recommendations based on the findings.

2. Theoretical Analysis

2.1. Background of the LCCP Policy

Since 2005, China has surpassed the United States and emerged as the top emitter of carbon dioxide globally [33]. With the growing severity of the climate change problem and the increasing pressure from the international community to reduce emissions, China pledged at the Copenhagen Conference in 2009 to reduce carbon dioxide emissions per unit of GDP by 40–45 percent by 2020 compared with 2005 levels [34]. To promote low-carbon development and ecological civilization, China issued the Notice on Launching Pilot Projects for Low-Carbon Provinces and Cities in July 2010. Through a top-down approach prescribed by the central authorities, five provinces, including Guangdong and Liaoning, and eight cities, such as Tianjin and Chongqing, were designated as the first pilot regions. Then, in December 2012, a bottom-up method using voluntary applications and criteria-based selection was used to identify Hainan Province and 28 cities as the next pilot regions. Finally, to further expand the coverage of the LCCP policy and encourage more cities to explore and consolidate their experiences in low-carbon development, another 45 cities, including several districts and counties, were announced as the third set of pilot regions in January 2017.
The first batch of pilot tasks primarily includes the development of low-carbon development plans and the formulation of corresponding policies to support the construction of a low-carbon industrial system. At the same time, it accelerates the establishment of emission data statistics and management systems and actively promotes low-carbon lifestyles. Based on this, the second batch of pilot projects further advances the integrated layout of ecological civilization, focusing on implementing specific measures such as low-carbon transportation, land planning, and greenhouse gas emission management. The emission reduction tasks are assigned to regions and key enterprises, low-carbon consumption is promoted, and the use of disposable products is reduced. The third batch of pilot projects, based on the previous two batches, focuses on carbon peak and construction goals and explicitly incorporates low-carbon development into local economic and social development plans. At the same time, efforts strengthen low-carbon management capabilities, improve organizational coordination mechanisms, and enhance the quality of talent teams, providing a solid foundation for achieving low-carbon goals.
The geographical distribution of the low-carbon pilot projects is comprehensively illustrated in Figure 1. The analysis of the pilot policy frameworks has shown that, first, the jurisdiction of provinces is extensive, with significant regional disparities within each province. Nevertheless, it is essential to tailor policy formulation and implementation to the specific circumstances and needs of the local context. Consequently, subsequent policy initiatives have primarily targeted prefecture-level cities, gradually narrowing their scope to district- and county-level cities. Furthermore, the eastern region has the most extensive coverage of the pilot projects. In contrast, there are relatively few pilot cities in the central and western regions. This reflects regional differences in policy implementation, which may be due to the fact that the eastern region has a better economic base, more mature conditions for the implementation of low-carbon technologies, and greater capacity and demand to promote a low-carbon transition. Finally, the pilot tasks have been continuously refined, progressing from the initial drafting of general development guidelines to the setting of specific emission reduction targets and defined carbon emission peak targets. Responsibilities have been assigned to various administrative regions and key enterprises, resulting in increasingly clear directions and targets for low-carbon development.

2.2. Research Hypotheses

The LCCP policy adopts a multifaceted approach that integrates command-and-control instruments, market incentives, and public participation instruments. It aims to create a low-carbon industrial ecosystem by gradually phasing out traditional industrial sectors with high emissions and energy consumption and accelerating the research, development, and deployment of low-carbon and environmentally friendly technologies [35]. Market-based instruments, such as tax incentives, effectively reduce the research and development costs for enterprises, encourage them to explore low-carbon technological innovations, and promote the transition to greener production methods [36]. In addition, the LCCP policy aims to optimize energy allocation, promote the use of clean energy, improve energy efficiency, and encourage the public to adopt low-carbon lifestyles, collectively reducing resource consumption and moving cities toward a low-carbon future [37]. Therefore, the following hypothesis is proposed:
H1. 
The LCCP policy can enhance UEE.
In terms of upgrading the industrial structure, local governments have set reasonable and strict carbon emission targets based on local conditions through command-and-control instruments. At the same time, the market entry threshold for high-energy-consuming and high-emission industries has been raised through measures such as environmental taxes and stricter management of emission permits [5]. This has not only eliminated small and micro enterprises with poor operations and outdated production capacity but also prompted larger enterprises to accelerate their transformation and adopt cleaner, more efficient production processes in response to the pressure to reduce emissions. On the other hand, local governments have used market incentives to encourage enterprises to improve production methods and use resources efficiently, thereby reducing pollutant emissions and meeting the requirements of green development [38]. In addition, supporting low-carbon industries by implementing policies such as tax incentives, financial subsidies, and green financing not only reduces the production costs of enterprises but also directs the flow of capital to sustainable areas such as green emerging industries and modern service industries [15]. Therefore, the following hypothesis is proposed:
H2a. 
The LCCP policy enhances UEE through industrial structure upgrading.
When it comes to reducing energy consumption, local governments primarily seek to optimize the energy structure and improve efficiency by addressing both the energy supply and consumer demand dimensions. On the one hand, due to strict emission limits imposed by command-and-control instruments, pilot cities have intensified the development of clean renewable energy sources such as solar, wind, and hydropower, thereby reducing their dependence on traditional fossil fuels such as coal [39]. The promotion of efficient combustion and clean coal technologies reduces energy losses and pollutant emissions during the combustion process. In addition, technologies such as waste heat recovery and building energy efficiency are used to reduce self-consumption and improve energy use efficiency [40]. On the other hand, public participation instruments encourage individuals and households to live and consume in a green and low-carbon way. The government promotes green commuting by adjusting public transportation prices while implementing plastic bans and waste sorting to reduce single-use products and increase resource recycling rates. In addition, tiered electricity pricing incentivizes the public to adopt energy-efficient appliances and lighting, which ultimately reduces household energy consumption [41]. Therefore, the following hypothesis is proposed:
H2b. 
The LCCP policy enhances UEE by reducing energy consumption.
With respect to policy space effects, the academic community presents two perspectives. On the one hand, the pollution haven hypothesis suggests that highly polluting, energy-intensive industries are more likely to be located in regions with lenient environmental regulations in order to minimize costs [42]. Given the different levels of development among cities, there are discrepancies in policy standards and regulatory frameworks. As a result, pollution-intensive industries that are phased out in LCCP cities may relocate to neighboring areas with fewer regulations, exacerbating pollution and reducing UEE [43]. On the other hand, as urban economic circles develop, cooperation and communication between cities will increase. The development of low-carbon industries in pilot cities can promote the upgrading of related sectors in neighboring cities, creating a spillover effect that enhances regional cooperation in green development across industries and value chains. Meanwhile, the low-carbon concepts and management experiences of pilot cities will be transferred to surrounding cities through trade interactions and technological cooperation, motivating them to allocate resources to low-carbon initiatives and improve their UEE [44]. Therefore, the following hypothesis is proposed:
H3. 
The LCCP policy has spatial effects whose directions depend on the relative magnitude of positive and negative effects.

3. Methodology and Data

3.1. Multi-Period DID Model

The DID model is able to reveal the true impact of a policy intervention by comparing the changes between the experimental and control groups before and after the implementation of the policy. This study treated the LCCP policy as a quasi-natural experiment. Due to the different implementation times of the three batches of the LCCP policy, a multi-period DID model was employed, with pilot cities serving as the experimental group and non-pilot cities as the control group, to assess the effect of the LCCP policy on UEE. It is important to note that the validity of the multi-period DID model relies on the parallel trend assumption, which states that, in the absence of the intervention, the trend of changes in the experimental group should correspond with that of the control group. The baseline model is formulated as follows:
U E E i t = α + β D I D i t + λ X i t + μ i + ν t + ε i t
where i and t represent the city and year, respectively, and U E E i t denotes the ecological efficiency of city i in year t. D I D i t is a dummy variable for the LCCP policy, where D I D i t = 1 indicates that city i is part of the LCCP policy in year t; otherwise, D I D i t = 0 . X i t represents the control variables, μ i denotes the city fixed effects, ν t indicates the time fixed effects, ε i t is the random error term, and α is the constant term.

3.2. NDDF Model

This study assumed the existence of M Decision-Making Units (DMUs) operating over T periods. Each DMU utilizes a set of input factors to achieve the expected outputs while also generating undesirable outputs [45]. The inputs of production encompass capital (K), labor (L), area (A), energy (E), and water (W). The gross domestic product of a city (Y) is regarded as the expected output, while the undesirable outputs are represented by PM2.5 concentration (P), CO2 emissions (C), and wastewater discharge (D). Additionally, considering the strong disposability of input factors and expected outputs, the weak disposability of the joint set of expected and undesirable outputs, and the zero intersection between the two [46], the production technology is defined as follows:
T = ( K , L , A , E , W , Y , P , C , D ) : t = 1 T i = 1 M Z i t K i t K , t = 1 T i = 1 M Z i t L i t L , t = 1 T i = 1 M Z i t A i t A , t = 1 T i = 1 M Z i t E i t E , t = 1 T i = 1 M Z i t W i t W , t = 1 T i = 1 M Z i t Y i t Y t = 1 T i = 1 M Z i t P i t = P , t = 1 T i = 1 M Z i t C i t = C , t = 1 T i = 1 M Z i t D i t = D , Z i t 0
where Z i t is the intensity variable that represents the convex combination of all observations. Z i t 0 indicates the production technology under constant returns to scale. Based on the principles of inputs and outputs, and with the goal of minimizing undesirable outputs as much as possible, the NDDF function is defined as follows:
N D = sup { ω T β : ( K , L , A , E , W , Y , P , C , D ) + g × d i a g ( β ) T }
where ω T = ( ω K , ω L , ω A , ω E , ω W , ω Y , ω P , ω C , ω D ) is the weight vector, representing the relative importance of each variable. β = ( β K , β L , β A , β E , β W , β Y , β P , β C , β D ) T is the relaxation vector, allowing for the adjustment of each variable by varying proportions. g = ( g K , g L , g A , g E , g W , g Y , g P , g C , g D ) is the direction vector, indicating the simultaneous increase in desirable outputs while reducing input factors and undesirable outputs. d i a g ( β ) represents the diagonal matrix constructed from the vector β .
In the NDDF function, the weights of the variables can be determined by the researcher. In the absence of prior information, it is reasonable to treat different types of inputs and outputs equally [47]. Therefore, in this study, factor inputs, expected outputs, and undesired outputs were assumed to be of equal importance, and each category was given a weight of 1/3. Since there were five variables in the factor inputs, the weights were further equally distributed, with each variable assigned a weight of 1/15. Similarly, each variable for undesirable outputs was assigned a weight of 1/9. The optimal solution of the NDDF function can be obtained through the following linear programming formulation:
N D = max ( 1 15 β K + 1 15 β L + 1 15 β A + 1 15 β E + 1 15 β W + 1 3 β Y + 1 9 β P + 1 9 β C + 1 9 β D ) s . t . t = 1 T i = 1 M Z i t K i t K β K g K , t = 1 T i = 1 M Z i t L i t L β L g L , t = 1 T i = 1 M Z i t A i t A β A g A t = 1 T i = 1 M Z i t E i t E β E g E , t = 1 T i = 1 M Z i t W i t W β W g W , t = 1 T i = 1 M Z i t Y i t Y + β Y g Y t = 1 T i = 1 M Z i t P i t = P β P g P , t = 1 T i = 1 M Z i t C i t = C β C g C , t = 1 T i = 1 M Z i t D i t = D β D g D Z i t ,   β K , β L , β A , β E , β W , β Y , β P , β C , β D 0 ; t = 1 , 2 ,     , T ;   i = 1 , 2 ,     , M
The optimal solution β i t = ( β i t , K , β i t , L , β i t , A , β i t , E , β i t , W , β i t , Y , β i t , P , β i t , C , β i t , D ) T represents the maximum reduction ratio of the input and output variables of city i relative to the frontier in year t. When β i t = 0 , it indicates that the variables have reached an optimal state. This paper constructs UEE by calculating the arithmetic mean of the ratio of the actual efficiency of input factors and undesirable outputs to the potential optimal efficiency of desirable outputs. The formula is as follows:
U E E i t = 1 8 ( 1 β i t , K * 1 + β i t , Y * + 1 β i t , L * 1 + β i t , Y * + 1 β i t , A * 1 + β i t , Y * + 1 β i t , E * 1 + β i t , Y * + 1 β i t , W * 1 + β i t , Y * + 1 β i t , P * 1 + β i t , Y * + 1 β i t , C * 1 + β i t , Y * + 1 β i t , D * 1 + β i t , Y * ) = 1 ( β i t , K * + β i t , L * + β i t , A * + β i t , E * + β i t , W * + β i t , P * + β i t , C * + β i t , D * ) / 8 1 + β i t , Y *

3.3. Data and Variables

3.3.1. Dependent Variable

Referring to the existing literature [29,32,48], this paper selected relevant indicators based on three aspects: factor inputs, desired outputs, and undesirable outputs. To start with, the factor input indicators included (1) capital input, calculated using the perpetual inventory method. The base period was 2007, and the base period capital stock was the total urban fixed assets in that year divided by 10%, with a depreciation rate of 9.6% [31]. (2) Labor input, referring to the study by He and Hu (2022) [28], was measured by the number of employees at the end of the year in a city. (3) Area input, with reference to Bai et al. (2018) [49], used the built-up area as a measure, and reasonable land development helped to reduce resource waste and optimize the spatial layout. (4) Energy input, which matched provincial energy consumption data to the city level through the correlation between nighttime light brightness and energy consumption [32]. (5) Water input, drawing on Ren et al.’s (2019) study [50], was measured in terms of the total amount of water supplied to a city, which is an important resource for the proper functioning of the city.
Next, the desired output indicator was economic output, measured as real city GDP, which was converted to constant 2007 prices through the GDP deflator [51]. In the end, the undesirable outputs included (1) PM2.5 concentrations; according to the approach of Chen et al. (2023) [52], the original data were obtained from the Atmospheric Composition Analysis Group. Subsequently, in ArcGIS, the annual average concentration of PM2.5 was extracted based on the regional divisions of each city. (2) CO2 emissions were obtained by calculating provincial CO2 emissions and matching them to the city level based on nighttime lighting. (3) Wastewater discharge, referring to Chen et al. (2021) [53], was calculated as total city wastewater discharge.
The calculation of provincial energy consumption mainly included eight types of fossil fuels. According to the research conducted by Chuai et al. (2012) [54], the corresponding standard coal conversion factor ( G n ) and carbon emission factor ( K n ) are presented in Table 1.
First, the consumption of each fuel ( E P n ) was multiplied by its corresponding standard coal conversion factor. The converted amounts of all fuel types were summed to obtain the actual total energy consumption at the provincial level ( E P ), as shown in Equation (6):
E P = n = 1 8 E P n × G n
Next, the total brightness of nighttime lights within each province (PDN) was extracted using administrative boundaries. A relationship equation between nighttime light brightness and provincial energy consumption was established, as shown in Equation (7):
E P = α × P D N
Ultimately, the coefficient estimates for each province ( α ) were obtained through regression analysis. The total brightness of nighttime lights within the urban area (CDN) was then extracted. By utilizing the aforementioned relationship equation, it was possible to calculate the energy consumption of cities, as demonstrated in Equation (8):
E C = E P × ( E ^ C / E ^ P ) = E P × ( α × C D N ) / ( α × P D N )
where E ^ C and E ^ P represent the estimated urban energy consumption and provincial energy consumption based on the nighttime light intensity, respectively.
In terms of carbon emission calculations, fossil fuel use is the main source of urban carbon emissions [55]. The methodology for urban carbon emissions is similar to that for energy consumption. By establishing a relationship between provincial carbon emissions and total nighttime light brightness, we can estimate the carbon emissions at the city level. The method for calculating carbon emissions from fossil fuels at the provincial level is as follows:
C P = 44 12 × n = 1 8 E P n × G n × K n

3.3.2. Independent Variable

The pilot areas span the provincial, city, and county levels, but significant regional disparities within provinces have led to ineffective policy formulation and implementation. In addition, some cities and counties have data gaps or inconsistent statistical standards. Therefore, this study excluded low-carbon provinces, counties, and pilot cities with data gaps and finally selected 67 pilot cities for the experimental group, including 8 from the first batch, 26 from the second batch, and 33 from the third batch. Second, in terms of the implementation years of the LCCP policy, the second batch of pilot projects was announced in December 2012. Considering the time lag associated with the effects of the policy, the implementation years for each batch were set at 2010, 2013, and 2017, respectively.

3.3.3. Mechanism Variable

According to the proposed research hypothesis, this article delineated two key mechanism variables: the upgrading of industrial structure (ind) and per capita energy consumption (lneng). Industrial upgrading was measured by the ratio of tertiary sector value added to secondary sector value added in urban areas. Per capita energy consumption was calculated as the ratio of total energy consumption in urban areas to the resident population, and its logarithm was taken.

3.3.4. Control Variable

To further reduce regression bias, this study introduced a number of control variables that may affect UEE [56,57], specifically: (1) economic development (lnpgdp), quantified by the city’s GDP per capita; (2) population size (lnpop), quantified by year-end resident population; (3) wastewater treatment (wwt), quantified by the concentration rate of centralized treatment at the city’s wastewater treatment plants; (4) financial development (lnfin), quantified by the year-end loan balance of financial institutions in a city; (5) infrastructure (lnroad), quantified by the total area of urban roads; and (6) government intervention (lngov), quantified by local general public budget expenditures. In order to eliminate heteroskedasticity, all variables were log-transformed except for the wastewater treatment variable.

3.3.5. Data Sources

This study used a panel dataset covering 284 cities across China from 2007 to 2021. The nighttime light data were obtained from the DMSP-OLS and NPP-VIRS satellites, and the provincial energy consumption data were obtained from the China Energy Statistical Yearbook. The annual average PM2.5 concentrations were obtained from the Atmospheric Composition Analysis Group. The remaining data were from the China Urban Statistical Yearbook and the China Urban Construction Statistical Yearbook. Descriptive statistics for each variable are presented in Table 2.

4. Empirical Test

4.1. Baseline Regression

This study used a stepwise regression method for analysis. Table 3 presents the results of the baseline regression. To mitigate the bias due to correlation effects between cities and omitted variable problems, it was necessary to cluster the standard errors at the city level and use a dual fixed effects model for city and year. Column (1) does not include any control variables, while columns (2) to (7) gradually introduce them. The results consistently show a positive estimated coefficient for the LCCP policy across all columns, all of which are significant at the 5% level. In particular, in column (7), after fully controlling for the effects of other factors, the UEE of pilot cities increases by about 3.0% on average compared to non-pilot cities, indicating that the LCCP policy can enhance UEE. Thus, research hypothesis H1 is supported.
Regarding the control variables, as the economy grows, people increasingly prioritize environmental protection and sustainable development. This supports the conclusions of Liu et al. (2022) [58]. Moderate population growth also significantly increases UEE, allowing cities to achieve economies of scale and centralized policy management [59]. The wastewater treatment variable is positive but fails the significance test. The significantly negative coefficient on financial development at the 10% level may indicate that funds flow to highly polluting and energy-intensive industries rather than to green and sustainable projects. In their pursuit of short-term economic growth, local governments sometimes overlook long-term sustainability goals. This is evidenced by the significant negative coefficient on government intervention and infrastructure construction at the 1% level. Expanding road space consumes huge resources, while increased traffic also exacerbates pollution emissions.

4.2. Parallel Trend Test

The parallel trend assumption is a crucial prerequisite for multi-period DID models. The assumption stipulates that the trend of UEE in the experimental group should be consistent with that of the control group before the implementation of the policy. Building on the existing research [60], this study employed an event study methodology to test the parallel trend assumption. The model is specified as follows:
U E E i t = α + k = 6 , k 1 6 β k P o l i c y i k + λ X i t + μ i + ν t + ε i t
where P o l i c y i k is a dummy variable representing the k-th year of policy implementation for low-carbon city i, with k < 0 denoting the pre-implementation period, k = 0 denoting the implementation year, and k > 0 denoting the post-implementation years; the other variables are defined similarly to Equation (1). In addition, to avoid problems of multicollinearity, this study chose the year prior to policy implementation (k = −1) as the baseline period. The results of the parallel trend test are shown in Figure 2, where the circles represent the estimated coefficients, and the dashed lines indicate the 95% confidence intervals. Prior to the policy implementation, the estimated coefficients are around the value of 0 and fail the significance test, indicating that the UEE in the experimental group is not characterized by faster growth. However, after the policy implementation, the estimated coefficients show a significant upward trend and become significantly positive from the second year onwards. This suggests that, despite some lag, the policy has a sustained positive effect on UEE.

4.3. Robustness Test

4.3.1. Considering Expected Factors

The expected factors refer to the proactive measures that cities may have taken in response to the announcement of the LCCP policy prior to its official release. Given that the selection of the second and third batches of pilots is based on self-declaration and merit selection, cities may take appropriate preparatory actions that may affect the results of the policy estimation. Based on this, this study included a one-year dummy variable before implementation for each batch of pilot cities (Pre 1) in the regression analysis. The findings presented in column (1) of Table 4 indicate that the estimated coefficient associated with the LCCP policy is 0.030, which is statistically significant. In contrast, the estimated coefficient for the previous year dummy variable is negative and insignificant at the 10% level. This suggests that the expected factors have little impact on the estimated results of the LCCP policy.

4.3.2. Control Other Policies

Considering the extended time span of this study, it is possible that during the implementation of the LCCP policy, the government introduced other similar policies that could impact UEE. Notably, these include the Carbon Emission Trading Pilot (CETP) initiated in 2013, which aims to reduce carbon emissions, and the Smart City Pilot (SCP), which optimizes resource allocation through technological innovation. In order to exclude the interference of these two policies, this paper added two multi-period DID dummy variables for the interaction of the place and time of implementation of the relevant policy to the baseline regression. The findings are presented in column (2) of Table 4. It can be discerned that the two aforementioned policy initiatives exert a statistically insignificant influence on UEE. On the contrary, the estimated coefficient associated with the LCCP policy is 0.027, which is statistically significant, indicating that the LCCP policy is a key factor influencing UEE.

4.3.3. Exclude Extreme Values

In the actual data, there may be some outliers that deviate from the normal range due to exceptional events or other atypical factors, leading to significant volatility and uncertainty, which in turn may affect the regression results. To mitigate this problem, this study applied two-sided trimming at the 1% upper and lower tails to both the dependent and control variables. The findings are presented in column (3) of Table 4, where the estimated coefficient of the LCCP policy remains significantly positive. This indicates that the impact of extreme values is not significant, further underscoring the robustness of the baseline regression results.

4.3.4. Placebo Test

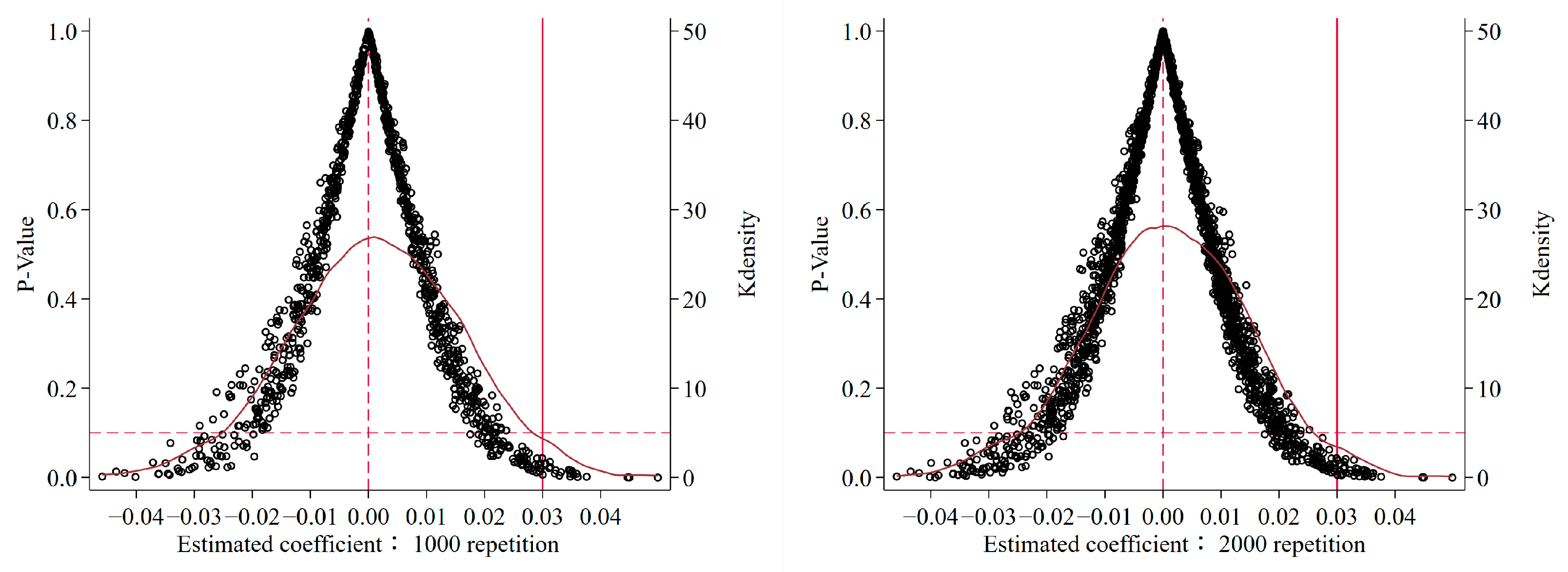
To investigate whether the baseline regression results are influenced by the selection of pilot cities and the timing of policy implementation, this study conducted a placebo test by randomly assigning pseudo-experimental groups and pseudo-policy periods. Specifically, 67 cities were randomly selected from a total of 284 to form the pseudo-experimental group. For each city, a year was randomly chosen from the period 2007 to 2021 as the pseudo-policy year. Corresponding pseudo-policy dummy variables were constructed, and the baseline model was regressed. This process was repeated 1000 and 2000 times, respectively. The results of the placebo test are shown in Figure 3, where the circles represent the estimated coefficients of the pseudo-policy dummy variables, and the curve illustrates their kernel density distribution. On the one hand, the estimated coefficients are primarily concentrated around zero and approximate a normal distribution, with the majority failing to pass the 10% significance test. The expectation of a placebo test is met. On the other hand, the original true estimated coefficient of 0.030 lies to the right of most pseudo-regression coefficients, indicating that the original conclusion is not coincidental.

4.4. Mechanism Analysis

The aforementioned results indicate that the LCCP policy significantly enhances UEE. What specific measures facilitate the successful achievement of these policy objectives? To further investigate the pathways through which this impact occurs, this study employed a mediation effects model, meticulously analyzing the intricate mechanisms by which the LCCP policy influences UEE from two critical perspectives: industrial structure upgrading and energy consumption reduction. The model is formulated as follows:
M i t = α + β 1 D I D i t + λ X i t + μ i + ν t + ε i t
U E E i t = α + β 2 D I D i t + σ 1 M i t + λ X i t + μ i + ν t + ε i t
In this context, M i t represents the mediating variables, specifically denoting industrial structural upgrading and per capita energy consumption. If both coefficients β 1 and σ 1 are significant, and the absolute value of the coefficient β 2 is less than the estimated coefficient of 0.030 from the baseline regression or fails to pass the significance test, then the presence of mediation effects can be established.
Table 5 displays the outcomes of the mediation effects model. The estimated coefficient of the LCCP policy in column (1) is 0.040 and passes the 1% significance test, indicating that the implementation of the LCCP policy has a facilitating effect on industrial structure upgrading. In column (2), both the estimated coefficients of the LCCP policy and industrial structure upgrading are significantly positive, with the marginal effect of the LCCP policy on UEE being 0.029, slightly lower than the 0.030 observed in the baseline regression. Therefore, this is manifested as a partial mediating effect. The underlying reasons primarily lie in the LCCP policy, which has established stringent environmental protection regulations, leading to restrictions or gradual elimination of high-pollution and high-energy-consuming industries, particularly in the secondary sector. On the other hand, through tax incentives, financial subsidies, and other measures, a large amount of capital has been attracted to low-carbon industries and high-tech sectors, thereby stimulating the development of the tertiary sector. As the industrial structure gradually shifts from being dominated by the secondary sector to being led by the tertiary sector, the city’s energy consumption patterns, pollutant emissions, and resource consumption have been effectively optimized. The tertiary sector typically has lower energy consumption and carbon emissions, relying more on human capital and technological innovation rather than extensive consumption of natural resources. This enables urban economic growth to achieve high efficiency while reducing the environmental burden, ultimately enhancing UEE. In summary, research hypothesis H2a is validated.
Similarly, according to the data in column (3), it can be seen that per capita energy consumption is significantly lower in the pilot cities compared to the non-pilot cities. Meanwhile, column (4) indicates that an increase in per capita energy consumption in cities will lead to a significant decline in UEE. However, the coefficient for the LCCP policy remains significantly positive, reported at 0.028, which is lower than the baseline regression of 0.030. Therefore, this is manifested as a partial mediating effect. The reason behind this is that the LCCP emphasizes the green transformation of energy sources, for example, by guiding the use of renewable energy sources and eliminating high-pollution and high-energy-consumption production and lifestyles, which directly reduces the reliance on traditional fossil energy sources. Furthermore, the LCCP policy also encourages the use of low-carbon buildings, the improvement in public transportation systems, and the application of intelligent management systems, which can effectively improve the efficiency of energy use and reduce ineffective and excessive energy consumption. Finally, the LCCP policy forms a virtuous cycle of energy conservation and emission reduction in the whole society by guiding and motivating residents to adopt energy-saving appliances, purchase new energy vehicles, and participate in low-carbon transportation. With the reduction in energy consumption, pollution emissions are reduced, and the ecological environment is improved, which in turn improves the overall environmental quality and sustainable development of a city. In summary, research hypothesis H2b is validated.

5. Further Test

5.1. Heterogeneity Analysis

5.1.1. Urban Regional Heterogeneity

China is a vast country, and the policy orientation, industrial structure, and urban development of cities under different regions are quite different. Therefore, the implementation of the LCCP policy in different regions may yield varying policy effects. Referring to Zeng et al. (2024) [61], the samples were divided into three regions based on geographic location: eastern (100 in total), central (100 in total), and western (84 in total). Within these regions, the number of pilot cities is 31 in the eastern, 17 in the central, and 19 in the western regions.
The outcomes of urban regional heterogeneity are detailed in columns (1) to (3) of Table 6. They show that the LCCP policy has a significant positive effect on UEE only in the eastern region. In contrast, in the central and western regions, the estimated coefficients are negative, and they do not pass significance tests. This finding is contrary to expectations. The potential reason may lie in the relatively underdeveloped economy of the central and western regions, where the industrial structure is predominantly resource-intensive and focused on heavy industry [62]. Consequently, both enterprises and governments may lack sufficient funds and technology for transformation. On the other hand, the eastern region, influenced by rapid industrialization and urbanization, may face more severe industrial pollution and environmental pressures [63]. As a result, the demand for low-carbon transformation is more urgent, and there may be stricter and more systematic mechanisms in place for policy implementation and monitoring.

5.1.2. Resource Endowment Heterogeneity

The differences in urban resource endowments have a significant impact on industrial layout. Resource-based cities are those in which the extraction and processing of natural resources is the mainstay of the economy. In contrast, the economic structure of non-resource cities is more diversified, encompassing manufacturing, services, high-tech industries, and cultural enterprises. This study categorized the sample into resource-based cities (114 in total) and non-resource-based cities (170 in total) based on the List of Resource-Based Cities Nationwide (2013) formulated by the State Council [64]. Among them, the number of pilot cities is 14 and 53, respectively.
The results for resource endowment heterogeneity are detailed in columns (4) and (5). They show that in resource-based cities, the coefficient for the LCCP policy is 0.005, but it is not significant. In contrast, in non-resource-based cities, the estimated coefficient for the LCCP policy is 0.036, and it passes the 5% significance test. The reason may be attributed to the dependence of resource-based cities on natural resources, which makes it difficult to find robust alternative economic models in a short time [44]. Furthermore, these cities may have insufficient investment in education regarding environmental protection and sustainable development, leading to a relatively weak public awareness and supporting the LCCP policy.

5.1.3. Urban Scale Heterogeneity

The urban scale is reflected not only in the concentration and allocation of resources but also encompasses multiple aspects, such as governance capacity, public participation, and technological innovation. The agglomeration effect of large cities brings significant economic and innovation advantages, attracting more investment and a highly qualified workforce; however, it is also accompanied by issues such as environmental pressure and resource scarcity. This study categorized cities based on the Notice on Adjusting the Standards for City Size Classification released by the State Council [65]. Cities with a population of 1 million or fewer were classified as small and medium-sized cities (183 in total), while those exceeding this population threshold were classified as large cities (101 in total). Among them, the number of pilot cities is 26 and 41, respectively.
Table 6 presents the regression results for urban scale heterogeneity in columns (6) and (7). It shows that the implementation of the LCCP policy significantly promotes UEE in large cities. In small and medium-sized cities, although the estimated coefficient is positive, it does not pass the 10% significance test. This indicates that small and medium-sized cities may face deficiencies in resources, technology, and management capabilities due to the lack of agglomeration effects. Additionally, they may not have sufficient market demand to support the promotion and application of low-carbon technologies, resulting in the policy effects being less pronounced [66]. In contrast, the agglomeration effects in large cities can reduce the marginal costs of management and, to some extent, alleviate environmental pressures.

5.2. Spatial Effect

5.2.1. Spatial Dependence Test

Before applying spatial econometric models, it was necessary to construct a spatial weight matrix in order to assess whether UEE exhibits spatial dependence. Given the limitations of using only geographical or economic distance to construct the weight matrix, this study employed a nested weight matrix that combines both types of distances [67]. The calculation method is as follows:
W i j = φ × 1 d i j + ( 1 φ ) × 1 G D P i G D P j i j 0 i j
where d i j represents the geographical distance between cities i and j and φ denotes the weight assigned to the inverse geographical distance matrix. This study assumed that geographical and economic factors are equally important, setting φ to 0.5. The results of the spatial correlation test are presented in Table 7. The estimated values of the global Moran’s I index are significantly positive at the 1% level, indicating that UEE exhibits a positive spatial correlation in its distribution.

5.2.2. Selection of Spatial Models

Common spatial models include the Spatial Durbin Model (SDM), the Spatial Error Model (SEM), and the Spatial Autoregressive Model (SAR). Before conducting the formal regression analysis, it was necessary to test the model selection, with the relevant results presented in Table 8.
To start with, the LM test and robust LM test indicate the presence of spatial spillover effects in both residuals and dependent variables, thus preliminarily selecting the SDM model. Moreover, both the Wald test and the LR test reject the original hypothesis, indicating that the SDM model cannot be simplified to either the SEM or SAR models. Last but not least, the Hausman test resulted in the rejection of the random effects model, thereby necessitating the adoption of a fixed effects model. In summary, the SDM model is selected in this paper, and the model is set as follows:
U E E i t = α + ρ W × U E E i t + β 1 D I D i t + β 2 W × D I D i t + λ X i t + η W × X i t + μ i + ν t + ε i t

5.2.3. Spatial Regression Analysis

Table 9 displays the outcomes of the spatial effects. Column (1) presents the main regression, where the spatial autoregressive coefficient rho is 0.095, which passes the 5% significance test. This indicates a positive spatial clustering of UEE. Additionally, the estimated coefficients for DID and W × D I D are 0.030 and 0.067, respectively, both of which are statistically significant. This indicates that the LCCP policy not only enhances the UEE of the cities themselves but also generates significant spatial effects, primarily manifested as positive spillover effects rather than negative crowding-out effects [68]. Finally, the main effect can be further divided, as shown in columns (2) to (4). The positive estimated coefficients of DID across all three types of effects illustrate that the LCCP policy serves as a catalyst, boosting not only the UEE of the pilot cities but also creating a ripple effect that fosters ongoing ecological advancements in neighboring cities. In summary, research hypothesis H3 is supported.

6. Research Summary and Outlook

6.1. Research Conclusions

As global climate change intensifies, achieving a balance between urban economic development and ecological environmental protection has become a core issue in promoting sustainable development. The LCCP policy, as an important strategy for combating climate change, deserves in-depth exploration as to whether it can effectively promote the green transformation of cities. This study measures UEE based on the input–output NDDF model, aiming to provide a new perspective for the evaluation of the LCCP policy. By analyzing the implementation effect of the LCCP policy on UEE and exploring the realization path behind it, this study provides a basis for the government to analyze the effects of the policy and a practical reference for the adjustment of green development strategies. Further analysis of the performance of policy effects in different cities can help promote precise emission reduction and optimize resource allocation. At the same time, combined with the analysis of spatial effects, it provides a basis for synergistic regional governance and helps to realize the dual-carbon goal. The main conclusions are as follows:
To start with, the baseline regression results indicate that, after controlling for the influence of other variables, the UEE of pilot cities is, on average, about 3.0% higher than that of non-pilot cities. This suggests that the LCCP policy can promote an improvement in UEE. In addition, the reliability of this finding is further verified by the parallel trend test and the robustness test.
Next, the analysis of the impact mechanisms indicates that the LCCP policy can influence UEE through two main pathways: industrial structure upgrading and a reduction in energy consumption. Specifically, the elimination of highly polluting enterprises realizes industrial transformation and reduces resource demand and environmental pressure. At the same time, energy-saving measures and the promotion of clean energy effectively reduce carbon emissions, foster sustainable development, and enhance urban competitiveness and residents’ quality of life.
In addition, urban heterogeneity has varying effects on the implementation outcomes of the LCCP policy. From a regional perspective, the eastern regions, due to their economic development and environmental pressures, exhibit significant policy effects, whereas the central and western regions face industrial structural imbalances and a lack of resource and technological support, resulting in suboptimal policy outcomes. Examining the resource endowment reveals that resource-based cities are heavily reliant on their natural assets, rendering them not only vulnerable to the complexities of transformation but also diminishing their capacity to withstand external shocks. The non-resource-based cities, owing to their diversified industries and strong adaptability, actively respond to low-carbon strategies and promote sustainable development. From the perspective of the urban scale, large cities leverage agglomeration effects to optimize resource allocation and reduce marginal costs. In contrast, small- and medium-sized cities, constrained by limited resources and capacities, often lack market support, resulting in less significant policy outcomes.
Last but not least, the analysis of spatial effects indicates that the implementation of the LCCP policy not only enhances the UEE within the pilot areas but also positively influences the UEE of surrounding cities through beneficial spatial spillover effects. This phenomenon reflects the influence of policy across regions, enabling other cities to benefit from the development strategies and innovative practices adopted by the pilot cities.

6.2. Policy Recommendations

To effectively implement and advance the LCCP policy aimed at enhancing UEE, the following policy recommendations are proposed based on the research conclusions:
Firstly, the pilot cities should continue to deepen the LCCP policy, with a focus on promoting industrial restructuring and encouraging the development of low-energy-consuming industries to mitigate resource consumption and environmental pressure. Simultaneously, efforts should be made to strengthen energy-saving measures and promote clean energy, thereby creating a positive feedback loop for sustainable development. Furthermore, it is recommended to formulate targeted incentive policies designed to reduce the costs and risks faced by enterprises during the green transition, thereby attracting a greater number of companies to engage in sustainable transformation efforts. Finally, a supervisory mechanism should be established to ensure the effective implementation of various policies, with regular assessments of their impact. This will facilitate timely adjustments and optimizations of policy measures, thereby ensuring substantial progress in the low-carbon transformation.
Furthermore, the heterogeneity in urban characteristics should be taken into account during the policy formulation and implementation process. For the central and western regions, it is essential to improve the industrial structure, provide resources and technological support, and encourage innovation and transformation to enhance the effectiveness of policy implementation. Resource-dependent cities should formulate dedicated transformation plans to facilitate diversified development and enhance their resilience to risks. For small- and medium-sized cities, it is necessary to strengthen market mechanisms, promote resource sharing and cooperation, and leverage agglomeration effects to enhance policy execution. Finally, through a stratified assessment and feedback mechanism, we can adjust strategies timely to ensure that the low-carbon transition of various types of cities yields positive outcomes.
Thirdly, it is essential to strengthen regional synergy and linkage mechanisms, encouraging cooperation and experience sharing among cities to build a cross-regional community for green development. By holding regular experience exchange meetings, seminars, and similar activities, we can promote mutual learning and borrowing of successful experiences among cities in green technologies and ecological governance, thereby fostering regional green technological innovation and ecological environmental management to create a cohesive overall effect. Furthermore, it is advisable to actively explore the joint implementation of regional green projects and investments to promote the efficient allocation and sharing of resources, thereby maximizing overall benefits. Simultaneously, it is important to strengthen policy support and technology transfer to surrounding cities. Through training and technical guidance, we aim to enhance their capabilities for green transformation and ecological governance, ultimately achieving a joint improvement in regional UEE.
Ultimately, for pilot cities that have already met the necessary conditions, it is recommended to further enhance the development of carbon emission trading markets, promoting the efficient allocation and trading of carbon emission rights. By utilizing market-based mechanisms, the initiative encourages enterprises to actively reduce emissions, offering them flexible reduction pathways and incentives, thereby contributing to the overall reduction in carbon emissions. Moreover, further advancement of smart city development can be achieved by leveraging technologies such as the Internet of Things, big data, and artificial intelligence. Through real-time monitoring and data analysis, urban operations can be optimized, enabling intelligent management and resource allocation. This approach will enhance the effectiveness of low-carbon policies.

6.3. Research Outlook

This study provides an in-depth analysis of the impact of the LCCP policy on UEE, but several limitations remain. First, the research primarily focuses on the macro level and lacks micro-level data, which limits the in-depth analysis of the impact of the LCCP policy on UEE within specific industries or enterprises. In addition, the impact mechanism of the LCCP policy on UEE may not be limited to industrial structure upgrading and energy consumption reduction; it may also involve multiple factors. Therefore, it is essential to broaden the research perspective and explore other influencing mechanisms, such as technological innovation, policy incentives, and social participation. This will facilitate a comprehensive understanding of the channels through which policy impacts practice, thereby enabling the formulation of more precise recommendations.
Additionally, another possible direction for future research is to compare the LCCP policy with other carbon emission reduction policies. By evaluating the effectiveness, implementation challenges, and impacts of different policies, such as carbon trading markets, green finance, and the promotion of new energy vehicles, it would be possible to gain deeper insights into the comparative strengths and weaknesses of the LCCP policy. This comparison could help identify best practices and policy synergies, which may enhance the overall efficacy of carbon emission reduction efforts.

Author Contributions

Conceptualization, X.M. and T.S.; methodology, X.M.; software, T.S.; validation, X.M. and T.S.; formal analysis, X.M.; investigation, T.S.; resources, X.M.; data curation, T.S.; writing—original draft preparation, X.M. and T.S.; writing—review and editing, X.M. and T.S.; visualization, T.S.; supervision, X.M.; project administration, X.M.; funding acquisition, X.M. All authors have read and agreed to the published version of the manuscript.

Funding

This research was funded by Jiangsu University Philosophy and Social Science Research Project, Grant No. 2018SJA0134.

Institutional Review Board Statement

Not applicable.

Informed Consent Statement

Not applicable.

Data Availability Statement

The dataset is available on request from the authors.

Acknowledgments

Thanks to the judging experts and all members of our team for their insightful advice.

Conflicts of Interest

The authors declare no conflicts of interest.

References

  1. Liu, H.; Tan, Y.; Li, N.; Cui, P.; Mao, P. How will rural houses go green? Exploring influencing factors of villagers’ participation in green housing construction in rural communities. J. Green. Build. 2023, 18, 159–190. [Google Scholar] [CrossRef]
  2. Zhang, D.; Zhao, M.; Wang, Y.; Vigne, S.A.; Benkraiem, R. Technological innovation and its influence on energy risk management: Unpacking China’s energy consumption structure optimisation amidst climate change. Energy Econ. 2024, 131, 107321. [Google Scholar] [CrossRef]
  3. Commission, E.; Centre, J.R.; Crippa, M.; Guizzardi, D.; Schaaf, E.; Monforti-Ferrario, F.; Quadrelli, R.; Risquez Martin, A.; Rossi, S.; Vignati, E.; et al. GHG Emissions of All World Countries—2023; Publications Office of the European Union: Luxembourg, 2023. [Google Scholar]
  4. Ma, X.; Zhu, L. Impact of Low-Carbon City Pilot Policies on Green Construction Industry Innovation. Sustainability 2024, 16, 2964. [Google Scholar] [CrossRef]
  5. Cheng, J.; Yi, J.; Dai, S.; Xiong, Y. Can low-carbon city construction facilitate green growth? Evidence from China’s pilot low-carbon city initiative. J. Clean. Prod. 2019, 231, 1158–1170. [Google Scholar] [CrossRef]
  6. Dhakal, S. Urban energy use and carbon emissions from cities in China and policy implications. Energy Policy 2009, 37, 4208–4219. [Google Scholar] [CrossRef]
  7. Shan, Y.; Guan, D.; Liu, J.; Mi, Z.; Liu, Z.; Liu, J.; Schroeder, H.; Cai, B.; Chen, Y.; Shao, S. Methodology and applications of city level CO2 emission accounts in China. J. Clean. Prod. 2017, 161, 1215–1225. [Google Scholar] [CrossRef]
  8. Cui, P.; Ju, X.; Liu, Y.; Li, D. Predicting and improving the waterlogging resilience of urban communities in China—A case study of Nanjing. Buildings 2022, 12, 901. [Google Scholar] [CrossRef]
  9. Singh, N.; Singh, S.; Mall, R.K. Urban ecology and human health: Implications of urban heat island, air pollution and climate change nexus. In Urban Ecology; Elsevier: Amsterdam, The Netherlands, 2020; pp. 317–334. [Google Scholar]
  10. Niu, H.; Vatsa, P.; Ma, W.; Li, J. Environmental regulation and energy efficiency: Empirical evidence from the low-carbon city pilot program in China. Energy Effic. 2023, 16, 61. [Google Scholar] [CrossRef]
  11. Yu, Y.; Zhang, N. Low-carbon city pilot and carbon emission efficiency: Quasi-experimental evidence from China. Energy Econ. 2021, 96, 105125. [Google Scholar] [CrossRef]
  12. Huo, W.; Qi, J.; Yang, T.; Liu, J.; Liu, M.; Zhou, Z. Effects of China’s pilot low-carbon city policy on carbon emission reduction: A quasi-natural experiment based on satellite data. Technol. Forecast. Soc. 2022, 175, 121422. [Google Scholar] [CrossRef]
  13. He, Y.; Lai, Z.; Liao, N. Evaluating the effect of low-carbon city pilot policy on urban PM2.5: Evidence from a quasi-natural experiment in China. Environ. Dev. Sustain. 2024, 26, 4725–4751. [Google Scholar] [CrossRef]
  14. Zhao, C.; Wang, B. Does China’s low-carbon pilot policy promote foreign direct investment? An empirical study based on city-level panel data of China. Sustainability 2021, 13, 10848. [Google Scholar] [CrossRef]
  15. Zheng, J.; Shao, X.; Liu, W.; Kong, J.; Zuo, G. The impact of the pilot program on industrial structure upgrading in low-carbon cities. J. Clean. Prod. 2021, 290, 125868. [Google Scholar] [CrossRef]
  16. Zou, C.; Huang, Y.; Wu, S.; Hu, S. Does “low-carbon city” accelerate urban innovation? Evidence from China. Sustain. Cities Soc. 2022, 83, 103954. [Google Scholar] [CrossRef]
  17. Zhang, H.; Huang, L.; Zhu, Y.; Si, H.; He, X. Does low-carbon city construction improve total factor productivity? Evidence from a quasi-natural experiment in China. Int. J. Environ. Res. Public Health 2021, 18, 11974. [Google Scholar] [CrossRef]
  18. Chen, H.; Guo, W.; Feng, X.; Wei, W.; Liu, H.; Feng, Y.; Gong, W. The impact of low-carbon city pilot policy on the total factor productivity of listed enterprises in China. Resour. Conserv. Recycl. 2021, 169, 105457. [Google Scholar] [CrossRef]
  19. Wang, C.A.; Liu, X.; Li, H.; Yang, C. Analyzing the impact of low-carbon city pilot policy on enterprises’ labor demand: Evidence from China. Energ. Econ. 2023, 124, 106676. [Google Scholar] [CrossRef]
  20. Khanna, N.; Fridley, D.; Hong, L. China’s pilot low-carbon city initiative: A comparative assessment of national goals and local plans. Sustain. Cities Soc. 2014, 12, 110–121. [Google Scholar] [CrossRef]
  21. Lo, K. China’s low-carbon city initiatives: The implementation gap and the limits of the target responsibility system. Habitat. Int. 2014, 42, 236–244. [Google Scholar] [CrossRef]
  22. Wen, S.; Jia, Z.; Chen, X. Can low-carbon city pilot policies significantly improve carbon emission efficiency? Empirical evidence from China. J. Clean. Prod. 2022, 346, 131131. [Google Scholar] [CrossRef]
  23. Ritter, H.; Schopf, M. Unilateral climate policy: Harmful or even disastrous? Environ. Resour. Econ. 2014, 58, 155–178. [Google Scholar] [CrossRef]
  24. Li, Y.; Zhang, J.; Yang, X.; Wang, W.; Wu, H.; Ran, Q.; Luo, R. The impact of innovative city construction on ecological efficiency: A quasi-natural experiment from China. Sustain. Prod. Consum. 2021, 28, 1724–1735. [Google Scholar] [CrossRef]
  25. Becker, R.A. Local environmental regulation and plant-level productivity. Ecol. Econ. 2011, 70, 2516–2522. [Google Scholar] [CrossRef]
  26. Ren, S.; Li, X.; Yuan, B.; Li, D.; Chen, X. The effects of three types of environmental regulation on eco-efficiency: A cross-region analysis in China. J. Clean. Prod. 2018, 173, 245–255. [Google Scholar] [CrossRef]
  27. Fujii, H.; Managi, S. Determinants of eco-efficiency in the Chinese industrial sector. J. Environ. Sci. 2013, 25, S20–S26. [Google Scholar] [CrossRef] [PubMed]
  28. He, J.; Hu, S. Ecological efficiency and its determining factors in an urban agglomeration in China: The Chengdu-Chongqing urban agglomeration. Urban. Clim. 2022, 41, 101071. [Google Scholar] [CrossRef]
  29. Song, M.; Zhao, X.; Shang, Y. The impact of low-carbon city construction on ecological efficiency: Empirical evidence from quasi-natural experiments. Resour. Conserv. Recycl. 2020, 157, 104777. [Google Scholar] [CrossRef]
  30. Chen, C.; Sun, Y.; Lan, Q.; Jiang, F. Impacts of industrial agglomeration on pollution and ecological efficiency-A spatial econometric analysis based on a big panel dataset of China’s 259 cities. J. Clean. Prod. 2020, 258, 120721. [Google Scholar] [CrossRef]
  31. Zhang, Y.; Zhang, H.; Fu, Y.; Wang, L.; Wang, T. Effects of industrial agglomeration and environmental regulation on urban ecological efficiency: Evidence from 269 cities in China. Environ. Sci. Pollut. Res. 2021, 28, 66389–66408. [Google Scholar] [CrossRef] [PubMed]
  32. Zhang, X.; Cai, Z.; Song, W.; Yang, D. Mapping the spatial-temporal changes in energy consumption-related carbon emissions in the Beijing-Tianjin-Hebei region via nighttime light data. Sustain. Cities Soc. 2023, 94, 104476. [Google Scholar] [CrossRef]
  33. Dale, S. BP Statistical Review of World Energy; BP Plc: London, UK, 2021; pp. 14–16. [Google Scholar]
  34. Watts, M. Cities spearhead climate action. Nat. Clim. Change 2017, 7, 537–538. [Google Scholar] [CrossRef]
  35. Wang, Y.; Song, Q.; He, J.; Qi, Y. Developing low-carbon cities through pilots. Clim. Policy 2015, 15, S81–S103. [Google Scholar] [CrossRef]
  36. Ma, J.; Hu, Q.; Shen, W.; Wei, X. Does the low-carbon city pilot policy promote green technology innovation? Based on green patent data of Chinese A-share listed companies. Int. J. Environ. Res. Public Health 2021, 18, 3695. [Google Scholar] [CrossRef]
  37. Li, X.; Xing, H. Better cities better lives: How low-carbon city pilots can lower residents’ carbon emissions. J. Environ. Manag. 2024, 351, 119889. [Google Scholar] [CrossRef] [PubMed]
  38. Zhou, S.; Zhou, C. Evaluation of China’s low-carbon city pilot policy: Evidence from 210 prefecture-level cities. PLoS ONE 2021, 16, e258405. [Google Scholar] [CrossRef] [PubMed]
  39. Lee, C.; Feng, Y.; Peng, D. A green path towards sustainable development: The impact of low-carbon city pilot on energy transition. Energ. Econ. 2022, 115, 106343. [Google Scholar] [CrossRef]
  40. Gao, Z.; Liu, H.; Xu, X.; Xiahou, X.; Cui, P.; Mao, P. Research progress on carbon emissions of public buildings: A visual analysis and review. Buildings 2023, 13, 677. [Google Scholar] [CrossRef]
  41. Li, H.; Wang, J.; Yang, X.; Wang, Y.; Wu, T. A holistic overview of the progress of China’s low-carbon city pilots. Sustain. Cities Soc. 2018, 42, 289–300. [Google Scholar] [CrossRef]
  42. Zheng, D.; Shi, M. Multiple environmental policies and pollution haven hypothesis: Evidence from China’s polluting industries. J. Clean. Prod. 2017, 141, 295–304. [Google Scholar] [CrossRef]
  43. Yu, X.; Wan, K.; Du, Q. Can carbon market policies achieve a “point-to-surface” effect?—Quasi-experimental evidence from China. Energy Policy 2023, 183, 113803. [Google Scholar] [CrossRef]
  44. Zeng, S.; Jin, G.; Tan, K.; Liu, X. Can low-carbon city construction reduce carbon intensity? Empirical evidence from low-carbon city pilot policy in China. J. Environ. Manag. 2023, 332, 117363. [Google Scholar] [CrossRef]
  45. Zhou, P.; Ang, B.W.; Wang, H. Energy and CO2 emission performance in electricity generation: A non-radial directional distance function approach. Eur. J. Oper. Res. 2012, 221, 625–635. [Google Scholar] [CrossRef]
  46. Färe, R.; Grosskopf, S.; Pasurka, C.A., Jr. Environmental production functions and environmental directional distance functions. Energy 2007, 32, 1055–1066. [Google Scholar] [CrossRef]
  47. Zhang, N.; Choi, Y. A note on the evolution of directional distance function and its development in energy and environmental studies 1997–2013. Renew. Sustain. Energy Rev. 2014, 33, 50–59. [Google Scholar] [CrossRef]
  48. Yao, J.; Xu, P.; Huang, Z. Impact of urbanization on ecological efficiency in China: An empirical analysis based on provincial panel data. Ecol. Indic. 2021, 129, 107827. [Google Scholar] [CrossRef]
  49. Bai, Y.; Deng, X.; Jiang, S.; Zhang, Q.; Wang, Z. Exploring the relationship between urbanization and urban eco-efficiency: Evidence from prefecture-level cities in China. J. Clean. Prod. 2018, 195, 1487–1496. [Google Scholar] [CrossRef]
  50. Ren, Y.; Fang, C.; Lin, X.; Sun, S.; Li, G.; Fan, B. Evaluation of the eco-efficiency of four major urban agglomerations in coastal eastern China. J. Geogr. Sci. 2019, 29, 1315–1330. [Google Scholar] [CrossRef]
  51. Huang, Y.; Li, L.; Yu, Y. Does urban cluster promote the increase of urban eco-efficiency? Evidence from Chinese cities. J. Clean. Prod. 2018, 197, 957–971. [Google Scholar] [CrossRef]
  52. Chen, J.; Luo, W.; Ren, X.; Liu, T. The local-neighborhood effects of low-carbon city pilots program on PM2.5 in China: A spatial difference-in-differences analysis. Sci. Total Environ. 2023, 857, 159511. [Google Scholar] [CrossRef] [PubMed]
  53. Chen, P.; Xie, R.; Lu, M.; Huang, Z. The impact of the spatio-temporal neighborhood effect on urban eco-efficiency in China. J. Clean. Prod. 2021, 285, 124860. [Google Scholar] [CrossRef]
  54. Chuai, X.; Huang, X.; Wang, W.; Wen, J.; Chen, Q.; Peng, J. Spatial econometric analysis of carbon emissions from energy consumption in China. J. Geogr. Sci. 2012, 22, 630–642. [Google Scholar] [CrossRef]
  55. Liu, F. The impact of China’s low-carbon city pilot policy on carbon emissions: Based on the multi-period DID model. Environ. Sci. Pollut. Res. 2023, 30, 81745–81759. [Google Scholar] [CrossRef]
  56. Liu, T.; Li, J.; Chen, J.; Yang, S. Urban ecological efficiency and its influencing factors—A case study in Henan province, China. Sustainability 2019, 11, 5048. [Google Scholar] [CrossRef]
  57. Ma, H.; Han, Y.; Lv, K.; Bi, M.; Zhong, Y. Urban eco-efficiency and its influencing factors in China based on the two-stage super-NEBM model. Systems 2022, 10, 217. [Google Scholar] [CrossRef]
  58. Liu, Q.; Wang, S.; Li, B.; Zhang, W. Dynamics, differences, influencing factors of eco-efficiency in China: A spatiotemporal perspective analysis. J. Environ. Manag. 2020, 264, 110442. [Google Scholar] [CrossRef]
  59. Zhu, W.; Xu, L.; Tang, L.; Xiang, X. Eco-efficiency of the Western Taiwan Straits Economic Zone: An evaluation based on a novel eco-efficiency model and empirical analysis of influencing factors. J. Clean. Prod. 2019, 234, 638–652. [Google Scholar] [CrossRef]
  60. Gehrsitz, M. The effect of low emission zones on air pollution and infant health. J. Environ. Econ. Manag. 2017, 83, 121–144. [Google Scholar] [CrossRef]
  61. Zeng, C.; Jiang, S.; Zhou, F. Can Low-Carbon City Pilot Policy Promote Regional Green High-Quality Development? Sustainability 2024, 16, 5520. [Google Scholar] [CrossRef]
  62. Song, Y.; He, Y.; Sahut, J.; Shah, S.H. Can low-carbon city pilot policy decrease urban energy poverty? Energy Policy 2024, 186, 113989. [Google Scholar] [CrossRef]
  63. Liu, X.; Li, Y.; Chen, X.; Liu, J. Evaluation of low carbon city pilot policy effect on carbon abatement in China: An empirical evidence based on time-varying DID model. Cities 2022, 123, 103582. [Google Scholar] [CrossRef]
  64. Zhou, M.; Wang, B.; Chen, Z. Has the anti-corruption campaign decreased air pollution in China? Energy Econ. 2020, 91, 104878. [Google Scholar] [CrossRef]
  65. Yan, J.; Zhao, J.; Yang, X.; Su, X.; Wang, H.; Ran, Q.; Shen, J. Does low-carbon city pilot policy alleviate urban haze pollution? Empirical evidence from a quasi-natural experiment in China. Int. J. Environ. Res. Public Health 2021, 18, 11287. [Google Scholar] [CrossRef]
  66. Wang, L.; Shao, J.; Ma, Y. Does China’s low-carbon city pilot policy improve energy efficiency? Energy 2023, 283, 129048. [Google Scholar] [CrossRef]
  67. Cui, H.; Cao, Y. Low-carbon city construction, spatial spillovers and greenhouse gas emission performance: Evidence from Chinese cities. J. Environ. Manag. 2024, 355, 120405. [Google Scholar] [CrossRef] [PubMed]
  68. Du, M.; Feng, R.; Chen, Z. Blue sky defense in low-carbon pilot cities: A spatial spillover perspective of carbon emission efficiency. Sci. Total Environ. 2022, 846, 157509. [Google Scholar] [CrossRef]
Figure 1. Geographical distribution of low-carbon pilot projects.
Figure 1. Geographical distribution of low-carbon pilot projects.
Sustainability 17 00368 g001
Figure 2. Results of the parallel trend test.
Figure 2. Results of the parallel trend test.
Sustainability 17 00368 g002
Figure 3. Results of the placebo test.
Figure 3. Results of the placebo test.
Sustainability 17 00368 g003
Table 1. Energy consumption conversion and carbon emission coefficient.
Table 1. Energy consumption conversion and carbon emission coefficient.
Energy TypeRaw CoalCokeCrude OilGasolineKeroseneDiesel OilFuel OilNatural Gas
G n (t Standard coal/t)0.71430.97141.42861.47141.47141.45711.42861.3300
K n (t Carbon/t Standard coal)0.75590.85500.58570.55380.57140.59210.61850.4483
Table 2. Descriptive statistics.
Table 2. Descriptive statistics.
VariablesObsMeanStd.Dev.MinMax
UEE42600.4300.1640.0891.000
DID42600.1140.3180.0001.000
ind42600.9870.5630.0945.348
lneng42601.4910.5800.2813.950
lnpgdp426010.5540.6758.13112.293
lnpop42605.8670.6873.0648.075
wwt42600.8130.2000.0001.000
lnfin426016.1951.31512.73720.598
lnroad42607.0401.0111.09910.178
lngov426014.6420.90111.27118.250
Table 3. Empirical results of the baseline regression.
Table 3. Empirical results of the baseline regression.
VariableUEEUEEUEEUEEUEEUEEUEE
(1)(2)(3)(4)(5)(6)(7)
DID0.045 ***0.046 ***0.031 **0.031 **0.029 **0.031 **0.030 **
(0.013)(0.013)(0.013)(0.013)(0.013)(0.012)(0.012)
lnpgdp 0.105 ***0.134 ***0.134 ***0.148 ***0.162 ***0.181 ***
(0.016)(0.016)(0.016)(0.017)(0.017)(0.018)
lnpop 0.214 ***0.214 ***0.222 ***0.233 ***0.253 ***
(0.039)(0.039)(0.039)(0.038)(0.039)
wwt 0.0030.0030.0090.011
(0.018)(0.017)(0.017)(0.017)
lnfin −0.031 **−0.025 **−0.021 *
(0.013)(0.012)(0.012)
lnroad −0.055 ***−0.056 ***
(0.012)(0.012)
lngov −0.049 ***
(0.016)
Constant0.424 ***−0.681 ***−2.242 ***−2.245 ***−1.936 ***−1.870 ***−1.531 ***
(0.001)(0.173)(0.304)(0.304)(0.318)(0.302)(0.328)
City FEYESYESYESYESYESYESYES
Year FEYESYESYESYESYESYESYES
Observations4260426042604260426042604260
Adjusted R20.7440.7530.7630.7630.7640.7710.772
Note: *, **, and *** indicate significance levels of 10%, 5%, and 1%, respectively. Robust standard errors for clustering at the city level are shown in parentheses.
Table 4. Regression results of the robustness test.
Table 4. Regression results of the robustness test.
Variable(1)(2)(3)
DID0.030 **0.027 **0.030 **
(0.013)(0.013)(0.012)
Pre 1−0.004
(0.011)
CETP 0.022
(0.021)
SCP −0.002
(0.011)
Constant−1.532 ***−1.484 ***−1.228 ***
(0.328)(0.326)(0.353)
ControlsYESYESYES
City FEYESYESYES
Year FEYESYESYES
Observations426042604260
Adjusted R20.7720.7720.773
Note: **, and *** indicate significance levels of 5%, and 1%, respectively. Robust standard errors for clustering at the city level are shown in parentheses.
Table 5. Regression results of the impacting mechanism.
Table 5. Regression results of the impacting mechanism.
VariableindUEElnengUEE
(1)(2)(3)(4)
DID0.040 ***0.029 **−0.025 **0.028 **
(0.015)(0.012)(0.010)(0.012)
ind 0.024 *
(0.014)
lneng −0.096 ***
(0.018)
Constant7.611 ***−1.712 ***3.627 ***−1.182 ***
(0.765)(0.355)(0.329)(0.332)
ControlsYESYESYESYES
City FEYESYESYESYES
Year FEYESYESYESYES
Observations4260426042604260
Adjusted R20.8570.7730.9420.778
Note: *, **, and *** indicate significance levels of 10%, 5%, and 1%, respectively. Robust standard errors for clustering at the city level are shown in parentheses.
Table 6. Regression results of the heterogeneity analysis.
Table 6. Regression results of the heterogeneity analysis.
VariableEasternCentralWesternResourceNon-ResourceSmall and
Medium
Large
(1)(2)(3)(4)(5)(6)(7)
DID0.083 ***−0.004−0.0040.0050.036 **0.0190.036 ***
(0.021)(0.017)(0.020)(0.028)(0.014)(0.018)(0.009)
Constant−2.133 ***−0.780 *−2.610 ***−0.829 **−2.084 ***−1.491 ***−0.899 **
(0.555)(0.439)(0.658)(0.369)(0.488)(0.399)(0.377)
ControlsYESYESYESYESYESYESYES
City FEYESYESYESYESYESYESYES
Year FEYESYESYESYESYESYESYES
Observations1500150012601710255027451515
Adjusted R20.7640.7650.8070.7670.7640.7910.753
Note: *, **, and *** indicate significance levels of 10%, 5%, and 1%, respectively. Robust standard errors for clustering at the city level are shown in parentheses.
Table 7. Global Moran’s index.
Table 7. Global Moran’s index.
YearMoran’s IZ-ValueYearMoran’s IZ-ValueYearMoran’s IZ-Value
20070.107 ***3.82520120.107 ***3.86920170.147 ***5.255
20080.127 ***4.54620130.111 ***4.00120180.169 ***6.024
20090.136 ***4.89520140.110 ***3.96620190.148 ***5.287
20100.136 ***4.86720150.093 ***3.37220200.148 ***5.286
20110.113 ***4.07120160.114 ***4.11420210.194 ***6.874
Note: *** indicates a significance level of 1%.
Table 8. Spatial models test.
Table 8. Spatial models test.
IndexValueIndexValue
LM-error238.257 ***LM-lag95.133 ***
Robust-LM-error188.378 ***Robust-LM-lag45.253 ***
Wald-SDM/SEM51.180 ***Wald-SDM/SAR48.070 ***
LR-SDM/SEM50.750 ***LR-SDM/SAR47.880 ***
Hausman137.380 ***
Note: *** indicates a significance level of 1%.
Table 9. Regression results of the spatial effects.
Table 9. Regression results of the spatial effects.
VariableMainDirectIndirectTotal
(1)(2)(3)(4)
DID0.030 **0.031 **0.075 **0.106 ***
(0.012)(0.012)(0.036)(0.037)
W × D I D 0.067 **
(0.034)
rho0.095 **
(0.042)
ControlsYESYESYESYES
City FEYESYESYESYES
Year FEYESYESYESYES
Observations4260426042604260
Adjusted R20.1000.1000.1000.100
Note: **, and *** indicate significance levels of 5%, and 1%, respectively. Robust standard errors for clustering at the city level are shown in parentheses.
Disclaimer/Publisher’s Note: The statements, opinions and data contained in all publications are solely those of the individual author(s) and contributor(s) and not of MDPI and/or the editor(s). MDPI and/or the editor(s) disclaim responsibility for any injury to people or property resulting from any ideas, methods, instructions or products referred to in the content.

Share and Cite

MDPI and ACS Style

Ma, X.; Sun, T. Does China’s Low-Carbon City Pilot Policy Effectively Enhance Urban Ecological Efficiency? Sustainability 2025, 17, 368. https://doi.org/10.3390/su17010368

AMA Style

Ma X, Sun T. Does China’s Low-Carbon City Pilot Policy Effectively Enhance Urban Ecological Efficiency? Sustainability. 2025; 17(1):368. https://doi.org/10.3390/su17010368

Chicago/Turabian Style

Ma, Xin, and Tianli Sun. 2025. "Does China’s Low-Carbon City Pilot Policy Effectively Enhance Urban Ecological Efficiency?" Sustainability 17, no. 1: 368. https://doi.org/10.3390/su17010368

APA Style

Ma, X., & Sun, T. (2025). Does China’s Low-Carbon City Pilot Policy Effectively Enhance Urban Ecological Efficiency? Sustainability, 17(1), 368. https://doi.org/10.3390/su17010368

Note that from the first issue of 2016, this journal uses article numbers instead of page numbers. See further details here.

Article Metrics

Back to TopTop