Image-Based Phenotyping Study of Wheat Growth and Grain Yield Dependence on Environmental Conditions and Nitrogen Usage in a Multi-Year Field Trial
Abstract
1. Introduction
2. Materials and Methods
- Field trials. Plants of 10 Australian varieties of spring wheat (Triticum Aestivum L.) were planted in single plots of 4 × 1.2 m2. The ten varieties used were the following: Drysdale, Excalibur, Gladius, Gregory, Kukri, Mace, Magenta, RAC875, Scout, and Spitfire. In 2017, the variety Yitpi was used in place of Spitfire due to issues with availability. The first trial, in 2016, contained 60 plots, while the second and third trials, in 2017 and 2018, respectively, contained 90 plots.
- Image acquisition. A hand-manoeuvred imaging platform, composed of a robust steel frame on a dual-axle undercarriage with inflatable wheels, was propelled through the field once weekly, or as often as weather would permit. A stereo pair of Canon EOS 60D digital cameras (manufactured by Canon, Shimomaruko, Ōta, Tokyo, Japan; purchased in Adelaide Australia) was mounted centrally on the frame, approximately 20 cm apart and two metres above ground level. In contrast to the first two cameras, whose optical paths were angled vertically for horizontal stereo viewing of plots, a third and fourth camera were mounted at the two extremities of the platform for the purpose of ensuring the oblique viewing of the plots. A schematic of the platform is shown in Figure 1.
- Soil, yield, and quality data. Soil analyses were conducted prior to sowing each field trial. Soil samples were consistently taken from a depth of 0–10 cm and analysed after being dried to 40 °C. The soil analyses returned 45 outputs, including a range of different variables such as the amounts of specific elements, the soil colour, and the composition of soil types.
- Weather data. All weather-related data were obtained from the Australian Bureau of Meteorology (BOM) website [28]. The nearest BOM weather station to our field trials is located at Roseworthy, South Australia (latitude = −34.53°, longitude = 138.75°). While data for daily rainfall were complete over the time span of our field trials, some data points for the minimum and maximum temperature were missing. On these rare occasions, the nearest BOM weather station with data for those days was used. The nearest BOM weather station is located at Edinburgh, South Australia (latitude = −34.71°, longitude = 138.62°). In each of these cases, the surrounding temperature recordings from Edinburgh and Roseworthy were compared to ensure that there were no vast differences in the measurements.
- Crop height data. Height was recorded manually with the same technique by the same individual at regular times over the course of each of the three seasons. A one-metre ruler with centimetre markings was sequentially placed at uniform points along each plot to determine sample heights and, consequently, average plot height. Sample heights were defined as the average height of the top of the spikes in line with the ruler at each sample position; if no spikes were present, then the tallest leaves were used.
Image Processing
- Crop coverage estimation. Our approach for coverage estimation involves three steps: segmenting green plant pixels, cropping a region of interest (ROI), and calculating the proportion of the ROI that is covered by green plant pixels. To segment the plant pixels—hereafter referred to as the foreground—from the image background (soil, vehicle parts, etc.), we used a support vector machine (SVM), a supervised machine learning technique which attempts to find the best hyperplane that separates a dataset with two classes. The training data for SVM are a labelled set of pixel values, belonging to either the foreground or the background class, enabling the method to find the best hyperplane or boundary that will provide the maximum classification accuracy for future candidate pixels. Rather than segmenting high-resolution images manually to obtain the training data or manually—and subjectively—selecting small subsets of pixels from those images, we used K-means clustering to select them semi-automatically. Using K-means clustering, each training image is segmented into 20 clusters with minimal intra-class variance. Each cluster is then manually given a label as green plant or background. The centre of each cluster, or mean colour, is then used as the training data for the SVM. A visual representation of the trained SVM can be seen in Figure 2.
- Vigour estimation. To estimate plant canopy vigour, we use the green plant pixels segmented from the background in the coverage estimation section. The red and green channel values of each plant pixel contribute to a plot average. Denoting the average red and green plant pixel values by R and G, respectively, an estimate of vigour, V, can be given by
3. Results and Discussion
3.1. Field Conditions
3.2. Canopy Growth and Development
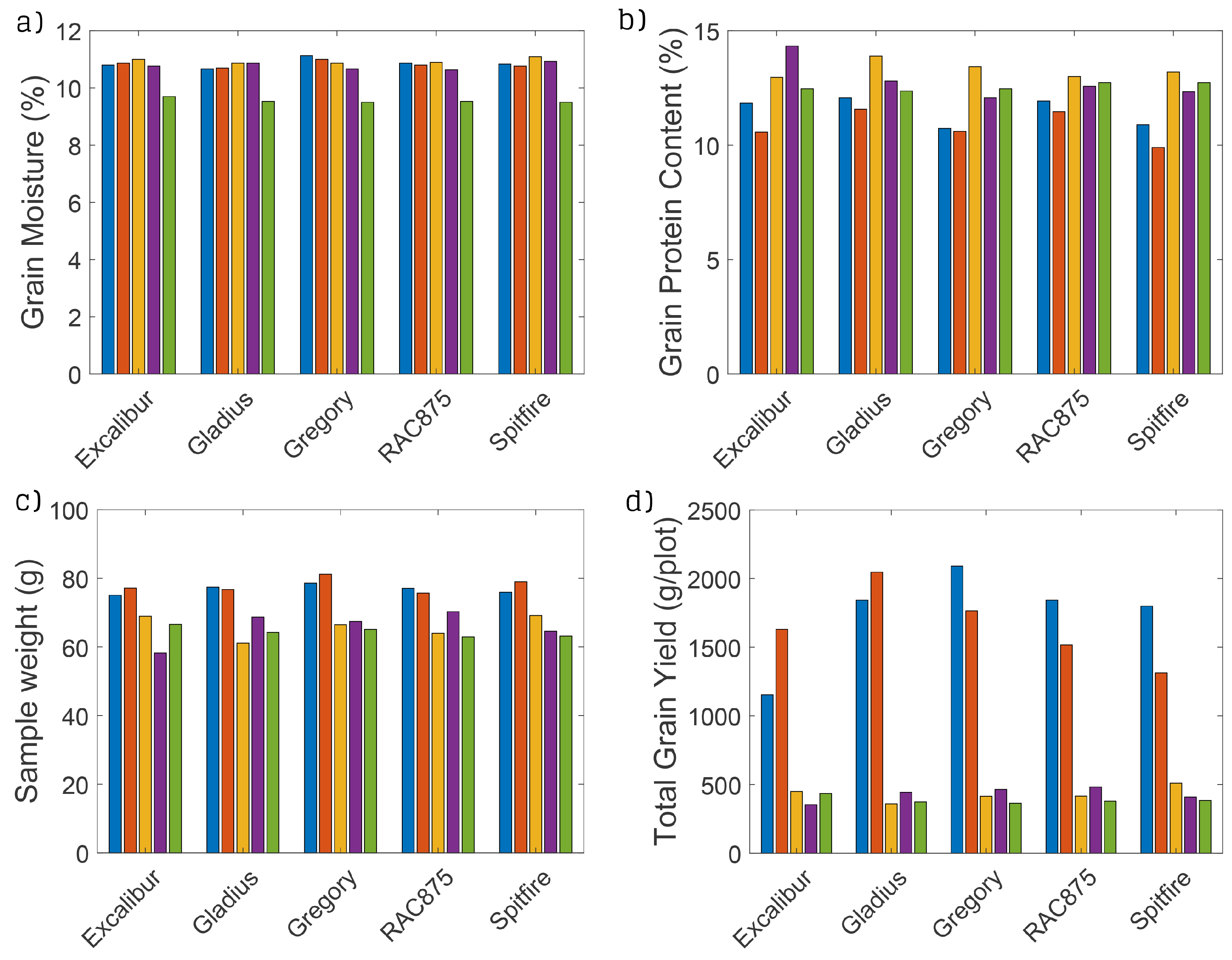
3.3. Statistical Analysis
4. Conclusions
Supplementary Materials
Author Contributions
Funding
Institutional Review Board Statement
Informed Consent Statement
Data Availability Statement
Acknowledgments
Conflicts of Interest
Abbreviations
| NUE | nitrogen use efficiency |
| ROI | linear dichroism |
| UAV | unmanned aerial vehicle |
| GRVI | green–red vegetation index |
| SVM | support vector machine |
| N | nitrogen |
| GPC | grain protein content |
| LAI | leaf area index |
| BOM | Bureau of Meteorology |
| DAS | days after sowing |
References
- Snyder, C.S. Enhanced nitrogen fertiliser technologies support the ‘4R’concept to optimise crop production and minimise environmental losses. Soil Res. 2017, 55, 463–472. [Google Scholar] [CrossRef]
- Smith, V.H. Wheat Quality and Wheat Yields: Trade-offs among Price, Yield, Profit, and Risk; AgEcon Search: Research in Agricultural and Applied Economics; Montana State University: Bozeman, MT, USA, 2000. [Google Scholar]
- Murphy, K.; Dawson, J.; Jones, S. Relationship among phenotypic growth traits, yield and weed suppression in spring wheat landraces and modern cultivars. Field Crop. Res. 2008, 105, 107–115. [Google Scholar] [CrossRef]
- Khan, A.; Azam, F.; Ali, A. Relationship of morphological traits and grain yield in recombinant inbred wheat lines grown under drought conditions. Pak. J. Bot 2010, 42, 259–267. [Google Scholar]
- Rahimi Jahangirlou, M.; Akbari, G.A.; Alahdadi, I.; Soufizadeh, S.; Kumar, U.; Parsons, D. Phenotypic traits, grain yield and yield components of maize cultivars under combinations of management practices in semi-arid conditions of Iran. Int. J. Plant Prod. 2021, 15, 459–471. [Google Scholar] [CrossRef]
- Abedi, T.; Alemzadeh, A.; Kazemeini, S.A. Wheat yield and grain protein response to nitrogen amount and timing. Aust. J. Crop Sci. 2011, 5, 330–336. [Google Scholar]
- Birch, C.; Long, K. Effect of nitrogen on the growth, yield and grain protein content of barley (Hordeum vulgare). Aust. J. Exp. Agric. 1990, 30, 237–242. [Google Scholar] [CrossRef]
- Ladha, J.; Tirol-Padre, A.; Reddy, C.; Cassman, K.; Verma, S.; Powlson, D.; van Kessel, C.; Richter, D.d.B.; Chakraborty, D.; Pathak, H. Global nitrogen budgets in cereals: A 50-year assessment for maize, rice, and wheat production systems. Sci. Rep. 2016, 6, 19355. [Google Scholar] [CrossRef]
- Dobermann, A.; Cassman, K.G. Cereal area and nitrogen use efficiency are drivers of future nitrogen fertilizer consumption. Sci. China Ser. C Life Sci. 2005, 48, 745–758. [Google Scholar] [CrossRef]
- Bronson, K.F.; White, J.W.; Conley, M.M.; Hunsaker, D.J.; Thorp, K.R.; French, A.N.; Mackey, B.E.; Holland, K.H. Active optical sensors in irrigated durum wheat: Nitrogen and water effects. Agron. J. 2017, 109, 1060–1071. [Google Scholar] [CrossRef]
- Lassaletta, L.; Billen, G.; Garnier, J.; Bouwman, L.; Velazquez, E.; Mueller, N.D.; Gerber, J.S. Nitrogen use in the global food system: Past trends and future trajectories of agronomic performance, pollution, trade, and dietary demand. Environ. Res. Lett. 2016, 11, 095007. [Google Scholar] [CrossRef]
- Mueller, N.D.; Lassaletta, L.; Runck, B.C.; Billen, G.; Garnier, J.; Gerber, J.S. Declining spatial efficiency of global cropland nitrogen allocation. Glob. Biogeochem. Cycles 2017, 31, 245–257. [Google Scholar] [CrossRef]
- Mahjourimajd, S.; Kuchel, H.; Langridge, P.; Okamoto, M. Evaluation of Australian wheat genotypes for response to variable nitrogen application. Plant Soil 2016, 399, 247–255. [Google Scholar] [CrossRef]
- Maphosa, L.; Langridge, P.; Taylor, H.; Parent, B.; Emebiri, L.C.; Kuchel, H.; Reynolds, M.P.; Chalmers, K.J.; Okada, A.; Edwards, J.; et al. Genetic control of grain yield and grain physical characteristics in a bread wheat population grown under a range of environmental conditions. Theor. Appl. Genet. 2014, 127, 1607–1624. [Google Scholar] [CrossRef] [PubMed]
- Mon, J.; Bronson, K.; Hunsaker, D.; Thorp, K.; White, J.; French, A. Interactive effects of nitrogen fertilization and irrigation on grain yield, canopy temperature, and nitrogen use efficiency in overhead sprinkler-irrigated durum wheat. Field Crops Res. 2016, 191, 54–65. [Google Scholar] [CrossRef]
- Ravier, C.; Meynard, J.M.; Cohan, J.P.; Gate, P.; Jeuffroy, M.H. Early nitrogen deficiencies favour high yield, grain protein content and N use efficiency in wheat. Eur. J. Agron. 2017, 89, 16–24. [Google Scholar] [CrossRef]
- Dumont, B.; Basso, B.; Bodson, B.; Destain, J.P.; Destain, M.F. Assessing and modeling economic and environmental impact of wheat nitrogen management in Belgium. Environ. Model. Softw. 2016, 79, 184–196. [Google Scholar] [CrossRef]
- Basso, B.; Dumont, B.; Cammarano, D.; Pezzuolo, A.; Marinello, F.; Sartori, L. Environmental and economic benefits of variable rate nitrogen fertilization in a nitrate vulnerable zone. Sci. Total Environ. 2016, 545, 227–235. [Google Scholar] [CrossRef]
- Torres-Sanchez, J.; Pena, J.M.; de Castro, A.I.; Lopez-Granados, F. Multi-temporal mapping of the vegetation fraction in early-season wheat fields using images from UAV. Comput. Electron. Agric. 2014, 103, 104–113. [Google Scholar] [CrossRef]
- Schirrmann, M.; Giebel, A.; Gleiniger, F.; Pflanz, M.; Lentschke, J.; Dammer, K.H. Monitoring agronomic parameters of winter wheat crops with low-cost UAV imagery. Remote Sens. 2016, 8, 706. [Google Scholar] [CrossRef]
- Zhang, C.; Kovacs, J.M. The application of small unmanned aerial systems for precision agriculture: A review. Precis. Agric. 2012, 13, 693–712. [Google Scholar] [CrossRef]
- Bourdin, F.; Morell, F.; Combemale, D.; Clastre, P.; Guerif, M.; Chanzy, A. A tool based on remotely sensed LAI, yield maps and a crop model to recommend variable rate nitrogen fertilization for wheat. Adv. Anim. Biosci. 2017, 8, 672–677. [Google Scholar] [CrossRef]
- Khan, Z.; Chopin, J.; Cai, J.; Eichi, V.R.; Haefele, S.; Miklavcic, S.J. Quantitative estimation of wheat phenotyping traits using ground and aerial imagery. Remote Sens. 2018, 10, 950. [Google Scholar] [CrossRef]
- Wen, C.; Wu, J.; Chen, H.; Su, H.; Chen, X.; Li, Z.; Yang, C. Wheat spike detection and counting in the field based on SpikeRetinaNet. Front. Plant Sci. 2022, 13, 821717. [Google Scholar] [CrossRef] [PubMed]
- Virlet, N.; Sabermanesh, K.; Sadeghi-Tehran, P.; Hawkesford, M.J. Field Scanalyser: An automated robotic field phenotyping platform for detailed crop monitoring. Funct. Plant Biol. 2017, 44, 143–153. [Google Scholar] [CrossRef] [PubMed]
- Sadeghi-Tehran, P.; Sabermanesh, K.; Virlet, N.; Hawkesford, M.J. Automated method to determine two critical growth stages of wheat: Heading and flowering. Front. Plant Sci. 2017, 8, 252. [Google Scholar] [CrossRef] [PubMed]
- Walter, J.D.C.; Edwards, J.; McDonald, G.; Kuchel, H. Estimatiing biomass and canopy height with lidar fpr field crop breeding. Front. Plant Sci. 2019, 10, 1145. [Google Scholar] [CrossRef]
- Bureau of Meteorology Website. Available online: www.bom.gov.au (accessed on 4 February 2020).
- Cai, J.; Kumar, P.; Chopin, J.; Miklavcic, S.J. Land-based crop phenotyping by image analysis: Accurate estimation of canopy height distributions using stereo images. PLoS ONE 2018, 13, e0196671. [Google Scholar] [CrossRef]
- Chopin, J.; Kumar, P.; Miklavcic, S.J. Land-based crop phenotyping by image analysis: Consistent canopy characterisation from inconsistent field illumination. Plant Methods 2018, 14, 39. [Google Scholar] [CrossRef]
- Lal, R.; Shukla, M. Principles of Soil Physics, 1st ed.; Marcel Dekker, Inc.: Basel, Switzerland, 2004. [Google Scholar]
- Foster, K.; Miklavcic, S. Modeling root zone effects on preferred pathways for the passive transport of ions and water in plant roots. Front. Plant Sci. 2016, 7, 914. [Google Scholar] [CrossRef]
- Munns, R.; Tester, M. Mechanisms of salinity tolerance. Annu. Rev. Plant Biol. 2008, 59, 651–681. [Google Scholar] [CrossRef]
- Yang, J.; Zhang, J. Grain filling of cereals under soil drying. New Phytol. 2006, 169, 223–236. [Google Scholar] [CrossRef] [PubMed]
- Hawkesford, M.J.; Riche, A.B. Impacts of G x E x M on nitrogen use efficiency in wheat and future prospects. Front. Plant Sci. 2020, 11, 567263. [Google Scholar] [CrossRef] [PubMed]
- Bi, H.; Kovalchuk, N.; Langridge, P.; Tricker, P.J.; Lopato, S.; Borisjuk, N. The impact of drought on wheat leaf cuticle properties. BMC Plant Biol. 2017, 17, 85. [Google Scholar] [CrossRef] [PubMed]
- ter Steege, M.W.; den Ouden, F.M.; Lambers, H.; Stam, P.; Peeters, A.J. Genetic and physiological architecture of early vigour in Aegilops tauschii, the D-genome donor of hexaploid wheat. A quantitative trait loci analysis. Plant Physiol. 2005, 139, 1078–1094. [Google Scholar] [CrossRef] [PubMed]
- DuPont Pioneer Agronomy page on Wheat. Available online: www.pioneer.com/us/agronomy/harvest-tips-wheat.html (accessed on 20 February 2020).
- Bogard, M.; Allard, V.; Brancourt-Hulmel, M.; Heumez, E.; Machet, J.M.; Jeuffroy, M.H.; Gate, P.; Martre, P.; Le Gouis, J. Deviation from the grain protein concentration–grain yield negative relationship is highly correlated with post-anthesis N uptake in winter wheat. J. Exp. Bot. 2010, 61, 4303–4312. [Google Scholar] [CrossRef]
- Cormier, F.; Foulkes, J.; Hirel, B.; Gouache, D.; Moenne-Loccoz, Y.; Le Gouis, J. Breeding for increased nitrogen-use efficiency: A review for wheat (T. aestivum L.). Plant Breed. 2016, 135, 255–278. [Google Scholar] [CrossRef]
- Schoppach, R.; Wauthelet, D.; Jeanguenin, L.; Sadok, W. Conservative water use under high evaporative demand associated with smaller root metaxylem and limited trans-membrane water transport in wheat. Funct. Plant Biol. 2014, 41, 257–269. [Google Scholar] [CrossRef]
















Disclaimer/Publisher’s Note: The statements, opinions and data contained in all publications are solely those of the individual author(s) and contributor(s) and not of MDPI and/or the editor(s). MDPI and/or the editor(s) disclaim responsibility for any injury to people or property resulting from any ideas, methods, instructions or products referred to in the content. |
© 2024 by the authors. Licensee MDPI, Basel, Switzerland. This article is an open access article distributed under the terms and conditions of the Creative Commons Attribution (CC BY) license (https://creativecommons.org/licenses/by/4.0/).
Share and Cite
Miklavcic, S.J.; Chopin, J.; Laga, H. Image-Based Phenotyping Study of Wheat Growth and Grain Yield Dependence on Environmental Conditions and Nitrogen Usage in a Multi-Year Field Trial. Sustainability 2024, 16, 3728. https://doi.org/10.3390/su16093728
Miklavcic SJ, Chopin J, Laga H. Image-Based Phenotyping Study of Wheat Growth and Grain Yield Dependence on Environmental Conditions and Nitrogen Usage in a Multi-Year Field Trial. Sustainability. 2024; 16(9):3728. https://doi.org/10.3390/su16093728
Chicago/Turabian StyleMiklavcic, Stanley J., Joshua Chopin, and Hamid Laga. 2024. "Image-Based Phenotyping Study of Wheat Growth and Grain Yield Dependence on Environmental Conditions and Nitrogen Usage in a Multi-Year Field Trial" Sustainability 16, no. 9: 3728. https://doi.org/10.3390/su16093728
APA StyleMiklavcic, S. J., Chopin, J., & Laga, H. (2024). Image-Based Phenotyping Study of Wheat Growth and Grain Yield Dependence on Environmental Conditions and Nitrogen Usage in a Multi-Year Field Trial. Sustainability, 16(9), 3728. https://doi.org/10.3390/su16093728

