Next Article in Journal
Problems of the US Recycling Programs: What Experienced Recycling Program Managers Tell
Previous Article in Journal
Understanding Tourists’ Social Networking Site (SNS) Intention with Regards to World Heritage Sites: The Role of Motivation and Overall Image
 
 
Font Type:
Arial Georgia Verdana
Font Size:
Aa Aa Aa
Line Spacing:
Column Width:
Background:
Article

How Employee Career Sustainability Affects Innovative Work Behavior under Digitalization

International College, Dhurakij Pundit University, Bangkok 10210, Thailand
*
Author to whom correspondence should be addressed.
Sustainability 2024, 16(9), 3541; https://doi.org/10.3390/su16093541
Submission received: 23 February 2024 / Revised: 16 April 2024 / Accepted: 22 April 2024 / Published: 24 April 2024
(This article belongs to the Section Sustainable Management)

Abstract

The increasing adoption of cutting-edge technologies, such as cloud computing and machine learning by robots that replace human workers, has posed serious challenges to employees’ career sustainability (CS), affecting their innovative work behavior (IWB). As the digitalization of the workplace continues to progress as normal, further investigations into the relationship between CS and IWB are urgently required. In response, we investigate the relationships among CS, IWB, human capital (HC), and user resistance (UR). Using data collected from 537 employees in Chinese high-tech enterprises, structural equation and regression analyses were performed. Our results reveal that (1) three dimensions of CS (career renewability, career flexibility, and career integrity) are positively related to IWB, while the fourth dimension of CS (career resourcefulness) exerts inverted U-shaped influences on IWB, and (2) there is a significant dual moderating effect between UR and HC on the four dimensions of CS and IWB, with the former demonstrating a negative effect and the latter showing a positive effect. These findings offer valuable insights for global managers and policymakers to more appropriately implement HR practices in this highly competitive international market. Adopting a conservation of resources theory (COR) framework and the Job Demands–Resources model (JD-R), we theoretically elucidate how different dimensions of CS serve as personal resources for IWB in the digitalized context, thereby enriching the literature on innovative behavior and career development.

1. Introduction

In the new normal, the accelerating digital transformation continues to reconfigure the world’s labor markets and shape the demand for jobs, leading to unprecedented career challenges for employees [1]. According to the World Economic Forum (2023) [2], a structural labor market change affecting 23% of jobs will occur in the next five years due to task automation. Moreover, it is also estimated that over 60% of workers will require new training before 2027. The increasing adoption of frontier technology, such as cloud computing and machine learning by robots that replace human workers, has caused new concerns about the link between career sustainability (CS) and innovative work behavior (IWB) among such workers in today’s changing landscape [3].
The emergent construct of CS plays a critical role in contemporary career studies. Van der Heijden and De Vos (2015) [4] defined CS as “sequences of career experiences reflected through a variety of patterns of continuity over time, thereby crossing several social spaces, characterized by individual agency, herewith providing meaning to the individual”. More simply put, perceived CS is associated with feelings of stable employability and meaningful work [5,6].
IWB can be defined as the proactive and creative actions that employees undertake within an organization to rearrange information and existing knowledge in different ways to create new products and processes, with the ultimate goal of enhancing overall effectiveness [7]. Following this, IWB is crucial for the competitiveness of organizations. Therefore, the factors that can promote IWB must be investigated, particularly in today’s knowledge-intensive economy.
While the existing literature agrees that CS is closely related to IWB, opinions differ on how CS influences IWB at present. Some scholars have noted that even though technological advancements may pose a threat to employees, those who value sustainable careers may still be motivated to proactively engage in IWB. For instance, Oppi et al. (2020) [8] stress that employees use IWB as a problem-focused strategy to cope with intensified task requirements when confronting career challenges. Zirar (2023) [9] suggests that when perceiving more threats or fewer opportunities for future career development, employees may participate in innovative vocational behaviors like job crafting. On the downside, other scholars argue that striving for career sustainability can sometimes hurt workers’ well-being, potentially stifling their passion for innovation. For example, McDonald and Hite (2018) [10] noted that work stress can cause burnouts and health problems, which can reduce the employees’ motivation for innovation when there are risks and uncertainties. Narzary et al. (2021) [11] provide empirical evidence that high job demands and work insecurity may deplete workers’ personal resources and discourage innovation engagement.
According to the literature review above, the rapid progress of digital technology and Artificial Intelligence capabilities has brought about an unprecedented shift in career development for employees at all levels, leading to the workers’ perceived CS positively and/or negatively impacting their IWB [12]. Notwithstanding its significance, research on the interplay between CS and IWB among individuals is still undeveloped. Moreover, as the digitalization and intelligentization of the workplace continue to evolve, this topic is in urgent need of further exploration [13,14].
In light of these concerns, the purpose of this paper is to deepen the understanding of how employees’ perceived CS influences IWB from a resource perspective. Drawing on the COR theory, perceived CS can be described as a personal psychological resource for innovation [15,16]. Thus, we adopted the COR theory as our research framework in this study, as it is effective in deciphering the intricate relationships between personal perception and innovative behavior [17]. More specifically, we investigate the impact of four dimensions of CS—career renewability (CN), career flexibility (CF), career integrity (CI), and career resourcefulness (CRS)—on IWB. Further, building on the JD-R model, this study also aimed to examine the dual moderating effect of both user resistance (deemed as job demand) and organizational human capital (deemed as job resource) on the relationship between CS and IWB under digitalization.
We contribute to the literature in a twofold manner as follows: (1) Our findings revealed that each dimension of CS significantly influences IWB, which expands the currently limited research on the outcome of CS in an uncertain context. (2) We provide valuable empirical evidence about the interplay between CS and IWB and the moderating role of both UR and HC in this relationship. This contributes to a deeper understanding of how contextual factors influence IWB within complex digitalized environments. Additionally, it enhances interdisciplinary research by integrating perspectives from career theory and knowledge management.

2. Theoretical Foundation and Hypothesis Development

2.1. COR Theory

The conservation of resources theory is a stress-based theory that emphasizes the importance of acquiring, retaining, and protecting resources [18]. Resources can be categorized into four types: object, condition, personal, and energy [19]. Halbesleben et al. (2014) attempted to clarify the nature of resources by defining them as “things that individuals perceive to help them achieve their goals”. This definition emphasizes an individual’s subjective perception and assessment of whether a particular thing contributes to their goals, regardless of whether it helps to achieve them [15].
Alongside the above-mentioned definition, Chin et al. (2021) noted that the perceived CS, which is typically considered a personal resource, may lead individuals to innovate in stressful situations [16]. To put it differently, CN and CF represent an individual’s belief in their ability to succeed and adapt in their career, while CI and CRS refer to the sense of support and resources from their organization and society, demonstrating one’s positive outlook and hope for future career opportunities in an external environment. Based on the primacy of loss principle, when employees perceive a low level of CS, they may choose low-risk tasks to maintain and protect their existing resources, thus reducing the willingness to engage in innovative activities; in contrast, when the perceived CS level gradually increases, employees may invest the remaining resources in innovative activities to obtain new resources [17]. Reshaped by intensifying digitization and market uncertainties, at present, work is becoming more complex and stressful. Given that the COR theory largely explains the mechanism of one’s responses when individuals suffer from pressure in the working context, it is closely aligned with our theoretical lens of the “personal perception-behavior response”. Overall, the COR theory provides an integrative framework for this study to explore the complex mechanisms between CS and IWB.

2.2. JD-R Model

The Job Demands–Resources theory has gained significant recognition as a framework in the domains of organizational and human resource management [20]. This theory proposes that job characteristics can be classified into two categories: job demands and job resources [21]. The job demands are “those physical, psychological, social, or organizational aspects of the job that require sustained physical and/or psychological effort and are therefore associated with certain physiological and/or psychological costs”; however, job resources refer to “those physical, psychological, social, or organizational aspects of the job that are functional in achieving work goals, reduce job demands and the associated physiological and psychological costs, or stimulate personal growth, learning, and development”. The JD-R theory suggests that job features affect the work outcome in a dual manner, resulting in a stress path, which refers to high job demands and insufficient resources, leading to negative outcomes (e.g., poor performance and impeded workability) via a burnout, or a motivational path, which refers to abundant job resources that trigger a state of work engagement, leading to positive outcomes (e.g., the intention to stay and additional role adoption) [20,22].
The prior studies suggest that UR plays a significant role in organizational digital transformation, leading to disruptions in the workflow as employees use traditional methods or workaround solutions [23,24]. These disruptions may result in inefficiencies, errors, and delays in completing tasks, potentially causing frustration and stress among employees. Therefore, we consider UR as a job demand in the digitalized work context. As a core knowledge resource, HC encompasses the knowledge, skills, and abilities of employees, enabling individuals to quickly learn and adapt to emerging technologies and leverage digital technologies to develop new products, services, and processes [25]. Therefore, we chose HC as a job resource in our research setting. Based on the dual process proposed by the JD-R model, this study explores the relationship between CS and IWB by introducing UR and corporate HC as moderators.

2.3. Career Renewability and Innovative Work Behavior

Career renewability refers to the degree to which a career can provide employees with possibilities to reassess, update skills, and reshape themselves to maintain sustainable development [26]. Innovative work behavior (IWB) refers to the complex discontinuous process of work, in which employees generate new ideas and put them into enterprise production practices to improve individual and corporate performances. Some researchers have pointed out that CN can facilitate the process of innovative behaviors in employees [13]. Pratoom and Savatsomboon (2012) point out that employees can obtain the knowledge resources needed for innovation through continuous learning and training [24]. Abstein and Spieth (2014) surveyed employees in 20 German companies, proving that the repositioning of careers helps to maintain a life–work balance so that employees are more engaged in innovative behavior [27]. AlEssa and Durugbo (2021) note that individual reflection can promote critical thinking, thus making it easier to identify problems in the work and generate new ideas [28].
As per the COR theory, resources are defined as positive attributes that individuals possess and can utilize to cope with stressors and challenges in their personal and professional lives [18]. Considering this, CN is acknowledged as a crucial psychological resource that can motivate individuals to engage in behaviors aimed at improving their work performance. More precisely, CN represents an individual’s ability and capacity to navigate their career development, explore new opportunities, and make informed decisions about their professional growth. This resource can be a significant source of motivation for individuals to engage in IWB and achieve their career aspirations. In other words, if the level of CN constantly increases, employees will have more opportunities to update their knowledge and adjust their working methods to reduce job insecurity and to be more motivated to devote themselves to innovative behavior. Thus, we suggest the following hypothesis:
Hypothesis 1a (H1a).
Career renewability is positively related to innovative work behavior.

2.4. Career Flexibility and Innovative Work Behavior

CF indicates that careers enable employees to maintain a flexible and adaptable attitude to continuously learn new tasks, explore new opportunities, and remain open-minded [26]. Employee career flexibility emphasizes diverse and variable career forms, reflecting employee autonomy in career development. Previous research implies that the more autonomy employees have over their job composition, the more likely they are to engage in IWB. Bysted and Jespersen (2014) noted that autonomy at work was significantly positively correlated with employees’ innovation behavior, according to their survey, with data from Denmark, Sweden, and Norway [29]. Zhang et al. (2019) also point out that career adaptability is an important psychological resource that can promote employee participation in IWB [30].
Drawn from the COR theory, CF plays a key role as a positive personal resource to enhance employees’ confidence in future career development and alleviate the anxiety caused by environmental uncertainty [19]. Technology is constantly evolving, requiring employees to frequently update their skills through continuous learning to adapt to dynamic work requirements. CF is essential in helping individuals adapt to changing career landscapes and evolving working modes in an agile learning space that facilitates efficient knowledge and skill renewal in response to advancements in technology. Thus, employees who perceive a higher level of CF are more resilient and autonomous, and as a result, they tend to have a more positive outlook towards their career prospects and are more motivated to come up with innovative solutions to problems. We therefore hypothesize the following:
Hypothesis 1b (H1b).
Career flexibility is positively related to innovative work behavior.

2.5. Career Integrity and Innovative Work Behavior

CI pertains to employees’ ability to effectively evaluate, integrate, and assimilate diverse information and knowledge obtained during their employment, which can aid in the progression of their career [26]. In other words, the perceived CI is a valuable resource for employees, as it signals an organization’s ability to integrate fragmented information and transform it into new knowledge resources. Vera and Crossan (2005) note that facilitating open information sharing among employees can foster a culture of mutual learning and cooperation, ultimately resulting in improved innovation outcomes [31]. Zhang and Begley (2011) also indicate that the act of sharing knowledge within an organization can foster a sense of trust among employees and result in improved innovation and overall organizational performance [32].
The act of innovation is a dynamic and ongoing process that necessitates the backing of stakeholders and the entire organization for brainstorming, advocating, and executing ideas [33]. The COR theory suggests that recognizing, combining, and communicating essential information across various levels and individuals can expedite the innovation process for employees and lead to more innovative outcomes [17]. With enhanced career integration, employees can effectively identify the correlation between information within the organization, integrate cross-boundary knowledge and resources, and create knowledge using diverse methods. This, in turn, enables them to exhibit more innovative behaviors. Thus, we formulated the following hypothesis:
Hypothesis 1c (H1c).
Career integrity is positively related to innovative work behavior.

2.6. Career Resourcefulness and Innovative Work Behavior

CRS suggests that a career can provide employees with the necessary resources and support within the organization and the broader social environment to maintain long-term employment [16,34].
IWB is defined as the process individuals use to create value for themselves and their organization by utilizing resources [35]. The relationship between external resources and innovation behavior at the environmental level is analyzed in the literature. According to Bammens (2016), social support plays a crucial role in promoting innovative behavior [36], while Malik et al. (2021) demonstrate that the excessive workload and job insecurity caused by the digital technology environment can inhibit IWB [13].
In modern workplaces, environmental factors such as technology and economic changes significantly affect individuals’ performance, which is in line with the principle of resource caravan passageways. When the level of perceived CRS is elevated, employees tend to exhibit a more positive outlook toward their career prospects and are often more inclined to leverage the available resources towards fostering innovation; however, once a career resource accumulates to a certain level, such as a stable income or lifetime employment, work-related stress can be reduced. As a result, employees often take conservative measures to maintain resources, while reducing innovative actions. Thus, we hypothesize the following curvilinear relationship:
Hypothesis 1d (H1d).
Career resourcefulness has an inverse U-shaped relationship with innovative work behavior.

2.7. The Dual Moderating Effect of Human Capital and User Resistance

User resistance refers to the opposition of users towards the implementation of a new enterprise information system [37]. The implementation of information systems exemplifies organizational changes in digitalized work contexts. When organizations implement the information system, it causes a range of technical and social changes that can cause employees to resist. For instance, employees may have to spend extra time learning new systems, which can be a daunting task. Additionally, they may feel uncertain about new tasks, which can be challenging to overcome. According to the existing literature, UR has been associated with certain negative outcomes in employee health, including job burnouts and negative emotions [38]. Therefore, UR is considered as a new job demand generated by enterprise digital transformation. Based on the stress posed by the JD-R theory, employees with a high level of UR may negatively respond to changes. This negative emotion may consume an individual’s psychological resilience, thus inhibiting the promotion of perceived CS on IWB.
Human capital encompasses the skills, knowledge, experiences, and capabilities of employees, which collectively contribute to the growth and success of an organization [27]. Further, it is worth acknowledging that there seems to be a general agreement among scholars that human capital can be defined as the overall knowledge that organizations need to leverage to promote IWB. For instance, Bontis and Serenko (2007) point out that human capital can positively regulate the relationship between career competence and individual creativity [39]. It is evident that the level of HC has a positive impact on the employees’ ability to achieve their work objectives, making it an important job resource.
Increasing job resources is crucial for employee engagement and energy preservation, as per the JD-R motivational process [40]. In other words, the employees of enterprises with higher HC levels demonstrate greater efficiency in learning and motivation to pursue new resources through innovation. Therefore, the human capital level of enterprises can further enhance the role of CS in promoting innovative behavior. Thus, we formulate the following hypotheses:
Hypothesis 2a (H2a).
Human capital positively moderates the relationship between career renewability and innovative work behavior, while user resistance negatively moderates the impact of career renewability on innovative work behavior.
Hypothesis 2b (H2b).
Human capital positively moderates the relationship between career flexibility and innovative work behavior, while user resistance negatively moderates the impact of career flexibility on innovative work behavior.
Hypothesis 2c (H2c).
Human capital positively moderates the relationship between career integrity and innovative work behavior, while user resistance negatively moderates the impact of career integrity on innovative work behavior.
Hypothesis 2d (H2d).
Human capital positively moderates the inverse U-shaped relationship between career resourcefulness and innovative work behavior, while user resistance negatively moderates the impact of career resourcefulness on innovative work behavior.
The research framework is shown in Figure 1.

3. Research Materials and Methods

3.1. Sample and Procedure

We obtained data from employees of Chinese high-tech manufacturing enterprises specializing in electronic and communication equipment, computers, and other office equipment. In addition, considering that the current scenario requires a certain knowledge foundation and professional skills, this study limited job positions to employees in technology and R&D departments. Dillman et al. (2014) note that using a combination of online and offline data collection methods can remove the biases inherent in any single method and improve the representativeness of the sample [41]. Therefore, this study conducted both online and offline surveys. For the online survey, we employed WJX, a Chinese online platform specializing in providing online survey and questionnaire design services, and utilized all the social networks to distribute our online questionnaires via WeChat. The offline survey primarily relied on on-site visits to industrial parks with the help of HR directors and managers working in these high-tech manufacturing enterprises.
To minimize the risk of self-reporting and reduce the likelihood of methodological bias [42], we employed a two-wave time-lag survey method. Data collection was conducted at two time points from September 2023 to November 2023. At Time 1, the researchers mainly collected the data of independent variables and the other control variables. At Time 2 (4 weeks later), the researchers collected data on the dependent variable and moderators.
After the completion of the survey at Time 1, we received a total of 636 questionnaires, including 243 paper questionnaires and 393 online questionnaires; after the survey at Time 2, we collected a total of 607 questionnaires, including 236 paper questionnaires and 371 online questionnaires. We also matched the questionnaires one by one and deleted the invalid questionnaires, resulting in 537 valid questionnaires, with an effective rate of 88.46%.

3.2. Measures

In this study, we used four dimensions of CS (CN, CF, CI, and CRS) as independent variables, IWB as the dependent variable, and UR and HC as the moderators. We utilized validated instruments to measure the significant variables and implemented a back-translation procedure to ensure that the Chinese respondents fully understood the original English questions. The participants were asked to utilize a six-point Likert-type scale for their responses, ranging from 1 = “strongly disagree” to 6 = “strongly agree”. The scale’s construct reliability was reported to be higher than 0.8 for all of the constructs. The variables’ measurement is detailed below. Further information regarding the details of the scales can be found in Appendix A.

3.2.1. The Independent Variables

The independent variables were measured with the scale developed by Chin et al., (2021) comprising a total of 12 items. CN, CF, CI, and CRS were measured using 3 items each. The sample items for CN were “My career provides me opportunities to update my skills” and “My career gives me the chance to reassess my capabilities”; the sample items for CF were “My career gives me a lot of flexibility” and “My career allows me to seek new opportunities”; the sample items for CI were “My career builds my ability to absorb information and knowledge “and “My career enables me to integrate information obtained from different sources”; and the sample items for CRS were “My career makes me feel like I have a bright future” and “My career enables me to have a good standard of living”.

3.2.2. The Dependent Variable

We adopted the scale developed by Janssen (2000) to measure IWB, including 3 dimensions [35]: (1) idea generation, (2) idea promotion, and (3) idea realization. This scale comprises 9 items, with each construct measured using 3 items. The sample items included the following: “I will create new ideas for difficult issues in the workplace”, “I will mobilize support for innovative ideas in the work”, and “I will introduce innovative ideas into the work environment in a systematic way”.

3.2.3. The Moderators

The scale developed by Kim et al. (2009), including 4 items, was adopted to measure UR [37]. The sample items include “I will not comply with the change to the new requirement of working with the information systems”, “I will not cooperate with the change to the new arrangement of working with the information systems”, and “I oppose the change to the new way of working with the information systems”.
We employed the scale developed by Youndt et al. (2005), including 5 items, to measure HC [25]. The sample items include “I am the expert in the particular jobs and functions”, “I will develop new ideas and knowledge”, and “I am creative and bright in my professional field”.

3.2.4. The Control Variables

Previous research has suggested that age, gender, education, and firm size may correlate with our main constructs [4]; thus, we adopted these as control variables.

4. Analysis of Data and Results

4.1. Measurement Model Assessment

We utilized SPSS 27 to analyze the demographic data and examine the correlations between all of the variables. Confirmatory factor analysis (CFA) was conducted using Amos 24.0 to assess the construct validity of the measurements. Harman’s single-component test was also used to evaluate whether common method variance was a significant issue.

4.1.1. Reliability and Validity

In total, 636 participants responded at Time 1, while 607 participants responded at Time 2. The final analysis was based on the data from the 537 participants who responded during both the periods. The values of Cronbach’s α of all the measures were above 0.8, indicating acceptable reliability. The values of construct reliability (CR) and average variance extracted (AVE) were above the acceptable values of 0.7 and 0.5, respectively (see Table 1).
Discriminant validity was assessed by using confirmatory factor analyses (CFA). As given in Table 2, the assumed full model displayed the best fit to our data, confirming nomological validity (χ2 = 1022.845, df = 384, χ2/df = 2.664, p < 0.001, CFI = 0.947, TLI = 0.940, RMSEA = 0.056, SRMR = 0.0358). According to Podsakoff et al. [43], the goodness-of-fit indexes mentioned above and the values of the inter-construct correlations (see Table 3) were within the acceptable limits; thus, the convergent and discriminant validity of the scales were verified.

4.1.2. Common Method Variance

The potential occurrence of common method variance can be attributed to the measurement method rather than the underlying construct being constructed, which may introduce measurement errors. To address this issue, this study employed two strategies. Firstly, regarding the questionnaire, using a paginated scale and providing participants with sufficient time to respond to each page was aimed at mitigating the effect of common method variance caused by the same continuity scale. Secondly, Harman’s single-factor test was conducted to evaluate the existence of variance in common method variance. The results of exploratory factor analysis indicated that the first factor only accounts for 32.436% of the variance, which was below the threshold of 50%. Therefore, no significant common method variance was found.

4.2. SEM Analysis

We opted to employ Amos 24.0 to conduct an evaluation test on the hypothesis models with the maximum likelihood estimate (MLE). The findings from the conducted analysis are presented in Table 4. It can be observed that the fitting values of all the considered indexes met the standard requirements, demonstrating a high degree of accuracy for the developed SEM model.

4.3. Empirical Results

4.3.1. Path Analysis

In testing the research hypotheses of main effect, structured equation modeling (SEM) using Amos 24.0 was utilized. As a result of path analysis (Table 5), CN directly and positively affected IWB (β = 0.161, p < 0.01); CF was positively related to IWB (β = 0.216, p < 0.001); and CI had a direct positive impact on IWB (β = 0.217, p < 0.001), thus supporting hypotheses H1a, H1b, and H1c. Next, hypothesis H1d, which suggested that CRS has an inverse U-shaped relationship with IWB, was further tested using hierarchical regression. The results shown in MODEL 3 of Table 6 reveal significant and positive coefficients (β = 0.418, p < 0.001) for the main effect of CRS and significant and negative coefficients (β = −0.269, p < 0.001) for the quadratic terms of CRS, supporting H1d.

4.3.2. Moderating Effect Assessment

To test Hypotheses 2a–d, we conducted moderated hierarchical regression analyses, which are frequently used for verifying the significance of interaction effects by estimating the relationships among the independent, dependent, and moderating variables [41]. To avoid multicollinearity, we mean-centered all the main variables before regression. Subsequently, we sequentially added the independent variable and interaction terms to the regression (see Table 6, Table 7, Table 8 and Table 9).
As shown in MODEL 4 of Table 6, HC positively moderates the CN-IWB positive relationship (β = 0.162 and p < 0.001), while UR negatively moderates the CN-IWB positive relationship (β = −0.115 and p < 0.001), supporting H2a. According to MODEL 4 of Table 7, HC positively moderates the CF-IWB positive relationship (β = 0.176 and p < 0.001), while UR negatively moderates the CF-IWB positive relationship (β = −0.144 and p < 0.001), supporting H2b. As demonstrated in MODEL 4 of Table 8, HC positively moderates the CI-IWB positive relationship (β = 0.143 and p < 0.001), while UR negatively moderates the CI-IWB positive relationship (β = −0.099 and p < 0.001), supporting H2c. In Table 9, we added the square term of CRS in MODELS 5–6 to examine the dual moderating effects on the inverted-U relationship of CRS-IWB [42]. According to MODEL 6 of Table 9, HC positively moderates the CRS-IWB inverted U-shape relationship (β = −0.143 and p < 0.001), while UR negatively moderates the CRS-IWB inverted U-shape relationship (β = 0.131 and p < 0.001), supporting H2d.
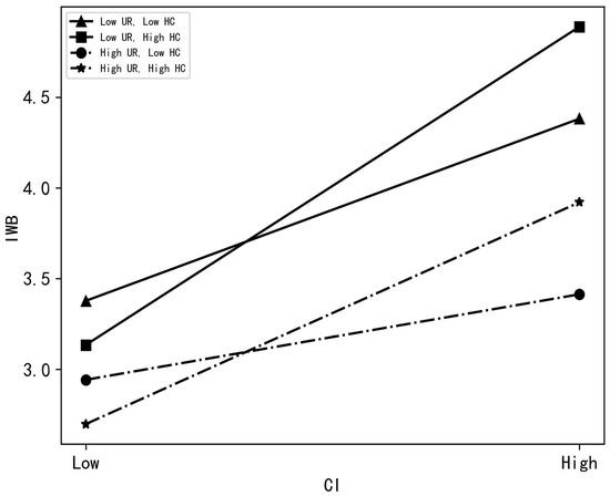
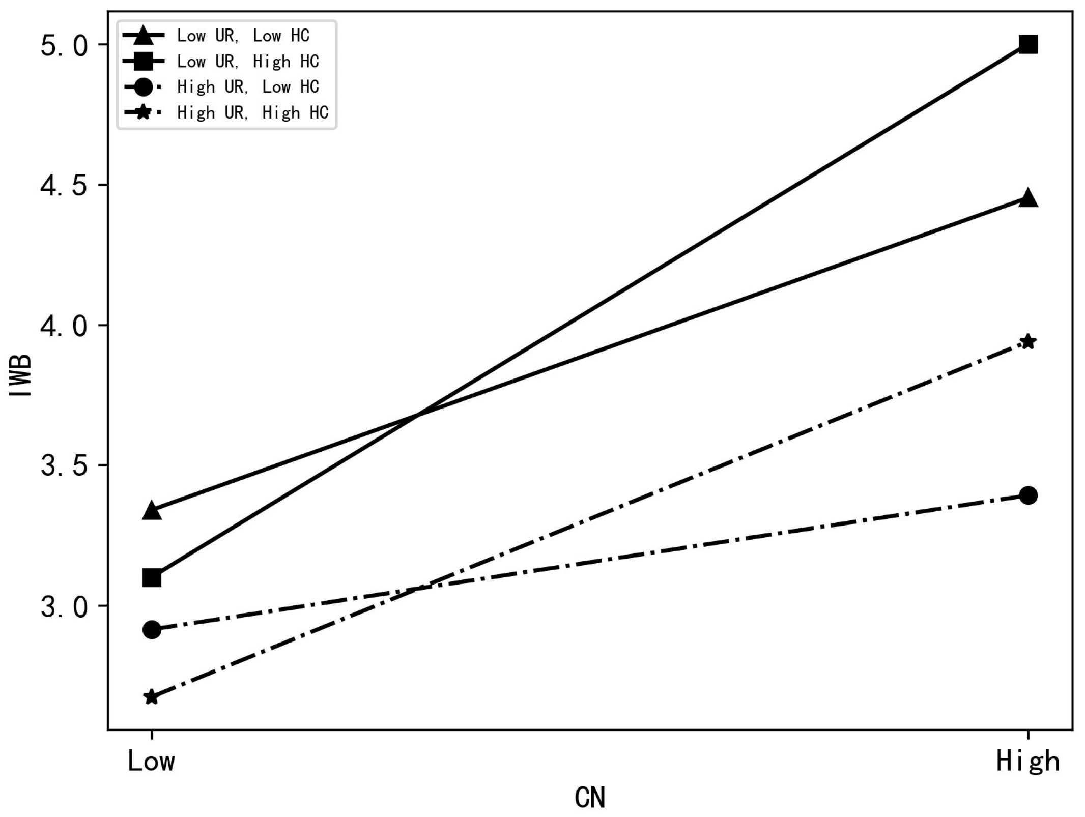
Then, we plotted the moderating effects of HC and UR, as presented in Figure 2, Figure 3, Figure 4 and Figure 5, which further indicates that CN-IWB, CF-IWB, and CI-IWB have the strongest positive relationship when HC is high and UR is low. In addition, CRS-IWB has the strongest inverted U-shape relationship when HC is high and UR is low. These plots further confirm Hypotheses 2a–2d.

5. Discussion

The empirical results provided support for all eight proposed hypotheses. More specifically, using data from high-tech enterprises in China, our study reveals that four CS dimensions (i.e., CN, CF, CI, and CRS) indeed exert different influences on IWB. As expected, we identified the significance of the positive correlations between CN-IWB, CF-IWB, and CI-IWB. Drawing upon the existing literature, relevant studies posited that CS functions as a key psychological resource, stimulating individuals’ inclination towards innovation in response to the changes caused by digitalization [10,43]. These results thereby demonstrated the positive impact of CS on the IWB, which is in line with previous findings [44]. In contrast, an inverted U-shaped association between CRS and IWB was identified. Previous research posited that the perceived CRS represents the level of job security and stability [45]. Thus, when employees perceive a higher level of CRS, they tend to view their career prospects more positively and are inclined to utilize the available resources to drive innovation. However, as the accumulation of career resources reaches a certain threshold, employees may experience a reduction in work-related stress. Consequently, this reduction in stress may lead employees to adopt more conservative approaches, focusing on resource maintenance rather than pursuing innovative actions. Unlike previous research, which mainly documented direct and linear relationships [46,47], we tested for and found curvilinear effects. This finding advances our theoretical understanding of how the different dimensions of CS impact IWB. In terms of the moderating effects, HC and UR both significantly moderated the above-mentioned CS–IWB associations, with the former demonstrating a positive effect and the latter showing a negative effect. Consistent with McDonald et al. (2018) [10], this finding highlights the significant effect of contextual factors on the CS–IWB relationship.

5.1. Theoretical Contribution

Firstly, based on COR theory, and by constructing a systematic framework in different dimensions, this study takes the perspective of multidimensional interaction between the individuals, the organizations, and the environment and delves into the after-effect mechanisms of CS, thereby enriching and expanding relevant research in the field of CS. Secondly, this study provides valuable empirical evidence regarding the interplay between CS and IWB, as well as the moderating roles of both UR and HC in this relationship. Additionally, scholars have called for more empirical studies on the effects of individual dimensions of CS on career-related outcomes. Our study addresses this need. Thirdly, based on the dual path of the JD-R model, this study takes UR as a job demand and HC as a job resource to explore their moderating effects on the CS–IWB mechanism. This helps to further clarify the mechanism by which employees’ perceived resources affect employees’ IWB in complex ecosystems under digitalization and enriches relevant research from the interdisciplinary perspective of career theory and knowledge management.

5.2. Implications for Practice

Our study provides two valuable insights and practical implications for managers and practitioners. Firstly, confirming the significant correlation between CS and IWB helps inspire managers to promote employee innovation by adjusting human resource allocation mechanisms. In other words, managers can regard CS as a pivotal factor in human resource practices. By maintaining the employees’ perception of CS at an appropriate level, they can effectively stimulate the generation of IWB among employees. Additionally, policymakers should prioritize the promotion of career development programs (e.g., skills training, career counseling, and mentorship opportunities) aimed at enhancing CN, CF, and CI. Conversely, we recommend that policymakers meticulously evaluate and determine the most suitable levels of CRS to optimize its positive impact on IWB. Furthermore, they should encourage individuals to strike a balance between utilizing the existing resources and exploring new avenues for growth and innovation.
Secondly, our findings indicate that the strongest positive relationships between CN-IWB, CF-IWB, and CI-IWB occur when HC is high and UR is low. This highlights the importance for organizations to prioritize strengthening the positive effect of human capital on innovative work behavior while mitigating the negative impact of user resistance. In other words, managers should develop targeted management strategies for organizational knowledge resources. For instance, they can focus on initiatives, such as talent acquisition and establishing knowledge-sharing platforms, to strengthen the connection between CS and IWB. Moreover, practitioners can reduce UR by collecting feedback from employees, tracking performance metrics, and evaluating the impact of interventions.

6. Conclusions

This research highlights the considerable influence of four sub-dimensions of career sustainability on employees’ innovative behaviors within knowledge-intensive corporations. Specifically, it addresses a gap in the existing literature by examining the outcomes of career sustainability, particularly in the context of digitalization, an area that has received limited attention thus far [3,45]. In particular, this study indicates that a sub-dimension (CRS) exhibits an inverted U-shaped association with IWB, which echoes the results of some other studies on the optimal point of CS and partly explains the findings of those indicating positive or negative relationships. Additionally, by considering human capital and user resistance as moderators, this study emphasizes the significance of contextual factors in the development of IWB, as highlighted in previous research.

7. Limitations and Future Research

While this study yielded some noteworthy findings, there are limitations and areas for future research. Firstly, the sample of this study only involved Chinese workers in high-tech enterprises, which may affect the generalizability of its findings. Future studies should collect data from employees across different industries or countries. Secondly, this research did not explore the roles of two additional sub-dimensions of intellectual capital (e.g., social capital and organizational capital) in influencing the relationship between CS and IWB. The existing studies suggest that different dimensions of IC have unique attributes and may thus have varied impacts on the association between CS and IWB [48,49]. Therefore, future studies could examine other sub-dimensions of intellectual capital as variables.

Author Contributions

W.Z. wrote the majority of the manuscript and collected and analyzed the data; T.C. provided guidance throughout the entire process and offered final modification suggestions. All authors have read and agreed to the published version of the manuscript.

Funding

This research received no external funding.

Institutional Review Board Statement

Not applicable.

Informed Consent Statement

Informed consent was obtained from all subjects involved in the study.

Data Availability Statement

The data that support the findings of this study are available from the corresponding author.

Acknowledgments

We thank the editor and reviewers for their valuable comments and suggestions.

Conflicts of Interest

The authors declare no conflicts of interest.

Appendix A

Table A1. Measurement items of key constructs.
Table A1. Measurement items of key constructs.
ConstructsMeasurement Items
CNMy career provides me with opportunities to update my skills.
My career gives me the chance to reassess my capabilities.
My career enables me to rebrand or reposition myself.
CFMy career allows me to seek new opportunities.
My career allows me to continuously learn new things.
My career gives me a lot of flexibility.
CIMy career enables me to integrate information obtained from different sources.
My career builds my ability to absorb information and knowledge.
My career enables me to critically evaluate information obtained from different sources.
CRSMy career enables me to have a good standard of living.
My career makes me feel happy because I use my resources well.
My career makes me feel like I have a bright future.
HCI am highly skilled.
Employees in our company are widely considered the best in our industry.
I am creative and bright in my professional field.
Employees in our company are experts in their particular jobs and functions.
I develop new ideas and knowledge in the workplace.
URI will not comply with the change to the new requirement of working with the information systems.
I will not cooperate with the change to the new arrangement of working with the information systems.
I oppose the change to the new way of working with the information systems.
I do not agree with the change to the new way of working with the information system.
IWBI will create new ideas for difficult issues in the workplace.
I will search for new working methods, techniques, or instruments.
I will generate original solutions for problems in the workplace.
I will mobilize support for innovative ideas in the workplace.
I will acquire approval for innovative ideas in the company.
I can make important organizational members enthusiastic for innovative ideas.
I can transform innovative ideas into useful applications.
I can introduce innovative ideas into the work environment in a systematic way.
I can evaluate the utility of innovative ideas in the workplace.

References

  1. Schweitzer, L.; Lyons, S.; Smith, C.J. Career Sustainability: Framing the Past to Adapt in the Present for a Sustainable Future. Sustainability 2023, 15, 11800. [Google Scholar] [CrossRef]
  2. The World Economic Forum. Available online: https://www.weforum.org/publications/the-future-of-jobs-report-2023/ (accessed on 30 April 2023).
  3. Baruch, Y.; Sullivan, S.E. The why, what and how of career research: A review and recommendations for future study. Career Dev. Int. 2022, 27, 135–159. [Google Scholar] [CrossRef]
  4. Van der Heijden, B.I.; De Vos, A. Sustainable Careers: Introductory Chapter. In Handbook of Research on Sustainable Careers; Edward Elgar Publishing: Cheltenham, UK, 2015; pp. 1–19. [Google Scholar]
  5. Van der Heijden, B.; De Vos, A.; Akkermans, J.; Spurk, D.; Semeijn, J.; Van der Velde, M.; Fugate, M. Sustainable careers across the lifespan: Moving the field forward. J. Vocat. Behav. 2020, 117, 103344. [Google Scholar] [CrossRef]
  6. Chin, T.; Zhang, W.; Jawahar, I.M. Intellectual capital and employee innovative behavior in cross-border e-commerce enterprises: The moderating role of career sustainability. J. Intellect. Cap. 2023, 24, 1532–1549. [Google Scholar] [CrossRef]
  7. Saether, E.A. Motivational antecedents to high-tech R&D employees’ innovative work behavior: Self-determined motivation, person-organization fit, organization support of creativity, and pay justice. J. High Technol. Manag. Res. 2019, 30, 100350. [Google Scholar]
  8. Oppi, C.; Bagheri, A.; Vagnoni, E. Antecedents of innovative work behaviour in healthcare: Does efficacy play a role? Int. J. Public Sect. Manag. 2020, 33, 45–61. [Google Scholar] [CrossRef]
  9. Zirar, A. Can artificial intelligence’s limitations drive innovative work behaviour? Rev. Manag. Sci. 2023, 17, 2005–2034. [Google Scholar] [CrossRef]
  10. McDonald, K.S.; Hite, L.M. Conceptualizing and creating sustainable careers. Hum. Resour. Dev. Rev. 2018, 17, 349–372. [Google Scholar] [CrossRef]
  11. Narzary, G.; Palo, S. Testing interaction effects of intellectual capital and burnout on innovative work behaviour of professional nurses. J. Intellect. Cap. 2023, 24, 337–358. [Google Scholar] [CrossRef]
  12. Barthauer, L.; Kaucher, P.; Spurk, D.; Kauffeld, S. Burnout and career (un) sustainability: Looking into the Blackbox of burnout triggered career turnover intentions. J. Vocat. Behav. 2020, 117, 103334. [Google Scholar] [CrossRef]
  13. Malik, N.; Tripathi, S.N.; Kar, A.K.; Gupta, S. Impact of artificial intelligence on employees working in industry 4.0 led organizations. Int. J. Manpow. 2021, 43, 334–354. [Google Scholar] [CrossRef]
  14. De Vos, A.; Van der Heijden, B.I.J.M.; Akkermans, J. Sustainable careers: Towards a conceptual model. J. Vocat. Behav. 2020, 117, 103196. [Google Scholar] [CrossRef]
  15. Halbesleben, J.R.; Neveu, J.P.; Paustian-Underdahl, S.C.; Westman, M. Getting to the “COR” understanding the role of resources in conservation of resources theory. J. Manag. 2014, 40, 1334–1364. [Google Scholar]
  16. Chin, T.; Jawahar, I.M.; Li, G. Development and validation of a career sustainability scale. J. Career Dev. 2022, 49, 769–787. [Google Scholar] [CrossRef]
  17. Hobfoll, S.E. Conservation of resources: A new attempt at conceptualizing stress. Am. Psychol. 1989, 44, 513. [Google Scholar] [CrossRef] [PubMed]
  18. Hobfoll, S.E. The influence of culture, community, and the nested-self in the stress process: Advancing conservation of resources theory. Appl. Psychol. 2001, 50, 337–421. [Google Scholar] [CrossRef]
  19. Hobfoll, S.E.; Halbesleben, J.; Neveu, J.P.; Westman, M. Conservation of resources in the organizational context: The reality of resources and their consequences. Annu. Rev. Organ. Psychol. Organ. Behav. 2018, 5, 103–128. [Google Scholar] [CrossRef]
  20. Schaufeli, W.B. Applying the Job Demands-Resources model: A ‘how to guide to measuring and tackling work engagement and burnout. Organ. Dyn. 2017, 46, 120–132. [Google Scholar] [CrossRef]
  21. Demerouti, E.; Bakker, A.B.; Nachreiner, F.; Schaufeli, W.B. The job demands-resources model of burnout. J. Appl. Psychol. 2001, 86, 499. [Google Scholar] [CrossRef]
  22. Bakker, A.B.; Demerouti, E. The job demands-resources model: State of the art. J. Manag. Psychol. 2007, 22, 309–328. [Google Scholar] [CrossRef]
  23. Kim, H.W. The effects of switching costs on user resistance to enterprise systems implementation. IEEE Trans. Eng. Manag. 2010, 58, 471–482. [Google Scholar] [CrossRef]
  24. Pratoom, K.; Savatsomboon, G. Explaining factors affecting individual innovation: The case of producer group members in Thailand. Asia Pac. J. Manag. 2012, 29, 1063–1087. [Google Scholar] [CrossRef]
  25. Youndt, M.A.; Subramaniam, M.; Snell, S.A. Intellectual capital profiles: An examination of investments and returns. J. Manag. Stud. 2004, 41, 335–361. [Google Scholar] [CrossRef]
  26. Newman, K.L. Sustainable Careers: Lifecycle Engagement in Work. Organ. Dyn. 2011, 40, 136–143. [Google Scholar] [CrossRef]
  27. Abstein, A.; Spieth, P. Exploring HRM meta-features that foster employees’ innovative work behaviour in times of increasing work-life conflict. Creat. Innov. Manag. 2014, 23, 211–225. [Google Scholar] [CrossRef]
  28. Alessa, H.S.; Durugbo, C.M. Systematic review of innovative work behavior concepts and contributions. Manag. Rev. Q. 2022, 72, 1171–1208. [Google Scholar] [CrossRef]
  29. Bysted, R.; Jespersen, K.R. Exploring managerial mechanisms that influence innovative work behaviour: Comparing private and public employees. Public Manag. Rev. 2014, 16, 217–241. [Google Scholar] [CrossRef]
  30. Zhang, W.; Guan, X.; Zhou, X.; Lu, J. The effect of career adaptability on career planning in reaction to automation technology. Career Dev. Int. 2019, 24, 545–559. [Google Scholar] [CrossRef]
  31. Vera, D.; Crossan, M. Improvisation and innovative performance in teams. Organ. Sci. 2005, 16, 203–224. [Google Scholar] [CrossRef]
  32. Zhang, Y.; Begley, T.M. Perceived organisational climate, knowledge transfer and innovation in China-based research and development companies. Int. J. Hum. Resour. Manag. 2011, 22, 34–56. [Google Scholar] [CrossRef]
  33. Scott, S.G.; Bruce, R.A. Determinants of innovative behavior: A path model of individual innovation in the workplace. Acad. Manag. J. 1994, 37, 580–607. [Google Scholar] [CrossRef]
  34. Donald, W.E.; Baruch, Y.; Ashleigh, M.J. Technological transformation and human resource development of early career talent: Insights from accounting, banking, and finance. Hum. Resour. Dev. Q. 2023, 34, 329–348. [Google Scholar] [CrossRef]
  35. Janssen, O. Job demands, perceptions of effort-reward fairness and innovative work behaviour. J. Occup. Organ. Psychol. 2000, 73, 287–302. [Google Scholar] [CrossRef]
  36. Bammens, Y.P.M. Employees’ innovative behavior in social context: A closer examination of the role of organizational care. J. Prod. Innov. Manag. 2016, 33, 244–259. [Google Scholar] [CrossRef]
  37. Kim, H.W.; Kankanhalli, A. Investigating user resistance to information systems implementation: A status quo bias perspective. MIS Q. 2009, 33, 567–582. [Google Scholar] [CrossRef]
  38. Shirish, A.; Batuekueno, L. Technology renewal, user resistance, user adoption: Status quo bias theory revisited. J. Organ. Change Manag. 2021, 34, 874–893. [Google Scholar] [CrossRef]
  39. Bontis, N.; Serenko, A. The moderating role of human capital management practices on employee capabilities. J. Knowl. Manag. 2007, 11, 31–51. [Google Scholar] [CrossRef]
  40. Bakker, A.B.; Demerouti, E. Job demands–resources theory: Taking stock and looking forward. J. Occup. Health Psychol. 2017, 22, 273. [Google Scholar] [CrossRef]
  41. Dillman, D.A.; Smyth, J.D.; Christian, L.M. Internet, Phone, Mail, and Mixed-Mode Surveys: The Tailored Design Method; John Wiley & Sons: New York, NY, USA, 2014. [Google Scholar]
  42. Fadnes, L.T.; Taube, A.; Tylleskär, T. How to identify information bias due to self-reporting in epidemiological research. Internet J. Epidemiol. 2009, 7, 28–38. [Google Scholar]
  43. Podsakoff, P.M.; MacKenzie, S.B.; Paine, J.B.; Bachrach, D.G. Organizational citizenship behaviors: A critical review of the theoretical and empirical literature and suggestions for future research. J. Manag. 2000, 26, 513–563. [Google Scholar] [CrossRef]
  44. Kong, H.; Yin, Z.; Baruch, Y.; Yuan, Y. The impact of trust in AI on career sustainability: The role of employee–AI collaboration and protean career orientation. J. Vocat. Behav. 2023, 146, 103928. [Google Scholar] [CrossRef]
  45. Liao, E.Y.; Lau, V.P.; Hui, R.T.Y.; Kong, K.H. A resource-based perspective on work–family conflict: Meta-analytical findings. Career Dev. Int. 2019, 24, 37–73. [Google Scholar] [CrossRef]
  46. Curşeu, P.L.; Semeijn, J.H.; Nikolova, I. Career challenges in smart cities: A sociotechnical systems view on sustainable careers. Hum. Relat. 2021, 74, 656–677. [Google Scholar] [CrossRef]
  47. Tordera, N.; Peiro, J.M.; Ayala, Y.; Villajos, E.; Truxillo, D. The lagged influence of organizations’ human resources practices on employees’ career sustainability: The moderating role of age. J. Vocat. Behav. 2020, 120, 103444. [Google Scholar] [CrossRef]
  48. Choudhary, S.; Memon, N.Z.; Mishra, K. Examining the influence of human capital on employees’ innovative work behaviour: A moderated serial mediation model. South Asian J. Hum. Resour. Manag. 2020, 7, 189–213. [Google Scholar] [CrossRef]
  49. Ali, M.A.; Hussin, N.; Haddad, H.; Al-Araj, R.; Abed, I.A. Intellectual capital and innovation performance: Systematic literature review. Risks 2021, 9, 170. [Google Scholar] [CrossRef]
Figure 1. The research framework.
Figure 1. The research framework.
Sustainability 16 03541 g001
Figure 2. The dual moderating effects of HC and UR on CN-IWB.
Figure 2. The dual moderating effects of HC and UR on CN-IWB.
Sustainability 16 03541 g002
Figure 3. The dual moderating effects of HC and UR on CF-IWB.
Figure 3. The dual moderating effects of HC and UR on CF-IWB.
Sustainability 16 03541 g003
Figure 4. The dual moderating effects of HC and UR on CI-IWB.
Figure 4. The dual moderating effects of HC and UR on CI-IWB.
Sustainability 16 03541 g004
Figure 5. The dual moderating effects of HC and UR on CRS-IWB.
Figure 5. The dual moderating effects of HC and UR on CRS-IWB.
Sustainability 16 03541 g005
Table 1. Factor loadings of perceptual scales.
Table 1. Factor loadings of perceptual scales.
ConstructsItem CodesFactor LoadingsAVECR
CNCN10.8080.686 0.867
CN20.866
CN30.809
CFCF10.8160.703 0.876
CF20.795
CF30.900
CICI10.7720.692 0.870
CI20.851
CI30.869
CRSCRS10.8940.824 0.933
CRS20.935
CRS30.893
HCHC10.8250.671 0.911
HC20.810
HC30.814
HC40.791
HC50.854
URUR10.8050.694 0.900
UR20.761
UR30.893
UR40.867
IWBIWB10.7830.676 0.949
IWB20.774
IWB30.854
IWB40.870
IWB50.797
IWB60.826
IWB70.841
IWB80.808
IWB90.839
Table 2. CFA results.
Table 2. CFA results.
ModelsX2DFX2/DfRMSEACFITLISRMR
full-model1022.8453842.6640.0560.9470.940.0358
6-Factor Model1571.0223904.0280.0750.9030.8910.046
5-Factor Model1894.5873954.7960.0840.8760.8640.0511
4-Factor Model3213.7693998.0550.1150.7680.7470.0875
3-Factor Model4108.6013954.7960.1310.6940.6690.1033
2-Factor Model5848.26240414.4760.1590.5510.5170.1497
1-Factor Model7090.18640517.5070.1750.4490.4080.1664
Table 3. Descriptive statistics and correlations.
Table 3. Descriptive statistics and correlations.
MeanS.D.IWBCNCFCICRSHCUR
IWB3.6241.352-
CN4.7111.0030.465 **0.828
CF4.9810.9450.470 **0.480 **0.838
CI4.3941.0310.466 **0.561 **0.498 **0.832
CRS3.6891.5920.467 **0.263 **0.209 **0.198 **0.908
HC3.2851.0030.0290.110 *0.0510.104 *−0.030.819
UR2.8811.192−0.300 **−0.006−0.072−0.078−0.0380.289 **0.833
Note: N = 537. ** p < 0.01, and * p < 0.05.
Table 4. Goodness-of-fit index summary of the SEM.
Table 4. Goodness-of-fit index summary of the SEM.
IndexFitting StandardFitting Value
X2/df≤5 (Reasonable); ≤3 (Good) 1.744
GFI≥0.80.949
AGFI≥0.80.934
NFI≥0.80.966
IFI≥0.90.985
CFI≥0.90.985
TLI≥0.90.982
RMSEA≤0.08 (Reasonable); ≤0.05 (Good)0.037
Table 5. Results of the SEM path analysis.
Table 5. Results of the SEM path analysis.
PathStandardized Path CoefficientS.E.C.R.p
IWB<---CN0.1610.0742.8560.004 **
IWB<---CF0.2160.0734.3460.000 ***
IWB<---CI0.2170.1013.8250.000 ***
IWB<---CRS0.3650.0339.1010.000 ***
Note: *** p < 0.001, ** p < 0.01.
Table 6. Results of regression analysis (CN-IWB).
Table 6. Results of regression analysis (CN-IWB).
VariablesMODEL 1MODEL 2MODEL 3MODEL 4
Gender−0.0540.0030.0110.012
Age0.122 **0.0730.085 *0.078 *
Education0.157 ***0.08 *0.0650.058
Size−0.050.0230.0330.035
CN 0.448 ***0.441 ***0.446 ***
DUS −0.319 ***−0.282 ***
HC 0.078 *0.051
CN*DUS −0.115 **
CN*HC 0.162 ***
R20.044 ***0.229 ***0.332 ***0.348 ***
Note: N = 537. *** p < 0.001, ** p < 0.01, and * p < 0.05.
Table 7. Results of regression analysis (CF-IWB).
Table 7. Results of regression analysis (CF-IWB).
VariablesMODEL 1MODEL 2MODEL 3MODEL 4
Gender−0.054−0.035−0.027−0.032
Age0.122 **0.095 *0.107 **0.111 **
Education0.157 ***0.108 **0.095 *0.085 *
Size−0.05−0.028−0.017−0.026
CF 0.448 ***0.424 ***0.434 ***
UR −0.293 ***−0.251 ***
HC 0.09 *0.05
CF*UR −0.144 ***
CF*HC 0.176 ***
R20.044 ***0.241 ***0.319 ***0.346 ***
Note: N = 537. *** p < 0.001, ** p < 0.01, and * p < 0.05.
Table 8. Results of regression analysis (CI-IWB).
Table 8. Results of regression analysis (CI-IWB).
VariablesMODEL 1MODEL 2MODEL 3MODEL 4
Gender−0.054−0.011−0.006−0.004
Age0.122 **0.0740.086 *0.08 *
Education0.157 ***0.070.060.048
Size−0.05−0.011−0.003−0.006
CI 0.443 ***0.415 ***0.426 ***
UR −0.287 ***−0.263 ***
HC 0.0690.043
CI*UR −0.099 **
CI*HC 0.143 ***
R20.044 ***0.227 ***0.301 ***0.323 ***
Note: N = 537. *** p < 0.001, ** p < 0.01, and * p < 0.05.
Table 9. Results of regression analysis (CRS-IWB).
Table 9. Results of regression analysis (CRS-IWB).
VariablesMODEL 1MODEL 2MODEL 3MODEL 4MODEL 5MODEL 6
Gender−0.054−0.056−0.054−0.044−0.046−0.049
Age−0.009−0.01300.0250.0280.027
Education0.140 **0.130 **0.106 **0.094 **0.095 **0.1 **
Size−0.065−0.075 *−0.058−0.043−0.045−0.035
CRS 0.475 ***0.418 ***0.415 ***0.418 ***0.412 ***
CRS2 −0.269 ***−0.24 ***−0.24 ***−0.243 ***
UR 0.101 **0.1 **0.206 ***
HC −0.283 ***−0.282 ***−0.376 ***
CRS*UR −0.0180.011
CRS*HC 0.017−0.007
CRS2*UR 0.131 *
CRS2*HC −0.143 *
R20.073 ***0.297 ***0.364 ***0.436 ***0.436 ***0.444 ***
Note: N = 537. *** p < 0.001, ** p < 0.01, and * p < 0.0.
Disclaimer/Publisher’s Note: The statements, opinions and data contained in all publications are solely those of the individual author(s) and contributor(s) and not of MDPI and/or the editor(s). MDPI and/or the editor(s) disclaim responsibility for any injury to people or property resulting from any ideas, methods, instructions or products referred to in the content.

Share and Cite

MDPI and ACS Style

Zhang, W.; Chin, T. How Employee Career Sustainability Affects Innovative Work Behavior under Digitalization. Sustainability 2024, 16, 3541. https://doi.org/10.3390/su16093541

AMA Style

Zhang W, Chin T. How Employee Career Sustainability Affects Innovative Work Behavior under Digitalization. Sustainability. 2024; 16(9):3541. https://doi.org/10.3390/su16093541

Chicago/Turabian Style

Zhang, Wei, and Tachia Chin. 2024. "How Employee Career Sustainability Affects Innovative Work Behavior under Digitalization" Sustainability 16, no. 9: 3541. https://doi.org/10.3390/su16093541

APA Style

Zhang, W., & Chin, T. (2024). How Employee Career Sustainability Affects Innovative Work Behavior under Digitalization. Sustainability, 16(9), 3541. https://doi.org/10.3390/su16093541

Note that from the first issue of 2016, this journal uses article numbers instead of page numbers. See further details here.

Article Metrics

Back to TopTop