Innovative Solar Dryer for Sustainable Aloe Vera Gel Preservation in Colombia
Abstract
1. Introduction
- Introduction of a novel method for the pre-treatment and pre-drying of Aloe vera.
- Experimental evaluation of Aloe vera gel pre-drying utilizing a low-cost and easily implemented solar dryer, resulting in a significant reduction in water activity by up to 50%.
- Assessment of the quality of pre-dried Aloe vera gel through comparative analysis of colorimetry, water activity, and drying rate with a freeze-dried sample.
- Demonstration of similar Aloe vera gel drying characteristics between freeze-drying processes and the proposed prototype under favorable environmental conditions (temperature 21–22 °C, relative humidity 50–60%).
2. Materials and Methods
2.1. Solar Drying for Perishable Commodities: A Sustainable Preservation Approach
2.2. Solar Dryer Prototype
2.3. Pre-Drying Protocol
- Thoroughly wash the stem with potable water.
- Remove the thorns from the stem.
- Allow the processed stem to stand upright for 24 h to facilitate the extraction of acíbar by gravity.
- Peel the processed stalk.
- Wash the extracted gel with potable water.
- Segment the processed gel into transverse and/or horizontal cuts, as illustrated in Figure 3. Then, weigh the segmented gel up to the proposed solar dryer’s capacity (i.e., 200 g).
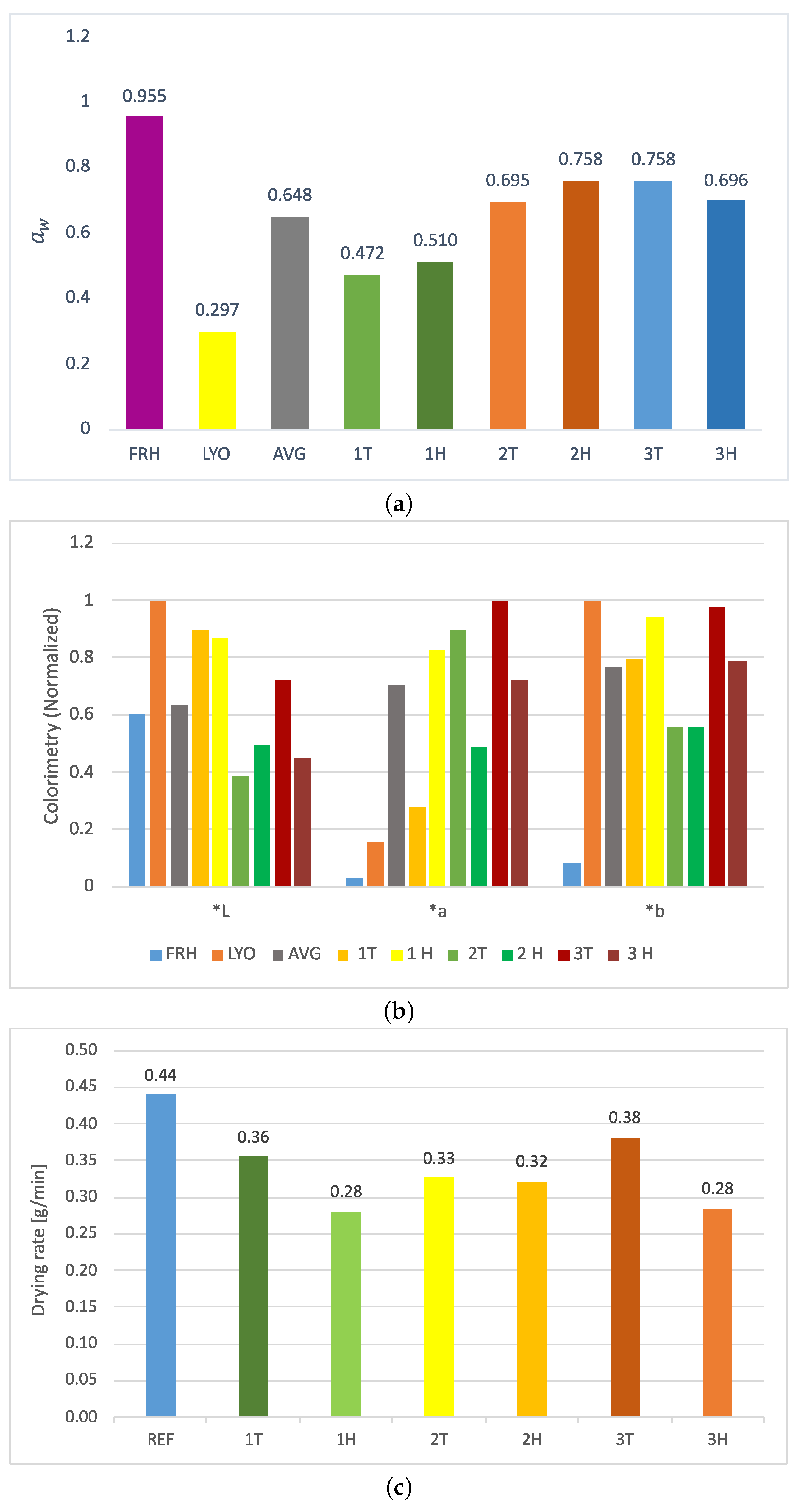
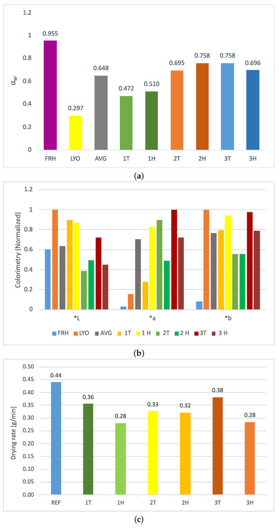
- Color: quantified using the CIELAB system, which determines three color spaces: *L (lightness), *a (red and green), and *b (yellow and blue) [39]. These measurements were acquired using a colorimeter (KONICA MINOLTA) in a laboratory under controlled environmental conditions [39]. The measured values of L range from 0 to 100, while the values of a and b range from −100 to +100. When normalized, the values of L range from 0 to 1, while the values of a and b range from −1 to 1.
- Water Activity (): defined as the ratio between the vapor pressure generated by the food and the ambient pressure at the same temperature, expressed as relative humidity over 100%. The is a factor that determines the amount of free water present in the product and is associated with its moisture content [40]. This FoM was measured under controlled conditions in a laboratory using water activity measuring equipment (ROTRONIC).
- Velocity: defined as the ratio between the decrease in moisture content of a material over time [41]. This indirect measure was calculated based on the weight of Aloe gel samples and the drying time, expressed as the ratio between these measurements. The sample weights were measured using an electronic balance (error less than 0.1 g), and the drying time was recorded with a digital timer (error less than 10 (s), attributable to operator manipulation and not equipment-related) [27]. The equation used to calculate the drying rate (drying speed) is presented in Equation (1), where denotes the initial weight, represents the final weight, and t symbolizes the drying time.
2.4. Experiment Description
3. Results and Discussion
4. Conclusions
Author Contributions
Funding
Institutional Review Board Statement
Informed Consent Statement
Data Availability Statement
Acknowledgments
Conflicts of Interest
References
- Artunduaga Antury, K.L.; Vargas Rojas, D.A.; Barrera Bermeo, O.M. Conservación de las propiedades nutraceúticas del Aloe vera (Aloe barbadensis Miller), mediante técnicas de secado. Ingeniería y Región 2021, 25, 6–21. [Google Scholar] [CrossRef]
- Maan, A.A.; Nazir, A.; Khan, M.K.I.; Ahmad, T.; Zia, R.; Murid, M.; Abrar, M. The therapeutic properties and applications of Aloe vera: A review. J. Herb. Med. 2018, 12, 1–10. [Google Scholar] [CrossRef]
- Canche-Escamilla, G.; Colli-Acevedo, P.; Borges-Argaez, R.; Quintana-Owen, P.; May-Crespo, J.F.; Cáceres-Farfan, M.; Yam Puc, J.A.; Sansores-Peraza, P.; Vera-Ku, B.M. Extraction of phenolic components from an Aloe vera (Aloe barbadensis Miller) crop and their potential as antimicrobials and textile dyes. Sustain. Chem. Pharm. 2019, 14, 100168. [Google Scholar] [CrossRef]
- Sánchez-Machado, D.I.; López-Cervantes, J.; Sendón, R.; Sanches-Silva, A. Aloe vera: Ancient knowledge with new frontiers. Trends Food Sci. Technol. 2017, 61, 94–102. [Google Scholar] [CrossRef]
- Mudgil, D.; Barak, S.; Darji, P. Development and characterization of functional cultured buttermilk utilizing Aloe vera juice. Food Biosci. 2016, 15, 105–109. [Google Scholar] [CrossRef]
- Ahlawat, K.S.; Khatkar, B.S. Processing, food applications and safety of aloe vera products: A review. J. Food Sci. Technol. 2011, 48, 525–533. [Google Scholar] [CrossRef] [PubMed]
- Ramachandra, C.T.; Srinivasa Rao, P. Processing of Aloe vera leaf gel: A review. Am. J. Agric. Biol. Sci. 2008, 3, 502–510. Available online: https://thescipub.com/abstract/ajabssp.2008.502.510 (accessed on 24 March 2024). [CrossRef]
- Vargas-Madriz, Á.F.; Kuri-García, A.; Luzardo-Ocampo, I.; Vargas-Madriz, H.; Pérez-Ramírez, I.F.; Anaya-Loyola, M.A.; Ferriz-Martínez, R.A.; Roldán-Padrón, O.; Hernández-Sandoval, L.; Guzmán-Maldonado, S.H.; et al. Impact of Drying Process on the Phenolic Profile and Antioxidant Capacity of Raw and Boiled Leaves and Inflorescences of Chenopodium berlandieri ssp. berlandieri. Molecules 2023, 28, 7235. [Google Scholar] [CrossRef]
- Medina-Torres, L.; Calderas, F.; Minjares, R.; Femenia, A.; Sánchez-Olivares, G.; Gónzalez-Laredo, F.R.; Santiago-Adame, R.; Ramirez-Nuñez, D.M.; Rodríguez-Ramírez, J.; Manero, O. Structure preservation of Aloe vera (barbadensis Miller) mucilage in a spray drying process. LWT-Food Sci. Technol. 2016, 66, 93–100. [Google Scholar] [CrossRef]
- Rahman, S.; Carter, P.; Bhattarai, N. Aloe Vera for Tissue Engineering Applications. J. Funct. Biomater. 2017, 8, 6. [Google Scholar] [CrossRef] [PubMed]
- Karam, M.C.; Petit, J.; Zimmer, D.; Baudelaire Djantou, E.; Scher, J. Effects of drying and grinding in production of fruit and vegetable powders: A review. J. Food Eng. 2016, 188, 32–49. [Google Scholar] [CrossRef]
- Ratti, C. 3—Freeze drying for food powder production. In Handbook of Food Powders; Bhandari, B., Bansal, N., Zhang, M., Schuck, P., Eds.; Woodhead Publishing Series in Food Science, Technology and Nutrition; Woodhead Publishing: Québec, QC, Canada, 2013; pp. 57–84. [Google Scholar] [CrossRef]
- Patino, M. Identificación del Nivel de Industrialización del aloe vera en Colombia. Bachelor’s Thesis, Universidad de la Salle, Bogota, Colombia, 2016. Available online: https://ciencia.lasalle.edu.co/administracion_agronegocios/157 (accessed on 24 March 2024).
- Rybak, K.; Parniakov, O.; Samborska, K.; Wiktor, A.; Witrowa-Rajchert, D.; Nowacka, M. Energy and quality aspects of freeze-drying preceded by traditional and novel pre-treatment methods as exemplified by red bell pepper. Sustainability 2021, 13, 2035. [Google Scholar] [CrossRef]
- Nagnath, M. Drying Kinematics of Cabinet Type Solar Dryer for Aloe Vera and Biomethanation Study of Aloe Vera Waste. Ph.D. Thesis, Maharana Pratap University of Agriculture and Technology, Udaipur, India, 2019. Available online: http://hdl.handle.net/10603/455635 (accessed on 24 March 2024).
- Mediaceja, Y.; Góngora Leyva, E.; Tamayo, E.; Rojas Purón, A.L. Comportamiento de la humedad durante el secado solar del mineral laterítico. Minería y Geología 2007, 23, 19. Available online: https://www.redalyc.org/articulo.oa?id=223515979002 (accessed on 24 March 2024).
- Radhakrishnan, G.; Breaz, T.O.; Al Mahrouqi, A.W.A.; Al Zakwani, N.A.; Al Fahdi, M.H.; Al Shuraiqi, A.S.; Al Awamri, S.A.; Al Aamri, R.S.; Karthikeyan, K.R. A Comparative Management Analysis on the Performance of Different Solar Drying Methods for Drying Vegetables and Fruits. Sustainability 2024, 16, 775. [Google Scholar] [CrossRef]
- Deef, M.; Samy Helal, H.; El-Sebaee, I.; Nadimi, M.; Paliwal, J.; Ibrahim, A. Harnessing Solar Energy: A Novel Hybrid Solar Dryer for Efficient Fish Waste Processing. AgriEngineering 2023, 5, 2439–2457. [Google Scholar] [CrossRef]
- Chouikhi, H.; Amer, B.M. Performance Evaluation of an Indirect-Mode Forced Convection Solar Dryer Equipped with a PV/T Air Collector for Drying Tomato Slices. Sustainability 2023, 15, 5070. [Google Scholar] [CrossRef]
- Gupta, A.; Das, B.; Biswas, A.; Mondol, J.D. Sustainability and 4E analysis of novel solar photovoltaic-thermal solar dryer under forced and natural convection drying. Renew. Energy 2022, 188, 1008–1021. [Google Scholar] [CrossRef]
- Gupta, A.; Biswas, A.; Das, B.; Reddy, B.V. Development and testing of novel photovoltaic-thermal collector-based solar dryer for green tea drying application. Sol. Energy 2022, 231, 1072–1091. [Google Scholar] [CrossRef]
- Kumar, P.; Singh, D. Advanced technologies and performance investigations of solar dryers: A review. Renew. Energy Focus 2020, 35, 148–158. [Google Scholar] [CrossRef]
- Bhardwaj, A.K.; Kumar, R.; Kumar, S.; Goel, B.; Chauhan, R. Energy and exergy analyses of drying medicinal herb in a novel forced convection solar dryer integrated with SHSM and PCM. Sustain. Energy Technol. Assess. 2021, 45, 101119. [Google Scholar] [CrossRef]
- Shalaby, S.M.; Bek, M.A. Experimental investigation of a novel indirect solar dryer implementing PCM as energy storage medium. Energy Convers. Manag. 2014, 83, 1–8. [Google Scholar] [CrossRef]
- Nabnean, S.; Janjai, S.; Thepa, S.; Sudaprasert, K.; Songprakorp, R.; Bala, B.K. Experimental performance of a new design of solar dryer for drying osmotically dehydrated cherry tomatoes. Renew. Energy 2016, 94, 147–156. [Google Scholar] [CrossRef]
- Fudholi, A.; Sopian, K.; Ruslan, M.H.; Alghoul, M.A.; Sulaiman, M.Y. Review of solar dryers for agricultural and marine products. Renew. Sustain. Energy Rev. 2010, 14, 1–30. [Google Scholar] [CrossRef]
- Ariza, O. Desarrollo de un Prototipo de Secador de Túnel Solar con Sistema Fotovoltaico y su Aplicación en el Presecado de Cristal de aloe vera (Aloe Barbadensis Miller). Bachelor’s Thesis, Fundación Universitaria Agraria de Colombia (Uniagraria), Bogota, Colombia, 2017. [Google Scholar]
- Singh, P.; Vyas, S.; Yadav, A. Experimental comparison of open sun drying and solar drying based on evacuated tube collector. Int. J. Sustain. Energy 2019, 38, 348–367. [Google Scholar] [CrossRef]
- Poblete, C.B. Investigación para la Producción de Vegetales en Zonas áridas y Semiáridas de la Región de Coquimbo. Technical Report, Corporación Para el Desarrollo de la Región de Coquimbo (Chile). 1996. Available online: https://bibliotecadigital.fia.cl/handle/20.500.11944/2175 (accessed on 24 March 2024).
- Minjares-Fuentes, R.; Femenia, A.; Comas-Serra, F.; Rosselló, C.; Rodríguez-González, V.M.; González-Laredo, R.F.; Gallegos-Infante, J.A.; Medina-Torres, L. Effect of different drying procedures on physicochemical properties and flow behavior of Aloe vera (Aloe barbadensis Miller) gel. LWT-Food Sci. Technol. 2016, 74, 378–386. [Google Scholar] [CrossRef]
- Mejía Terán, A.L. Efecto de la Deshidratación por Radiación Infrarroja Sobre Algunas Características Fisicoquímicas de Interés Comercial del Aloe Vera (Aole Barbadensis). Master’s Thesis, Universidad de La Sabana, Cundinamarca, Colombia, 2012. Available online: http://hdl.handle.net/10818/1249 (accessed on 24 March 2024).
- Maherawati, M.; Hartanti, L. The Properties of Aloe Vera Powder using Cassava Maltodextrin as Carrier Agents. Indones. J. Ind. Res. 2019, 14, 44–50. [Google Scholar] [CrossRef]
- Quek, S.Y.; Chok, N.K.; Swedlund, P. The physicochemical properties of spray-dried watermelon powders. Chem. Eng. Process. Process. Intensif. 2007, 46, 386–392. [Google Scholar] [CrossRef]
- El Hage, H.; Herez, A.; Ramadan, M.; Bazzi, H.; Khaled, M. An investigation on solar drying: A review with economic and environmental assessment. Energy 2018, 157, 815–829. [Google Scholar] [CrossRef]
- Lowder, S.K.; Sánchez, M.V.; Bertini, R. Which farms feed the world and has farmland become more concentrated? World Dev. 2021, 142, 105455. [Google Scholar] [CrossRef]
- Darvishi, H.; Khodaei, J.; Behroozi-Khazaei, N.; Salami, P.; Akhijahani, H.S. Greenhouse gas emission reduction potential, energy and exergy analysis of combined microwave-convective dryer. Energy 2023, 285, 128772. [Google Scholar] [CrossRef]
- Seyfi, A.; Rezaei Asl, A.; Motevali, A. Comparison of the energy and pollution parameters in solar refractance window (photovoltaic-thermal), conventional refractance window, and hot air dryer. Sol. Energy 2021, 229, 162–173. [Google Scholar] [CrossRef]
- Patel, M.R.; Panwar, N.L. Drying kinetics, quality assessment and socio environmental evaluation of solar dried underutilized arid vegetable Cucumis callosus. Energy Nexus 2022, 7, 100128. [Google Scholar] [CrossRef]
- Konica Minolta Sensing Americas. Understanding the CIE L*C*h Color Space. Konica Minolta Sensing Americas Inc. 2020. Available online: https://sensing.konicaminolta.us/us/blog/understanding-the-cie-lch-color-space/ (accessed on 24 March 2024).
- Salazar, E.; Hernández, H.; Oliver, M.y.Z.M. Evaluación de parámetros termodinámicos en productos biológicos. Depto. Grad. Investig. Aliment. Dep. Ing. Bioquímica. Esc. Nac. Cienc. Tecnológicas. Inst. Politécnico Nac. 1994, 5, 57–62. [Google Scholar]
- McCabe, W.L.; Smith, J.C.; Harriot, P. Operaciones Unitarias En Ingenería Química; McGraw Hill: Mexico City, Mexico, 2007. [Google Scholar]
- Miranda, M.; Maureira, H.; Rodríguez, K.; Vega-Gálvez, A. Influence of temperature on the drying kinetics, physicochemical properties, and antioxidant capacity of Aloe Vera (Aloe Barbadensis Miller) gel. J. Food Eng. 2009, 91, 297–304. [Google Scholar] [CrossRef]





| HOUR | Test Number 1 | Test Number 2 | Test Number 3 | |||
|---|---|---|---|---|---|---|
| T (°C) | HIGRO (%) | T (°C) | HIGRO (%) | T (°C) | HIGRO (%) | |
| 8:00 | 20 ± 0.5 | 60 ± 4 | 22 ± 0.5 | 49 ± 4 | 25 ± 0.5 | 40 ± 4 |
| 9:00 | 20 ± 0.5 | 64 ± 4 | 20 ± 0.5 | 50 ± 4 | 27 ± 0.5 | 34 ± 4 |
| 10:00 | 25 ± 0.5 | 30 ± 4 | 26 ± 0.5 | 33 ± 4 | 30 ± 0.5 | 29 ± 4 |
| 11:00 | 25 ± 0.5 | 37 ± 4 | 22 ± 0.5 | 44 ± 4 | 25 ± 0.5 | 45 ± 4 |
| 12:00 | 28 ± 0.5 | 24 ± 4 | 23 ± 0.5 | 52 ± 4 | 25 ± 0.5 | 39 ± 4 |
| 13:00 | 27 ± 0.5 | 35 ± 4 | 23 ± 0.5 | 53 ± 4 | 28 ± 0.5 | 35 ± 4 |
| 14:00 | 29 ± 0.5 | 22 ± 4 | 25 ± 0.5 | 37 ± 4 | 27 ± 0.5 | 38 ± 4 |
| 15:00 | 30 ± 0.5 | 19 ± 4 | 24 ± 0.5 | 44 ± 4 | 25 ± 0.5 | 44 ± 4 |
| 16:00 | 24 ± 0.5 | 32 ± 4 | 24 ± 0.5 | 44 ± 4 | 26 ± 0.5 | 37 ± 4 |
| 17:00 | 25 ± 0.5 | 27 ± 4 | 26 ± 0.5 | 37 ± 4 | 23 ± 0.5 | 47 ± 4 |
| 8:00 | 21 ± 0.5 | 41 ± 4 | 29 ± 0.5 | 30 ± 4 | 22 ± 0.5 | 50 ± 4 |
| 9:00 | 25 ± 0.5 | 33 ± 4 | 25 ± 0.5 | 51 ± 4 | 22 ± 0.5 | 55 ± 4 |
| 10:00 | 30 ± 0.5 | 20 ± 4 | 23 ± 0.5 | 46 ± 4 | 24 ± 0.5 | 45 ± 4 |
| 11:00 | 28 ± 0.5 | 21 ± 4 | 20 ± 0.5 | 50 ± 4 | 24 ± 0.5 | 42 ± 4 |
| 12:00 | 27 ± 0.5 | 27 ± 4 | 23 ± 0.5 | 47 ± 4 | 21 ± 0.5 | 52 ± 4 |
| 13:00 | 24 ± 0.5 | 35 ± 4 | 21 ± 0.5 | 53 ± 4 | 23 ± 0.5 | 45 ± 4 |
| 14:00 | 24 ± 0.5 | 32 ± 4 | 20 ± 0.5 | 65 ± 4 | 24 ± 0.5 | 42 ± 4 |
| 16:00 | 23 ± 0.5 | 35 ± 4 | N/A | N/A | 25 ± 0.5 | 37 ± 4 |
| 17:00 | 21 ± 0.5 | 42 ± 4 | N/A | N/A | 23 ± 0.5 | 35 ± 4 |
| 18:00 | N/A | N/A | N/A | N/A | 21 ± 0.5 | 37 ± 4 |
| Average | 25.1 | 33.5 | 23.3 | 46.2 | 24.8 | 42.3 |
Disclaimer/Publisher’s Note: The statements, opinions and data contained in all publications are solely those of the individual author(s) and contributor(s) and not of MDPI and/or the editor(s). MDPI and/or the editor(s) disclaim responsibility for any injury to people or property resulting from any ideas, methods, instructions or products referred to in the content. |
© 2024 by the authors. Licensee MDPI, Basel, Switzerland. This article is an open access article distributed under the terms and conditions of the Creative Commons Attribution (CC BY) license (https://creativecommons.org/licenses/by/4.0/).
Share and Cite
Ariza, O.; Casallas, I.; Fajardo, A. Innovative Solar Dryer for Sustainable Aloe Vera Gel Preservation in Colombia. Sustainability 2024, 16, 3392. https://doi.org/10.3390/su16083392
Ariza O, Casallas I, Fajardo A. Innovative Solar Dryer for Sustainable Aloe Vera Gel Preservation in Colombia. Sustainability. 2024; 16(8):3392. https://doi.org/10.3390/su16083392
Chicago/Turabian StyleAriza, Oscar, Ingrid Casallas, and Arturo Fajardo. 2024. "Innovative Solar Dryer for Sustainable Aloe Vera Gel Preservation in Colombia" Sustainability 16, no. 8: 3392. https://doi.org/10.3390/su16083392
APA StyleAriza, O., Casallas, I., & Fajardo, A. (2024). Innovative Solar Dryer for Sustainable Aloe Vera Gel Preservation in Colombia. Sustainability, 16(8), 3392. https://doi.org/10.3390/su16083392

