Utilization of Inedible Parts of Aralia cordata with High-Content Chlorogenic Acid Cultivated in Tokyo
Abstract
1. Introduction
2. Materials and Methods
2.1. Material and Instruments
2.2. Cultivation of A. cordata
2.3. Dryness and Extraction of the A. cordata Roots Made in Tokyo and “Wakyoukatsu”
2.4. Quantitative Analysis of CA
2.5. Cell-Based Assay
2.5.1. Cell Culture and Preparation of Test Samples
2.5.2. Inhibitory Activity of Melanin and Nitric Oxide Production
3. Results and Discussion
3.1. Effect of Cultivation with or without “Udo muro” and of Temperature and Dryness on CA Content of the A. cordata Root Made in Tokyo
3.2. The Quantitative Analysis and Comparison of CA Content between Extracts Cultivated in Tokyo and Other Areas
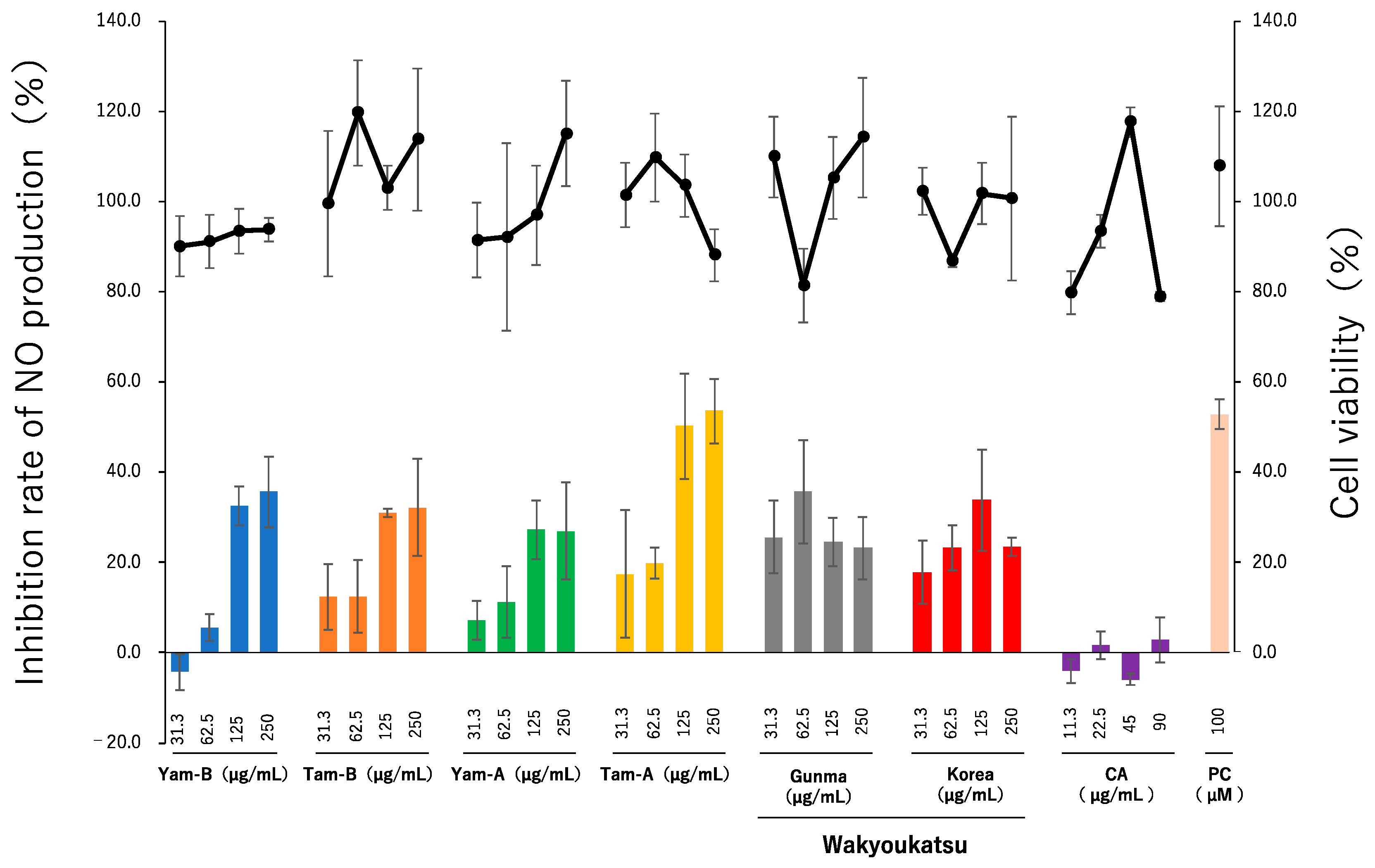
3.3. Evaluation of the Extract of A. cordata Cultivated in Tokyo Using Animal Cell Lines
4. Conclusions
Author Contributions
Funding
Institutional Review Board Statement
Informed Consent Statement
Data Availability Statement
Conflicts of Interest
References
- The Ministry of Health, Labour and Welfare, Japan. MHLW Grants System (2012). Available online: https://mhlw-grants.niph.go.jp/system/files/2011/114011/201129014A/201129014A0006.pdf (accessed on 10 February 2024).
- Qu, F.; Zhou, J.; Zhou, Z.; LI, H.; Burrows, E. Genetic analysis of Aralia cordata Thunb by RAPD. Afr. J. Tradit. Complement. Altern. Med. 2009, 6, 17–22. [Google Scholar] [CrossRef]
- Yoshio, O. About “Udo muro” in underground. Kensetsukikaiseko 2017, 69, 86–87. (In Japanese) [Google Scholar]
- Tokyo Udo Monogatari Editorial Committee. Tokyo Udo Story: Magazine Commemorating the 45th Anniversary of the Founding of the Tokyo Udo Producers Association; Tachikawa: Tokyo Udo Producers Association: Tokyo, Japan, 1997; pp. 76–95. [Google Scholar]
- The Ministry of Health, Labour and Welfare, Japan. The Japanese Pharmacopoeia Eighteenth Edition. 2021. Available online: https://www.mhlw.go.jp/content/11120000/000912390.pdf (accessed on 26 February 2024).
- Kim, J.G.; Lee, J.W.; Le, T.P.L.; Han, J.S.; Kwon, H.; Lee, D.; Hong, J.T.; Kim, Y.; Le, M.K.; Hwang, B.Y. Diterpenoids and diacetylenes from roots of Aralia cordata with inhibitory effects on nitric oxide production. J. Nat. Prod. 2021, 84, 230–238. [Google Scholar] [CrossRef]
- Puzerytė, V.; Viškelis, P.; Balčiūnaitienė, A.; Štreimikytė, P.; Viškelis, J.; Urbonavičienė, D. Aralia cordata Thunb. as a source of bioactive compounds: Phytochemical composition and antioxidant activity. Plants 2022, 11, 1704. [Google Scholar] [CrossRef]
- Perrone, D.; Donangelo, R.; Donangelo, C.M.; Farah, A. Modeling weight loss and chlorogenic acids content in coffee during roasting. J. Agric. Food Chem. 2010, 58, 12238–12243. [Google Scholar] [CrossRef]
- Olthof, M.R.; Hollman, P.C.; Zock, P.L.; Katan, M.B. Consumption of high doses of chlorogenic acid, present in coffee, or of black tea increases plasma total homocysteine concentrations in humans. Am. J. Clin. Nutr. 2001, 73, 532–538. [Google Scholar] [CrossRef] [PubMed]
- Dos Santos, M.D.; Almeida, M.C.; Lopes, N.P.; De Souza, G.E.P. Evaluation of the anti-inflammatory, analgesic and antipyretic activities of the natural polyphenol chlorogenic acid. Biol. Pharm. Bull. 2006, 29, 2236–2240. [Google Scholar] [CrossRef] [PubMed]
- Tsuchiya, T.; Suzuki, O.; Igarashi, K. Protective effects of chlorogenic acid on paraquat-induced oxidative stress in rats. Biosci. Biotechnol. Biochem. 1996, 60, 765–801. [Google Scholar] [CrossRef]
- Kwon, S.H.; Lee, H.K.; Kim, J.A.; Hong, S.I.; Kim, H.C.; Jo, T.H.; Park, Y.I.; Lee, C.K.; Kim, Y.B.; Lee, S.Y. Neuroprotective effects of chlorogenic acid on scopolamine-induced amnesia via anti-acetylcholinesterase and anti-oxidative activities in mice. Eur. J. Pharmacol. 2010, 649, 210–217. [Google Scholar] [CrossRef] [PubMed]
- Suzuki, A.; Kagawa, D.; Ochiai, R.; Tokimitsu, I.; Saito, I. Green coffee bean extract and its metabolites have a hypotensive effect in spontaneously hypertensive rats. Hypertens. Res. 2002, 25, 99–107. [Google Scholar] [CrossRef]
- Suzuki, A.; Fujii, A.; Yamamoto, N.; Yamamoto, M.; Ohminami, H.; Kameyama, A.; Shibuya, Y.; Nishizawa, Y.; Tokimitsu, I.; Saito, I. Improvement of hypertension and vascular dysfunction by hydroxyhydroquinone-free coffee in a genetic model of hypertension. FEBS Lett. 2006, 580, 2317–2322. [Google Scholar] [CrossRef]
- Kanno, Y.; Watanabe, R.; Zempo, H.; Ogawa, M.; Suzuki, J.; Isobe, M. Chlorogenic Acid attenuates ventricular remodeling after myocardial infarction in mice. Int. Heart J. 2012, 54, 176–180. [Google Scholar] [CrossRef] [PubMed]
- Rodriguez de Sotillo, D.V.; Hadley, M. Chlorogenic acid modifies plasma and liver concentrations of: Cholesterol, triacylglycerol, and minerals in (fa/fa) Zucker rats. J. Nutr. Biochem. 2002, 13, 717–726. [Google Scholar] [CrossRef] [PubMed]
- Zhang, L.; Chang, C.; Liu, Y.; Chen, Z. Effect of chlorogenic acid on disordered glucose and lipid metabolism in db/db mice and its mechanism. Zhongguo Yi Xue Ke Xue Yuan Xue Bao 2011, 33, 281–286. [Google Scholar] [PubMed]
- Li, S.Y.; Chang, C.Q.; Ma, F.Y.; Yu, C.L. Modulating effects of chlorogenic acid on lipids and glucose metabolism and expression of hepatic peroxisome proliferator-activated receptor-α in golden hamsters fed on high fat diet. Biomed. Environ. Sci. 2009, 22, 122–129. [Google Scholar] [CrossRef]
- Wan, C.W.; Wong, C.N.Y.; Pin, W.K.; Wong, M.H.Y.; Kwok, C.Y.; Chan, R.Y.K.; Yu, P.H.F.; Chan, S.W. Chlorogenic acid exhibits cholesterol lowering and fatty liver attenuating properties by up-regulating the gene expression of PPAR-α in hypercholesterolemic rats induced with a high-cholesterol diet. Phytother. Res. 2013, 27, 545–551. [Google Scholar] [CrossRef]
- Karthikesan, K.; Pari, L.; Menon, V. Antihyperlipidemic effect of chlorogenic acid and tetrahydrocurcumin in rats subjected to diabetogenic agents. Chem. Biol. Interact. 2010, 188, 643–650. [Google Scholar] [CrossRef]
- Ranjbary, A.G.; Bagherzadeh, A.; Sabbaghi, S.S.; Faghihi, A.; Karimi, D.N.; Naji, S.; Kardani, M. Chlorogenic acid induces apoptosis and cell-cycle arrest in colorectal cancer cells. Mol. Biol. Rep. 2023, 50, 9845–9857. [Google Scholar] [CrossRef]
- Zeng, A.; Liang, X.; Zhu, S.; Liu, C.; Wang, S.; Zhang, Q.; Zhao, J.; Song, L. Chlorogenic acid induces apoptosis, inhibits metastasis and improves antitumor immunity in breast cancer via the NF-κB signaling pathway. Oncol. Rep. 2021, 45, 717–727. [Google Scholar] [CrossRef] [PubMed]
- Xue, W.; Hao, J.; Zhang, Q.; Jin, R.; Luo, Z.; Yang, X.; Liu, Y.; Lu, Q.; Ouyang, Y.; Guo, H. Chlorogenic Acid Inhibits Epithelial-Mesenchymal Transition and Invasion of Breast Cancer by Down-Regulating LRP6. J. Pharmacol. Exp. Ther. 2023, 384, 254–264. [Google Scholar] [CrossRef]
- Green, L.C.; Wagner, D.A.; Glogowski, J.; Skipper, P.L.; Wishnok, J.S.; Tannenbaum, S.R. Analysis of nitrate, nitrite, and [15N] nitrate in biological fluids. Anal. Biochem. 1982, 126, 131–138. [Google Scholar] [CrossRef]
- Kim, S.H.; Park, S.Y.; Park, L.Y.; Myung, D.S.; Rew, J.R.; Joo, Y.E. Chlorogenic acid suppresses lipopolysaccharide-induced nitric oxide and interleukin-1β expression by inhibiting JAK2/STAT3 activation in Raw 264.7 cels. Mol. Med. Rep. 2017, 16, 9224–9232. [Google Scholar] [CrossRef] [PubMed]
- Shimozono, H.; Kobori, M.; Shinmoto, H.; Tsushida, T. Suppression of the melanogenesis of mouse melanoma B16 cells by sweet potato extract. Nippon Shokuhin Kagaku Kogaku Kaishi 1996, 43, 313–317. [Google Scholar] [CrossRef]
- Jang, J.Y.; Seong, Y.H. Anti-nociceptive and anti-inflammatory effect of an ethanol extract of the leaf and stem of Aralia cordata. Nat. Prod. Sci. 2014, 20, 301–305. [Google Scholar]




| Dried Temperature (°C) | |||||
|---|---|---|---|---|---|
| Sample Name | Freeze Drying | 20 | 40 | 60 | 90 |
| Methanol Extract (mg) | |||||
| Yam-A | 2610.6 ± 19.7 | 2944.8 ± 225.9 | 2837.4 ± 41.6 | 2885.9 ± 48.4 | 2840.8 ± 18.7 |
| Yam-B | 2625.8 ± 29.8 | 2774.9 ± 27.7 | 2831.1 ± 9.9 | 2867 ± 26.9 | 2682.9 ± 122.7 |
| Tam-A | 2013.8 ± 53.4 | 2190 ± 12.6 | 2329.8 ± 60.9 | 2144.5 ± 10.8 | 2061.9 ± 26.9 |
| Tam-B | 2167.0 ± 112.1 | 2223.9 ± 7.5 | 2221.7 ± 20.8 | 2232.8 ± 18.5 | 2123.2 ± 68.4 |
| Wakyoukatsu | CA Content (mg) | ||||
|---|---|---|---|---|---|
| Gunma prefecture | 391.3 ± 11.5 | ||||
| Korea | 151.0 ± 0.4 | ||||
| Dried Temperature (°C) | |||||
| Sample Name | Freeze Drying | 20 | 40 | 60 | 90 |
| CA Content (mg) | |||||
| Yam-A | 770.4 ± 22.1 | 909.9 ± 84.2 | 876.9 ± 36.3 | 994.2 ± 182.4 | 772.2 ± 43.1 |
| Yam-B | 420.4 ± 45.9 | 470.7 ± 55.0 | 481.8 ± 53.4 | 405.6 ± 19.8 | 360.3 ± 65.2 |
| Tam-A | 1101.3 ± 33.9 | 1100.8 ± 132.1 | 1379.8 ± 65.2 | 1076.4 ± 73.9 | 857.2 ± 65.4 |
| Tam-B | 1331.9 ± 63.9 | 1396.9 ± 16.2 | 1324.4 ± 83.1 | 1204.4 ± 22.5 | 938.7 ± 84.1 |
Disclaimer/Publisher’s Note: The statements, opinions and data contained in all publications are solely those of the individual author(s) and contributor(s) and not of MDPI and/or the editor(s). MDPI and/or the editor(s) disclaim responsibility for any injury to people or property resulting from any ideas, methods, instructions or products referred to in the content. |
© 2024 by the authors. Licensee MDPI, Basel, Switzerland. This article is an open access article distributed under the terms and conditions of the Creative Commons Attribution (CC BY) license (https://creativecommons.org/licenses/by/4.0/).
Share and Cite
Matsuo, H.; Kawakami, H.; Otsuki, Y.; Miyashita, C.; Kawahara, N.; Fuchino, H.; Yoshimatsu, K. Utilization of Inedible Parts of Aralia cordata with High-Content Chlorogenic Acid Cultivated in Tokyo. Sustainability 2024, 16, 2582. https://doi.org/10.3390/su16062582
Matsuo H, Kawakami H, Otsuki Y, Miyashita C, Kawahara N, Fuchino H, Yoshimatsu K. Utilization of Inedible Parts of Aralia cordata with High-Content Chlorogenic Acid Cultivated in Tokyo. Sustainability. 2024; 16(6):2582. https://doi.org/10.3390/su16062582
Chicago/Turabian StyleMatsuo, Hirotaka, Hitomi Kawakami, Yuka Otsuki, Chieto Miyashita, Nobuo Kawahara, Hiroyuki Fuchino, and Kayo Yoshimatsu. 2024. "Utilization of Inedible Parts of Aralia cordata with High-Content Chlorogenic Acid Cultivated in Tokyo" Sustainability 16, no. 6: 2582. https://doi.org/10.3390/su16062582
APA StyleMatsuo, H., Kawakami, H., Otsuki, Y., Miyashita, C., Kawahara, N., Fuchino, H., & Yoshimatsu, K. (2024). Utilization of Inedible Parts of Aralia cordata with High-Content Chlorogenic Acid Cultivated in Tokyo. Sustainability, 16(6), 2582. https://doi.org/10.3390/su16062582

